Start Bootstrap Logo

Trends Sci. 2026; 23(1): 11000

Application of the Ratio Subtraction Ultraviolet Spectrophotometry Method for Simultaneous Quantification of B1, B2, B3, B6, and B12 Vitamins in Health Supplement Syrups


Siti Morin Sinaga1,*, Effendy De Lux Putra1, M. Deddy Harfiansyah2,3 and Henni Cintya4


1Department of Pharmaceutical Chemistry, Faculty of Pharmacy, Universitas Sumatera Utara, Medan, Indonesia

2Master in Pharmaceutical Sciences Program, Faculty of Pharmacy, Universitas Sumatera Utara, Medan, Indonesia

3Department of Pharmacy, Faculty of Health Sciences, Universitas Haji Sumatera Utara, Medan, Indonesia

4Department of Pharmaceutical and Food Analysis, Faculty of Vocational, Universitas Sumatera Utara,

Medan, Indonesia


(*Corresponding author’s e-mail: [email protected])


Received: 20 June 2025, Revised: 11 July 2025, Accepted: 18 July 2025, Published: 1 October 2025


Abstract

The present investigation aimed to simultaneously determine the concentrations of thiamine (B1), riboflavin (B2), nicotinamide (B3), pyridoxine (B6), and cobalamin (B12) in health supplement syrups, commonly used as multivitamins. Precise quantification of these vitamins is essential to guarantee product efficacy, safety, and compliance with quality standards. The analytical approach employed was based on ratio subtraction ultraviolet (UV) spectrophotometry, utilizing methanol as a solvent to resolve the overlapping UV absorption spectra of the vitamin mixture. Carefully optimized divisor concentrations 12 µg.mL–1 for B1, 22 µg.mL–1 for B2, 18 µg.mL–1 for B3, 11.5 µg.mL–1 for B6, and 25 µg.mL–1 for B12 were selected to ensure accurate spectral differentiation of each analyte. The method was rigorously validated according to standard parameters, including linearity, accuracy, precision, limit of detection (LOD), and limit of quantification (LOQ), all of which fulfilled established validation criteria. The quantified vitamin contents in health supplement syrup samples were 102.75% ± 2.20% for B1, 101.03% ± 2.17% for B2, 102.65% ± 2.21% for B3, 102.11% ± 2.16% for B6, and 101.26% ± 2.17% for B12, all of which conformed to the specifications outlined in the United States Pharmacopeia 38 and National Formulary 33. The proposed ratio subtraction ultraviolet spectrophotometry method offers a straightforward, cost-effective, and selective solution for concurrent estimation of these vitamins in complex pharmaceutical matrices, without the need for sophisticated instrumentation or elaborate procedures.


Keywords: Ratio subtraction, UV spectrophotometry, Quantification, Health supplement syrup


Introduction

Health supplement syrup is a liquid form of dietary supplements or nutraceuticals that is intended to increase nutritional intake, such as multivitamins, which generally contains various essential vitamins that consistently function to meet the body’s nutritional needs [1,2], including thiamine, riboflavin, nicotinamide, pyridoxine, and cobalamin. Thiamine (B1) is a water-soluble micronutrient indispensable for maintaining optimal cellular activity. It serves as a critical coenzyme in the biochemical pathways responsible for the metabolism of carbohydrates, lipids, and amino acids [3]. The chemical structure of thiamine is made up of 2 rings are a pyrimidine ring and a thiazolium ring joined together by a methylene bridge. The pyrimidine ring is particularly 2,5-dimethyl-6-aminopyrimidine. The thiazolium ring contains 4-methyl-5-hydroxyethylthiazole [4]. Riboflavin (B2), another essential water-soluble vitamin, significantly contributes to cellular energy production and metabolic regulation. It functions predominantly in redox reactions, acting as a precursor for the coenzymes flavin mononucleotide (FMN) and flavin adenine dinucleotide (FAD), both of which are integral to various enzymatic processes. Chemically, riboflavin is known as 7,8-dimethyl-10-ribityl-isoalloxazine [5]. Nicotinamide (B3), commonly referred to as niacinamide, is the amide derivative of niacin and serves as a precursor for the coenzymes nicotinamide adenine dinucleotide (NAD) and nicotinamide adenine dinucleotide phosphate (NADP). This compound is essential in numerous biochemical processes, such as energy metabolism and DNA repair. The systematic chemical designation for nicotinamide is pyridone-5-carboxamide or pyridone-3-carboxamide [6]. Pyridoxine (B6) is a water-soluble vitamin integral to amino acid metabolism and functions as a coenzyme in more than 150 enzymatic reactions. It is available in multiple forms, including pyridoxine (PN), pyridoxal (PL), and pyridoxamine (PM), along with their phosphorylated derivatives. The chemical designation for the active form of pyridoxine is pyridoxal 5’-phosphate [7]. Cobalamin (B12) is a water-soluble vitamin characterized by a complex structure. It is essential for deoxyribonucleic acid (DNA) synthesis, the complex process of fatty acid metabolism, and the crucial development of healthy red blood cells. The chemical name for cobalamin is 5,6-dimethylbenzimidazole, and it is found in various forms, including its active forms, methylcobalamin and adenosylcobalamin [8].

Reliable determination of individual drug constituents is a critical requirement outlined in pharmacopeial monographs to maintain formulation stability. Ensuring accurate measurement of active substance concentration, as mandated by these quality standards, is fundamental to verify that each dosage form delivers the appropriate quantity of the therapeutic agent [9]. Various analytical techniques have been employed for the determination of health supplement components like thiamine, riboflavin, nicotinamide, pyridoxine, and cobalamin, both as individual analytes and in combination within complex formulations, often presenting significant analytical challenges due to matrix interference. A variety of analytical techniques have been employed for quantitative and qualitative evaluation, including high-performance liquid chromatography (HPLC), thin-layer chromatography (TLC) densitometry, reversed-phase liquid chromatography (RP-LC), hydrophilic interaction liquid chromatography (HILIC), voltammetric methods, pressurized planar electrochromatography (PPEC), high-performance thin-layer chromatography (HPTLC), mass spectrometry (MS), fourier-transform infrared spectroscopy (FTIR), raman spectroscopy, near infra-red (NIR), and ultraviolet-visible (UV-Vis) spectrophotometry [10-26].

