Start Bootstrap Logo

Trends Sci. 2026; 23(1): 11243

In silico and In vivo Studies of Raja Banana Peel Extract as Anti-Obesity on Lipid Profile and Adipokines in Male Rats with Obesity


Kezia Elian Devina1,2, Aurelia Alisa Putri Larasati3, Nanda Jhaneta Pricela3,

Andika Prasetyo3, Dono Indarto1,3,4,*, Tri Nugraha Susilawati1,5 and Heru Sulastomo6


1Postgraduate Program in Nutrition Sciences, Universitas Sebelas Maret, Surakarta 57126, Indonesia

2Faculty of Medicine and Health Sciences, University of Bengkulu, Bengkulu 38371, Indonesia

3Biomedical Laboratory, Faculty of Medicine, Universitas Sebelas Maret, Surakarta 57126, Indonesia

4Doctoral Program of Medical Sciences, Faculty of Medicine, Universitas Sebelas Maret, Surakarta 57126, Indonesia

5Department of Microbiology, Faculty of Medicine, Universitas Sebelas Maret, Surakarta 57126, Indonesia

6Department of Cardiology and Vascular Medicine, Faculty of Medicine, Universitas Sebelas Maret,

Surakarta 57126, Indonesia


(*Corresponding author’s e-mail: [email protected])


Received: 11 July 2025, Revised: 29 July 2025, Accepted: 8 August 2025, Published: 30 October 2025


Abstract

Banana peels contain nutrients and active compounds that have anti-obesity effects. Quercetin and flavonoids identified in banana peels have emerged as a promising candidate for developing novel therapeutics to address obesity. Quercetin can reduce fat accumulation by regulating lipogenesis. Research on in silico on banana peel extract and the effects of banana peel on lipid profiles and adipokine levels is still limited. This study aimed to analyze the effects of raja banana peel extract (RBPE) on lipid profiles, dipeptidyl peptidase-4 (DPP-4) specific activity, leptin, and adiponectin levels in male Wistar rats with obesity. Molecular docking was performed to demonstrate the interaction between quercetin and DPP-4, leptin, and adiponectin receptors in carbohydrate and fat regulation. An in vivo study used a pre-posttest control group design in 30 male Wistar rats with obesity. This study measured total cholesterol (TC), low-density lipoprotein cholesterol (LDL-C), high-density lipoprotein cholesterol (HDL-C), triglyceride (TG), DPP-4 specific activity, leptin, and adiponectin levels. The results showed that the RBPE administration decreased significantly TC (p < 0.001) and LDL-C levels (p < 0.001), increased HDL-C level (p < 0.001), increased DPP-4 specific activity (p < 0.001), and reduced leptin levels, but did not increase adiponectin levels (p = 0.274). In conclusion, RBPE administration might offer a promising therapeutic approach for obesity by regulating cholesterol and lipid metabolism.


Keywords: Adipokine levels, DPP-4 specific activity, Lipid profile, Obesity, Quercetin, Raja banana peel extract


Introduction

Obesity is an excessive fat accumulation in the body that becomes a health problem in the global community and is a main risk factor for non-communicable diseases, such as type 2 diabetes mellitus, cancer, cardiovascular disease, and chronic kidney disease [1-4]. A previous study conducted in Florida, USA, found that as many as 60% - 70% of obese patients experience dyslipidemia [5]. Obesity is characterized by a Body Mass Index (BMI) of ≥ 25 kg/m2 [6]. Around 38% of the world’s population was overweight and obese in 2020, and the prevalence is expected to increase to 50% by 2030 [7]. In Indonesia, the prevalence of obesity in the adult population increased from 21.8% in 2018 to 23.4% in 2023. The prevalence is expected to grow by 7.9% in children and 5.8% in adults by 2035 [8,9]. The economic burden of overweight and obesity reached 1.96 trillion USD in 2020 and is predicted to increase to 4 trillion USD by 2035. The financial burden is a combination of treatment costs, economic impairment due to premature death, and economic impairment due to lost productivity [9]. In addition, an estimated mortality rate of diseases related to obesity is approximately 2.8 million persons per year [10].

There are 2 factors that cause obesity: modifiable factors, i.e., lifestyle and environment, and those that cannot be modified, i.e., genetics. Unhealthy lifestyles, such as frequent consumption of high-energy and high-fat foods and lack of physical activity, cause highly absorbable free fatty acids (FFAs), which increase the secretion of very low-density lipoprotein cholesterol (VLDL-C), containing high TG levels, and FFAs in the blood circulation. Furthermore, FFAs will be re-synthesized into TGs and stored in muscle and adipose tissues, resulting in hyperplasia and hypertrophy of adipose tissues, which will lead to increased body weight (BW) and leptin secretion [11,12]. High leptin levels will increase the intensity of proinflammatory cytokine release, followed by a decrease in adiponectin levels. Increased adipose tissues and BW correlate with increased DPP-4 as well. The role of DPP-4 in inactivating the hormone glucagon-like peptide-1 (GLP-1) causes changes in BW by regulating gastric emptying time and changes in appetite [13]. In obesity, leptin levels are proportionally elevated (hyperleptinemia) with the amount of body fat. Some obese individuals show leptin resistance that results in a reduction of biological leptin activity in the target organs, such as the hypothalamus, for the regulation of food intake, resulting in reduced satiety, increased nutrient intake, and continued weight gain [14,15]. Adiponectin is another adipokine that is inversely correlated with body fat. Obesity is associated with reduced adiponectin levels (hypoadiponectinemia), which is observed in both total and high molecular weight (HMW) adiponectin forms, playing important roles in enhancing insulin sensitivity, promoting fatty acid oxidation, and reducing inflammation. Therefore, low adiponectin levels, especially in those with increased visceral fat, contribute to insulin resistance and increase the risk of type 2 diabetes and other metabolic complications [16,17].

Management of obesity is conducted through non-pharmacological and pharmacological approaches [18]. The majority of obese patients fail to lose their BW through non-pharmacological approaches due to a lack of obedience and motivation [19]. In addition, the use of synthetic anti-obesity drugs such as orlistat, phentermine-topiramate, naltrexone-bupropion, and liraglutide for a long time frequently causes side effects such as nausea, vomiting, steatorrhea, insomnia, gastrointestinal disorders, and memory loss. Therefore, there is a necessity to develop alternative pharmacological therapies for obesity derived from natural ingredients [4,20].

Natural ingredients, such as those from fruit plants, have fewer side effects and contain active compounds that can act as anti-obesity agents [21]. Research by Konda et al. [22] showed that administration of prebiotic banana juice can reduce BW, total fat, and blood glucose levels in obese rats. Banana is a tropical fruit that is the largest fruit produced and highly consumed by the Indonesian community, with 9.3 million tons produced in 2023 [23]. As much as 40% of the banana fruit consists of fruit peel, so the amount of banana peel waste is abundant. Banana utilization only focuses on the pulp, while the peel is only used as animal feed or processed into organic fertilizer [24,25]. Several studies have indicated that banana peels have health benefits such as antioxidant, anti-diabetes, anti-hypertension, anti-microbial, anti-cardiovascular disease, anti-cancer, anti-inflammatory, anti-obesity, anti-ulcer, and anti-malaria [26]. Banana peels contain nutrients and bioactive compounds that exert anti-obesity activities by inhibiting pancreatic lipase and decreasing serum lipids [27]. Flavonoids in banana peels can reduce fat accumulation through the regulation of lipogenesis, and our previous study shows that banana peel extract contains 0.338 mg/mL quercetin [28,29]. However, the phytochemicals in Raja banana (Musa acuminata) peel extract (RBPE), especially quercetin, have not been tested in silico. In addition, RBPE in our study can significantly reduce BW, BMI, and body fat composition in obese male rats [30]. Therefore, these in silico and in vivo studies aimed to analyze the effects of RBPE on lipid profiles, DPP-4 specific activity, leptin, and adiponectin levels in male Wistar rats with obesity.


