Start Bootstrap Logo

Trends Sci. 2026; 23(1): 10964

Molecular Dynamics Simulation of Bioactive Compounds from Moringa Oleifera Leaf Powder Extract as Antidiabetic by Inhibiting α-Amylase and α-Glucosidase Enzymes


Ambar Fidyasari1,3, Teti Estiasih2,3*, Alfi Khatib3,

Siti Narsito Wulan2 and Sentot Joko Raharjo4


1Doctoral Program of Food Science, Faculty of Agricultural Technology, Brawijaya University,

Malang 65145, Indonesia

2Food Science and Biotechnology Department, Faculty of Agricultural Technology, Brawijaya University,

Malang 65145, Indonesia 

3Center Study for Local Food Development, Universitas Brawujaya, Malang, Indonesia

4Kulliyyah of Pharmacy, International Islamic University Malaysia, Pahang 25200, Malaysia


Received: 17 June 2025, Revised: 16 July 2025, Accepted: 26 July 2025, Published: 1 October 2025


(*Corresponding author’s e-mail: [email protected])


Abstract

Diabetes is a chronic disease that has caused around 6.7 million deaths a year or one death every 5 s. Diabetes therapy usually focuses on the insulin hormone. In fact, in addition to regulating carbohydrate metabolism by the insulin hormone, therapy can be done by inhibiting several enzymes such as α-amylase and α-glucosidase in the starch and glycogen metabolism pathway as a source of blood glucose. This study investigates Moringa oleifera leaf powder (MOLP) from different Leaf stalk colors were screened for their inhibitory action of α-amylase and α-glucosidase against type 2 diabetes through molecular docking, molecular dynamics simulation, and in vitro enzyme inhibition. Rutin showed the highest binding affinity among 57 tested compounds. This compound simultaneously binds to the 2 target proteins of α-amylase and α-glucosidase, with higher binding affinity values of –6.752 mol–1 for α-amylase and –8.756 mol–1 for α-glucosidase. The rutin glucosidase revealed to be the most stable molecule with the highest binding free energy through molecular dynamics simulation was MM-GBSA Binding Energy = –33.3645 ± 5.0338 kcal mol–1 and MM-PBSA Binding Energy = 1.8598 ± 5.5359 kcal mol–1, indicating that it could compete with the inhibitor native ligand. The α-glucosidase inhibitory activity of the ethyl acetate extract achieved 81.58% inhibition, while acarbose achieved 84.47%. Rutin has the best potential as an inhibitor of the α-glucosidase enzyme and the stability of its interaction compared to other flavonoid groups, making it a prospective drug candidate for type 2 diabetes.


Keywords: Moringa oleifera, Diabetes mellitus, In silico, In vitro, α-amylase, α-glucosidase


Introduction

Diabetes mellitus (DM), a metabolic condition marked by elevated blood glucose levels brought on by insufficient insulin production or secretion, is now a worldwide problem. The most recent IDF, The Diabetes Atlas of the International Diabetes Federation (IDF) (2022), reports that it estimates that 1 in 9 adults (20 - 79 years) worldwide are living with diabetes, with over 4 in 10 being unaware they have the condition. Globally, 589 million adults are living with diabetes, and this number is projected to rise to 853 million by 2050. The rising prevalence of diabetes has been attributed principally to the aging of populations [1,2]. Indonesia is in fifth position, with the number of people living with diabetes at 19.47 million. With residents of 179.72 million, the majority of diabetes patients in Indonesia is 10.6% (3).

Type II diabetes is the most common case that can increase the risk of chronic diseases and complications. [3]. A high rate of blood glucose absorption can cause diabetes. Liver parenchymal cells do not need insulin to use glucose. Without insulin, the liver lacks the enzymatic capacity to reduce excess blood glucose concentrations. Impaired glucose metabolism due to diabetes contributes to the development of various medical problems including atherosclerosis, hypertension, small blood vessel disease, kidney disease, and blindness. Therefore, until now insulin hormone therapy is still the mainstay in treating diabetes mellitus. However, insulin injections can cure this illness, but receiving insulin has long-term adverse effects on the body [1,4,5].

Common medications are not suitably effective in regulating long-term glucose control. The prevailing reliance on chemical drugs for diabetes treatment necessitates exploring natural alternatives. In type II diabetes, the body’s cells don’t respond appropriately to insulin, leading to increased blood sugar levels, especially after meals (postprandial hyperglycemia). Enzymes like α-amylase and α-glucosidase play a key role in carbohydrate digestion, breaking down complex carbohydrates into simpler sugars, which are then absorbed into the bloodstream, contributing to these postprandial. Elevated oxidative stress underpins diabetes, contributing to insulin resistance, dyslipidemia, β-cell dysfunction, and impaired glucose tolerance [5-8]. With its varied stalk colors, Moringa oleifera (MO) emerges as a promising solution for managing type II diabetes and alleviating inflammation associated with the condition. reducing postprandial hyperglycemia by slowing glucose absorption has emerged as a crucial therapeutic strategy in diabetes management. Several α-glucosidase inhibitors, including acarbose and voglibose, are currently available in clinical practice; however, they are often associated with gastrointestinal side effects. The advent of in silico approaches utilizing computational tools has ushered in a transformative era in the identification and validation of antidiabetic agents derived from herbal sources.

There are 3 different types of MO in Indonesia, which are distinguished by the color of their stalks: green, white and red. Geographical considerations, variety, environmental circumstances, and seasonal variations all have a significant impact on the phytochemical makeup of MO [10]. Traditionally, the leaves of the MO species have been used for diabetes treatment. In Ayurvedic medicine in Tamil Nadu, India, MO leaves have been traditionally used, in which raw or dried leaves are boiled in water and consumed to treat diabetes [12]. The research by Muzumbukilwa et al. [8] shows that methanol extract from MO leaves has antidiabetic and hepatoprotective effects due to bioactive compounds in the form of phenolics. The water extract from MO leaves contains phenolic acids and flavonoids that affect glucose homeostasis, influence β cell mass and function, and enhance insulin sensitivity in peripheral tissues In the infusion extract of MO leaves, alkaloids, terpenoids, and saponins are present, while in the ethanol extract of MO leaves, 14 phenolic compounds are obtained, and steroids and triterpenoids are found in the ether extract, where all these secondary metabolite compounds function as antidiabetic agents [9,13,14]

A study by Mumtaz et al. [11] evaluated the phenolic compound composition in vitro and silico anticancer activity of MO leaf extracts. MO leaves were extracted using n-hexane, chloroform, ethyl acetate, butanol, and water solvents. The extract fractions contained 10 phenolic compounds, namely quercetin, gallic acid, sinapic acid, vanillic acid, 4-hydroxy-3-methoxy benzoic acid, p-coumaric acid, m-coumaric acid, 4-hydroxy-3-methoxy cinnamic acid, caffeic acid, and syringic acid. Inhibition of the α-glucosidase enzyme shows that MO leaves can be used as an α-glucosidase inhibitor [14]. The inhibition ability of the α-glucosidase enzyme from MO water extract shows anti-hyperglycemic activity with an α-glucosidase inhibition activity of 83.94% [5]. Docking studies of phenolic components in MO leaf ethanol extract have shown minimum scores and high binding affinity towards human pancreatic α-amylase [16,17].