Spectrophotometry offers a simple, rapid, and relatively straightforward analytical approach compared to many other methods. However, a primary challenge in the spectrophotometric analysis of binary, ternary, or more complex mixtures is the simultaneous determination of compounds without prior separation [27]. The ratio subtraction ultraviolet spectrophotometry method is particularly useful for the quantification of multiple components in a mixture, even when their UV absorption spectra exhibit significant overlap. Numerous investigations have focused on the concurrent spectrophotometric analysis of health supplement components like thiamine, riboflavin, nicotinamide, pyridoxine, and cobalamin have been published. These include methods such as the area under curve method in spectrophotometry, ultraviolet-visible spectrophotometric-assisted chemometric calibration models, spectrophotometric method based on continuous wavelet transform (CWT) and partial least squares (PLS) techniques, 1st-order derivative spectrophotometry, and multivariate regression spectrophotometry [22-26].

The ratio subtraction ultraviolet spectrophotometry method is a spectrophotometric technique capable of analyzing 2 or more compounds simultaneously without the need for prior separation. It’s easily applicable to routine analysis, doesn’t require derivatization, and avoids complex mathematical calculations, relying solely on constants within the ratio spectrum [27,28]. The utilization of response surface methodology ratio subtraction ultraviolet spectrophotometry method in mixture analysis has been extensively documented in the literature, including the quantification of isoniazid and pyridoxine hydrochloride using 0.1 N HCl as the solvent, and irbesartan and hydrochlorothiazide with 0.1 N NaOH as the solvent [9,27]. Accordingly, the present work seeks to validate the application of ratio subtraction ultraviolet spectrophotometry as a reliable approach for the concurrent determination of B1, B2, B3, B6, and B12 within a health supplement syrup matrix. While ratio subtraction UV spectrophotometry has been previously applied to various binary and ternary pharmaceutical mixtures [27,28], with relatively few reports addressing its use this method for simultaneous quantification of 5 B-complex vitamins (B1, B2, B3, B6, B12) especially in a liquid multivitamin syrup matrix. The integration of optimized spectral division order tailored to vitamin pharmacological relevance and spectral dominance further distinguishes this work from prior studies and offering a practical alternative to chromatographic methods.


Materials and methods

Materials

Analytical-grade standards of thiamine, riboflavin, pyridoxine, cobalamin, and nicotinamide were procured from the National Agency of Drug and Food Control of Indonesia to ensure compound identity and purity throughout the study. Methanol, supplied by E-Merck, was used as the solvent. Additionally, Sanvita-B® Vitamin B Complex Health Supplement syrup (Sanbe Farma) is obtained from pharmacies in Medan city, Indonesia, containing 5 mg of B1, 2 mg of B2, 20 mg of B3, 2.5 mg of B6, and 3 mcg of B12 per dose, was selected for analysis.


Equipments

The equipment used in this study included spectral data were acquired using a Shimadzu UV-Visible 1800 spectrophotometer interfaced with a personal computer running UV-Probe 2.42 software, a 1 cm cuvette, an analytical balance (Boeco), a sonicator (Branson), and various glassware (Oberoi).


Preparation of standard solution

Individual primary stock solutions of B1, B2, B3, B6, and B12 were individually prepared at a concentration of 1000 µg.mL–1 by precisely measuring 25 mg of each vitamin and dissolving them in methanol using separate 25 mL volumetric flasks. From these, working standard solutions of 100 µg.mL–1 were obtained by pipetting 2.5 mL of each stock solution into individual 25 mL volumetric flasks and making up to volume with methanol.


Preparation of absorption spectra

To facilitate the analysis of B1, B2, B3, B6, and B12, standard solutions with different concentration levels were prepared from the working solutions, ranging from 4 to 20 µg.mL–1 for vitamin B1, 16 to 28 µg.mL–1 for B2, 6 to 30 µg.mL–1 for B3, 7.5 to 15.5 µg.mL–1 for B6, and 15 to 35 µg.mL–1 for B12. These calibration solutions were subsequently analyzed using a UV-Visible spectrophotometer, with spectral data recorded in the 200 - 400 nm wavelength range. This procedure enabled the identification of characteristic absorption maxima for each vitamin, forming the basis for subsequent quantitative evaluations.


Preparation of mixture spectra of B1, B2, B3, B6, and B12

In this phase, mixed standard solutions containing B1, B2, B3, B6, and B12 were prepared to enable their simultaneous determination via spectrophotometric analysis. The absorption spectra of these multicomponent solutions were recorded to evaluate spectral overlap and to investigate the interaction among the components in the UV region, which is essential for accurate peak deconvolution in complex matrices.


Analysis of B1 via ratio subtraction ultraviolet spectrophotometry method

The quantification of B1 was conducted using the ratio subtraction ultraviolet spectrophotometry approach. This method was executed via the UV-Probe 2.42 software, which facilitated the analytical process through sequential mathematical manipulations involving spectral division followed by subtraction. The mixed spectrum was divided by the spectrum of B12 at 25 µg.mL–1. Subtraction was then performed using a constant derived from the self-division of the B12 spectrum. This subtraction yielded a new spectrum, denoted as B1 + B2 + B3 + B6/B12°. The resulting spectrum was then multiplied by the same divisor used for B12, yielding the combined spectrum of B1 + B2 + B3 + B6. The process continued with the 2nd divisor. The B1 + B2 + B3 + B6 spectrum was divided by the spectrum of B2 at 22 µg.mL–1. The result was then subtracted by a constant, where the constant was obtained by dividing the B2 spectrum by its divisor. This subtraction produced a new spectrum, B1 + B3 + B6/B2 . Multiplying this by the same B2 divisor yielded the B1 + B3 + B6 spectrum. The 3rd divisor was then applied, the B1 + B3 + B6 spectrum was divided by the spectrum of B3 at 18 µg.mL–1. After subtracting the constant from the self-division of B3 to generated a new spectrum, B1 + B6/B3°. Multiplication by the B3 divisor provided the B1 + B6 spectrum. The last divisor used is the 4th divisor, the B1 + B6 spectrum divided by the B6 spectrum at 11.5 μg.mL–1. A final subtraction was performed using a constant derived from the B6 reference spectrum with results the B1/B6 spectrum. Multiplying this final spectrum with a B6 divider allows the isolation of a single B1 spectrum from complex mixtures.