Materials and methods

Materials

Ripe raja banana peels were obtained from a fruit seller in Klaten city, Central Java province, Indonesia. Methanol and filter paper were provided by the Phytochemical Laboratory of Setia Budi University, Surakarta city, Central Java province. Male Wistar rats were purchased from CV. Dunia Kaca Ngargoyoso district, Karanganyar regency, Central Java province. Broiler Starter 2 (BR-2) feed was purchased from PT. Japfa Comfeed Indonesia Tbk in Sragen regency, Central Java province. High Fat High Fructose (HFHFr) and water were provided by the Integrated Laboratory Technical Implementation Unit of Universitas Sebelas Maret, Surakarta. Orlistat was purchased from PT. Novell Pharmaceutical Laboratories, while the adipokines enzyme-linked immunosorbent assay (ELISA) kit, and Gly-Pro p-nitroanilide substrate were from Bioenzy, Indonesia, and Sigma-Aldrich USA, respectively.

Extraction of Raja banana peels

The maceration method was referred to as Devina et al. [31]. One kg of banana peel flour was soaked in 10 L of 80% methanol (1:10 weight/volume) for 3×24 h in a closed container and then filtered using filter paper to get clear filtrates. The filtrate was re-macerated twice, and the filtered filtrates were concentrated using a rotary evaporator at 80 rpm, 80 ℃, and dried using an oven at 45 - 50 ℃. The thickened extract was stored in a refrigerator at 4 ℃ before use (Figure 1). From phytochemical analysis, the RBPE contained 0.338 mg/dL quercetin.

Figure 1 Extraction of Raja banana peels using 80% methanol.


Molecular docking of DPP-4 and adipokines with quercetin derived from RBPE



The crystal structures of target proteins were obtained from the RCSB Protein Data Bank: PDB ID: 1X70 for DPP-4, PDB ID: 8X80 for leptin receptor, PDB ID: 5LXG for adiponectin receptor 1, and PDB ID: 5LX9 for adiponectin receptor type 2. The quercetin molecular structure was retrieved from NCBI PubChem with CID 5280343. Initially, the protein structures were prepared by removing solvent molecules and ligands and adding hydrogen and charges, while the quercetin structure was prepared by adding hydrogen and charges and making all flexible bonds rotatable using AutoDock Tools version 1.5.7 (Scripps Research, USA). To validate the docking method, we molecularly re-docked the adipokine proteins using the native ligand using the AutoDock Vina, and all results showed the root mean standard deviation below 2 Å. The prepared proteins and quercetin molecules were docked using AutoDock Vina 1.1.2, and the resulting complexes were visualized using Biovia Discovery Studio Visualizer 2024 (Biovia, USA).


Animal and experimental design

This experimental study was conducted at the Integrated Laboratory Technical Implementation Unit of Universitas Sebelas Maret with a pre-posttest control group design. The study protocols were approved by the Research Ethics Committee of the Faculty of Medicine, Universitas Sebelas Maret (No. 50/UN27.06.11/KEP/EC/2023 and 63/UN27.06.11/KEP/EC/2024). A total of 30 healthy male Wistar rats (Rattus norvegicus) aged 4 - 5 weeks and weighing 140 - 200 g were used in this study. The number of research samples was calculated using the degree of freedom (E) formula [32]. The rats were placed in polypropylene cages in a room that experienced a 12-hour light-dark cycle, a temperature of 22 - 27 ℃, and a humidity of 37% - 57%. All rats were acclimatized for 7 days and given drinking water ad libitum and standard BR-2 feed.


Administration of RBPE

An obese male rat model was developed using an existing method [33]. We used an HFHFr diet containing 610 calories, 16.6% carbohydrates, 13.11% proteins, and 54.64% fats. The HFHFr diet, constituting 10% of the rat’s body weight, was given daily for 28 days. Once male rats became obesity with Rohrer index ≥ 30 g/cm3, they were divided into 5 groups: Negative control (C–) given aquadest, positive control (C+) given 12.3 mg/kg BW/day orlistat, and treatment groups (T1, T2, and T3) given 200, 400, and 800 mg/kg BW/day RBPE respectively for 28 days. The orlistat and RBPE were diluted in 2 mL of aquadest and given to rats orally using a blunt needle every morning.


Measurements of lipid profile and DPP-4 specific activity

Lipid profiles and DPP-4 specific activity were examined on days 0, 14, and 28 of the intervention. The rats were fasted for 12 h before blood collection, and whole blood was taken from the orbital sinus and collected using a separator serum tube. Total cholesterol (TC), low-density lipoprotein cholesterol (LDL-C), and high-density lipoprotein cholesterol (HDL-C) levels were examined using the Cholesterol Oxidase-Peroxidase Aminoantypirin Phenol (CHOD-PAP) method, while triglyceride (TG) levels were examined using the Glycerol 3 Phosphate Oxidase-Phenol Amino Phenazone (GPO-PAP) method. The DPP-4 specific activity was assessed using the colorimetric assay, referring to the previous protocol [34]. Ten µL serum blood samples were diluted in 40 µL PBS pH 7.4 and mixed with 50 µL Gly-Pro p-nitroanilide substrate. The DPP-4 specific activity was measured spectrophotometrically within 60 min for every 10-minute interval and was calculated using the Beer-Lambert formula.

Immunoassay of leptin and adiponectin levels

Leptin (BZ-08181650-EB) and adiponectin (BZ-08188570-EB) levels were examined from serum samples collected on days 0 and 28 of the intervention. Measurements were performed using the ELISA method based on the manufacturer’s instructions, and the optical density was measured using a spectrophotometer (Bio-Rad, USA) at 450 nm wavelength.


Statistical analysis

All data were presented as mean ± standard deviation (SD) and analyzed using the Shapiro-Wilk test to determine the normality of data and the Levene test of variance to determine the homogeneity of data. Total cholesterol and LDL-C levels were analyzed using the one-way ANOVA test and followed by the Post-Hoc LSD (Least Significant Difference) test. The data were also analyzed using the repeated-measure ANOVA and Bonferroni Post Hoc tests for total cholesterol and LDL-C levels. DPP-4 specific activity, Triglyceride, and HDL-C levels were analyzed using the Kruskal-Wallis test, followed by the Post Hoc Mann-Whitney test, and the Friedman test, followed by the Wilcoxon Post Hoc test. Leptin levels were analyzed using the Kruskal-Wallis test and followed by Dunn’s Post Hoc test. The Wilcoxon test was used to analyze the difference between day 0 and day 28. Adiponectin levels were analyzed using the one-way ANOVA test and continued with the LSD Post Hoc test. Meanwhile, to analyze the difference in leptin and adiponectin levels between day 0 and day 28 using a paired t-test. Data analysis was performed using SPSS version 26 with a 95% confidence level, and a p-value < 0.05 was considered statistically significant.


