Start Bootstrap Logo

Trends Sci. 2026; 23(1): 11293

Temperature and Light-Dependent Quercetin Glycoside Transformation in Shallot Bulbs: Integrated Assessment of Bioactive Dynamics and Storage Quality


Phattharaporn Yuthachit1,2,* and Suwayd Ningsanond1


1School of Food Technology, Institute of Agricultural Technology, Suranaree University of Technology,

Nakhon Ratchasima 30000, Thailand

2Food Technology Program, Faculty of Science and Technology, Nakhon Ratchasima Rajabhat University,

Nakhon Ratchasima 30000, Thailand


(*Corresponding author’s e-mail: [email protected])


Received: 16 July 2025, Revised: 8 August 2025, Accepted: 18 August 2025, Published: 30 October 2025

Abstract

Shallots (Allium ascalonicum L.) contain valuable quercetin glycoside bioactive compounds that undergo complex transformations during postharvest storage. This study aimed to elucidate the transformation kinetics of individual quercetin compounds under different temperature-light combinations to optimize storage protocols for improved bioactive retention. Fresh shallot bulbs were stored using factorial combinations of temperature (15 vs 30 °C) and light conditions (darkness vs 18,000 lux). Individual quercetin compounds (quercetin 3,4-diglucoside, quercetin 4-glucoside, free quercetin, and quercetin 3-glucoside), reducing sugar content, and weight loss were monitored during storage. Temperature and light exhibited interactive effects on the kinetics of quercetin transformation. The combination of 15 °C with 18,000 lux illumination produced maximum free quercetin accumulation (27.00 g/kg dw) at day 12, substantially enhancing bioactive compound concentrations. Higher temperature (30 °C) accelerated conversion rates but reduced overall compound stability, with rapid degradation observed in later storage phases. Additionally, storage at 15 °C in darkness best maintains reducing sugar stability (64.51 mg/100 g dw), whereas storage at 30 °C with light exposure shows a steep decline to 32.89 mg/100 g dw, indicating metabolic instability. These findings provide insight into optimizing postharvest storage of Allium crops to retain functional compounds in tropical environments.


Keywords: Allium ascalonicum L., Temperature, Light exposure, Quercetin glycoside, Bioactive retention, Postharvest storage


Introduction

Shallots (Allium ascalonicum L.) are members of the Alliaceae family and play significant roles in both culinary practices and traditional medicine [1]. Shallots are distinguished by their unique flavor characteristics, as well as their diverse chemical compounds and high nutritional content. Shallots exhibit the highest total phenolic content (114.7 mg/100 g) among onion varieties [2], highlighting their potential as rich sources of natural bioactives. These bulbs also contain abundant quercetin and related flavonoids, which account for their excellent bioactive properties [3]. Among Allium species, quercetin and its glycosides are the most significant bioactive compounds, contributing to various health-promoting activities, including antimicrobial, anti-inflammatory, antiviral, and anticancer properties, as well as strong antioxidant properties that neutralize harmful free radicals, minimize oxidative damage, and maintain cellular integrity [4,5]. These properties make quercetin compounds valuable targets for the development of functional foods and therapeutic applications [6,7].

Shallots contain several forms of quercetin compounds, with glycosylated derivatives being the predominant forms. Total quercetin content in shallots comprises 4 distinct forms: Quercetin 3,4’-diglucoside (Q3,4’-diglucoside), quercetin 4’-glucoside (Q4’-glucoside), quercetin 3-glucoside (Q3-glucoside), and free quercetin aglycone. In fresh shallot tissue, over 99% of quercetin exists in glycosylated forms, primarily as Q3,4’-diglucoside and Q4’-glucoside, each constituting approximately 49% of total quercetin content (4.93 ± 0.03 µmol/g) [3]. The quercetin transformation process involves beta-glucosidase enzymes that progressively remove sugar molecules (Figure 1). Q3,4-diglucoside is hydrolyzed to obtain Q4-glucoside, which transforms into free quercetin with maximum bioactive potency as the final product, while Q3-glucoside transforms through parallel pathways [6,8].


Figure 1 Quercetin transformation pathways in shallot bulbs during storage. Arrows indicate enzymatic conversion pathways. Q3,4G 3-glucosidase and Q4G 3-glucosyltransferase represent key enzymes in quercetin transformation.