Analysis of B2 via ratio subtraction ultraviolet spectrophotometry method

The determination of B2 can be continued by taking the B1 + B2 + B3 + B6 spectrum, which was the result of the 1st divisor operation (B12) from the B1 determination. This B1 + B2 + B3 + B6 spectrum is then divided by the 2nd divisor, the spectrum of B1 at 12 µg.mL–1. The resulting ratio spectrum is then subtracted by a constant, where the constant is derived from the division of the B1 spectrum by its own divisor. This subtraction yields a new spectrum, denoted as B2 + B3 + B6/B1°. Subsequently, this spectrum is multiplied by the same B1 divisor to obtain the combined B2 + B3 + B6 spectrum. The process continues with the 3rd divisor. The B2 + B3 + B6 spectrum is divided by the spectrum of B3 at 18 µg.mL–1. The result is then subtracted by a constant, which is the B3 spectrum divided by its divisor. This operation generates a new spectrum, B2 + B6/B3°. Multiplying this by the B3 divisor yields the B2 + B6 spectrum. The last divisor used is the 4th divisor, the B2 + B6 spectrum is divided by the spectrum of B6 at 11.5 µg.mL–1. The result is then subtracted by a constant, calculated by dividing the B6 spectrum by its divisor. This produces a new spectrum, B2/B6°. Multiplying this final spectrum by the B6 divisor allows for the isolation of the single B2 spectrum from the mixture.


Analysis of B3 via ratio subtraction ultraviolet spectrophotometry method

The determination of B3 can be continued using the B2 + B3 + B6 spectrum, which was the outcome of the 2nd divisor with B1 during the B2 determination after the initial division with B12 from the B1 determination process. This B2 + B3 + B6 spectrum is then divided by the 3rd divisor, the spectrum of B2 at 22 µg.mL–1. The resulting ratio spectrum is then subtracted by a constant, where the constant is derived from the division of the B2 spectrum by its own divisor. This subtraction yields a new spectrum, denoted as B3 + B6/B2°. Subsequently, this spectrum is multiplied by the same B2 divisor to obtain the combined B3 + B6 spectrum. The process continues with the 4th divisor. The B3 + B6 spectrum is divided by the spectrum of B6 at 11.5 µg.mL–1. The result is then subtracted by a constant, calculated by dividing the B6 spectrum by its divisor. This produces a new spectrum, B3/B6°. Multiplying this final spectrum by the B6 divisor allows for the isolation of the single B3 spectrum from the mixture.


Analysis of B6 via ratio subtraction ultraviolet spectrophotometry method

The determination of B6 can be continued using the B3 + B6 spectrum. This spectrum was obtained from the 3rd divisor with B2 during the B3 determination, following the 2nd division with B1 in the B2 determination and which in turn followed the initial division with B12 in the B1 determination process. This B3 + B6 spectrum is then divided by the 4th divisor, the spectrum of B3 at 18 µg.mL–1. The resulting ratio spectrum is then subtracted by a constant, which is derived from the division of the B3 spectrum by its own divisor. This subtraction yields a new spectrum, denoted as B6/B3°. Subsequently, multiplying this spectrum by the same B3 divisor allows for the isolation of the single B6 spectrum from the mixture.


Analysis of B12 via ratio subtraction ultraviolet spectrophotometry method

The determination of B12 can be achieved through a series of ratio subtraction operations. The mixed spectrum is divided by the spectrum of B1 at 12 µg.mL–1. The resulting ratio spectrum is then subtracted by a constant, which is derived from dividing the B1 spectrum by its own divisor. This subtraction yields a new spectrum, denoted as B2 + B3 + B6 + B12/B1°. Subsequently, multiplying this spectrum by the same B1 divisor results in the combined B2 + B3 + B6 + B12 spectrum. The process then proceeds with the 2nd divisor. The B2 + B3 + B6 + B12 spectrum is divided by the spectrum of B2 at 22 µg.mL–1. The result is subtracted by a constant obtained from dividing the B2 spectrum by its divisor, yielding a new spectrum: B3 + B6 + B12/B2°. Multiplying this by the B2 divisor provides the B3 + B6 + B12 spectrum. The 3rd divisor is applied, the B3 + B6 + B12 spectrum is divided by the spectrum of B3 at 18 µg.mL–1. The outcome is subtracted by a constant, which is the B3 spectrum divided by its divisor. This generates a new spectrum, B6 + B12/B3°. Multiplying this by the B3 divisor gives the B6 + B12 spectrum. The last divisor used is the 4th divisor, the B6 + B12 spectrum is divided by the spectrum of B6 at 11.5 µg.mL–1. The result is then subtracted by a constant, calculated by dividing the B6 spectrum by its divisor. This produces a new spectrum, B12/B6°. Multiplying this final spectrum by the B6 divisor isolates the single B12 spectrum from the mixture.


Analysis of health supplement syrup

To perform spectrophotometric analysis of the health supplement syrup containing 5 mg of B1, 2 mg of B2, 20 mg of B3, 2.5 mg of B6, and 3 µg of B12 per 5 mL, a volume equivalent to 20 mg of B3 was precisely measured. The corresponding concentrations of the remaining vitamins within this volume were calculated proportionally to ensure accurate representation during analysis. The accurately measured syrup sample was quantitatively transferred into a 50 mL volumetric flask, diluted to the calibration mark with methanol, and subjected to sonication for 15 min to ensure complete dissolution. Filtration was carried out using Whatman No. 42 filter paper; the 1st 10 mL of filtrate was discarded to avoid potential matrix interferences, and the subsequent clear solution was collected. A 6.25 mL aliquot of this filtrate was then further diluted to 25 mL with methanol in a separate volumetric flask to obtain the final sample solution for analysis. An aliquot of 1.8 mL from the resulting filtrate was then transferred into a 10 mL volumetric flask. To this, 0.75 mL of B1 working standard solution, 2.02 mL of B2 working standard solution, 0.93 mL of B6 working standard solution, and 2.5 mL of B12 working standard solution were added as an internal addition. The volume was then made up to the mark with methanol solvent. The absorbance of the final solution was measured in the 200 - 400 nm range. The prepared solution was subsequently subjected to analysis using the ratio subtraction ultraviolet spectrophotometry method for the quantification of B1, B2, B3, B6, and B12. This analytical procedure is essential for confirming the actual concentrations of the active ingredients within the syrup formulation and for ensuring conformity with established pharmaceutical quality standards.