Results and Discussion

To identify the potential molecular mechanisms of RBPE as an anti-obesity agent, this study conducted molecular docking of quercetin with key target proteins involved in energy metabolism and appetite regulation, namely DPP-4, leptin receptor, and adiponectin receptor proteins. Table 1 presents the binding energy and binding sites of quercetin and the reference standards with the target proteins. Our results exhibited that quercetin was able to interact with the target proteins, but the binding affinity was higher than that of the reference standards.

Figures 2A - 2B show the interactions between sitagliptin and quercetin with DPP-4. The molecular docking results showed that quercetin had a higher binding affinity (–7.6 kcal/mol) than sitagliptin (–8.8 kcal/mol) as a reference drug. Sitagliptin had 10 interactions with DPP-4, consisting of 2 hydrogen bonds with Asn710 and Arg125 residues; 3 hydrophobic bonds with Tyr666, Tyr662, and Phe357 residues; and 5 halogen bonds with Ser630, Glu205, Val207, and Glu206. The interaction between DPP-4 and quercetin revealed 2 hydrogen bonds with Glu206 and Tyr547, 4 hydrophobic bonds with Tyr662, Tyr666, and Phe357, and one ionic bond with Arg125.


Table 1 Molecular docking result of quercetin and its ligand standards with DPP-4, LepR, AdipoR type 1, and AdipoR type 2.

Compound

CID

Binding energy (kcal/mol)

Binding site

DPP-4

Sitagliptin

4369359

8.8

Asn710, Arg125, Tyr666, Tyr552, Phe357, Ser630, Glu205, Val207, Glu206

Quercetin

5280343

7.6

Glu206, Tyr547, Tyr662, Tyr666, Phe357, Arg125

Leptin receptor

Leptin

-

13.6

Tyr472, Leu471, Ser507, Leu506, Leu505, Phe504, Ile503, Leu442, Gln501, Phe563, Arg468, Asp532

Quercetin

5280343

6.1

Tyr441, Asp532, Asn566, Phe563, Leu505, Leu443, Arg615

Adiponectin receptor 1

AdipoRon

16307093

8.7

Tyr310, Phe340, Val344, Ala314, Phe271, Ile212, Tyr209, Ala249, Ala213

Quercetin

5280343

7.4

Tyr209, Ala249, Ala314, Ala213, Ile212, Ala253, Phe271

Adiponectin receptor 2

AdipoRon

16307093

10.6

Leu283, Ala279, Tyr328, Tyr321, Phe351, Ala325, Val355, Ile226, Arg278, Ile223, Asp219

Quercetin

5280343

9.3

Gly258, Leu283, Ala279, Tyr321, Ille227, Phe351, Ala325, Ile223, Leu226

Figure 2 Molecular docking results between (A) DPP-4 and sitagliptin and (B) DPP-4 and quercetin visualized using the BioVia Studio, and presented in 3- and 2-dimensional images.


Figure 3 The 3-dimensional visualization and 2-dimensional interactions of molecular docking results between (A) LepR and leptin; (B) Leptin receptor and quercetin.


The binding mode and interacting residues between leptin and quercetin with the leptin receptor are shown in Figure 3. The binding affinity of leptin was –13.6 kcal/mol, and it formed 7 hydrogen bonds with Tyr472, Ser507, Leu505, Phe504, Ile503, Leu442, Gln501; 3 hydrophobic bonds with Leu471, Leu506, and Phe563; 2 ionic bonds with Phe504 and Arg468; and 1 unfavorable negative-negative interaction with Asp532. Quercetin was found to interact with the leptin receptor, with –6.1 kcal/mol binding energy. Furthermore, quercetin made 3 hydrogen interactions with Tyr441, Asp532, and Asn566; 4 hydrophobic bonds with Phe563, Leu505, and Leu442; and 1 unfavorable donor-donor interaction with Arg615.

Figure 4 represents the 3-dimensional docking complexes and interactions between AdipoRon and quercetin with AdipoR protein type 1. AdipoRon afforded 9 hydrophobic interactions with Tyr310, Phe340, Val344, Ala314, Phe271, Ile212, Tyr209, Ala249, and Ala213 with –8.7 kcal/mol binding energy. Quercetin had a higher binding energy (–7.4 kcal/mol) than AdipoRon and generated one hydrogen bond with Tyr209 and 9 hydrophobic bonds with Tyr209, Ala249, Ala314, Ala213, Ile212, Ala253, and Phe271.


Figure 4 The 3-dimensional visualization and 2-dimensional interactions of molecular docking results between (A) Adiponectin receptor protein type 1 and AdipoRon; (B) Adiponectin receptor protein type 1 and quercetin.


Figure 5 shows the 3-dimensional visualization and 2-dimensional interactions of molecular docking results between (A) AdipoR type 2 and AdipoRon; (B) AdipoR type 2 and quercetin. AdipoRon had –10.6 kcal/mol binding affinity and formed 2 hydrogen bonds with Leu283 and Ala279; 9 hydrophobic bonds with Tyr328, Tyr321, Phe351, Ala325, Val355, Leu226, Arg278, and Ile223; and 1 ionic bond with Asp219. Quercetin built up 4 hydrogen bonds with Gly358, Leu283, Ala279, and Tyr321 and 7 hydrophobic bonds with Ile227, Phe351, Ala325, Ile223, Tyr321, Leu226, with –9.3 kcal/mol binding affinity.


Figure 5 The 3-dimensional visualization and 2-dimensional interactions of molecular docking results between (A) AdipoR type 2 and AdipoRon; (B) AdipoR type 2 and quercetin.

We found that quercetin had a higher binding energy than the reference standards in all target proteins. Moreover, the docking results between quercetin and DPP-4 showed that quercetin did not interact with the catalytic site of DPP-4 (Ser630), indicating that quercetin is not a potential DPP-4 inhibitor [35]. In contrast, quercetin formed interactions with the leptin-binding region, particularly with the Leu505 residue, which could potentially abolish leptin responsiveness [36]. To the AdipoR type 1 and 2, quercetin binds to the key amino acid residues (AdipoR1: R267, F271, Y310, and AdipoR2: R278, F282, Y321), indicating that quercetin potentially acts as an adiponectin agonist [37]. Hence, quercetin potentially inhibits LepR and acts as an adiponectin agonist, while not as a DPP-4 inhibitor. These in silico findings are an important contribution as they provide a strong hypothetical molecular basis for the anti-obesity effects of RBPE and directly guide the interpretation of our in vivo results. Specifically, the interaction of quercetin with the Leu505 residue on the LepR is particularly important as this site is known to be crucial for leptin binding, potentially leading to leptin resistance and appetite modulation. Similarly, quercetin’s binding to key residues (AdipoR1: R267, F271, Y310, and AdipoR2: R278, F282, Y321) on AdipoR suggests the activation of signaling pathways that promote insulin sensitivity and fat metabolism. These aspects are not merely computational predictions but form a crucial initial mechanistic framework to explain the observed changes in adipokine and lipid profiles in obese animal models receiving RBPE. This integrated approach represents a fundamental step in elucidating the complex mechanisms behind RBPE’s anti-obesity action and lays the groundwork for future in vitro and in vivo studies.