This study aimed to identify the potential and most abundant compounds in 3 types of MO leaf powder (MOLP) with different stalk colors so that it can serve as a reference for natural active ingredients derived from plants, especially MO, which has considerable potential. In this study, we used molecular docking and molecular dynamics (MD) simulations to investigate the active constituents of MOLP and identify their potential target proteins. This study will contribute to the scientific information for an alternative treatment for diabetes derived from natural ingredients.


Materials and methods

Materials

MOLP from 3 different varieties was obtained from the Makmur 115 farmer group in Pakandangan Sangrah Village, Bluto District, Sumenep, Madura. in East Java. Ethanol, acetone, ethyl acetate, and n-hexane are used for purity analysis (Merck) and water (H2O). The equipment used was an LC-MS/MS type ACQUITY UPLC ® H-Class System (Waters, USA) and an MS type Xevo G2-S Qtof (Waters, USA).


Methods

The research method in conducting molecular dynamics simulations of several compounds obtained from Moringa oleifera leaf extract through the following stages. The systemic workflow of the methodology is illustrated in Figure 1.


Figure 1 Systemic workflow of the methodology.


MOLP Preparation

MO leaves, aged 45 days and ready for harvest, were carefully plucked from the top of the plants, thor­oughly washed to remove dirt under running water, and then dried for 2 days using solar drying method in a So­lar Dryer Dome Technology made from polycarbonate, maintaining a temperature of approximately 60 C. Subsequently, the dried leaves were processed into fine powder using a miller machine with a fineness of 80 mesh. The resulting powder was meticulously packaged in plastic and sealed for storage and use.


Maceration-sonification extraction

MOLP was extracted using the maceration-sonication method with water, ethanol, acetone, ethyl acetate, and n-hexane. Maceration-sonification extraction techniques following the procedure from Fu et al. [14], 50 g MOLP was immersed in 400 mL 90% ethanol and macerated for 3 h. After that, the mixture was extracted for 30 min in an ultrasonic bath set at 60 C (200 W, 40 kHz). The extraction procedure was carried out twice after centrifuging the mix for 5 min at 5,000 rpm. Following the extraction, a vacuum rotary evaporator was used to gather the supernatants and condense them into dry residues at 45 C. Next, the extract was centrifuged for 10 min to remove solids that might have escaped during filtration. The resulting 40 - 50 mL filtrate was stored in the freezer.


Analysis of MOLP extract compounds by LC-MS/MS

The chemical profile by liquid chromatography-tandem mass spectrometry (LC-MS/MS) type ACQUITY UPLC ® H-Class System (Waters, USA) and MS type Xevo G2-S Qtof (Waters, USA). Sample preparation was carried out by weighing 1 mg of MOLP extract powder from freezer drying, pouring into 20 mL of distilled water in a 25 mL volumetric flask, dissolving, and adding distilled water to the mark. Quantitative and qualitative analysis of the MOLP samples with LC-MS/MS instruments was based on a triple mass spectrometer. Liquid chromatography was performed with a gradient pump model LC-30 AD, degasser model DGU20A3R, column oven model CTO-10Asvp, and automatic model equipment autosampler from Shimadzu (SIL). The column was separated by chromatography on Shimadzu Shim Pack FC-ODS (2×50 mm2, 3 µm), injection volume of 1 µL, capillary voltage of 3.0 kV, column temperature of 350 C, mobile phase mode was isocratic, flow rate of 0.5 mL/min, sampling cone of 23.0 V, The MS focused ion mode was Io type [M]+, the eluent was 90% methanol, the fragmentation method, low energy CID ionization, 0.6 s/scan (mz: 10-1000), the source temperature was 100 C, the run time was 60 min, and the desolvation gas flow was 60 mL/h and the desolvation temperature was 350 C [19].


In silico analysis

Design

The compounds were tested in silico using a molecular docking analysis approach against human α-amylase (id:4w93) and human α-glucosidase (id:5kzw). The 57 molecules from MOLP were compared using molecular docking.


Looking for the sequence of amino acids

The Human α-amylase and α-glucosidase receptor amino acid sequences were sourced from the Protein Data Bank database of The Research Collaboratory for Structural Bioinformatics (https://www.rcsb.org). The 3-dimensional protein structure was obtained for human α-amylase (id: 4w93) and human α-glucosidase (id: 5kzw) [19].


Making the ligand compounds

The ligands in this investigation were in 57 compounds obtained from LCMS results. The ligands interacted with a receptor, and their chemical structures were obtained by accessing PubChem. The PubChem Open Chemistry Database provided the 3-dimensional structure of the 57 MOLP compounds. After that, the grin format’s 3-structure of different compounds was transformed into *.pdb files utilizing A web-based tool called LigParGen gives force field (FF) characteristics for ligands or organic compounds [20,21].


Molecular docking of ligand with protein target

Preparing proteins

By eliminating water molecules, ions, and cofactors from the protein, the 3-dimensional structures of the α-amylase receptor (id:4w93) and α-glucosidase receptor (id:5kzw) were created independently. In addition, the protein is charged by calculating the Gasteiger and modified by adding hydrogen atoms. The grid box concentrates on the protein’s active site residues, which have dimensions of 40×40×40 and are centered on (–1.354; –1.171; 0.822) [22]. AutoDock Tools 1.5.7 software was used to prepare the protein. The file is then stored in molecular docking in the *pdbqt format.


Preparation of ligands

The AutoDock Tools 1.5.7 software was used to prepare the active compounds of 57 MOLP compound compounds from LC-MS. Ligand files for molecular docking are stored in the *pdbqt forma. The chromatogram and mass spectra results were analyzed using Masslynx version 4.1 software on BPI (base peak intensity) because it shows more detailed resolution and intense peaks. The compounds in the 3 MOLPs will first be predicted for their bioavailability using a chemoinformatic approach based on Lipinski’s rule of 5 (Ro5) rule using SwissADME.


Molecular docking

AutoDock Vina v.1.2.3 software performed docking simulations between the target proteins and the 57 MOLP compounds from LC-MS (19). The command prompt initiated the docking procedure following the creation of the receptor and ligand. The software Discovery Studio 4.1 was then used to visualize the docking results [22].


Analysis and visualization of the docking results and validation

The BIOVIA Discovery Studio software was then used to analyze and visualize the protein and ligand interactions in the docking results. The results were discussed by identifying the ligand conformation with the highest binding affinity value and examining binding interactions based on amino acid residues in 2D and 3D forms. The highest negative number was used to calculate the binding affinity value, which was then compared to a native ligand. Molecular docking validation was conducted by re-docking the best ligands for α-glucosidase receptor (id:5kzw) using AutoDock 4.2 software. The docking validation was considered successful if the root-mean-square deviation (RMSD) value was less than 2 Å [36]. The molecular docking process was carried out using AutoDock Tools and AutoDock Vina.