During storage, shallots undergo complex physiological and biochemical changes that can lead to substantial losses in bioactive compounds, particularly quercetin compounds that contribute to health-promoting properties [6]. Traditional shallot storage practices focus primarily on preventing sprouting and weight loss, while preservation of bioactive compounds remains largely unaddressed. With shallots experiencing 20% - 30% deterioration during storage and marketing [9], the preservation of bioactive compound properties during postharvest storage represents both a scientific challenge and economic imperative for maintaining nutritional value in commercial production.

The biochemical processes within shallot bulbs, especially the quercetin transformation pathways, are influenced by environmental factors such as temperature and light [10]. Suboptimal storage conditions may lead to uncontrolled degradation or unwanted quercetin conversion, thereby reducing the nutritional value of the final product, which is free quercetin [11]. These complex metabolic processes represent dynamic systems that could be strategically managed through controlled environmental conditions to enhance rather than merely preserve the bioactive potential of shallot bulbs [12,13]. Previous research demonstrated that storage temperature significantly influences quercetin glucoside concentrations and enzymatic activities when storage time increases [14]. Light exposure also impacts the content of quercetin and quercetin glucoside in onions [15]. However, a comprehensive characterization of quercetin and quercetin glucoside compounds under controlled storage conditions is still lacking, revealing a significant knowledge gap. While existing studies have examined storage effects separately, a thorough evaluation of temperature-light interactions at practical storage conditions for tropical agriculture applications remains underexplored. Additionally, environmental stress factors during storage are directly related to concomitant physiological changes in plants, including alterations in carbohydrate metabolism and moisture loss [16]. Therefore, these interrelated biochemical and physiological processes could inform the development of effective postharvest storage management strategies for shallots, enabling commercial-scale preservation of bioactive compounds throughout the supply chain.

This study aims to comprehensively investigate the temperature- and light-dependent transformations of quercetin glycosides in shallot bulbs during storage. Our research objectives are to: (1) Characterize the individual transformation dynamics of Q3,4-diglucoside, Q4-glucoside, Q3-glucoside, and free quercetin under controlled temperature (15 vs 30 °C) and light conditions (darkness vs 18,000 lux) over 30 days of storage; (2) evaluate concurrent changes in reducing sugar content and weight loss as indicators of metabolic activity and quality deterioration; and (3) establish integrated storage recommendations that optimize bioactive compound profiles while maintaining commercial viability parameters (weight loss thresholds and sugar stability).


Materials and methods

Plant materials

Shallots cv. Sri Saket were harvested from a farm in Sri Saket Province, Thailand, in September at 47 days after planting. Bulbs with uniform size (2.0 - 2.5 cm in diameter), weighing 5 - 10 g each, and free from physical damage, disease, or insect infestation were selected (Figure 2). A total of 300 bulbs were used for the experiment. After harvest, shallots were cleaned and immediately used for the experiment.


Figure 2 Shallot bulbs cv. Sri Saket used in the study showing uniform size and quality characteristics. Inset shows cross-sectional view of selected bulbs (2.0 - 2.5 cm diameter).

Experimental design and storage setup

The experiment followed a 2×2 factorial design in a completely randomized design (CRD) with 2 main factors: Temperature (15 and 30 ± 1 °C) and light conditions (darkness at 0 lux and light at 18,000 lux using cool-white fluorescent lamps). The following 4 treatment combinations were investigated: T1 (15 °C + darkness), T2 (15 °C + 18,000 lux), T3 (30 °C + darkness), and T4 (30 °C + 18,000 lux). Each treatment consisted of 3 replicates, with 20 bulbs per replicate. Analytical samples were collected on storage days 0, 6, 12, 18, 24, and 30, with ten bulbs randomly selected from each replicate at each sampling time.

Shallots were stored in temperature-controlled growth chambers at 65 ± 5% relative humidity. For light treatments, samples were exposed to cool-white fluorescent lamps (120 cm long, 34 W, 71 Lm/m, OSRAM) providing continuous illumination at 18,000 lux. The lamps were positioned 50 cm above the samples to provide adequate light intensity while minimizing heat effects. Samples were placed on plastic mesh trays with 2 cm spacing between bulbs to ensure uniform light exposure and air circulation. Bulbs were rotated every 3 days to minimize positional effects. For darkness treatments, samples were kept in complete darkness (0 lux) in the same environmental conditions. Light intensity was monitored using a digital light meter (DIGICON LX-70, Norway) at the sample level. To ensure consistent experimental conditions, light exposure and temperature were continuously monitored and maintained at optimal levels.