Effects of RBPE administration on TC, TG, LDL-C, and HDL-C levels

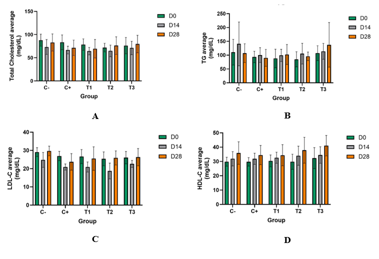
This study used control groups (C– and C+) and treatment groups (T1, T2, and T3) to analyze the effect of RBPE administration on lipid profiles. Obesity is a well-recognized major risk factor for dyslipidemia, and approximately 60 - 70% of obese and 50 - 60% of overweight individuals exhibit dyslipidemia [5,38]. Previous research studies showed that all lipid profiles were significantly increased in obese individuals [39]. Figure 6 represents the mean TC, TG, LDL-C, and HDL-C levels on days 0, 14, and 28 after interventions.




Figure 6 The lipid profile changes in five rat groups with or without RBPE administration: (A) Mean TC levels; (B) Mean TG levels; (C) Mean LDL-C levels; (D) Mean HDL-C levels. Data is shown as mean ± SD. Comparative effects of RBPE administration on TC and LDL-C in obese male rats were analyzed using one-way ANOVA and post-hoc Bonferroni test, and repeated measures ANOVA (p < 0.05). Comparative effects of RBPE administration on TG and HDL-C in obese male rats were analyzed using Kruskal-Wallis and post-hoc Dunn test, and Friedman (p < 0.05).

Research findings showed that the RBPE intervention had different effects on mean TC levels depending on the rat group and the duration of the intervention (Figure 6A). There was no significant difference in TC levels between all rat groups at D0 day 0 intervention), D14 (day 14 intervention), and D28 (day 28 intervention) of intervention. At the end of the intervention, C–, C+, and T1 groups had a significant decrease in TC levels (p < 0.001), while the mean TC levels in T2 (76.28 ± 18.93 mg/dL) and T3 groups (79.53 ± 18.88 mg/dL) increased. The lowest mean TC levels occurred in T1 (69.48 ± 19.91 mg/dL), and the highest mean was in the C– group (82.90 ± 18.54 mg/dL). After 14 days of intervention, TG levels in all groups increased and decreased after 28 days of intervention, except in groups T1 and T3 (Figure 6B). There were no significant differences among the rat groups during the RBPE intervention. The highest mean TG levels on intervention day 14 were in the C– group (140.72 ± 79.13 mg/dL), and the lowest mean was in the T1 group (99.30 ± 22.04 mg/dL). Meanwhile, the highest mean TG levels on intervention day 28 occurred in the T3 group (137.32 ± 80.62 mg/dL), and the lowest mean was in the C+ group (90.35 ± 30.59 mg/dL). In Figure 6C, mean LDL-C levels in all rat groups decreased after 14 days of intervention, but increased again after 28 days of intervention. After 14 days of intervention, the T2 group (18.70 ± 4.32 mg/dL) had the lowest mean LDL-C level, and the C+ group had the lowest mean LDL-C level (23.70 ± 4.56 mg/dL) at the D28 intervention. For HDL-C levels, there were significant differences among rat groups at D0 and D14, D0 and D28, and D14 and D28 (p ˂ 0.011). After 28 days of intervention, all rat groups showed a significant difference (p < 0.001). Increased mean HDL-C levels were observed in all rat groups over the intervention time. After 14 and 28 days of intervention, the highest mean HDL-C levels were in the T3 groups (34.50 ± 5.77 and 41.05 ± 7.17 mg/dL).

Reduced mean TC, TG, and LDL-C levels occurred in all rat groups after 14 days of intervention, which might result from the standard diet compared to the HFHFr diet. In contrast, the lipid profiles increased after 28 days of intervention, which can be caused by the rat’s adjustment process and homeostasis mechanisms after the RBPE intervention. During the intervention, lipolysis increases glucocorticoid hormone levels and Apolipoprotein B (ApoB), which contains a lot of LDL-C. Lipolysis can also cause a decrease in body weight and can reduce basal energy requirements in rats, so that the homeostasis mechanism will prevent the oxidation of fatty acids and glycerol in the body. This causes the amount of fatty acids and glycerol to become excessive in the blood, resulting in the reformation of TG, LDL-C, and VLDL-C [40]. In addition, providing a standard diet during the intervention without food restriction can cause an imbalance in basal energy in rats, increasing total cholesterol, triglycerides, and LDL-C levels. Previous research studies showed that administering resveratrol and 30% calorie restriction could reduce TC, TG, LDL-C levels, and increase HDL-C levels [41].

The contradictory effect of RBPE administration was observed in our present study. Administration of 200 mg/kg BW RBPE decreased TC levels, while higher doses of RBPE 400 and 800 mg/kg BW/day increased TC levels in obese male rats. Our findings are in line with a research study conducted by Indriawati and Atiyah [42], which administration of kepok banana peel extract at 200 mg/kg BW/day is more effective in reducing TC levels compared to a higher dose (400 mg/kg BW). Our results also supported Tsatsakis’ study [43], which higher doses of banana peel extract can be harmful, while lower doses can provide beneficial effects. However, our research findings are different from the research study conducted by Berawi and Bimandama [44], which found that the administration of 8.4 mg/day of kepok banana peel ethanol extract for 14 days reduced TC levels. The previous study used ethanol, while our study used 80% methanol. The different results are related to differences in using extraction solvents that can affect the solubility of bioactive compounds such as quercetin.

The TG levels in our study did not show a significant difference after RBPE administration. The mean TG levels increased in all treatment groups, while decreasing in the control group. The results of our study are different from a previous research study, which administration of banana peel (Musa acuminata) supplements for 4 weeks reduced TG levels [45]. This discrepancy may be due to rat physiological organs, the adjustment process, and homeostatic mechanisms during the RBPE intervention. In addition, the carbohydrate content in the standard feed during the intervention also increased TG levels, which is higher than the HFHFr feed (48% - 50% vs 16.6%). Jung and Choi [46] reported that a high-carbohydrate diet can increase TG levels. In contrast to TC and TG levels, LDL-C levels in the T1 and T2 groups decreased significantly compared to the C– group. The HDL-C levels in all rat groups increased, and the highest increase occurred in the T3 group, compared to the other groups. Our results align with a previous research study, which found that giving banana peel supplements for 4 weeks reduced LDL-C levels and increased HDL-C [45]. Changes in these lipid profiles after RBPE administration are probably caused by the presence of quercetin in RBPE. Previous research mentioned that consumption of shallot juice enriched with quercetin for 8 weeks significantly reduced TC, LDL-C levels, and increased HDL-C levels. However, it did not affect TG levels [47]. The action mechanism of quercetin on lipid profiles was perhaps due to activating and increasing adenosine monophosphate-activated protein kinase (AMPK) expression through the stimulation of phosphoinositide-3-kinase-protein kinase B and liver kinase B1 activities. AMPK activation can lead to increased Peroxisome Proliferator-Activated Receptor alpha and gamma (PPARα/γ) expression, decreased expression of acetyl-CoA carboxylase, 3-hydroxy-3-methylglutaryl-CoA reductase, and sterol-regulatory element binding protein 1 in the liver to improve lipid metabolism and reduce lipid accumulation. AMPK can inhibit the activity of Acetyl-CoA carboxylase and carbohydrate response element-binding protein, and the gene expression of sterol regulatory element-binding transcription factor 1c. Quercetin can increase the gene expression of PPAR-γ, which plays a role in lipid metabolism and insulin. Quercetin will inhibit the lipogenesis process by inhibiting the action of Lysophosphatidic acid acyltransferase theta (LPAATθ), Diacylglycerol O-Acyltransferase 1 (DGAT1), and Lipin1. This causes a decrease in lipid accumulation and TG levels [48,49].

