Trends
Sci.
2026; 23(1): 11209
Antioxidant, Cytotoxic Activities and Metabolite Profile of Flavonoids from Erythrina crista-galli L. Twigs by Ultrasonic Assisted Extraction Method
Nisrina Azizah Thurfah1, Melati Sukma1, Abd Wahid Rizaldi Akili1,
Ari Hardianto1, Jalifah Latip2 and Tati Herlina1,*
1Department of Chemistry, Faculty of Mathematics and Natural Sciences, Universitas Padjadjaran,
West Java, Indonesia
2Department of Chemical Sciences, Faculty of Science and Technology, Universiti Kebangsaan Malaysia (UKM), Selangor, Malaysia
(*Corresponding author’s e-mail: [email protected])
Received: 7 July 2025, Revised: 18 July 2025, Accepted: 25 July 2025, Published: 1 October 2025
Abstract
Erythrina crista-galli L., a member of the Erythrina genus, is recognized for its high flavonoid content and promising pharmacological potential. This study investigated the impact of different ultrasound-assisted extraction (UAE) condition on the total flavonoid content (TFC) of E. crista-galli twig extract, and evaluated its antioxidant, cytotoxic, and metabolite profiles. Antioxidant activity was determined using the DPPH free radical scavenging assay, while cytotoxicity was assessed against MCF-7, HeLa, and A549 cancer cell lines using the MTT assay. Extraction using UAE with ethanol as a solvent at 40 for 35 min and a mass-to-solvent ratio of 1:25 yielded the highest TFC at 37.69 mg QE/g extract. The extract demonstrated strong antioxidant activity with an IC50 of 54.80 ± 0.26 μg/mL, and moderate cytotoxicity against MCF-7 breast cancer cells (IC50 = 194.6 μg/mL), but showed weak cytotoxicity against HeLa (IC50 = 235.0 μg/mL) and A549 cells (IC50 = 410.3 μg/mL). Comprehensive metabolite profiling using LC-MS/MS identified 34 flavonoid compounds in both positive and negative ion modes, representing the first comprehensive metabolite profile of E. crista-galli twigs. These findings highlight the potential of E. crista-galli as a valuable natural source of bioactive flavonoids for further therapeutic development, including in vivo testing and molecular target identification to validate the efficacy and mechanism of action of these compounds.
Keywords: Flavonoids; Erythrina crista-galli, Ultrasound-assisted extraction, Antioxidant, Cytotoxic, Metabolite profiling
Introduction
Flavonoids are one of the plant-derived secondary metabolites that have long been recognized for their diverse pharmacological properties, including antioxidant, antiviral, anti-inflammatory and anticancer activities [1,2]. Flavonoids are a large group of naturally occurring compounds found in plants with varying structures. They are synthesized through the phenylpropanoid metabolic pathway and accumulate in the vacuoles of specific plant organs such as leaves and fruits. Their main sources are fruits, vegetables, cocoa and other sources [3,4]. Evidence has shown that these
secondary metabolites are able to neutralize free radicals, which provides a preventive effect against oxidative stress-related diseases such as cancer, cardiovascular disorders and neurodegenerative conditions [5]. To date, flavonoids remain an attractive subject for extensive research in drug discovery and development due to their vast structural diversity and biological activities [6].
Plants of genus Erythrina are widely known for their ethnopharmacological use and wide range of phytochemicals, including flavonoids [7]. Erythrina crista-galli, a plant species from genus Erythrina, is widely distributed in South America and is known for its traditional medicinal uses [8]. A number of flavonoids have been isolated from parts of the plant, including woods, leaves, stem bark, heartwood and twigs. These flavonoids have been reported to exhibit various biological activities, such as antimicrobial, anti-inflammatory and antifungal properties [9], suggesting the potential role of E. crista-galli as a source of bioactive flavonoids for further investigation.
In natural product research, the extraction method can influence the extraction yield, which consequently, affect the bioactivity of the plant extract [10]. In terms of extraction efficiency, ultrasound-assisted extraction (UAE) has been proven to enhance the extraction yield within a short period of time with less solvent required [11]. The UAE disrupts cell walls through cavitation effects, thereby facilitating the release of intracellular compounds such as flavonoids [12]. This method is particularly appealing due to its eco-friendly approach compared to conventional techniques [13]. UAE has been shown to significantly enhance the extraction efficiency of bioactive compounds. For example, the use of UAE increased the total flavonoid yield from Cassia alata leaves by 24% compared to maceration, while drastically reducing the extraction time to 5 min compared to 2 h for maceration [14]. Similarly, another study found that the IC50 value of methanol extract of Passiflora seeds obtained using UAE (IC50 71.67 μg/mL) was stronger than that of methanol extract obtained from maceration (IC50 144.90 μg/mL) [15]. These findings also highlight the effectiveness of UAE in efficiently increasing the quantity and quality of phytochemical recovery.