Weight loss measurement

The initial fresh weight (W0) was documented on day 0, with follow-up measurements (Wt) taken at predetermined intervals (days 6, 12, 18, 24 and 30). Weight loss was calculated using the formula:



Sample preparation and analysis

Before analysis, ten shallot bulbs per replicate were prepared by removing the stems, roots and outer dry skins, dicing into small pieces (2×2 mm2), freezing with liquid nitrogen (−196 °C), and grinding into powder using a freeze dryer (Christ Alpha 2-4 LDplus, Germany) at −80 °C and 0.1 mbar for 48 h. Powder samples were stored in amber vials at −80 °C until analysis was performed.


Quercetin compound determination

Quercetin compounds were extracted and analyzed according to the modified Wiczkowski et al. [3]. Freeze-dried samples (0.5 g) were extracted with 10 mL of 80% methanol containing 0.1% formic acid using an ultrasonic bath (40 kHz, 30 °C) for 30 min. The extract was centrifuged at 4,000 rpm for 10 min, then the supernatant was filtered through a 0.45 m membrane filter before HPLC analysis.

HPLC analysis was performed using an Agilent 1100 system equipped with an Agilent ZORBAX Eclipse XDB-C18 column (4.6×150 mm2, 5 m). Mobile phases consisted of 0.1% formic acid in water (A) and 0.1% formic acid in acetonitrile (B) with gradient elusion: 5% - 10% (5 min), 10% - 25% (5 min), 25% - 85% (6 min), 85% - 5% (4 min) and 5% (5 min) at 0.8 mL/min flow rate.  Detection was performed at 370 nm with a column temperature of 30 °C. Individual quercetin compounds (Q3,4’-diglucoside, Q4’-glucoside, Q3-glucoside and free quercetin) were quantified using authentic standards and expressed as mg/kg dry weight. The method exhibited excellent linearity (R2 = 0.988 - 0.9999), with limits of detection (LOD) ranging from 1.2 to 2.0 µg/mL, limits of quantification (LOQ) estimated at 3.8 to 6.2 µg/mL, and recovery rates between 88.7% and 102.3%.


Reducing sugar determination

The DNS (3,5-dinitrosalicylic acid) procedure [17] was employed for reducing sugar analysis. Freeze-dried powder samples (0.5 g) were extracted with 10 mL of distilled water at 80 °C for 15 min, filtered, and then reacted with the DNS reagent at 100 °C for 5 min. Detection was performed at 540 nm via UV-Vis spectrophotometry (Shimadzu UV-1900, Japan). A glucose calibration curve enabled quantification, with results expressed as milligrams of glucose equivalent per kilogram of dry weight (mg/100 g dw).


Statistical analysis

Results are expressed as means ± standard errors from triplicate samples. Factorial ANOVA evaluated treatment effects, with Duncan’s multiple range test for mean separation (p < 0.05). Statistical analysis was employed using SPSS version 28.0.


Results and discussion

Effect of storage conditions on weight loss

Weight loss occurred progressively in all storage treatments, with temperature having a greater influence than light exposure, as shown in Figure 3.


Figure 3 Weight loss patterns of shallot bulbs during 30-day storage under different temperature and light conditions. Storage conditions: 15 °C in darkness (), 15 °C at 18,000 lux (), 30 °C in darkness (), and 30 °C at 18,000 lux (). Data represent mean ± standard error (n = 3).


Shallots showed continuous moisture loss throughout the 30-day storage period (Figure 3). Storage at 30 °C resulted in rapid weight loss during the initial 12 days, reaching 14.72 ± 0.33% in darkness and 20.20 ± 1.73% under light at 18,000 lux, and increased weight loss to 25% - 27% after 30 days of storage. In contrast, storage at 15 °C resulted in slower weight loss compared to higher temperatures, with weight loss of 20.18 ± 0.75% at day 30 in the dark and 25.43 ± 0.09% under light. The weight loss of shallots throughout the storage period (30 days) exhibited distinct patterns, with storage at 30 °C and 18,000 lux showing rapid weight loss on days 0 - 12, characterized by an initial weight loss of approximately 20%, followed by a gradual decrease from days 12 - 30. Temperature effects were most pronounced during the early storage period, with 30 °C treatments showing 1.5 - 1.8 times higher weight loss rates than 15 °C treatments during the first 12 days. Light exposure consistently increased weight loss across both temperature conditions, with the effect being more noticeable at lower temperatures.