Molecular dynamics of ligand rutin with protein target

Molecular dynamics (MD) simulations were carried out to study the inhibitor binding interactions of compound ligands with the best docking score models (Acarbose CID41774) with α-glucosidase (id:5kwz) receptors. The interaction uses OpenMM in Google Colab. Preparation of ligands Rutin’s (CID5280805) 3-dimensional structures were retrieved from the PubChem Open Chemistry Database. Next, 3 different compound structures in smile format are transformed into *force field (FF) parameters for organic compounds or ligands utilizing pdb files with LigParGen, web-based applications [21,23]. When setting the environment for MD calculation, we need to install all the necessary libraries and packages for our simulation. The main packages we will be installing are: Anaconda OpenMM PyTraj ProLIF Numpy Matplotlib and AmberTools. Ligand and protein *.pdf files are uploaded and diversified on g-drive and g-colab.

Molecular dynamic simulations are carried out systematically following steps taken by Didandeh [21] Parameters to generate the protein topology. i.e., force field: FF19sb; water type: TIP3P; the concentration in Molar units, AMBER leap will neutralize your system ion: NaCl, concentration 0.15M; parameters to generate the ligand topology ligand Force field: The General AMBER Force Field (GAFF2). Parameters for MD Equilibration protocol, i.e., Minimization steps 1,000; simulation time 5 nanoseconds and integration time 2 femtoseconds, temperature 310 K, pressure 1 bar, frequency to write the trajectory file (10 picoseconds), and frequency to write the log file (10 picoseconds). Running a Production MD simulation with simulation time (10 nanoseconds), number of strides (1 integer), integration timestep (2 femtoseconds), temperature (3100K), and pressure (1 bar), frequency to write the trajectory file (10 picoseconds), and frequency to write the log file (10 picoseconds). Calculate the interaction energy and solvation-free energy for the complex, receptor, and ligand and average the results to estimate the binding free energy. The binding energy calculation uses the molecular mechanics with Generalized Born and surface area (MM-GBSA) method and the molecular mechanics-Poisson-Boltzmann surface area (MM-PBSA) method for comparison. GB/SA input parameters, the OBC models, igb = 2, and salt concentration 0.15. Apart from that, you will also get a picture of LigPlot before and after simulation, interaction energy, compute the distance between the ligand and catalytic site residues, compute the distance between the ligand and specific residues, compute RMSD of protein’s CA atoms, plot RMSD as a distribution, compute RMSF of protein’s CA atoms, and other analyses [23,24].


In-vitro -glucosidase inhibitory assay

α-Glucosidase inhibitory activity was calculated by measuring the absorbance at 405 nm using a BioTek ELX800 microplate reader (BioTek Instruments, US). MOLP extracts were analyzed for their inhibitory activities, following the protocol from the α-glucosidase Activity Assay Kit Catalog No. MAK123 (Sigma-Aldrich Co.).


Data analysis

The validation data from the in vitro of research statistical analysis using the Minitab 18 program, applying analysis of variance (ANOVA). If a significant difference was observed (p < 0.05), Fisher’s further test was conducted with a confidence interval of 95%, ensuring rigorous and accurate interpretation of the research findings.


Results and discussion

Bioactive compounds of MOLP

MOLP was extracted using the maceration-sonication method with water, ethanol, acetone, ethyl acetate, and n-hexane as solvents. Maceration and sonification are extraction techniques that can extract bioactive compounds from samples [17]. The disadvantage of maceration is that the traditional technique involves immersing the sample in a solvent at room temperature for a long time. The bioactive compounds of the sample become soluble in the solvent because it has several limitations, such as low extraction yield, lower efficiency, and the use of large amounts of solvent. Factors affecting maceration are the choice of solvent, solvent polarity, and maceration time. The smaller particle size increases surface area and improves solvent diffusion and extraction [25-27]. Sonification is an innovative technique that uses ultrasound-assisted extraction. The sample is mixed with an organic solvent and placed in an ultrasonic water bath using this technique. The sound waves produced in the bath break the cell walls of the sample, releasing polyphenolic compounds. Sonification is more effective than maceration, resulting in 6% - 35% more polyphenol extraction. It also saves more time than traditional techniques [27-29].

The LC-MS/MS identification of water, ethanol, acetone, ethyl acetate, and n-hexane extracts show several bioactive compounds similar to previous studies based on the similarity of the spectra. A total of 57 chromatographic peaks were detected in ESI-positive mode. In silico MS/MS fragmentation was carried out using molecular ion peak [M + H] + compared with the theoretical mass; the chromatogram and mass spectra results were analyzed using Masslynx version 4.1 software on BPI (base peak intensity) because they show more detailed resolution and more intense peaks. The compounds in the 3 MOLPs will first be predicted for their bioavailability using a chemoinformatic approach based on Lipinski’s Rule of 5 ( Ro5) rule using SwissADME [29]; bioactive molecules were proposed. The outcomes of the identification of phytochemical compounds from the 5 extracts of MOLP most of the compounds obtained were flavonoids (22), flavonoid glycosides (16), phenol (5), phenolic acids (12) and steroid (2) (Table 1).


Table 1 Bioactive compounds of Moringa oleifera leaf powder from different leaf stalk colors.

MOLP from different leaf stalks

Extracting Solvent

Water

Ethanol

Acetone

Ethyl acetate

n-hexane

Green

Kaempferol-7-O-alpha-L-rhamnoside

Rutin

Methyl-3-caffeoylquinate

Kaempferol-3-rutinoside

Methyl-3-caffeoylquinate

Kaempferol-3,7,4′-O-triglucoside

Saponarin

Quercetin-3-Galactoside

Vicenin 2

Syringic acid

Saponarin

Cyanidin-3-glucoside



Caffeic acid


Kaempferol 3-O-acetyl-glucoside




White

Vitexin/ Apigenin 8-C-glucoside

Cyanidin 3-5-O- diglucoside

Benzoic acid

3-Feruloquinic acid

Vanilic acid

Genistein 7-O-glucosylglucoside

Quercetin 3-O-(6”-Acetyl-glucoside)

Isovitexin

Vicenin-2

3-Feruloylquinic acid

Quercetin 3

Isoquercetin

Feruloylquinic acid


Syringic acid

Quercetin 3-o-malonylglucoside

Cyanidin-3-glucoside

4,22-Stigmastadiene-3-One



Caffeic acid

Astragalin or Kaempferol 3-o-glucoside

Kaempferol 3-O-(6”-malonyl-glucoside)

Astragalin



Kaempferol 3-O- Rutinoside

Astragalin or Kaempferol 3-o-glucoside

Benzyl glucosinolate (glucotropaeolin)