This study aims to investigate the effect of UAE parameters, include solvent type (distilled water, methanol, ethanol, acetone), extraction temperature (30 - 60 C), extraction time (15 - 35 min), and mass-to-solvent ratio (1:10 - 1:50), on the flavonoid content of E. crista-galli twigs and to evaluate the antioxidant, cytotoxic activity and metabolite profiling of the extract. This comprehensive approach highlights the future potential of E. crista-galli twigs as a valuable source of bioactive flavonoids.
Materials and methods
Plant materials and reagents
The plant materials used in this study, consisting of twigs of E. crista-galli L., was collected from Jalan Sersan Bajuri, West Java, Indonesia. The species was taxonomically identified by a botanist from the Department of Agronomy, Faculty of Agriculture, Universitas Padjadjaran, and a voucher specimen has been deposited at the university herbarium under the number 1020. The collected twigs were air-dried, ground into a fine powder and 500 g of the powdered material were used as the stock sample for extraction using UAE.
All of the analytical-grade chemicals and reagents utilized in this investigation came from reputable vendors. As extraction solvents, distilled water, methanol, ethanol and acetone were employed. The total flavonoid content (TFC) assay used aluminum chloride (AlCl3), which was acquired from Sigma-Aldrich (St. Louis, MO, USA). The standard for the calibration curve in the TFC and antioxidant (DPPH) test was quercetin (≥ 98%, Sigma-Aldrich, USA). We purchased the 2,2-diphenyl-1-picrylhydrazyl (DPPH) radical from Shanghai, China. The cytotoxicity examination was conducted using the PrestoBlueTM Cell Viability Reagent (Thermo Fisher Scientific, Waltham, MA, USA). Merck (Germany) provided all of the solvents needed for the LC-MS/MS analysis.
Total flavonoids content (TFC) determination
To prepare the extract for TFC analysis, UAE was carried out using ultrasonic processor (Model LC 30 H), frequency of 20 kHz and an ultrasonic input power of 500 W. For single-factor optimization, 4 solvents (distilled water, methanol, ethanol and acetone) were tested. The mass-to-solvent ratio was varied from 1:10 to 1:50, extraction temperatures from 30 to 50 C, and extraction times from 15 to 35 min. In each condition, dried twig powder was mixed with solvent and subjected to ultrasonic extraction. The extract was filtered and evaporated using a rotary evaporator under reduced pressure [13].
The TFC of each extract obtained using distilled water, methanol, ethanol and acetone was quantified using the aluminum chloride colorimetric method. Briefly, the sample was mixed with 2% AlCl3 and the mixture was allowed to stand for 30 min. The absorbance of the solution was then measured at a wavelength of 435 nm using a UV spectrophotometer. The calibration curve of quercetin was used as an external standard, with the calibration curve showing linearity within the concentration range of 2 to 6 ppm (R2 = 0.9754). The TFC was expressed as milligrams of quercetin equivalents per gram of extract (mg QE/g). Each measurement was performed in triplicate [16].
Free radical scavenging assay
The DPPH assay was performed with some modification, using quercetin as the standard. A solution of 0.5 mg DPPH was prepared in 5 mL methanol and stored in a dark bottle for 30 min. After incubation, the solution was scanned at a wavelength of 515 nm using a UV-Visible spectrophotometer. The quercetin standard curve was generated using 5 distinct concentrations (2, 3, 4, 5 and 6 ppm). Meanwhile, the ethanol extract of E. crista-galli twigs was prepared using UAE. Dried E. crista-galli twigs were extracted with ethanol at a mass-to-solvent ratio of 1:25 at 40 C for 35 min. Then, extracts were prepared at 5 concentrations (25, 50, 75, 100 and 150 ppm) in methanol. For each extract solution, 1.2 mL was added to a dark bottle along with 400 μL of DPPH solution. The mixtures were incubated in the dark for 30 min, and their absorbance was measured at 515 nm. All experiments were conducted in triplicate. The scavenging potential of the extracts and standard was calculated using the following formula [17].
where Absblank is the absorbance of the DPPH solution without sample and Abssample is the absorbance of the DPPH solution mixed with the sample extract. The percentage inhibition data obtained were then plotted in a graph (x-axis = concentration and y-axis = percentage inhibition) and analyzed using linear regression in Microsoft Excel. The IC50 value represents the concentration required to inhibit 50% of DPPH radicals, this IC50 was obtained from the intersection of the regression curve with the horizontal line at 50% inhibition [18].