Complex interactions between environmental and physiological factors of shallot bulbs may be the factors that influence the different quality responses of shallot bulbs. At 30 °C, the combination of high metabolic activity and increased vapor pressure deficit creates optimal conditions for rapid moisture loss [18]. The relatively smaller effect of light at high temperatures suggests that thermal stress predominates over light-induced metabolic responses, while at moderate temperatures (15 °C), light-induced physiological changes become more apparent [19].

Our results demonstrated that elevated temperature was the primary factor accelerating weight loss through several related mechanisms. Water evaporation rates increase proportionally with temperature and storage duration [14]. Higher temperatures induce cell wall structural deterioration and compromise the integrity of the cuticle layer [20], thereby diminishing the barrier function of outer scale layers and resulting in reduced moisture retention in shallots. Additionally, higher temperatures enhance respiratory metabolism, resulting in carbohydrate and water depletion [16]. In contrast, light exposure had a lesser impact than temperature, but still exerted a minor influence, particularly at 15 °C. These results may be attributed to light-stimulated biochemical activities [21] and light-induced cuticle modifications in the surface tissues [22]. The experimental results showed that temperature control was the primary factor in reducing weight loss, while light management served as a secondary but important factor, especially during long-term storage at moderate temperatures (15 °C). Therefore, cool (15 °C) dark storage conditions offer the optimal strategy for moisture retention and commercial viability.


Effect of storage conditions on quercetin compound profiles

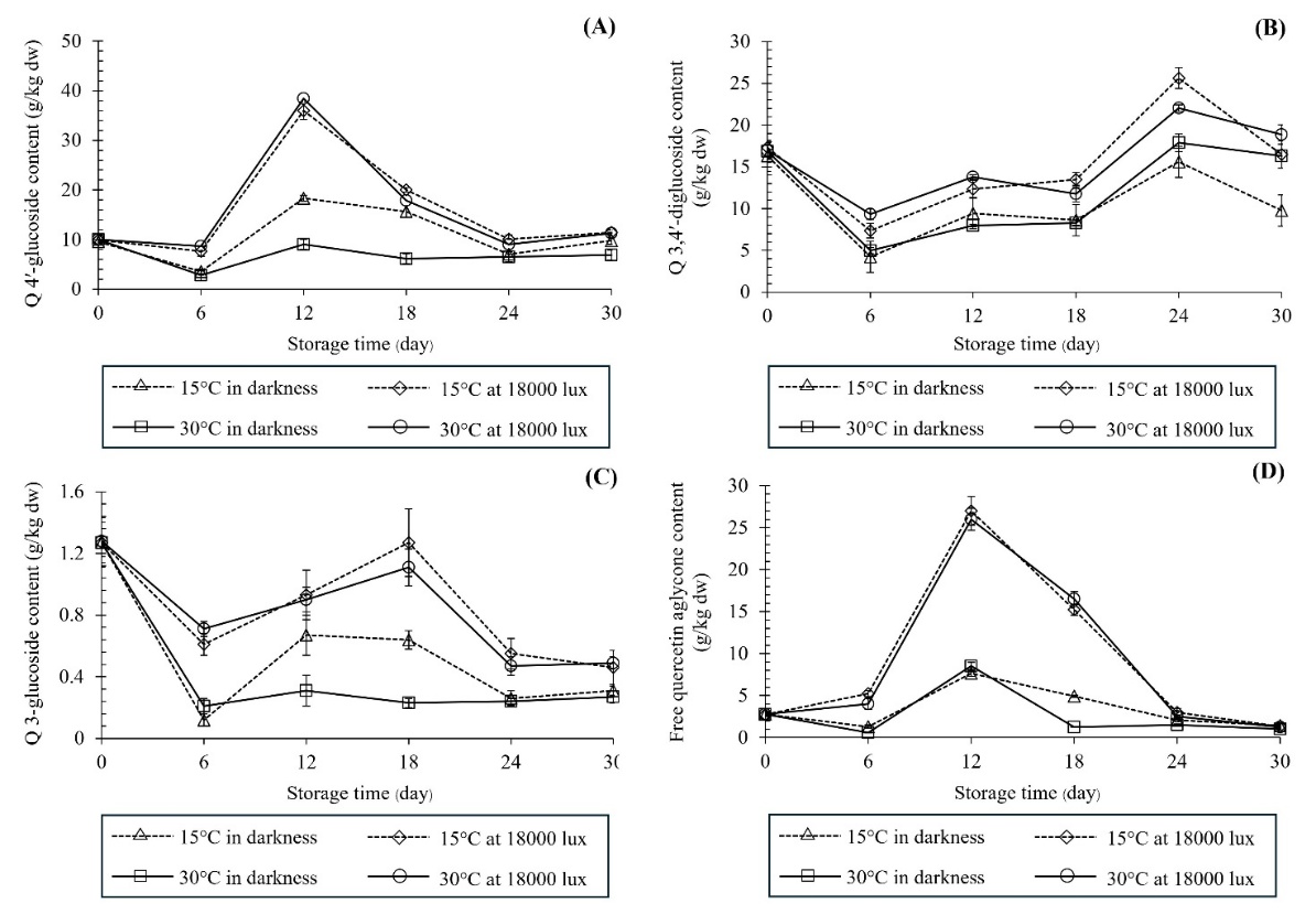
The quercetin compound profiles demonstrated distinct patterns during storage, with each compound responding differently to temperature and light conditions, as shown in Figure 4.