Kaempferol 3-o-acetyl-glucoside

Kaempferol 3-O-acetyl-glucoside





Myricetin





Stigmasterol




Red

kaempferol-7-rhamnoside

Rutin

Isoferulic acid

Vicenin-2

Syringic acid

kaempferol-3-O-rutinoside

Luteolin

Syringic acid

Rutin

Caffeic acid


Kaempferol 3-O-acetyl-glucoside


Caffeic acid

Linolenic acid


Epicatechin gallate





Various studies have identified several flavonoids, such as kaempferol 3-O-rutinoside, Isoquercetin, kaempferol 3-o-acetyl-glucoside; quercetin3-o-(6-o-malonyl-β-d-glucoside); cyanidin-3 glucoside; kaempfero(28)I 3-o-(6”-malonyl-glucoside); kaempferol 3-o- glucoside; quercetin 3-o-(6”-acetyl-glucoside), vitexin; cyanidin 3-5-o diglucoside; myrice­tin and stigmasterol [13,30]. Geographical and growth-related environmental factors heavily impact MOLP phenolic content. The most prevalent flavonoids in dif­ferent regions of the MO tree are quercetin and kaempferol glycosides (glucoside, rutinoside, and mal­onyl glucoside). Other flavonols include epicatechin, ru­tin, and myricetin. Benzoic acid, isovitexin, 3-feru­loylquinic acid, astragalin, 4,22 stigmastadiene-3-one, and benzyl glucosinolate (glucotropaeolin) are all pre­sent in the acetone extract [11-14].

MO leaves are abundant in polyphenols, encompassing flavonoids, tannins, and phenolic acids. Among various plant parts, leaves have the highest polyphenol content, influenced by geographical and environmental factors. Other flavonols such as kaempferol, rutin, and vicenin-2 are also present. Geographic variations in flavonoid concentrations have been noted across different MO varieties. Various phenolic acids, including gallic acid, caffeic acid, chlorogenic acid, coumaric acid, and ellagic acid, are found in different parts of the MO plant. MO leaves also contain substantial amounts of flavonoid glycosides, complex polyphenols with strong protein-binding properties, with the leaves having the highest composition [14].

Plants contain secondary metabolites called phytochemicals, which build up in large quantities but have little bearing on the growth and development of the plant. Humans have used phytochemicals as medication to treat and prevent various illnesses. Almost 80% of the populace in the countries uses phytochemicals as traditional health remedies. The phytochemical composition of MO depends on the maturity stage, germplasm, and agroclimatic conditions [31]. Saponarin content is found in MOLP from the green leaf stalk but not in MOLP on white and red leaf stalks. Astargalin content is found in MOLP from the white leaf stalks but not in MOLP on green and red leaf stalks. Epicatechin gallate content is found in MOLP from the red leaf stalks but not in MOLP on green and white leaf stalks. Rutin content is found in MOLP from the green and red leaf stalks but not in MOLP on white leaf stalks. Total phenolic compounds (TPC) of MOLP from different leaf stalk colors indicate high variability. The growing environment of MO trees in this study is similar; thus, the variability is caused by genetic variations. The significant variability of total flavonoid content (TFC) in MOLP with different leaf stalk colors is due to genetic variations since abiotic and biotic stressors for MO trees are similar [10]. Different stalk colors have effects on phytochemical diversity.


Molecular docking

The compounds in the MOLP with different leaf stalk colors will first be predicted for their bioavailability using a chemoinformatic approach based on Lipinski’s Rule of 5 (Ro5) rule using SwissADME. Molecular docking activity acarbose (native) and 57 bioactive compounds form water, ethanol, acetone, ethyl acetate, and n-hexane MO extracts as α-amylase and α-glucosidase enzyme inhibitors. Docking molecular of were performed α-amylase and α-glucosidase complexes. Identification of potential α-amylase and α-glucosidase inhibitors was carried out using in silico analysis, namely by comparing the molecular docking activity of water, ethanol, acetone, ethyl acetate, and n-hexane extracts compounds with acarbose on α-amylase and α-glucosidase. Virtual analysis via in silico is docking and dynamic screening for new therapeutic agents. The potential of MOLP compounds, especially against 4w93_the human α-amylase receptors and 5kzw_the human α-glucosidase receptors, was investigated based on binding affinity and site [30]. Hydrogen bonds, hydrophobicity, van der Waals, and pi all play a role in the weak binding interactions of ligand bonds that can start particular biological processes such as protein inhibitory responses. Unstable bonds created in the molecular complex (ligand-protein) are known as unfavorable interactions. At least 2 unfavorable interactions are necessary for a ligand to be stable. As a measure of a drug’s performance effectiveness, hydrogen bond interactions are crucial in eliciting a specific reaction from the target protein; the more types of hydrogen bonding connections a drug has on the target protein, the more potent its effect [31,32].

Acarbose, as a positive control ligand, forms hydrogen bonds and hydrophobic interactions with the α-amylase enzyme at the amino acid residues LYS178 (Lysine), HIS185 (Histidine), ASP77 (Aspartic acid), and GLU76 (Glutamic acid), and also forms hydrophobic interactions with TYR67 (Tyrosine), ALA128 (Alanine), VAL129 (Valine), LEU69 (Leucine), LYS68 (Lysine), and CYS70. Acarbose, as a positive control ligand, forms hydrogen bonds with the α-glucosidase enzyme at the amino acid residues ARG 275 (Arginine), GLY550 (Glycine), PRO 542 (Proline), GLY123 (Glycine), TRP 126 (Tryptophan), ALA 93 (Alanine), and interacts hydrophobically at the amino acid residues ASP319, GLY123, MET122, TRP126, ALA93, and ARG275, which are the active sites of the α-glucosidase enzyme. Rutin, a compound with the lowest binding affinity, forms hydrogen bonds with the α-glucosidase enzyme at only 4 amino acid residues, namely ILE98, PRO94, ARG275, and MET122, forming 10 hydrophobic interactions. An in-silico study by molecular docking revealed the highest activity of Rutin (CID5280805) compared to other bioactive compounds from water, ethanol, acetone, ethyl acetate, and n-hexane MOLP extracts and acarbose in binding 4w93_the human alpha-amylase and 5kzw_the human α-glucosidase as presented in Table 2.


Table 2 Binding affinity of MOLP compounds with α-amylase and α-glucosidase enzyme.

Ligand compound

Binding affinity (kcal mol1)

Human α-amylase (4w93)

Human α-glucosidase (5kzw)

Acarbose (CID41774)

6.783

7.806

Rutin (CID442089)

6.752

8.756


Molecular docking analysis shows that the binding affinity of Acarbose-alpha-amylase complexes (BA = –6.783 kcal/mol) is higher than that of Rutin-α-amylase complexes (–6.752 kcal/ mol).



Figure 2. 4w93_the human α-amylase with Acarbose (CID41774), Binding Affinity = –6.783 kcal mol–1; 4w93_the human α-amylase with Rutin, Binding Affinity = –6.752 kcal/mol.