Cell culture and cytotoxicity MTT assay
The MCF-7 breast cancer cell (ATCC HTB-22), A-549 lung cancer (CCL-185), and Hela cervical cancer (ATCC CCL-2) were sourced from Sigma-Aldrich (Merck). The MCF-7, A-549 and HeLa cells (3×104 cells/cm³) were treated with 1 mL Trypsin-EDTA, incubated for 5 min, and transferred to media-filled tubes. After centrifugation at 3,000 rpm for 5 min, the pellet was resuspended in media and cultured in 96-well plates, incubated at 37 C with 5% CO₂ for 24 h. Extract samples were dissolved in DMSO (dimethyl sulfoxide) to obtain a 10 mg/mL stock solution, which was further diluted in RPMI (Roswell Park Memorial Institute) liquid culture medium. The final DMSO concentration in all wells did not exceed 0.5% (v/v) to avoid solvent-induced cytotoxicity. Each well received 100 µL of sample or cisplatin (positive control) and was incubated for another 24 h. Media was removed, and 100 µL of 10% PrestoBlue reagent in media was added. After 1 h of incubation, absorbance was measured at 570 nm [19]. IC₅₀ was calculated as the concentration required to inhibit 50% cell growth compared to the control, using the same calculation method as the DPPH method.
LC-MS/MS qualitative screening
The extract from the twigs of E. crista-galli was analyzed using LC/MS-QTOF to identify and quantify its components, including secondary metabolites and biomolecules [20]. The extract used for LC-MS/MS analysis was prepared using UAE. Dried E. crista-galli twigs were extracted with ethanol at a mass-to-solvent ratio of 1:25 at 40 C for 35 min. The LC/MS-QTOF system employed in this study comprised an Agilent 1200 liquid chromatography system integrated with a binary pump, vacuum degasser, autosampler, and a 6520-quadrupole time-of-flight mass spectrometer, capable of operating in both positive and negative ionization modes. Chromatographic separation was conducted at 40°C using the following mobile phases: (1) 0.1% formic acid in deionized water and (2) 0.1% formic acid in acetonitrile for positive ionization mode. For negative ionization mode, the mobile phases consisted of (A) 0.1% ammonium formate in deionized water and (B) acetonitrile. Each sample was analyzed over a 30-min runtime, followed by a 2-min equilibration under the same conditions before each injection. The sample injection volume was set to 2 μL, with a mobile phase flow rate maintained at 0.25 mL/min. The mass spectrometer operated in positive electrospray ionization (ESI) mode with optimized parameters: A gas temperature of 325 C, gas flow rate of 11 L/min, and a nebulizer pressure of 35 psi. For sample preparation, 100 mg of the extract was dissolved in 10 mL of 90% ethanol to achieve a concentration of 10 mg/mL. The solution was stirred for 60 s to ensure complete dissolution, then further diluted to a final concentration of 1 mg/mL. Prior to analysis, all samples were filtered using a syringe filter with a 0.22-μm pore size [21].
Results and discussion
The effect of ultrasound-assisted extraction condition on total flavonoids content
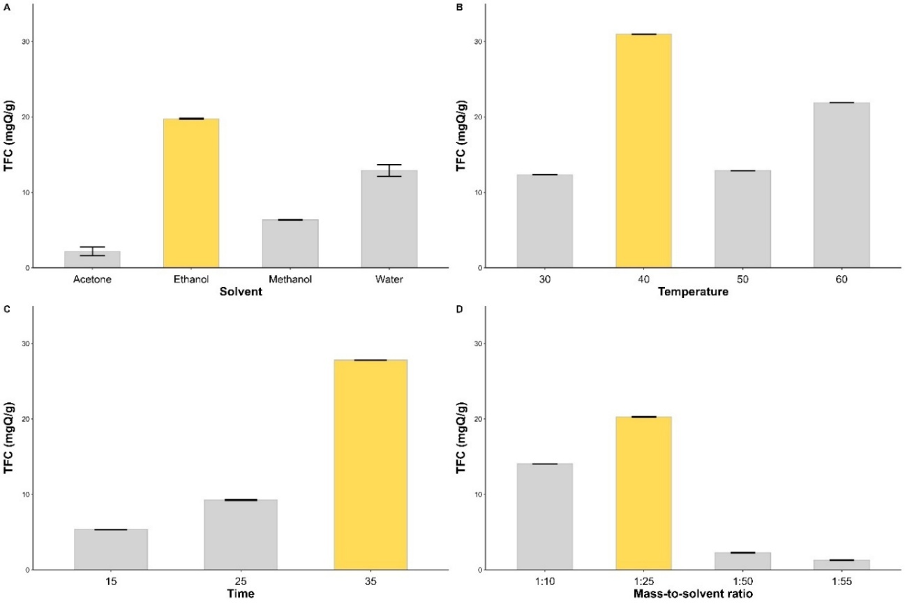
In ultrasound-assisted extraction (UAE), several parameters influence the efficiency of flavonoid recovery, including solvent polarity, temperature, extraction time, and the mass-to-solvent ratio. Therefore, single factor experiment was conducted to evaluate the effect of these on total flavonoids content of E. crista-galli twigs extract. Figure 1(A), show the impact of various solvents, including acetone, ethanol, methanol, and water, on TFC. Among these solvents, ethanol exhibited the highest TFC value of 19.76 ± 0.0064 mg QE/g, followed by water (12.9 ± 0.0144 mg QE/g), methanol (6.34 ± 0.0101 mg QE/g), and acetone, which recorded the lowest TFC value at 2.17± 0.033 mg QE/g. For the next parameters (temperature, time and mass-to-solvent ratio) were carried out using ethanol, which has been identified as the most effective solvent in previous experiments (Figure 1(A)). In terms of extraction temperature, our experiment revealed that increasing the temperature from 30 to 40 C resulted in increasing the TFC from 12.34 ± 0.0067 mg QE/g to 30.98 ± 0.005 mg QE/g, but the TFC dropped to 12.88 ± 0.005 when the extraction temperature used was 50 C (Figure 1(B)). This observation may be attributed to the heat sensitivity of flavonoids, as temperatures above 40 C may cause the degradation of thermolabile flavonoid compounds [22].