Method validation

Linearity

The linearity of the proposed analytical method was assessed for B1, B2, B3, B6, and B12 within their respective concentration ranges: 4 - 20 µg.mL–1 for B1, 16 - 28 µg.mL–1 for B2, 6 - 30 µg.mL–1 for B3, 7.5 - 15.5 µg.mL–1 for B6, and 15 - 35 µg.mL–1 for B12. Absorbance values corresponding to each concentration level were recorded, and linear regression analyses were conducted to establish the relationship calibration equations and correlation coefficients. This evaluation was essential to confirm the method’s ability to produce reliable and proportional responses over the tested concentration intervals with r 1 [21,29].


Accuracy

The accuracy of the method was assessed by introducing known amounts of reference standards into the sample matrix. Recovery studies were performed at 3 concentration levels 80%, 100% and 120% where each level consisted of 70% analyte from the sample and 30% from the working standard solution. This procedure aimed to determine the method’s capability to accurately recover and quantify the analyte content relative to its true concentration with recoveries between 90% - 110% [21,27,29].


Precision

Method precision, indicative of its reproducibility, was assessed by determining the relative standard deviation (RSD) of replicate measurements. An RSD value below 2% is generally accepted as a benchmark for adequate precision [21,27,29], reflecting the method’s ability to produce consistent results under identical analytical conditions.


Limit of detection (LOD)

The limit of detection (LOD), which indicates the lowest concentration of an analyte that can be reliably identified, albeit not accurately quantified, was calculated using the formula: LOD = 3.3×(standard deviation/slope) [9,21]. This parameter is essential in assessing the analytical method’s sensitivity.


Limit of quantification (LOQ)

The limit of quantification (LOQ) denotes the minimum concentration of an analyte that can be quantified with satisfactory precision and accuracy. It was determined using the formula: LOQ = 10×(standard deviation/slope) [9,21]. This parameter is essential for defining the lowest concentration at which the analyte can be reliably measured.

Results and discussion

Absorption spectra of individual B1, B2, B3, B6, and B12, as well as their mixtures, were obtained

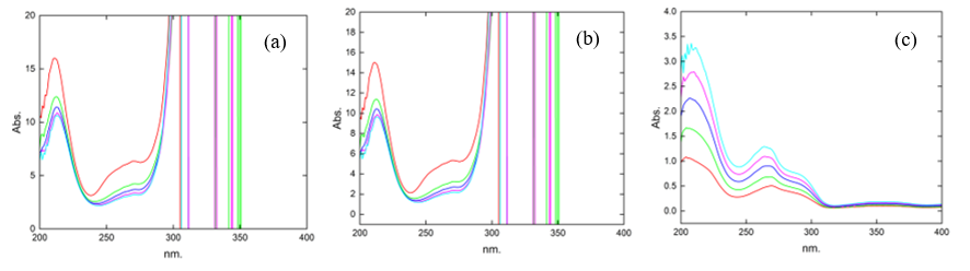
Overlapping spectra were obtained from the maximum absorption spectra of B1, B2, B3, B6, and B12, as well as their mixture. For the individual maximum absorption spectra, the following concentrations were used: 12 µg.mL–1 for B1, 22 µg.mL–1 for B2, 18 µg.mL–1 for B3, 11.5 µg.mL–1 for B6, and 25 µg.mL–1 for B12. These spectra are presented in Figure 1.


Figure 1 Overlapping spectra B1, B2, B3, B6, and B12, as well as for their mixture.

Figure 1 illustrates that the spectral overlap of B1 at 12 µg.mL–1, B2 at 22 µg.mL–1, B3 at 18 µg.mL–1, B6 at 11.5 µg.mL–1 and B12 at 25 µg.mL–1, both individually and in their mixture, can be resolved using the ratio subtraction ultraviolet spectrophotometry method [28,30]. The ratio subtraction method is initiated by examining the overlapping spectral profiles of the components. Based on the spectral evaluation, a suitable initial divisor is selected, which serves as the foundation for subsequent ratio processing steps throughout the analysis [27,28,30].


Absorption spectra of B1, B2, B3, B6, and B12 using the ratio subtraction ultraviolet spectrophotometry method

The compound mixture contains 5 active ingredients, B1, B2, B3, B6, and B12. To obtain the individual absorption spectrum of each compound from the mixture, the mixture undergoes a division step. Subsequently, a subtraction is performed using a constant, where this constant is derived from the compound divided by its own divisor. Finally, the 0-order absorption spectrum of each single compound is obtained by multiplying the resulting spectrum by the same divisor, all achieved using the ratio subtraction ultraviolet spectrophotometry method [27,28].


Thiamine (B1)

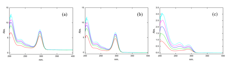
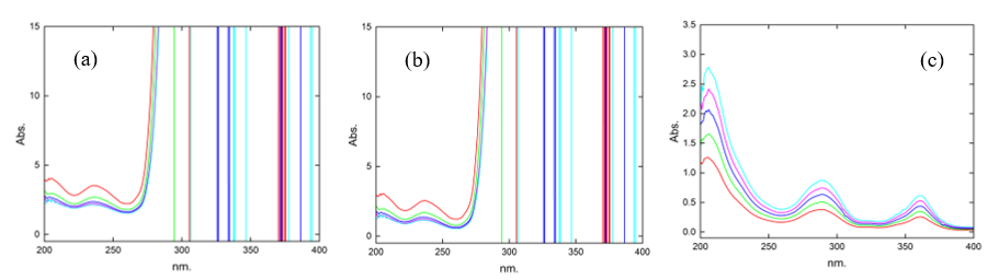
To obtain the single absorption spectrum of B1 from its mixture, the mixed spectrum undergoes a 4-step division process, as the mixture contains 5 active compounds. The sequence of these 4 divisors is determined by the preliminary orientation study of all 5 compounds. The 1st divisor used to determine the single absorption spectrum of B1 from the mixture is B12 at a concentration of 25 µg.mL–1. This is followed by a subtraction with a constant, which is derived from the B12 spectrum divided by its divisor. Finally, multiplying this by the same divisor yields the absorption spectrum as seen in Figure 2.

Figure 2 Spectra of the mixture with (a) B12 as the divisor 25 µg.mL–1, (b) spectra subtracting the constant (B12/B12°), and (c) spectra after multiplying by the divisor.


The 2nd divisor used to determine the single absorption spectrum of B1 from its mixture was B2 at a concentration of 22 µg.mL–1. This was followed by a subtraction with a constant, which was derived from the B2 spectrum divided by its divisor. Finally, multiplying this by the same divisor yielded the absorption spectrum as seen in Figure 3.