The differences in binding affinity can be seen in Figures 2 showing the acarbose-α-amylase interaction, including only 5 conventional hydrogen bonds and van der Walls interaction, but rutin-α-amylase, including 2 hydrogen bonds conventional, carbon-hydrogen bond, unfavorable donors, alkyl, Pi-alkyl, unfordable acceptor-acceptor, and van der Walls. Likewise, molecular docking analysis shows that the binding affinity of acarbose-α-amylase complexes (BA = –7.806 kcal/ mol) is lower than that of rutin-α-glucosidase complexes (–8.756 kcal/ mol).


Figure 3. 5kzw_the human α-glucosidase with Acarbose (CID41774), Binding Affinity –7.806 kcal mol–1; 5kzw_the human α-glucosidase with Rutin, Binding Affinity = –8.756 kcal/ mol


The differences in binding affinity can be seen in Figures 3 showing the interaction of acarbose-α-glucosidase, including 5 conventional hydrogen bonds, carbon-hydrogen bonds, unfavorable donor-donor, unfavorable acceptor-acceptor, and van der Walls, however rutin-α-glucosidase, including 4 traditional hydrogen bonds, Pi-Pi T-shaped and van der Walls.

Some MOLP compounds also appear to have potential as relatively better inhibitors in the inhibition of α-amylase and α-glucosidase, such as kaempferol 3-o-rutinoside, isoquercitrin, kaempferol 3- o-acetyl-glucoside, quercetin 3-o-(6-o-malonyl-β-d-glucoside), kaempferol 3-o-(6”-malonyl-glucoside), astragalin/kaempferol 3-o-glucoside, quercetin 3-o-(6”-acetyl-glucoside), cyanidin 3-5-o diglucoside, myricetin [30]. In line with the research of Zainab et al. [29], MO leaves showed high α-amylase and α-glucosidase inhibitory activity where there were 5 phytochemical compounds, namely anthraquinone, hemlock tannin, cytoglucide (glycoside) and phenolic steroids showing binding to protein targets. The ligand-based pharmacophore model shows the main features, namely HBD, HBA, aromatic ring, hydrophobic, and positive ionized surface, which are essential for binding to receptors.

Molecular docking validation was conducted by re-docking the best, i.e. rutin toward α-glucosidase receptor (id:5kzw) using AutoDock 4.2 software. The docking validation was considered successful if the root-mean-square deviation (RMSD) value was less than 2 Å, as shown Figure 4. The molecular docking process was carried out using AutoDock Tools and AutoDock Vina.



Figure 4 Visualization rutin bound toward α-glucosidase receptor (id:5kzw), along with the positions of the re-docked ligand results.


The re-docking results showed poses closely matching the original ligand conformations, with RMSD values of ≤ 2 Å. This confirms the validity of the AutoDock Vina docking protocol, demonstrating its ability to accurately predict ligand-target interactions and justifying the use of these grid box coordinates for docking test compounds. As illustrated in Figure 4, the overlap between the rutin and re-docked ligand poses indicates similar interactions and no significant positional differences. These findings align with previous studies, and notably, the RMSD value obtained here is even lower (closer to zero), suggesting improved structural conformation accuracy compared to earlier reports. The greater the RMSD value obtained indicates the greater the distance between the pose of the docking ligand and the original ligand.


Molecular dynamics simulations

Molecular dynamics is a form of computer simulation in which atoms and molecules can interact for some time with a known physical approach that provides a view of motion and particles. Molecular dynamics is a further stage of molecular mechanics and is based on the principle that atoms of a molecule feel a force to move. Molecular dynamics simulations are carried out to obtain clearer interactions regarding protein-ligand complexes in a flexible state because, in the docking process, the protein is not in a flexible state, so protein movement does not allow the protein movement to adjust its conformation that causes binding to the ligand [33].

Molecular dynamic simulation was carried out on only rutin-α-glucosidase complexes from ethyl acetate extract, which had the best binding affinity in molecular docking analysis. These simulations of both complexes were carried out in the model solvents the Molecular Mechanics Poisson-Boltzmann Surface Area (MMPBSA) and Molecular Mechanics Generalized Born Surface Area (MMGBSA) to examine the most potent compounds’ stability and binding relationship with the α-glucosidase actives [34]. Molecular dynamics simulations were performed on rutin-α-glucosidase complexes, as shown in Figure 5(a). The stability of the protein-ligand complex was investigated using the Root Mean Square Deviation (RMSD) of the protein’s backbone from its initial to the final configuration. The RMSD simulation revealed that after 2 ns of MD simulation time, the α-glucosidase complexed with rutin achieved general stability, with RMSD stabilizing at an average of 1.5 Å (Figure 5(b)). Protein structural flexibility is represented by the root mean square fluctuation (RMSF) value, which is the variation of the protein’s residues from their average position during the simulation. Rutin interacted with the α-glucosidase binding site more successfully (Figure 5(c)). Rutin interacted with the residue of the active and domain sites and reduced the mentioned sites’ fluctuations. Furthermore, Figure 5(a) illustrates the timeline interactions of the rutin moiety of α-glucosidase with its active sites.


Figure 5 Molecular dynamic simulation, RMSD, and RMSA of rutin-α-glucosidase complexes.


In the research, binding energy calculation in molecular dynamic simulation of rutin-α-glucosidase complexes using MMPBSA and MMGBSA solvent model. Molecular Mechanics Generalized Born Surface Area (MMGBSA) and Molecular Mechanics Poisson−Boltzmann Surface Area (MMPBSA) are computational methods that calculate macromolecule binding free energies. They are popular methods for predicting binding free energy because they are more accurate than molecular docking scoring functions but less computationally demanding than chemical free energy methods [38]. The MMGBSA analysis estimates a ligand’s binding free energy (ΔGbind) to a protein. This method combines molecular mechanics (MM) calculations with generalized born (GB) and solvent-accessible surface area (SASA) models to evaluate the energetic contributions of binding interactions, offering detailed insights into the strength and nature of protein-ligand interactions, as shown Figure 6. Binding energy in molecular dynamics simulations is greatly influenced by the average total of electrostatic energy and van der Waals energy because these 2 types of interactions are the main components that determine the strength and stability of interactions between molecules, such as proteins and ligands. Electrostatic energy arises from interactions between electric charges on different atoms or groups of atoms. These interactions can be either attractive or repulsive between positive and negative charges, thus playing a crucial role in how molecules specifically and strongly bind to each other. Van der Waals energy refers to weak interactions caused by temporary fluctuations in electron distribution on neighboring atoms. Although weak, the cumulative effect of van der Waals interactions is essential for stabilizing molecular conformations and facilitating subtle binding at the protein-ligand interface. In molecular dynamics simulations, the calculated binding free energy usually results from the sum of contributions from electrostatic and van der Waals energies. This energy reflects the stability of the formed molecular complex; the lower (more negative) the binding energy, the stronger and more stable the interaction. In summary, binding energy in dynamic simulations is influenced by the average total of electrostatic and van der Waals energies because together they determine the strength and stability of molecular interactions through charge-based attractions and weak but cumulative non-covalent forces.