A high dose of RBPE administration reduced DPP-4 specific activity

The effect of RBPE on DPP-4 specific activity is shown in Figure 7. Significant differences among rat groups appeared at D0 with D28 and D14 with D28 (p < 0.001, Figure 7A. Figure 7B shows that RBPE administration significantly increased DPP-4 specific activity after 28 days of intervention, with p < 0.001, compared to the C+ group. After 14 days of intervention, there was a significant difference between C+ and T1, T2, and T3 (p = 0.012). After 28 days of intervention, the T3 group (0.47 ± 0.09 mU/min/mg protein) had the lowest mean DPP-4 specific activity.




Figure 7 DPP-4 specific enzyme activity changes in five rat groups with or without RBPE administration. (A) Comparative effect of RBPE administration among obese male rats on day 0, 14, and 28 interventions. (B) Comparative effect of RBPE administration within obese male rats’ groups on DPP-4 activity from day 0, 14, to 28 interventions. * was significantly different between rats’ groups at D0 with D28 intervention and D14 with D28 intervention. ** was a significant difference compared to the C+ group.

During the intervention, DPP-4 specific activity increased in all groups, but DPP-4 specific activity in the T3 group was lower than in the other groups. Our results are different from a previous research study, which consumption of bananas before meals for 7 days reduced DPP-4 specific activity [50]. In addition, pure quercetin is a better inhibitor of DPP-4 activity compared to sitagliptin, with an IC50 value of 4.02 nmol/mL. In addition, quercetin with a 1.65 nmol/mL concentration can inhibit DPP-4 activity by 21.93% [51]. In our study, quercetin concentration was 0.338 mg/dL or 11.18 nmol/mL, which is higher than the research conducted by Singh et al. [51], but the dose could not inhibit DPP-4 specific activity. The different results may be caused by other bioactive compounds present in RBPE that increase DPP-4 specific activity. In addition, Singh et al. [51] used pure quercetin, while our study used RBPE containing quercetin.


Effects of RBPE administration on leptin and adiponectin levels

After 28 days of RBPE administration, leptin levels in the treatment groups decreased significantly compared to the control groups (p = 0.008). Specifically, significant reductions were observed in the T2 (p = 0.022) and T3 groups (p = 0.003) compared to the C– group, and also in the T2 (p = 0.033) and T3 groups (p = 0.004) when compared to the C+ group (Figure 8A). On day 28, the C– group showed the highest leptin levels (2.77 ± 0.67 ng/mL), while the T2 group had the lowest (1.54 ± 0.30 ng/mL).

In contrast to leptin, adiponectin levels presented a different pattern. A significant difference between groups of rats in T1 and T2 was observed at D0 and D28 (p = 0.028). However, while the Kruskal-Wallis test showed significant differences across all groups on day 28 (p = 0.022), there was no significant difference in the change from D0 to D28 (ΔD0-D28, p = 0.274). Furthermore, no significant difference was found between the C– and C+ groups. On day 28, the C+ group experienced the lowest average decrease in adiponectin levels (1.03 ± 0.38 mg/L), whereas the T2 group showed the highest average decrease (3.28 ± 0.05 mg/L). The measurement of leptin and adiponectin levels, as key hormones in energy regulation and insulin sensitivity, was a crucial objective in understanding RBPE’s anti-obesity effects. Our findings provide important insights into how this extract influences adipokine balance under obese conditions.




Figure 8 The change in leptin and adiponectin levels after the RBPE administration. (A) Leptin levels; (B) Adiponectin levels. Data is shown as mean ± SD. Comparative effect of RBPE administration within obese male rats’ groups from day 0 to 28 interventions was calculated using Kruskal-Wallis. The Post Hoc test was performed with the Post Hoc Dunn test. The comparative effect of RBPE administration among obese male rats on days 0 and 28 was calculated using the Wilcoxon test. *There was a significant difference compared to the Cgroup (p < 0.05). **was a significant difference compared to the C+ group (p < 0.05). ***was a significant difference compared to the C and C+ group (p < 0.05).

Leptin levels were reduced in all rat groups on day 28 of intervention, but the greatest reduction was observed in the highest dose of RBPE administration, which indicates a dose-dependent manner. Our research findings support a previous research study showing a decrease in leptin levels in obese rats given 5 mL/Kg BW/day banana fruit juice with pectinase [22]. The decrease in leptin levels corresponded to the decrease in body fat mass of obese mice. Quercetin could suppress the expression of lipogenesis transcription factors, such as PPARγ, C/EBPα, and C/EBPα, and sterol regulatory element-binding protein 1 (SREBP-1c), and their target genes [52]. PPARγ is a major transcription factor in adipogenesis that promotes the maturation of preadipocytes into adipocytes, resulting in decreased fat accumulation. The C/EBPα is another critical transcription factor involved in adipogenesis that regulates the expression of genes required for adipocyte differentiation. C/EBPα inhibition by quercetin disrupts the differentiation process, leading to reduced adipocyte formation. Meanwhile, SREBP-1c is a transcription factor crucial for regulating lipogenesis, especially in the liver and adipose tissue. SREBP-1c drives the expression of genes involved in fatty acid synthesis. SREBP-1c inhibition by quercetin will reduce fatty acid synthesis and potentially reduce triglyceride accumulation in adipocytes [53]. In addition, quercetin regulates enzyme expression by decreasing lipoprotein lipase (LPL) and increasing adipose triglyceride lipase (ATGL) and hormone-sensitive lipase (HSL) [52].





Figure 9 This figure illustrates the relationship between the administered RBPE dose and leptin (A) and adiponectin (B) hormone levels in obese male rats after 28 days of intervention. Data is presented as correlation points for each individual. A. Downward trend in leptin levels is observed with increasing RBPE doses. The linear R2 value of 0.289 indicates that 28.9% of the variability in leptin levels on Day 28 can be explained by the RBPE dose. B. Adiponectin levels appear to slightly increase with increasing RBPE doses, but with a linear R2 value of 0.103, indicating that only about 10.3% of the variability in adiponectin levels can be explained by the RBPE dose.