Figure 3 Spectra of the mixture with (a) B2 as the divisor 22 µg.mL–1, (b) spectra subtracting the constant (B2/B2°), and (c) spectra after multiplying by the divisor.


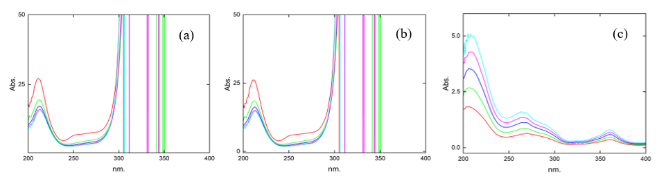
The 3rd divisor employed to determine the single absorption spectrum of B1 from its mixture was B3 at a concentration of 18 µg.mL–1. This was followed by a subtraction with a constant, derived from the B3 spectrum divided by its divisor. Finally, multiplying this by the same divisor yielded the absorption spectrum as seen in Figure 4.

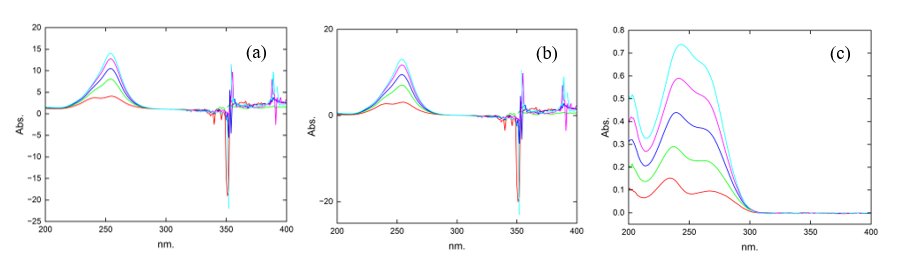
The last divisor, the 4th, used to determine the single absorption spectrum of B1 from its mixture was B6 at a concentration of 11.5 µg.mL–1. This was followed by a subtraction with a constant, derived from the B6 spectrum divided by its divisor. Subsequently, the 0-order absorption spectrum of B1, as obtained by the proposed ratio subtraction ultraviolet spectrophotometry method, resulted from multiplying this by the same divisor, as seen in Figure 5.



Figure 4 Spectra of the mixture with (a) B3 as the divisor 18 µg.mL–1, (b) spectra subtracting the constant (B3/B3°), and (c) spectra after multiplying by the divisor.


Figure 5 Spectra of the mixture with (a) B6 as the divisor 11.5 µg.mL–1, (b) spectra subtracting the constant (B6/B6°), and (c) 0-order absorption spectrum of B1 obtained by the proposed ratio subtraction ultraviolet spectrophotometry method after multiplication by the divisor.


Riboflavin (B2)

The determination of the single absorption spectrum of B2 continues by taking the result from the 1st division with B12 during the B1 determination, as shown in Figure 2. The 2nd divisor used to determine the single absorption spectrum of B2 from its mixture is B1 at a concentration of 12 µg.mL–1. This is followed by a subtraction with a constant, which is derived from the B1 spectrum divided by its divisor. Finally, multiplying this by the same divisor yields the absorption spectrum as seen in Figure 6.

The 3rd divisor used to determine the single absorption spectrum of B2 from its mixture was B3 at a concentration of 18 µg.mL–1. This was followed by a subtraction with a constant, which was derived from the B3 spectrum divided by its divisor. Finally, multiplying this by the same divisor yielded the absorption spectrum as seen in Figure 7.

The last divisor, the 4th, used to determine the single absorption spectrum of B2 from its mixture was B6 at a concentration of 11.5 µg.mL–1. This was followed by a subtraction with a constant, derived from the B6 spectrum divided by its divisor. Subsequently, the 0-order absorption spectrum of B2, as obtained by the proposed ratio subtraction ultraviolet spectrophotometry method, resulted from multiplying this by the same divisor, as seen in Figure 8.


Figure 6 Spectra of the mixture with (a) B1 as the divisor 12 µg.mL–1, (b) spectra subtracting the constant (B1/B1°), and (c) spectra after multiplying by the divisor.


Figure 7 Spectra of the mixture with (a) B3 as the divisor 18 µg.mL–1, (b) spectra subtracting the constant (B3/B3°), and (c) spectra after multiplying by the divisor.


Figure 8 Spectra of the mixture with (a) B6 as the divisor 11.5 µg.mL–1, (b) spectra subtracting the constant (B6/B6°), and (c) 0-order absorption spectrum of B2 obtained by the proposed ratio subtraction ultraviolet spectrophotometry method after multiplication by the divisor.


Nicotinamide (B3)

The determination of the single absorption spectrum of B3 continued by taking the result from the 2nd division with B1 during the B2 determination (Figure 6), which itself followed the initial division with B12 from the B1 determination (Figure 2). The 3rd divisor used to determine the single absorption spectrum of B3 from its mixture was B2 at a concentration of 22 µg.mL–1. This was followed by a subtraction with a constant, derived from the B2 spectrum divided by its divisor. Finally, multiplying this by the same divisor yielded the absorption spectrum as seen in Figure 9.

The final divisor, the 4th in the sequence, used to determine the single absorption spectrum of B3 from its mixture was B6 at a concentration of 11.5 µg.mL–1. Following this, a subtraction was performed using a constant, which was derived from the B6 spectrum divided by its divisor. Finally, the 0-order absorption spectrum of B3, obtained via the proposed ratio subtraction ultraviolet spectrophotometry method, was achieved by multiplying this by the same divisor, as shown in Figure 10.


Figure 9 Spectra of the mixture with (a) B2 as the divisor 22 µg.mL–1, (b) spectra subtracting the constant (B2/B2°), and (c) spectra after multiplying by the divisor.


Figure 10 Spectra of the mixture with (a) B6 as the divisor 11.5 µg.mL–1, (b) spectra subtracting the constant (B6/B6°), and (c) 0-order absorption spectrum of B3 obtained by the proposed ratio subtraction ultraviolet spectrophotometry method after multiplication by the divisor.


Pyridoxine (B6)

The determination of the single absorption spectrum of B6 proceeds by taking the result from the 3rd division with B2 during the B3 determination (Figure 9). This step followed the 2nd division with B1 in the B2 determination (Figure 6), which in turn followed the initial division with B12 in the B1 determination (Figure 2). Subsequently, the final, 4th divisor used to isolate the single absorption spectrum of B6 from its mixture was B3 at a concentration of 18 µg.mL–1. This was followed by a subtraction with a constant, derived from the B3 spectrum divided by its divisor. Finally, the 0-order absorption spectrum of B6, obtained by the proposed ratio subtraction ultraviolet spectrophotometry method, was achieved by multiplying this by the same divisor, as seen in Figure 11.