MMPBSA Binding energy of rutin-α-glucosidase (∆G) –33.3645 ± 5.0338 kcal.mol–1 and MMGBSA rutin- α-glucosidase (∆G) 1.8598 ± 5.5359 kcal.mol–1. The difference in binding energy values between MMPBSA and MMGBSA is that in MMGBSA, there is a parameter influence that includes polar and nonpolar contributions to ΔG and MMPBSA, which includes bond, angle and dihedral energies, electrostatic energy, van der Waals energy, polar and nonpolar contributions to ΔG and ΔTΔS [36,37]. The MMGBSA analysis of the MOLP showed that rutin-α-glucosidase has the most negative ΔGbind, indicating the highest binding affinity among the tested ligands. This strong affinity is attributed to high van der Waals interactions and electrostatic interactions despite incurring a substantial solvation penalty. Rutin is the most promising compound for further development due to its strong binding affinity despite a significant solvation effect. The need for further analysis of MO compounds, such as in vitro and in vivo analysis and clinical studies, is still unknown, so further research is needed to evaluate its potential.


Figure 6 Analysis of interaction energy: total energy, electrostatic energy, and van der Waals energy.


α-Glucosidase inhibitory activity

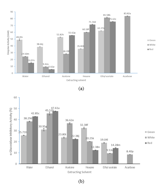
α-Glucosidase is a key enzyme in the final process of the digestive tract, which hydrolyzes carbohydrates into glucose. Inhibition of α-glucosidase affects glucose absorption, thus reducing blood glucose levels. All MOLP extracts from different leaf stalk colors showed inhibitions of α-glucosidase (Figure 7).


Figure 7 α-Glucosidase activity and inhibition by Moringa oleifera leaf powder (MOLP) extracts from red, green, and white leaf stalks. Data are presented as mean ± SD (n = 6). Different letters (a-p) indicate significant differences at p < 0.05.


The ethyl acetate extract from green leaf stalk MOLP revealed the lowest activity, and the highest activity was observed in the ethanol extract from red leaf stalk MOLP. Reduced enzymatic activity was the implication of α-glucosidase activity inhibition from the bioactive compounds in MOLP extracts. Acarbose showed the highest inhibition, and the inhibition of MOLP extract ranged from 5.6% to 84.47%. The highest inhibitory activity is in ethyl acetate extract from the white leaf stalk MOLP of 81.58%. Another study reported the inhibition activity against α-glucosidase enzyme of dried MO leaf extract, wet MO leaf extract, and acarbose achieved 81.39%, 83.94% and 95.4% [5]. Pattola et al. [37] reported that the ethanol extract of MO inhibited α-glucosidase enzyme activity, with an IC50 value of 84.238 μg/mL. The bioactive compounds in MOLP extracts from white leaf stalk demonstrate a strong ability to inhibit α-glucosidase, approaching the effectiveness of acarbose. The ethyl acetate extract achieved 81.58% inhibition. Rutin was present in the ethyl acetate extract but rutin and other compounds present in other extracts also affect enzyme activity. Plant extracts are complex mixtures of various compounds. While rutin may be the main or active component in an ethyl acetate extract, the overall effect of the extract on enzyme activity is often the result of synergism, additivity, or even antagonism of the various compounds present in it, not just rutin alone [38].

MO contains chemical compounds that have antidiabetic properties, gallic acid, catechin, chlorogenic acid, caffeic acid, ellagic acid, epicatechin, rutin, quercetin, isoquercitrin, and kaempferol. Hunger signals sent by cells that need energy are responded to by degrading amylose, amylopectin, and glycogen. Amylose only contains a straight chain of bonds (1→4), while amylopectin and glycogen in addition to having a straight chain of bonds (1→4), also contain bonds (1→6) in the branched chain. The phosphorylase enzyme only catalyzes the cleavage of α (1→4) bonds in amylopectin and glycogen and stops at the terminal glucose residue about 4 glucose residues before the branch point. The transferase enzyme is needed to move the arrangement consisting of 3 glycosyl residues from the outermost branch to the other branch. Furthermore, the α-1,6-glucosidase enzyme is responsible for breaking the α-1,6-glycosidic bonds at each branch in glycogen. So, the transferase enzyme and the α-1,6-glucosidase enzyme change the branched structure into a straight structure so that the phosphorylase enzyme can break the straight chain again. Therefore, various compounds produced from Moringa oleifera leaf extract such as gallic acid, catechin, chlorogenic acid, caffeic acid, ellagic acid, epicatechin, rutin, quercetin, isoquercitrin, and kaempferol which inhibit the action of the glucosidase enzyme can stop the degradation of amylopectin and glycogen so that blood glucose levels can be maintained at normal conditions.

MO leaves exhibit superior inhibitory activity compared to MO roots. The distinct properties of MO leaves are attributed to secondary metabolites such as quercetin-3-glycoside, rutin, and kaempferol [42]. Jimoh [40] has confirmed the potent inhibitory function of MO leaf extract water against the α-glucosidase enzyme, with an extreme inhibition value of 4.73 ± 0.05 µg/mL. Furthermore, MO leaves contain vegetable proteins similar to insulin that can be used in antidiabetic treatments. Insulin hormone is a hormone released by β cells of the pancreas gland in response to increased blood glucose concentration after eating. Blood glucose concentrations that exceed normal levels of around 80 mg/dL are responded to by insulin hormone by activating signal transduction pathways to accelerate the use of blood glucose as an energy source through a series of glucose catabolism reactions or blood glucose is stored as energy reserves through the glycogen synthesis pathway or through the fatty acid synthesis pathway to produce plasma VLDL protein that carries triacylglycerol from the liver to be stored in adipose tissue. The signal transduction pathway by insulin hormone is stopped through 3 mechanisms, namely first, the work of protein phosphatase enzyme that catalyzes hydrolysis reaction to remove phosphate group from tyrosine amino acid residue in insulin receptor and IRS protein; second, the work of lipid phosphatase enzyme that catalyzes hydrolysis reaction to remove phosphate group in PIP3 so that PIP2 is produced again; and third, the work of serine phosphatase enzyme that catalyzes hydrolysis reaction to remove phosphate group of active protein kinase Akt to become inactive again [41].

Aqueous leaf extract of Moringa oleifera with dosing with 100 mg/kg to STZ induced diabetic rat has shown antidiabetic activity by inhibiting the action of α-glucosidase and α-amylase, which improved antioxidant activity, rate of glucose uptake, and glucose tolerance. Bioactive compounds are extracted from MOLP using the maseration-ultrasonik method. Solvents are water, ethanol, acetone, ethyl acetate, and n-hexane. In this study, ethyl acetate extracts of white and red varieties of MOLP as the most promising antidibetes candidate. However, there may be differences in extract yield, for bioactive compounds are highly dependent upon the nature of the extracting solvent [40]. The solvent, plant part, and extraction method are the basic parameters that influence the extract quality. Ethanol is an effective solvent for phenolic compounds due to its polarity, which can extract hydrophilic and lipophilic plan [43]. The use of different solvents will result in different inhibition. Different types of leaf stalk colors will produce different inhibitions, because different colors of leaf stalks produce different bioactive compounds. Fidyasari et al. [31] found that MOLP from the red leaf stalk is the most suitable for bioactive purposes because the highest TPC and TFC were found in MOLP from the red leaf stalk.