Figure 4 Changes in quercetin compounds in shallot bulbs during 30-day storage under different temperature and light conditions: (A) Q4’-glucoside, (B) Q3,4’-diglucoside, (C) Q3-glucoside, and (D) free quercetin aglycone content. Storage conditions: 15 °C in darkness (), 15 °C at 18,000 lux (), 30 °C in darkness (), and 30 °C at 18,000 lux (). Data represent mean ± standard error (n = 3).

Quercetin glycoside compounds in shallot bulbs showed distinct patterns depending on storage conditions (Figure 4). Q4’-glucoside content exhibited a marked increase from day 0 to day 12, with the highest peak observed at 30 °C under light exposure, approximately 38.41 ± 1.14 g/kg dry weight (Figure 4(A)). After day 12, all treatments exhibited declining trends, with final values ranging from 6.89 ± 0.43 to 11.43 ± 0.50 g/kg dry weight by day 30. Q3,4’-diglucoside content demonstrated more stable patterns throughout storage, with levels ranging from 4.23 ± 0.26 to 25.63 ± 1.27 g/kg dry weight (Figure 4(B)). The 15 °C light treatment showed the highest accumulation at day 24 (25.63 ± 1.27 g/kg dry weight), while dark storage conditions generally maintained lower and more consistent levels. Q3-glucoside content showed a gradual decline from initial values across all treatments, dropping from initial values of 1.27 - 1.28 g/kg to final values of 0.27 - 0.49 g/kg by day 30 (Figure 4(C)). The highest intermediate concentration was observed at a 15 °C light treatment on day 18 (0.49 ± 0.04 g/kg). Temperature appeared to have minimal effect on this compound’s degradation pattern compared to the influence of light conditions. The free quercetin aglycone displayed the most dramatic changes, increasing rapidly from near-zero initial levels to peak concentrations by day 12 (Figure 4(D)). The 15 °C light treatment achieved the highest peak (27.00 ± 1.72 g/kg dry weight), followed by a rapid decline to minimal levels by day 30.

Quercetin transformations during storage are primarily controlled by the balance between glucosidase and glucosyltransferase enzyme activities [14]. At elevated temperatures (30 °C), enhanced glucosidase activity converted glycosylated forms to free quercetin, explaining the rapid accumulation observed until day 12. This temperature-dependent enzyme activation aligns with previous studies demonstrating increased flavonoid metabolism at higher storage temperatures [14]. However, the subsequent decline after day 12 reflects a shift from enzymatic conversion to oxidative degradation processes. Free quercetin undergoes autooxidation and peroxidase-mediated breakdown during cellular senescence [23], resulting in the observed compound instability in later storage phases. This biphasic pattern - initial accumulation followed by degradation - illustrates the complex interplay between beneficial enzyme activation and detrimental oxidative processes.