Figure 11 Spectra of the mixture with (a) B3 as the divisor 18 µg.mL–1, (b) spectra subtracting the constant (B3/B3°), and (c) 0-order absorption spectrum of B6 obtained by the proposed ratio subtraction ultraviolet spectrophotometry method after multiplication by the divisor.


Cobalamin (B12)

The 1st divisor used to determine the single absorption spectrum of B12 from the mixture is B1 at a concentration of 12 µg.mL–1. This is followed by a subtraction with a constant, which is derived from the B1 spectrum divided by its divisor. Finally, multiplying this by the same divisor yields the absorption spectrum as seen in Figure 12.


Figure 12 Spectra of the mixture with (a) B1 as the divisor 12 µg.mL–1, (b) spectra subtracting the constant (B1/B1°), and (c) spectra after multiplying by the divisor.


The 2nd divisor used to determine the single absorption spectrum of B12 from its mixture was B2 at a concentration of 22 µg.mL–1. This was followed by a subtraction with a constant, which was derived from the B2 spectrum divided by its divisor. Finally, multiplying this by the same divisor yielded the absorption spectrum as seen in Figure 13.


Figure 13 Spectra of the mixture of with (a) B2 as the divisor 22 µg.mL–1, (b) spectra subtracting the constant (B2/B2°), and (c) spectra after multiplying by the divisor.


The 3rd divisor employed to determine the single absorption spectrum of B12 from its mixture was B3 at a concentration of 18 µg.mL–1. This was followed by a subtraction with a constant, derived from the B3 spectrum divided by its divisor. Finally, multiplying this by the same divisor yielded the absorption spectrum as seen in Figure 14.

The last divisor, the 4th, used to determine the single absorption spectrum of B12 from its mixture was B6 at a concentration of 11.5 µg.mL–1. This was followed by a subtraction with a constant, derived from the B6 spectrum divided by its divisor. Subsequently, the 0-order absorption spectrum of B1, as obtained by the proposed ratio subtraction ultraviolet spectrophotometry method, resulted from multiplying this by the same divisor, as seen in Figure 15.


Figure 14 Spectra of the mixture with (a) B3 as the divisor 18 µg.mL–1, (b) spectra subtracting the constant (B3/B3°), and (c) spectra after multiplying by the divisor.


Figure 15 Spectra of the mixture with (a) B6 as the divisor 11.5 µg.mL–1, (b) spectra subtracting the constant (B6/B6°), and (c) 0-order absorption spectrum of B12 obtained by the proposed ratio subtraction ultraviolet spectrophotometry method after multiplication by the divisor.


As illustrated in Figures 2 to 15, the ratio subtraction ultraviolet spectrophotometry technique provides a structured and efficient strategy for the analysis of multicomponent mixtures, particularly in cases where spectral overlap occurs. This method is especially valuable for the quantification of pharmaceutical compounds, as exemplified by the simultaneous determination of B1, B2, B3, B6, and B12. The analytical procedure begins by dividing the absorption spectrum of the mixture by that of a selected standard concentration, referred to as the divisor. The selection of appropriate divisor concentrations for each compound is essential, as it directly influences the resolution and accuracy of the subtraction process, thereby facilitating precise differentiation among the components. After the division step, the procedure proceeds with the subtraction of the divisor spectrum from the ratioed spectrum. This stage plays a crucial role in isolating the spectral contribution of each analyte by eliminating the influence of the divisor, allowing for clearer identification and quantification within complex mixtures. Subsequently, the subtracted spectrum is multiplied by the original divisor spectrum, a process that restores the spectral amplitude to its original scale while maintaining the resolution between overlapping signals. This sequence ultimately yields well-resolved, interference-free spectra for each compound present in the mixture. Notably, Figures 5(c), 8(c), 10(c), 11(c), and 15(c) depict the 0-order spectra of B1, B2, B3, B6, and B12, respectively, as generated by this analytical approach. These figures also include the linear regression equations utilized to quantify the analytes based on their absorbance characteristics at specific wavelengths: 239 nm for B1, 269 nm for B2, 262 nm for B3, 291 nm for B6, and 361 nm for B12. The respective concentrations were determined by referencing these spectra to their established calibration curves [9,27,28]. Compared to high-performance liquid chromatography (HPLC), which is highly selective but expensive and time-consuming, the proposed method offers a cost-effective and rapid alternative for multicomponent analysis. While chemometrics-based UV methods like PLS or CWT have shown success in resolving overlapping spectra, they require complex mathematical modeling and specialized software. In contrast, the ratio subtraction method achieves spectral deconvolution using straightforward mathematical steps, making it more accessible for routine quality control laboratories.

The ratio subtraction UV spectrophotometry technique holds significant importance in pharmaceutical analysis, as it facilitates accurate quantification of individual components within complex mixtures, even when their absorption spectra exhibit substantial overlap. This level of precision is critical in verifying the correct dosage and therapeutic effectiveness of pharmaceutical formulations [27,30]. Despite its advantages, the ratio subtraction method has notable limitations. It becomes increasingly complex and less accurate when applied to mixtures with more than 5 analytes, especially when their spectra exhibit high degrees of overlap. Moreover, the accuracy of the method is highly sensitive to divisor selection, which requires careful optimization. As a purely spectrophotometric technique, it also lacks the selectivity of chromatographic or MS-based methods in highly variable matrices. Nevertheless, within the scope of this study, the method demonstrated sufficient accuracy, precision, and applicability for the simultaneous quantification of 5 B-complex vitamins in syrup formulation, as confirmed through method validation.


Method validation

Validation of the analytical method for determining B1, B2, B3, B6, and B12 encompasses several key parameters, including linearity, accuracy, precision, limit of detection (LOD), and limit of quantification (LOQ). These validation criteria are fundamental to evaluating the reliability and robustness of the method. A summary of the validation outcomes for all 5 compounds is presented in Table 1. The validation results confirm that the developed method aligns with the criteria outlined by International Council for Harmonisation (ICH) guidelines for the simultaneous quantification of B1, B2, B3, B6, and B12 in health supplement syrup. The adherence of all evaluated parameters underscores the reliability and suitability of this analytical approach. Previous studies have also reported that ultraviolet spectrophotometry utilizing the ratio subtraction ultraviolet spectrophotometry method yields robust and acceptable validation results [27,28,30].