Conclusions

In the study, we explored molecular docking and dynamics on MOLP extract compounds using the maceration-sonification method with 5 solvents, showing its ability to inhibit α-amylase and α-glucosidase. This study reveals that the MOLP from different leaf stalk color variations produces a wide phytochemical content. The molecule rutin showed the highest binding affinity among 57 tested compounds. The in-silico study revealed that rutin displayed potent antidiabetic activity and promising therapeutic benefits. Based on the results above, it can be concluded that these phytochemicals could be used as drugs to treat type 2 diabetics. Inhibition of α-glucosidase affects more glucose absorption, thus reducing blood glucose levels. The bioactive compounds in MOLP extracts from white leaf stalk demonstrate a strong ability to inhibit α-glucosidase, approaching the effectiveness of acarbose. However, further research is needed to validate in vivo whether MOLPs from different stem colours can be used as antidiabetic candidates.




Acknowledgements

The authors are very grateful to Universitas Brawijaya, Indonesia for funding this study through Hibah Guru Besar Grant Batch II Year 2024 Contract No. 02992/UN.F1001/B/KS/2024 and Mr. Hosman for providing the Moringa oleifera leaf powder.


Declaration of generative AI in scientific writing

Generative AI tools, were used solely to enhance the language and readability of this manuscript. All content has been reviewed and verified by the authors to ensure its accuracy and integrity. The use of such AI tools was conducted under human oversight and does not affect the authors’ full responsibility for the content. No AI tool was listed or considered as an author or co-author of this work.


CRediT author statement

Ambar Fidyasari: Methodology, Formal Analysis, Investigation, Visualisation, Writing – Original Draft, Teti Estiasih: Conceptualisation, Methodology, Review & Editing, Validation. Supervision. Siti Narsito Wulan: Supervision. Alfi Khatib: Conceptualisation, Supervision. Sentot Joko Raharjo: Review & Editing, Validation.


References

[1] H Mechchate, I Es-Safi, R Conte, C Hano, A Amaghnouje, FZ Jawhari, N Radouane, N Bencheikh, A Grafov and D Bousta. In vivo and in vitro antidiabetic and anti-inflammatory properties of flax (Linum usitatissimum L.) seed polyphenols. Nutrients 2021; 13(8), 2759.

[2] H Sun, P Saeedi, S Karuranga, M Pinkepank, K Ogurtsova, BB Duncan, C Stein, A Basit, JCN Chan, JC Mbanya, ME Pavkov, A Ramachandaran, SH Wild, S James, WH Herman, P Zhang, C Bommer, S Kuo, EJ Boyko and DJ Magliano. IDF Diabetes Atlas: Global, regional and country-level diabetes prevalence estimates for 2021 and projections for 2045. Diabetes Research and Clinical Practice 2022; 183, 109119.

[3] R Amelia, J Harahap and H Wijaya. The role of physical activity on glucose transporter-4, fasting blood glucose level and glycate hemoglobin in type 2 diabetes mellitus patients in Medan, Indonesia. Family Medicine & Primary Care Review 2021; 23(3), 274-278.

[4] RW Sibony, O Segev, S Dor and I Raz. Overview of oxidative stress and inflammation in diabetes. Journal of Diabetes 2024; 16(10), e70014.

[5] H Ouassou, T Zahidi, S Bouknana, M Bouhrim, H Mekhfi, A Ziyyat, A Legssyer, M Aziz and M Bnouham. Inhibition of α-glucosidase, intestinal glucose absorption, and antidiabetic properties by Caralluma europaea. Evidence-Based Complementary and Alternative Medicine 2018; 2018(1), 1-8.

[6] H Natsir, AW Wahab, A Laga and AR Arif. Inhibitory activities of Moringa oleifera leaf extract against α-glucosidase enzyme in vitro. Journal of Physics: Conference Series 2018; 979, 012019.

[7] S Akyüz, İ Kurt-Celep, Y İnan, OE Özdemir, E Celep and E Yesilada. In vitro evaluation of the bioactivity and bioaccessibility of Hypericum olympicum L. South African Journal of Botany 2021; 142, 316-324.

[8] WT Muzumbukilwa, M Nlooto and PMO Owira. Hepatoprotective effects of moringa oleifera lam (Moringaceae) leaf extracts in streptozotocin-induced diabetes in rats. Journal of Functional Foods 2019; 57(12), 75-82.

[9] GL King. The role of inflammatory cytokines in diabetes and its complications. Journal of Periodontology 2008; 79(85), 1527-1534.

[10] ZF Ma, J Ahmad, H Zhang, I Khan and S Muhammad. Evaluation of phytochemical and medicinal properties of Moringa (Moringa oleifera) as a potential functional food. South African Journal of Botany 2020; 129, 40-46.

[11] MZ Mumtaz, F Kausar, M Hassan, S Javaid and A Malik. Anticancer activities of phenolic compounds from Moringa oleifera leaves: In vitro and in silico mechanistic study. Beni-Suef University Journal of Basic and Applied Sciences 2021; 10(1), 12.

[12] G Domínguez-Rodríguez, ML Marina and M Plaza. In vitro assessment of the bioavailability of bioactive non-extractable polyphenols obtained by pressurized liquid extraction combined with enzymatic-assisted extraction from sweet cherry (Prunus avium L.) pomace. Food Chemistry 2022; 385(2), 132688.

[13] UF Magaji, O Sacan and R Yanardag. Alpha amylase, alpha glucosidase and glycation inhibitory activity of Moringa oleifera extracts. South African Journal of Botany 2020; 128, 225-230.

[14] X Fu, D Wang, T Belwal, Y Xu, L Li and Z Luo. Sonication-synergistic natural deep eutectic solvent as a green and efficient approach for extraction of phenolic compounds from peels of Carya cathayensis Sarg. Food Chemistry 2021; 355(45), 129577.

[15] D Benouchenne, I Bellil, S Akkal, C Bensouici and D Khelifi. LC-MS/MS analysis, antioxidant and antibacterial activities of Algerian fir (Abies numidica de LANNOY ex CARRIÈRE) ethylacetate fraction extracted from needles. Journal of King Saud University - Science 2020; 32(8), 3321-3327.

[16] AN Ananda, T Triawanti, B Setiawan, AC Makati, JA Putri and SJ Raharjo. In silico study of the flavonoid compound of Sauropus androgynus leaves ON RNA-Dependent RNA polymerase (RdRp) SARS-CoV-2. Aspects of Molecular Medicine 2024; 3(1), 100032.

[17] WL Jorgensen and J Tirado-Rives. Potential energy functions for atomic-level simulations of water and organic and biomolecular systems. Proceedings of the National Academy of Sciences 2005; 102(19), 6665-6670.