Adiponectin levels decreased in all groups on day 28, but a high dose of RBPE administration had the smallest changes in adiponectin levels. These results may be related to the other bioactive compounds against quercetin activity. No studies have reported the RBPE biological effects on leptin and adiponectin levels in obese rats, but a similar study used ambon banana peel [22]. Our results are different from a previous study conducted by Konda et al. [22], which gave probiotic ambon banana fruit juice with pectinase for 20 weeks, increased adiponectin levels, better than obese rats treated with orlistat. These different results are likely due to differences in the composition of the intervention ingredients, including differences in banana species, probiotics, and pectinase. The Konda’s study had a longer intervention time than our study. Wyskida et al. [54]; Guo et al. [55] also reported that the increased adiponectin levels were seen after 12 weeks of intervention. The serum samples in our study may have undergone degradation because of multiple freezing-thawing cycles during our experiment, since adiponectin is more stable when stored at –20 to –80 ℃. Harries et al [56] reported that multiple freeze-thaw cycles can reduce adiponectin levels by up to 5% from baseline [56]. Previous research stated that administration of quercetin could reduce leptin and increase adiponectin in mice given a high-fat diet [57]. This study used pure quercetin, whereas this study did not use pure quercetin. The anti-obesity effect of quercetin can increase AMPK activity, so that proinflammatory cytokines can be suppressed. The increased AMPK activity can reduce inflammation, increase insulin sensitivity in adipose tissues, and improve lipid profiles. In addition, quercetin has strong antioxidant properties that reduce cell damage, inhibit inflammatory processes, induce apoptosis in inflammatory cells, and reduce neutrophil migration to inflammatory sites, thus helping reduce inflammation’s intensity and improve normal conditions [58,59]. The significant finding of reduced leptin levels, especially at higher RBPE doses (T2 and T3), indicates the clinically relevant anti-obesity potential of RBPE by potentially enhancing leptin sensitivity or reducing leptin resistance. This is elegantly supported by the molecular docking findings showing quercetin’s interaction with the leptin receptor, providing a strong molecular mechanistic basis for the observed in vivo effects. Although the adiponectin response showed a more complex pattern with a decrease across all groups and might have been influenced by experimental factors such as freeze-thaw cycles or intervention duration, it is crucial to also consider the potential for complex feedback regulatory mechanisms where a reduction in body fat mass (which can be inferred from leptin decrease) might indirectly affect adiponectin production, or the presence of other compounds within the extract modulating this response. This study nevertheless provides valuable preliminary data on the influence of RBPE on adipokines, which has been sparsely reported previously. Our findings are the first to comprehensively integrate in silico and in vivo approaches to explore the effects of RBPE on lipid profiles and adipokines, offering fundamental new insights into the therapeutic potential of this natural compound in obesity management and highlighting promising molecular pathways for future investigation.

Although RBPE administration indicates some beneficial effects on obese rats, our research study has some weaknesses. We extracted raja banana peels using methanol, which might not preserve other compounds that can act as anti-obesity agents. Secondly, we did not analyze bioactive compounds other than quercetin in RBPE that have opposite effects to quercetin. Our study is the first to examine DPP-4-specific activity in obese rats, so we cannot compare the results of DPP-4-specific activity with other similar studies. Our study also did not apply food restriction during the RBPE intervention. Therefore, changes in TC, TG, and LDL-C levels after RBE intervention are counteracted by the presence of carbohydrates in the standard diet. Furthermore, a short RBPE intervention period may have limited changes in DPP-4 specific activity, leptin, and adiponectin levels, as these adipokines show dynamic fluctuations and often require prolonged exposure to therapeutic agents to elicit better effects. This study also did not test the toxicity of RBPE administration.


Conclusions

Quercetin in RBPE does not interact with the DPP-4 catalytic sites but potentially interacts with leptin and adiponectin receptors. Administration of RBPE at 800 mg/kg BW/day for 28 days effectively increases HDL-C and decreases leptin and adiponectin levels, while reducing TC and LDL-C levels at 200 mg/kg BW/day. RBPE administration has an effect on DPP-4 specific activity. RBPE administration does not affect TG levels in obese male rats. Quercetin in RBPE is an important bioactive compound that potentially becomes an herbal medicine for obesity through leptin inhibition. Future research is required to use other solvents to extract raja banana peels in order to preserve bioactive compounds, which have anti-obesity properties. Food restriction or a low-carbohydrate diet is also required to further investigate the beneficial effect of RBPE during the intervention to improve lipid profiles optimally. A longer duration of intervention, at least 12 weeks, is also important to make more substantial and significant changes in adipokine activity and levels. In addition, subacute and chronic toxicity tests are required to determine possible adverse effects of RBPE administration.


Acknowledgements

We thank the Directorate of Research, Technology, and Community Service of the Ministry of Education, Culture, Research, and Technology of Indonesia for providing Regular Fundamental Research Grants (No. 160/E5/PG.02.00. PL/2023-1280.1/UN27.22/PT.01.02/2023; 086/E5/PG.02.00.PL/
2024-1076.1/UN27.22/PT.01.03/2024 to do an
in vivo study. We also thank the UNS Research and Community Services Institute for providing a research group grant with No. 371/UN27.22/PT.01.03/2025 to do an in-silico study and paying the article processing charge for publication in an international journal with high impact. We also thank all staff of the Integrated Laboratory Technical Implementation Unit of Universitas Sebelas Maret for their assistance in animal experiment, the staff of the Integrated Research and Testing Laboratory of Universitas Gadjah Mada for analyzing lipid profiles, and the staff of the Biomedical Laboratory, Faculty of Medicine Universitas Sebelas Maret for helping with the measurements of DPP-4 specific activity and adipokines levels.


Declaration of Generative AI in Scientific Writing

The authors acknowledge the use of generative AI tools (e.g. Grammarly) in the preparation of this manuscript, specifically for language editing and grammar corrections. No content generation or data interpretation was performed by AI. The authors take full responsibility for the content and conclusions of this work.


CRediT author statement

Kezia Elian Devina: Data curation, Formal analysis, Resources, Investigation, Validation, Visualization, and Writing-original draft. Aurelia Alis Putri Larasati: Data curation, Formal analysis, Resources, Investigation, Validation, Visualization, and Writing-original draft. Nanda Jhaneta Pricela: Data curation, Formal analysis, Resources, Investigation, Validation. Andika Prasetyo: Data curation, Formal analysis, Resources, Investigation, Validation, Visualization, and Writing-original draft. Dono Indarto: Conceptualization, Data curation, Supervision, Validation, Funding acquisition, and Writing-reviewing draft. Tri Nugraha Susilawati: Data curation, Supervision, Validation, Funding acquisition, and Writing-reviewing draft. Heru Sulastomo: Data curation, Supervision, Validation, Funding acquisition, and Writing-reviewing draft.


References

[1] P Kumar, K Nara and Mastram. Benefits of yogic practice on body fat composition in obese adults. International Journal of Experimental Research and Review 2024; 45, 96-105.

[2] VV Krishna, S Ramaswamy and P Suganthirababu. Neuromuscular electrical stimulator as a therapeutic tool in obesity. International Journal of Experimental Research and Review 2024; 46, 313-325.

[3] AA Alfadda, RM Sallam and J Park. Diet and nutrition for body weight management. Journal of Obesity 2019; 2019, 6798096.