In contrast to temperature effects, light exposure primarily functions as a stress signal that activates protective quercetin synthesis pathways [24]. This response increases Q4-glucoside and Q3,4-diglucoside levels as cellular defense mechanisms against photo-oxidative damage. Although this protective response enhances initial compound levels, prolonged light exposure ultimately contributes to metabolic instability, as evidenced by the dramatic fluctuations observed under combined high temperature and light conditions.

The subsequent decline after day 12 likely reflects the continuous oxidation and degradation of quercetin compounds through non-enzymatic browning reactions. The oxidation mechanism of quercetin has been confirmed in various systems to occur through autoxidation and non-enzymatic processes [25]. In previous research, quercetin concentrations were elevated under light conditions compared to dark treatments, particularly showing increases in Q4’-glucoside and Q3,4’-diglucoside. This pattern reflects light-induced stress reactions that activate quercetin synthesis pathways, providing cellular protection from ultraviolet damage [24]. The results demonstrate distinct stability patterns among quercetin compounds, likely due to differences in their chemical structures and reactivities. These differential stability patterns are consistent with previous studies, which show that flavonoid glycosides exhibit greater stability than their corresponding aglycones during digestion processes [26].

Q3-glucoside content showed a rapid decline in the early storage period under most conditions but demonstrated relative stability in the later phases. Storage conditions significantly affected these transformation patterns throughout the storage period (Figure 4(C)). The superior stability of Q3,4’-diglucoside may be attributed to its dual glucose substitution pattern. These 2 glucose molecules provide enhanced protection of quercetin from oxidation and degradation compared to Q3-glucoside, which contains only 1 glucose molecule [26]. This study demonstrates that controlling temperature and light during storage affects the changes in quercetin compounds in shallot bulbs. These findings are consistent with previous studies, which have shown that when onion bulbs are exposed to ambient temperatures after storage, internal changes occur, followed by metabolic and chemical alterations [27].

For practical applications, storage at 15 °C with light exposure provides the optimal window (day 12) to maximize free quercetin content (27.00 g/kg dw), representing the most bioactive form for functional food applications.


Effect of storage conditions on reducing sugar

Reducing sugar content showed significant changes in response to different storage temperatures and light intensities during the 30-day storage period, revealing complex metabolic dynamics in stored shallots as illustrated in Figure 5.


Figure 5 Changes in reducing sugar content of shallots during 30-day storage under different temperature and light conditions. Values represent means ± standard error (n = 3). Storage conditions: 15 °C in darkness (), 15 °C at 18,000 lux (), 30 °C in darkness (), and 30 °C at 18,000 lux (). Data represent mean ± standard error (n = 3).





Reducing sugar content (Figure 5) increased from initial values of 23.92 ± 1.32 mg/100 g dw to peak levels by day 12. The maximum was reached at 30 °C with 18,000 lux (93.71 ± 3.31 mg/100 g dw). Light exposure enhanced early accumulation, particularly at 15 °C (84.19 ± 2.08 vs 41.10 ± 1.50 mg/100 g dw on day 6). During the accumulation phase (day 0 - 12), temperature had a stronger influence on sugar concentration than light intensity. The 30 °C treatments achieved higher peak levels (93.71 and 73.42 mg/100 g dw with and without light) compared to 15 °C treatments (86.10 and 82.83 mg/100 g dw). However, sustainability differed markedly between temperature regimes during the decline phase (days 12 - 30). Storage at 15 °C in darkness best maintained sugar levels (64.51 ± 0.72 mg/100 g dw), while 30 °C with light showed the steepest decline (32.89 ± 3.13 mg/100 g dw).

The biphasic pattern likely reflects initial fructan hydrolysis and enzyme activation [27-29] followed by increased respiration, secondary metabolite synthesis [30], and tissue deterioration under stress conditions [19]. The dramatic fluctuations at 30 °C with light exposure (decreasing from 93.71 to 32.89 mg/100 g dw) indicate significant metabolic instability, consistent with previous studies showing negative impacts of light on storage quality [31]. Therefore, storing shallots at 15 °C in darkness preserves reducing sugar stability (64.51 mg/100 g dw), which is critical for maintaining sweetness and overall product quality throughout the supply chain.