Table 1 Method validation for the analysis of B1, B2, B3, B6, and B12 in ratio subtraction ultraviolet spectrophotometry method.

Parameter

B1

B2

B3

B6

B12

Linearity

0.9998

0.9997

0.9999

0.9988

0.9999

Accuracy (%)

101.16 ± 0.63

100.40 ± 0.44

101.21 ± 0.56

101.09 ± 0.61

100.77 ± 0.72

Precision (%)

1.30

1.30

1.31

1.29

1.30

LOD (µg.mL–1)

0.49

0.85

0.62

0.98

0.57

LOQ (µg.mL–1)

1.47

2.58

1.88

2.98

1.73


Application of health supplement syrup quantification

The application results of the ratio subtraction UV spectrophotometry method for quantifying B1, B2, B3, B6, and B12 contained in health supplement syrup formulations presents in Table 2. The ratio subtraction ultraviolet spectrophotometry method was employed to determine the concentrations of B1, B2, B3, B6, and B12 for simultaneous quantification in health supplement syrups. This application aimed to ensure that these compounds met established pharmaceutical standards [31]. As shown in Table 2, the concentrations of B1, B2, B3, B6, and B12 in the health supplement syrup were found to be consistent with the required standards. These findings emphasize the critical role of rigorous quality control in the manufacturing of health supplement syrups and demonstrate the reliability of the ratio subtraction ultraviolet spectrophotometry method in ensuring that the formulation meets predefined compound specifications.


Table 2 Application of health supplement syrup quantification in ratio subtraction ultraviolet spectrophotometry method.

Component

Level (%)

Requirement (%)

The content (mg)

Claim on the label (mg)

Thiamine (B1)

102.75 ± 2.20

90.00 - 110.00

5.14 ± 0.11

5

Riboflavin (B2)

101.03 ± 2.17

95.00 - 115.00

2.02 ± 0.04

2

Nicotinamide (B3)

102.65 ± 2.21

90.00 - 110.00

20.53 ± 0.44

20

Pyridoxine (B6)

102.11 ± 2.16

95.00 - 115.00

2.55 ± 0.05

2.5

Cobalamin (B12)

101.26 ± 2.17

95.00 - 115.00

0.0030 ± 0.0001

0.003



Conclusions

The present study successfully developed and validated a ratio subtraction ultraviolet spectrophotometry method for the simultaneous quantification of 5 B-complex vitamins thiamine (B1), riboflavin (B2), nicotinamide (B3), pyridoxine (B6), and cobalamin (B12) in a health supplement syrup formulation. The method employed a sequential ratio manipulation process involving spectral division, constant subtraction, and multiplication, allowing precise deconvolution of overlapping UV spectra. The analytical procedure was validated according to ICH guidelines, demonstrating excellent linearity (r ≤ 1), high accuracy (recoveries between 90% - 110%), and precision (RSD ≤ 2%). Limits of detection and quantification for each vitamin confirmed the method’s sensitivity. The quantified vitamin contents in real syrup samples were consistent with pharmacopeial specifications (United States Pharmacopeia 38 and National Formulary 33). Compared to conventional chromatographic and chemometric UV methods, the proposed technique is simpler, faster, and more cost-effective, requiring only basic instrumentation and minimal sample preparation. Therefore, this method is a promising alternative for routine quality control of multivitamin syrups, particularly in laboratories with limited access to advanced analytical technologies.


Acknowledgements

The authors sincerely thank the Faculty of Pharmacy, Universitas Sumatera Utara, Medan, Indonesia, for providing access to the laboratory facilities that were crucial to the completion of this research.


Declaration of Generative AI in Scientific Writing

The authors affirm that generative AI tools, such as QuillBot and OpenAI's ChatGPT, were utilized solely for language refinement and grammar correction during the preparation of this manuscript. These tools were not involved in generating content or interpreting data. The authors bear full responsibility for the content and the conclusions presented in this work.


CRediT author statement

Siti Morin Sinaga: Conceptualization; Methodology; Software; Data Curation; Writing - Original Draft; Project administration. Effendy De Lux Putra: Methodology; Data curation; Writing - Original draft preparation. M. Deddy Harfiansyah: Software; Validation; Visualization; Investigation; Resources; Data Curation; Writing - Original draft preparation; Funding acquisition. Henni Cintya: Formal analysis; Investigation; Writing - Reviewing and Editing.


References

[1] ŽT Rakuša, A Grobin and R Roškar. A comprehensive approach for the simultaneous analysis of all main water-soluble vitamins in multivitamin preparations by a stability-indicating HPLC-DAD method. Food Chemistry 2021; 337, 127768.

[2] SA Ullah, G Razaque, M Arsalan, GM Shahwani, N Ul-haq and NA Shahwani. Decomposition of vitamins in multivitamin syrups of different brands under various storage conditions. Pak-Euro Journal of Medical and Life Sciences 2022; 5(2), 229-242.

[3] Ysphaneendramallimoggala, M Biswas, SE Anburaj, F Iqbal, A Shrikiran, VB Suryakanth and LES Lewis. Thiamine: An indispensable regulator of paediatric neuro-cardiovascular health and diseases. European Journal of Pediatrics 2024; 183(11), 4597-4610.

[4] M Mrowicka, J Mrowicki, G Dragan and I Majsterek. The importance of thiamine (vitamin B1) in humans. Bioscience Reports 2023; 43(10), BSR20230374.

[5] N Suwannasom, I Kao, A Pruß, R Georgieva and H Bäumler. Riboflavin: The health benefits of a forgotten natural vitamin. International Journal of Molecular Sciences 2020; 21(3), 950.

[6] L Camillo, E Zavattaro and P Savoia. Nicotinamide: A multifaceted molecule in skin health and beyond.  Medicina 2025; 61(2), 254.

[7] P Zhang, T Suda, S Suidasari, T Kumrungsee, N Yanaka and N Kato. Novel preventive mechanisms of vitamin B6 against inflammation, inflammasome, and chronic diseases. In: VB Patel (Ed.). Molecular nutrition. Academic Press, Amsterdam, Netherlands, 2020, p. 283-299.

[8] G Rizzo and AS Laganà. A review of vitamin B12. In: VB Patel (Ed.). Molecular nutrition. Academic Press, Amsterdam, Netherlands, 2020, p. 105-129.