[4] X Lin and H Li. Obesity: Epidemiology, pathophysiology, and therapeutics. Frontiers in Endocrinology 2021; 12, 706978.

[5] KR Feingold. Obesity and dyslipidemia. MDText.com Inc, Massachusetts, United States, 2020.

[6] Kemenkes RI. 2025, Keputusan Menteri Republik Indonesia Nomor HK.01.07/MENKES/509/2025 tentang Pedoman Nasional Pelayanan Klinis Tata Laksana Obesitas Dewasa. Kemenkes RI, Jakarta.

[7] World Obesity Federation. World Obesity Atlas 2025. World Obesity Federation, London, 2025.

[8] Kemenkes RI. Survei Kesehatan Indonesia (SKI) Dalam Angka. Kementerian Kesehatan RI, Jakarta, Indonesia, 2023.

[9] World Obesity Federation. World Obesity Atlas 2023. World Obesity Federation, London, 2023.

[10] B Sarkar, P Biswas, CK Acharya, SK Jana, N Nahar, S Ghosh, D Dasgupta, SK Ghorai and NR Madhu. Obesity epidemiology: A serious public health concern in India. Chettinad Health City Medical Journal 2022; 11(1), 21-28.

[11] ML Endalifer and G Diress. Epidemiology, predisposing factors, biomarkers, and prevention mechanism of obesity: A systematic review. Journal of Obesity 2020; 2020, 6134362.

[12] DC Fonseca, P Sala, BDAM Ferreira, J Reis, RS Torrinhas, I Bendavid and DL Waitzberg. Body weight control and energy expenditure. Clinical Nutrition Experimental 2018; 20, 55-59.

[13] RH Ahmed, HZ Huri, S Muniandy, Z Al-Hamodi, B Al-Absi, A Alsalahi and MFM Razil. Altered circulating concentrations of active glucagon-like peptide (GLP-1) and dipeptidyl peptidase 4 (DPP4) in obese subjects and their association with insulin resistance. Clinical Biochemistry 2017; 50(13-14), 746-749.

[14] JS Flier and RS Ahima. Leptin physiology and pathophysiology: Knowns and unknowns 30 years after its discovery. The Journal of Clinical Investigation 2024; 134(1), e174595.

[15] H Bhat, JA Bhat, MH Bhat, M Rashid, R Jan and D Afroze. Leptin in obesity and hypertension. Arterial Hypertension 2022; 26(1), 26-31.

[16] L He, W Xuan, D Liu, J Zhong, H Luo, H Cui, X Zhang and W Chen. The role of adiponectin in the association between abdominal obesity and type 2 diabetes: A mediation analysis among 232,438 Chinese participants. Frontiers in Endocrinology 2024; 15, 1327716.

[17] T Vilariño-García, ML Polonio-González, A Pérez-Pérez, J Ribalta, F Arrieta, M Aguilar, JC Obaya, JA Gimeno-Orna, P Iglesias, J Navarro, S Durán, J Pedro-Botet and V Sánchez-Margalet. Role of leptin in obesity, cardiovascular disease, and type 2 diabetes. International Journal of Molecular Sciences 2024; 25(4), 2338.

[18] A Ruban, K Stoenchev, H Ashrafian and J Teare. Current treatments for obesity. Clinical Medicine 2019; 19(3), 205-212.

[19] E Gjermeni, AS Kirstein, F Kolbig, M Kirchhof, L Bundalian, JL Katzmann, U Laufs, M Blühe, A Garten and DL Duc. Obesity - An update on the basic pathophysiology and review of recent therapeutic advances. Biomolecules 2021; 11(10), 1426.

[20] HE Bays, A Fitch, S Christensen, K Burridge and J Tondt. Anti-obesity medications and investigational agents: An Obesity Medicine Association (OMA) Clinical Practice Statement (CPS) 2022. Obesity Pillars 2022; 2, 100018.

[21] UR Rajesh and S Dhanaraj. A critical review on quercetin bioflavonoid and its derivatives: Scope, synthesis, and biological applications with future prospects. Arabian Journal of Chemistry 2023; 16, 104881.

[22] PY Konda, V Poondla, KK Jaiswal, S Dasari, R Uyyala, VP Surtineni, JY Egi, AJA Masilamani, L Bestha, S Konanki, M Muthulingam, LK Lingamgunta, BP Aloor, S Tirumalaraju, A Sade, VR Kamsala, S Nagaraja, R Ramakrishnan and V Natesan. Pathophysiology of high fat diet induced obesity: Impact of probiotic banana juice on obesity associated complications and hepatosteatosis. Scientific Reports 2020; 10, 16894.

[23] Badan Pusat Statistik, Available at: https://www.bps.go.id/id/statistics-table/2/NjIjMg==/produksi-tanaman-buah-buahan.html, accessed June 2025.

[24] WM Hikal, HAHSA Ahl, A Bratovcic, KG Tkachenko, J Sharifi-Rad, M Kacaniova, M Elhourri and M Atanassova. Banana peels: A waste treasure for human being. Evidence-Based Complementary Alternative Medicine 2022; 2022, 7616452.

[25] A Pereira and M Maraschin. Banana (Musa spp) from peel to pulp: Ethnopharmacology, source of bioactive compounds and its relevance for human health. Journal of Ethnopharmacology 2015; 160, 149-163.

[26] F Zou, C Tan, B Zhang, W Wu and N Shang. The valorization of banana by-products: Nutritional and future development. Foods 2022; 11(20), 3170.

[27] PS Kumar, S Durgadevi, A Saravanan and S Uma. Antioxidant potential and antitumour activities of Nendran banana peels in breast cancer cell line. Indian Journal of Pharmaceutical Sciences 2019; 81(3), 464-473.

[28] AM Aboul-Enein, ZA Salama, AA Gaafar, HF Aly, FA Bou-Elella and HA Ahmed. Identification of phenolic compounds from banana peel (Musa paradaisica L.) as antioxidant and antimicrobial agents. Journal of Chemical and Pharmaceutical Research 2016; 8(4), 46-55.

[29] KE Devina, D Indarto and TN Susilawati. Identification of quercetin and chrysin in banana peel extracts using high performance liquid chromatography and liquid chromatography mass spectrometer for obesity treatment. Engineering Headway 2025; 14, 81-88.

[30] KE Devina, D Indarto, TN Susilawati and B Wiboworini. The effects of raja banana (Musa acuminata) peel extract on body weight , body mass index , body fat percentage, and visceral fat mass in male rats with obesity. Jurnal Gizi dan Dietetik Indonesia 2024; 12(2), 115-125.

[31] KE Devina, D Indarto and TN Susilawati. Development of the obesity nutraceutical from raja and kepok banana peels. Proceedings of the International Conference on Nursing and Health Sciences 2023; 4(1), 289-296.

[32] MN Ilyas, MKR Adzim, NB Simbak and AB Atif. Sample size calculation for animal studies using degree of freedom (E); an easy and statistically defined approach for metabolomics and genetic research. Current Trends in Biomedical Engineering and Biosciences 2017; 10(2), 555785.

[33] I Sundari, D Indarto and P Dirgahayu. Dual extracts of star fruit leaves and Toddalia accuelata leaves as antiobesity in rats. Jurnal Aisyah: Jurnal Ilmu Kesehatan 2022; 7(1), 93-100.