Conclusions

This study demonstrates the complex temperature-light interactions that affect quercetin glycoside transformations in shallot bulbs during a 30-day storage period. The highest free quercetin aglycone content (27.00 g/kg dw) was observed at 15 °C with 18,000 lux on day 12, whereas reducing sugar stability was best preserved at 15 °C in darkness (64.51 mg/100 g dw). These findings suggest that maintaining storage at 15 °C with controlled light exposure offers an optimal strategy to enhance quercetin content while minimizing quality degradation, providing a practical basis for postharvest storage optimization in shallots. Our results provide valuable insights for improving postharvest quality management strategies for shallots in tropical agriculture.


Acknowledgements

The authors gratefully acknowledge financial support from the Commission on Higher Education and Nakhon Ratchasima Rajabhat University, Thailand. This research was funded through the Strategic Scholarship for Frontiers Research Network program (Grant No. CHE-PHD-SW-2551) under the Office of the Higher Education Commission, Thailand.


Declaration of generative AI in scientific writing

Generative AI tools (Claude) were used to improve the readability and language clarity of this manuscript. All content remains under full author responsibility and oversight.


CRediT author statement

Phattaharaporn Yuthachit: Conceptualization; Methodology; Data curation; Formal analysis; Investigation; Writing - Original draft preparation; Writing - Review and Editing. Suwayd Ningsanond: Conceptualization; Methodology; Supervision; Project administration; Funding acquisition; Writing - Review and Editing.


References

  1. C Moldovan, O Frumuzachi, M Babota, L Barros, A Mocan, S Carradori and G Crisan. Therapeutic uses and pharmacological properties of shallot (Allium ascalonicum): A systematic review. Frontiers in Nutrition 2022; 9, 903686.

  2. J Yang, KJ Meyers, J van der Heide and RH Liu. Varietal differences in phenolic content and antioxidant and antiproliferative activities of onions. Journal of Agricultural and Food Chemistry 2004; 52(22), 6787-6793.

  3. W Wiczkowski, J Romaszko, A Bucinski, D Szawara-Nowak, J Honke, H Zielinski and MK Piskula. Quercetin from shallots (Allium cepa L. var. aggregatum) is more bioavailable than its glucosides. The Journal of Nutrition 2008; 138(5), 885-888.

  4. F Aghababaei and M Hadidi. Recent advances in potential health benefits of quercetin. Pharmaceuticals 2023; 16, 1020.

  5. R Tanomrat, W Payuhakrit, C Naktubtim, P Aimvijarn, T Khorporn, N Yongpraphat and P Suwannalert. Pharmacological and in vitro studies on quercetin-rich onion peel extract (Allium cepa) and n-acetylcysteine enhancing apoptosis in colorectal cancer. Trends in Sciences 2025; 22(3), 9111.

  6. M Lesjak, I Beara, N Simin, D Pintać, T Majkić, K Bekvalac, D Orčić and N Mimica-Dukić. Antioxidant and anti-inflammatory activities of quercetin and its derivatives. Journal of Functional Foods 2018; 40, 68-75.

  7. HV Beretta, F Bannoud, M Insani, F Berli, P Hirschegger, CR Galmarini and PF Cavagnaro. Relationships between bioactive compound content and the antiplatelet and antioxidant activities of 6 Allium vegetable species. Food Technology and Biotechnology 2017; 55(2), 266-275.

  8. W Wang, C Sun, L Mao, P Ma, F Liu, J Yang and Y Gao. The biological activities, chemical stability, metabolism and delivery systems of quercetin: A review. Trends in Food Science & Technology 2016; 56, 21-38.

  9. GB Calica and MMN Dulay. Assessment of the postharvest systems and losses of shallots in Ilocos, Philippines. Asian Journal of Postharvest and Mechanization 2018; 1(1), 81-92.

  10. S Rojanatamornnat, T Thongsook and U Suttisansanee. Effect of different exposed lights on quercetin and quercetin glucoside content in onion (Allium cepa L.). International Food Research Journal 2015; 22(4), 1424-1432.

  11. F Flamminii, G D’Alessio, M Chiarini, A Di Michele, A De Bruno, D Mastrocola and CD Di Mattia. Valorization of onion by-products bioactive compounds by spray drying encapsulation technique. Foods 2025; 14(3), 425.

  12. JM Moreno-Rojas, A Moreno-Ortega, JL Ordóñez, R Moreno-Rojas, J Pérez-Aparicio and G Pereira-Caro. Development and validation of UHPLC-HRMS methodology for the determination of flavonoids, amino acids and organosulfur compounds in black onion, a novel derived product from fresh shallot onions (Allium cepa var. aggregatum). LWT-Food Science and Technology 2018; 97, 376-383.