[18] LS Dodda, ICD Vaca, J Tirado-Rives and WL Jorgensen 1. LigParGen web server: An automatic OPLS-AA parameter generator for organic ligands. Nucleic Acids Research 2017; 45(W1), W331-W336.

[19] N Saada, MR Abdullah, A Hamaideh and A Abu-Romman. Application of stochastic analysis, modeling and simulation (SAMS) to selected hydrologic data in the middle east. Engineering, Technology and Applied Science Research 2019; 9(3), 4261-4264.

[20] Y Khalak, G Tresadern, M Aldeghi, HM Baumann, DL Mobley, BLD Groot and V Gapsys. Alchemical absolute protein-ligand binding free energies for drug design. Chemical Science 2021; 12(1), 13958-13971.

[21] M Didandeh, AH Souderjani and M Asgari. Applications of molecular dynamics simulation in nanomedicine. In: Thomas J. Webster (Ed.). Nanomedicine: Technologies and applications. 2nd Eds. Woodhead Publishing, Cambridge, UK, 2023, p. 397-405.

[22] M Mohammadi, V Zambare, L Malek, C Gottardo, Z Suntres and L Christopher. Lichenochemicals: Extraction, purification, characterization, and application as potential anticancer agents. Expert Opinion on Drug Discovery 2020; 15(5), 575-601.

[23] AH Tripathi, N Negi, R Gahtori, A Kumari, P Joshi, LM Tewari, Y Joshi, R Bajpai, DK Upreti and SK Upadhyay. A review of anti-cancer and related properties of lichen-extracts and metabolites. Anti-Cancer Agents in Medicinal Chemistry 2021; 22(1), 115-142.

[24] C Bitwell, SS Indra, C Luke and MK Kakoma. A review of modern and conventional extraction techniques and their applications for extracting phytochemicals from plants. Scientific African 2023; 19, e01585.

[25] MMAN Ranjha, S Irfan, JM Lorenzo, B Shafique, R Kanwal, M Pateiro, RN Arshad, L Wang, GA Nayik, U Roobab and RM Aadil. Sonication, a potential technique for extraction of phytoconstituents: A systematic review. Processes 2021; 9(8), 1406.

[26] M Nadeem, MMAN Ranjha, K Ameer, A Ainee, Z Yasmin, S Javaria and TF Teferra. Effect of sonication on the functional properties of different citrus fruit juices. International Journal of Fruit Science 2022; 22(1), 568-580.

[27] A Daina, O Michielin and V Zoete. SwissADME: A free web tool to evaluate pharmacokinetics, drug-likeness and medicinal chemistry friendliness of small molecules. Scientific Reports 2017; 7, 1-13.

[28] ZW Teclegeorgish, YM Aphane, NS Mokgalaka, P Steenkamp and VJ Tembu. Nutrients, secondary metabolites and anti-oxidant activity of Moringa oleifera leaves and Moringa-based commercial products. South African Journal of Botany 2021; 142(2021), 409-420.

[29] B Zainab, Z Ayaz, MS Alwahibi, S Khan, H Rizwana, DW Soliman, A Alawaad and AM Abbasi. In-silico elucidation of Moringa oleifera phytochemicals against diabetes mellitus. Saudi Journal of Biological Sciences 2020; 27(9), 2299-2307.

[30] P Kashyap, S Kumar, CS Riar, N Jindal, P Baniwal, RPF Guiné, PMR Correia, R Mehra and H Kumar. Recent advances in drumstick (Moringa oleifera) leaves bioactive compounds: Composition, health benefits, bioaccessibility, and dietary applications. Antioxidants 2022; 11(2), 402.

[31] A Fidyasari, T Estiasih, SN Wulan and A Khatib. The physicochemical, functional, and pasting properties of Moringa oleifera leaf powder from different leaf stalk colors. CyTA - Journal of Food 2024; 22(1), 2402062.

[32] SJ Raharjo, C Mahdi, N Nurdiana, T Kikuchi and F Fatchiyah. Binding energy calculation of patchouli alcohol isomer cyclooxygenase complexes suggested as COX-1/COX-2 selective inhibitor. Advances in Bioinformatics 2014; 2014(3), 1-12.

[33] P Listiyani and VD Kharisma. A novel antiviral candidate from moringa oleifera through dual targeting mechanism of SARS-CoV-2 protease: Computational screening. Genbinesia Journal of Biology 2023; 2(2), 63-75.

[34] A Proboningrat, VD Kharisma, ANM Ansori, R Rahmawati, A Fadholly, GAV Posa, SA Sudjarwo, FA Rantam and AB Achmad. In silico study of natural inhibitors for human papillomavirus-18 E6 protein. Research Journal of Pharmacy and Technology 2022; 15(3), 1251-1256.

[35] KA Peele, CP Durthi, T Srihansa, S Krupanidhi, VS Ayyagari, DJ Babu, M Indira, AR Reddy and TC Venkateswarulu. Molecular docking and dynamic simulations for antiviral compounds against SARS-CoV-2: A computational study. Informatics in Medicine Unlocked 2020; 19, 100345.

[36] S Genheden and U Ryde. The MM/PBSA and MM/GBSA methods to estimate ligand-binding affinities. Expert Opinion on Drug Discovery 2015; 10(5), 449-461.

[37] I Pattola, S Maryam and R Razak. In vitro activity test of a-glucosidase enzyme inhibition of moringa oleifera L. leaves extract. Pharmacy Reports 2022; 1(1), 17-20.

[38] D Kurnia, F Zakiyah, W Budiana and I Andriansyah. In vitro inhibitory activity of the α -glucosidase enzyme from Eucheuma cottonii macroalgae extract. Jurnal Kimia Riset 2025; 10, 102-112.

[39] A García-Gurrola, AL Martínez, A Wall-Medrano, FJ Olivas-Aguirre, E Ochoa-Ruiz and AA Escobar-Puentes. Phytochemistry, anti-cancer, and anti-diabetic properties of plant-based foods from mexican agrobiodiversity: A review. Foods 2024; 13(24), 1-37.

[40] TO Jimoh. Enzymes inhibitory and radical scavenging potentials of two selected tropical vegetable (Moringa oleifera and Telfairia occidentalis) leaves relevant to type 2 diabetes mellitus. Revista Brasileira de Farmacognosia 2018; 28(1), 73-79.

[41] M Nurkhozin and S Mulyanti. Biokimia: Struktur dan Fungsi Biomolekul. Yogyakarta Andi Publisher, Indonesia, 2017.

[42] A Mehmood, S Javid, MF Khan, KS Ahmad and A Mustafa. In vitro total phenolics, total flavonoids, antioxidant and antibacterial activities of selected medicinal plants using different solvent systems. BMC Chemistry 2022; 16(1), 64.

[43] AEE Viado, L Purnamasari and JFD Cruz. Anti-diabetic effects of Hibiscus spp. extract in rat and mice models: A review. The Indonesian Journal of Nutrition 2022; 11(1), 39-48.