[34] I Dono, D Dwipajati, P Dirgahayu, YC Wibowo and YM Pratama. Acute effects of breakfast fruits meal sequence and postprandial exercise on the blood glucose level and DPP4 activity among type 2 diabetes mellitus patients: A pilot study. Journal of Obesity 2022; 2022, 4875993.

[35] P Kalhotra, VCSR Chittepu, G Osorio-Revilla and T Gallardo-Velázquez. Structure-activity relationship and molecular docking of natural product library reveal chrysin as a novel dipeptidyl peptidase-4 (DPP-4) inhibitor: An integrated in silico and in vitro study. Molecules 2018; 23(6), 1368.

[36] RA Saxton, NA Caveney, MD Moya-Garzon, KD Householder, GE Rodriguez, KA Burdsall, JZ Long and KC Garcia. Structural insights into the mechanism of leptin receptor activation. Nature Communications 2023; 14, 1797.

[37] M Muratore and AM Komai. Theoretical study of the adiponectin receptors: Binding site characterization and molecular dynamics of possible ligands for drug design. SN Applied Sciences 2020; 2, 533.

[38] C Zheng, Y Liu, C Xu, S Zeng, Q Wang, Y Guo, J Li, S Li, M Dong, X Luo and Q Wu. Association between obesity and the prevalence of dyslipidemia in middle-aged and older people: An observational study. Scientific Reports 2024; 14, 11974.

[39] Y Alshuweishi, AA Almufarrih, A Abudawood, Dl Alfayez, AY Alkhowaiter, H AlSudais and AM Almuqrin. Patterns of lipid abnormalities in obesity: A comparative analysis in normoglycemic and prediabetic obese individuals. Journal of Personalized Medicine 2024; 14(9), 980.

[40] A Yang and EP Mottillo. Adipocyte lipolysis: From molecular mechanisms of regulation to disease and therapeutics. Biochemical Journal 2020; 477(5), 985-1008.

[41] S Ding, J Jiang, G Zhang, Y Bu, G Zhang and X Zhao. Resveratrol and caloric restriction prevent hepatic steatosis by regulating SIRT1-autophagy pathway and alleviating endoplasmic reticulum stress in high-fat diet-fed rats. PLoS One 2017; 12(8), e0183541.

[42] R Indriawati and FU Atiyah. Antihyperglycemic and hypolipidemic potential of kepok banana peel in diabetic rats. In: Proceedings of the 4th International Conference on Sustainable Agriculture, Yogyakarta, Indonesia. 2022, p. 12040.

[43] AM Tsatsakisa, L Vassilopouloub, L Kovatsic, C Tsitsimpikoud, M Karamanoue, G Leona, J Liesivuorig, AW Hayesh and DA Spandidos. The dose response principle from philosophy to modern toxicology: The impact of ancient philosophy and medicine in modern toxicology science. Toxicology Reports 2018; 5, 1107-1113.

[44] KN Berawi and MA Bimandama. The effect of giving extract etanol of kepok banana peel (Musa acuminata) toward total cholesterol level on male mice (Mus musculus L.) strain deutschland-denken-yoken (ddy) obese. Biomedical and Pharmacoogy Journal 2018; 11(2), 769-774.

[45] ZM Mosa and AF Khalil. The effect of banana peels supplemented diet on acute liver failure rats. Annals of Agricultural Sciences 2015; 60(2), 373-379.

[46] CH Jung and KM Choi. Impact of high‐carbohydrate diet on metabolic parameters in patients with type 2 diabetes. Nutrients 2017; 9(4), 322.

[47] TM Lu, HF Chiu, YC Shen, CC Chung, K Venkatakrishnan and CK Wang. Hypocholesterolemic efficacy of quercetin rich onion juice in healthy mild hypercholesterolemic adults: A pilot study. Plant Foods for Human Nutrition 2015; 70(4), 395-400.

[48] R Tabrizi, OR Tamtaji, N Mirhosseini, KB Lankarani, M Akbari, ST Heydari, E Dadgostar and Z Asemi. The effects of quercetin supplementation on lipid profiles and inflammatory markers among patients with metabolic syndrome and related disorders: A systematic review and meta-analysis of randomized controlled trials. Critical Reviews in Food Science and Nutrition 2020; 60(11), 1855-1868.

[49] JF Zhou, WJ Wang, ZP Yin, GD Zheng, JG Chen, JE Li, LL Chen and QF Zhang. Quercetin is a promising pancreatic lipase inhibitor in reducing fat absorption in vivo. Food Bioscience 2021; 43, 101248.

[50] D Dwipajati, D Indarto and P Dirgahayu. Reduction of dipeptidyl peptidase 4 activity in patients with type 2 diabetes mellitus who consumed fruits before meals. Annals of Tropical Medicine and Public Health 2019; 11, 1-9.

[51] AK Singh, PK Patel, K Choudhary, J Joshi, D Yadav and JO Jin. Quercetin and coumarin inhibit dipeptidyl peptidase-IV and exhibits antioxidant properties: In silico, in vitro, ex vivo. Biomolecules 2020; 10(2), 207.

[52] YS Seo, OH Kang, SB Mun, DH Kang, DW Yang, JG Choi, YM Lee, DK Kang, HS Lee and DY Kwon. Quercetin prevents adipogenesis by regulation of transcriptional factors and lipases in OP9 cells. International Journal of Molecular Medicine 2015; 35(6), 1779-1785.

[53] X Ma, D Wang, W Zhao and L Xu. Deciphering the roles of PPARγ in adipocytes via dynamic change of transcription complex. Frontiers in Endocrinology 2018; 9, 473.

[54] K Wyskida, G Franik, T Wikarek, A Owczarek, A Delroba, J Chudek, J Sikora and M Olszanecka-Glinianowicz. The levels of adipokines in relation to hormonal changes during the menstrual cycle in young, normal-weight women. Endocrine Connections 2017; 6(8), 892-900.

[55] Q Guo, B Chang, QL Yu, ST Xu, XJ Yi and SC Cao. Adiponectin treatment improves insulin resistance in mice by regulating the expression of the mitochondrial-derived peptide MOTS-c and its response to exercise via APPL1-SIRT1-PGC-1α. Diabetologia 2020; 63(12), 2675-2688.

[56] V Harries, M Corley and RG Bribiescas. The impact of thawing duration on leptin and adiponectin levels in frozen human milk samples. American Journal of Human Biology 2024; 36(1), e23971.

[57] A Biyabani, F Ghorbani, M Koushki, K Nedaei, M Hemmati, NMN Mahalleh and D Ghadimi. Quercetin and calorie restriction improve leptin/adiponectin balance through reducing high-fat diet-induced oxidative stress in male BALB/c mice. Biochemical and Biophysical Research Communications 2025; 742, 151073.

[58] M Boccellino and S D’Angelo. Anti-obesity effects of polyphenol intake: Current status and future possibilities. International Journal of Molecular Sciences 2020; 21(16), 5642.

[59] U Hikmah and A Triastuti. Mechanism and immunomodulator bioactive compounds of Phyllanthus niruri (meniran) (in Indonesian). Jurnal Ilmiah Farmasi 2022; 18(2), 205-218.