  13. XX Zhao, FJ Lin, H Li, HB Li, DT Wu, F Geng, W Ma, Y Wang, BH Miao and RY Gan. Recent advances in bioactive compounds, health functions, and safety concerns of onion (Allium cepa L.). Frontiers in Nutrition 2021; 8, 669805.

  14. K Sharma and YR Lee. Effect of different storage temperature on chemical composition of onion (Allium cepa L.) and its enzymes. Journal of Food Science and Technology 2016; 53(7), 2992-2997.

  15. EY Ko, SH Nile, K Sharma, GH Li and SW Park. Effect of different exposed lights on quercetin and quercetin glucoside content in onion (Allium cepa L.). Saudi Journal of Biological Sciences 2015; 22(4), 398-403.

  16. AK Singh, S Dhanapal and BS Yadav. The dynamic responses of plant physiology and metabolism during environmental stress progression. Molecular Biology Reports 2020; 47, 1459-1470.

  17. GL Miller. Use of dinitrosalicylic acid reagent for determination of reducing sugar. Analytical Chemistry 1959; 31(3), 426-428.

  18. MN Islam, A Wang, JS Pedersen, JN Sørensen, O Korner and M Edelenbos. Online measurement of temperature and relative humidity as marker tools for quality changes in onion bulbs during storage. PLoS One 2019; 14(1), e0210577.

  19. O Galsurker, A Doron-Faigenboim, P Teper-Bamnolker, A Daus, A Lers and D Eshel. Differential response to heat stress in outer and inner onion bulb scales. Journal of Experimental Botany 2018; 69(16), 4047-4064.

  20. I Lara, A Heredia and E Domínguez. Shelf life potential and the fruit cuticle: The unexpected player. Frontiers Plant Science 2019; 10, 770.

  21. S Gao, X Liu, Y Liu, B Cao, Z Chen and K Xu. Photosynthetic characteristics and chloroplast ultrastructure of welsh onion (Allium fistulosum L.) grown under different LED wavelengths. BMC Plant Biology 2020; 20, 78.

  22. L Riglet, S Gatti and E Moyroud. Sculpting the surface: Structural patterning of plant epidermis. iScience 2021; 24(11), 103346.

  23. U Takahama. Oxidation of vacuolar and apoplastic phenolic substrates by peroxidase: Physiological significance of the oxidation reactions. Phytochemistry Reviews 2004; 3, 207-219.

  24. KS Yoo, EJ Lee and BS Patil. Changes in quercetin glucoside concentrations of onion bulbs by scales, during storage, and in sprouting leaves exposed to UV. Postharvest Biology and Technology 2013; 83, 65-71.

  25. A Zhou and OA Sadik. Comparative analysis of quercetin oxidation by electrochemical, enzymatic, autoxidation, and free radical generation techniques: A mechanistic study. Journal of Agricultural and Food Chemistry 2008; 56, 12081-12091.

  26. L Xie, Z Deng, J Zhang, H Dong, W Wang, B Xing and X Liu. Comparison of flavonoid O-glycoside, C-glycoside and their aglycones on antioxidant capacity and metabolism during in vitro digestion and in vivo. Foods 2022; 11(6), 882.

  27. SA Petropoulos, G Ntatsi and ICFR Ferreira. Long-term storage of onion and the factors that affect its quality: A critical review. Food Reviews International 2016; 33(1), 62-83.

  28. S Raines, C Henson and MJ Havey. Genetic analyses of soluble carbohydrate concentrations in onion bulbs. Journal of the American Society for Horticultural Science 2009; 134(6), 618-623.

  29. GA Chope, K Cools, JP Hammond, AJ Thompson and LA Terry. Physiological, biochemical and transcriptional analysis of onion bulbs during storage. Annals of Botany 2012; 109(4), 819-831.

  30. Shivakumar and SY Chandrashekar. Physio-chemical changes during post harvest handing of onion (Allium cepa L.) - a review. Agricultural Research Communication Centre 2014; 35(3), 225-232.

  31. A Martínez-Sánchez, JA Tudela, C Luna, A Allende and MI Gil. Low oxygen levels and light exposure affect quality of fresh-cut Romaine lettuce. Postharvest Biology and Technology 2011; 59, 34-42.