[9] RE Tarigan, ELF Mendrofa and C Surbakti. Simultaneous determination of isoniazid and pyridoxine hydrochloride in tablet dosage forms using ratio subtraction spectrophotometry. Jurnal Kimia dan Pendidikan Kimia 2024; 9(1), 1-14.

[10] Z Anwar, A Noreen, M Usmani, Z Akram, MA Ejaz, MA Sheraz, S Ahmed, S Zahid, S Sabir and SG Musharraf. A kinetic study for the estimation of riboflavin sensitized photooxidation of pyridoxine HCl using green UV-visible spectrometric and HPLC methods. RSC Advances 2024; 14(53), 39174-39192.

[11] ML Mia, MZ Sultan, MA Ali, HA Simol and MA Salam. Quantification of riboflavin and thiamine in GI (Geographical indication) branded yogurts collected from bogura, bangladesh using HPLC equipped with a fluorescence detector. Bangladesh Pharmaceutical Journal 2024; 27(1), 59-66.

[12] S Saini, S Mandal and D Agarwal. Development and validation of RP-HPLC method for the simultaneous estimation of methionine, pyridoxine hydrochloride and nicotinamide in combined dosage form. Asian Journal of Pharmaceutical Research and Development 2021; 9(1), 95-101.

[13] I Avrămia, MA Oroian and RC Oiţă. A review of current trends of vitamin identification and quantification by chromatography from food samples. Journal of Food Composition and Analysis 2024; 131(1), 106244.

[14] W Maeaba, P Singh and S Prasad. Development of method for simultaneous determination of water-soluble vitamins (B2, B3 , B6 , B9 and C) in guava (Psidium guineense) fruit by HPLC-photodiode array detection. Journal of Food Composition and Analysis 2025; 144, 107569.

[15] J Żandarek, Ż Binert-Kusztal, M Starek and M Dąbrowska. Development and optimization of chromatographic conditions for the determination of selected B vitamins in pharmaceutical products. Processes 2023; 11(3), 937.

[16] M Chutkowski, P Ziobrowski, M Przywara, J Kamińska and W Zapała. Studies on the effects of process conditions on separation of B1, B2 and B3 vitamin mixture using HILIC and RPLC chromatography. AgriEngineering 2022; 4(3), 566-591.

[17] A Moustafa, RS El-Kamel, S Abdelgawad, AM Fekry and M Shehata. Electrochemical determination of vitamin B6 (pyridoxine) by reformed carbon paste electrode with iron oxide nanoparticles. Ionics 2022; 28(2), 4471-4484.

[18] B Polak and E Pajurek. Separation of some vitamins in reversed-phase thin-layer chromatography and pressurized planar electrochromatography with eluent containing surfactant. Scientific Reports 2021; 11(1), 21851.

[19] K Porter and JK Lodge. Determination of selected water-soluble vitamins (thiamine, riboflavin, nicotinamide and pyridoxine) from a food matrix using hydrophilic interaction liquid chromatography coupled with mass spectroscopy. Journal of Chromatography B 2021; 1171, 122541.

[20] LR Nasution, SE Flavia, Y Metripermata, M Bachri, H Syahputra and C Surbakti. Simultaneous analysis of isoniazid and pyridoxine hydrochloride in tablet dosage form using partial least squares based on infrared spectra profile. International Journal of Applied Pharmaceutics 2025; 17(2), 449-455.

[21] A Todorovski, N Geskovski, M Petreska, E Deconinck, H Rebière, N Nakov, K Brezovska and J Acevska. Screening the capability of vibrational spectroscopic techniques for simultaneous quantification of vitamins B1, B6, and B12 in a powder blend. Vibrational Spectroscopy 2024; 133, 103711.

[22] MD Harfiansyah, EDL Putra and SM Sinaga. Simultaneous determination of vitamins B1, B2, B3, B6, and B12 in tablet forms using the area under the curve ultraviolet spectrophotometry method. International Journal of Research and Review 2024; 11(12), 56-61.

[23] AK Demirkaya, FD Miloglu and O Senol. UV-Vis spectrophotometric-assisted chemometric calibration models for simultaneous determination of thiamine and pyridoxine vitamins in powdered infant formula. Macedonian Pharmaceutical Bulletin 2021; 67(2), 33-41.

[24] M Lohrdy, MR Sohrabi and M Davallo. A simple UV spectrophotometric method based on continuous wavelet transform and multivariate calibration model for the concurrent analysis of three water-soluble vitamins in fertility supplements. Journal of AOAC International 2024; 107(1), 164-176.

[25] CAB Filho, RF Teixeira, JL Dias, EA Rebelatto and M Lanza. First-order derivative spectrophotometry for simultaneous determination of vitamin C and nicotinamide: Application in quantitative analysis of cocrystals. ACS Omega 2024; 9(26), 28776-28783.

[26] Suprapto, YL Ni’Mah and RA Hisana. Robust regression analysis of full overlapping caffeine and pyridoxine HCl UV-Vis spectra in pharmaceutical tablet. Malaysian Journal of Fundamental and Applied Sciences 2023; 19(4), 539-552.

[27] J Mendonsa, S Gandhi and A Mahajan. Quantification of ternary mixture of paracetamol, chlorzoxazone and ibuprofen present in tablet dosage form using ratio subtraction spectrophotometric approaches. Spectrochimica Acta Part A: Molecular and Biomolecular Spectroscopy 2024; 310,123891.

[28] P Mukherjee, DD Chakraborty, P Chakraborty, B Shrestha and NR Bhuyan. Different ultraviolet spectroscopic methods: A retrospective study on its application from the viewpoint of analytical chemistry. Asian Journal of Pharmaceutical and Clinical Research 2021; 14(9), 1-11.

[29] AK Petrides, JL Dahlin and SEF Melanson. Method validation. In: W Clarke and MA Marzinke (Eds.). Contemporary practice in clinical chemistry. Academic Press, Amsterdam, Netherlands, 2020, p. 57-72.

[30] A Alqahtani, T Alqahtani and S Ramzy. Utilization of absorbance subtraction and ratio difference green spectrophotometric methods for the quantification of alfuzosin hydrochloride and tadalafil in their binary mixture. BMC Chemistry 2024; 18, 96.

[31] USP Convention. The united states pharmacopeia 38 and the national formulary 33. USP Convention, Washington DC, 2015.