The effect of extraction time (5 - 35 min) on the total flavonoid yield is shown in Figure 1(C). The yield increased as the extraction time was extended from 15 to 35 min. In terms of the effect of mass to solvent ratio, our finding revealed that the extraction yield of total flavonoids increased with the mass-to-solvent ratio and reached a maximum value at 1:25. However, the yield decreased when the mass-to-solvent ratio increased to 1:50 (Figure 1(D)). This is likely because adding more solvent increased the amounts of dissolved impurities, thereby reducing the concentration of flavonoids in the solution. Moreover, it is important to note that the aluminum chloride colorimetric method used for TFC determination may be affected by other phenolic or chelating compounds present in crude plant extracts, which can form complexes with AlCl3 and interfere with absorbance readings. These potential interferences may lead to an underestimation or overestimation of actual flavonoid content, especially in complex mixtures [23,24].
Therefore, the TFC obtained under optimal conditions (ethanol as a solvent at 40 C for 35 min and mass-to-solvent ratio of 1:25) was 37.69 mg QE/g extract. This value significantly higher than the TFC reported by other study from bark of E. variegate using soxhlet extraction (2.26 mg QE/g extract) [25]. These results indicate that UAE with appropriate parameters enhances the release of flavonoid compound from the twigs of E. crista-galli.
Figure 1 The effect of each single factor on the extraction efficiency of the total flavonoids from E. crista-galli (A) Solvent, (B) Time, (C) Temperature, (D) Mass-to-solvent ratio. For experiments (B), (C), and (D), ethanol was used as the extraction solvent, based on the optimal result from (A).
Antioxidant and cytotoxicity activity of E. crista-galli twigs extract
The optimized ethanol extract of E. crista-galli twigs exhibited strong free radical scavenging activity against DPPH, with an IC50 value of 54.80 ± 0.26 μg/mL, which falls within the strong activity range (IC50 = 50 - 100 μg/mL) based on previously reported classifications [26]. This activity is significantly higher than that of the n-hexane extract from E. crista-galli twigs previously reported, which showed inactive antioxidant activity (IC50 > 500 μg/mL), but slightly stronger than ethyl acetate extract from E. crista-galli twigs (IC50 = 64.41 μg/mL) [27]. Although quercetin, as a positive control, showed a much lower IC50 value of 8.16 ± 0.05 μg/mL, the activity of this extract still has biological significance and demonstrates antioxidant potential worthy of further exploration.
The strong free radical scavenging activity of E. crista-galli twig extract, suggesting its potential role as an antioxidant with implications for cancer prevention and treatment [28]. Excessive free radicals in the body such as reactive oxygen species (ROS) can cause damage to the cellular components, including the DNA [29]. The damaged DNA can lead to genomic instability which promotes mutation that activate oncogenesis or inactivate tumor suppressor genes which eventually leads to the formation of cancer cells [30]. Due to the strong free radical scavenging activity of the E. crista-galli twigs extract, these harmful effects caused by free radicals could be minimized, therefore, the E. crista-galli twigs extract may be potentially beneficial in cancer prevention.
In addition to its antioxidant properties, cytotoxic assay against 3 cancer cell lines revealed that the optimized ethanol extract of E. crista-galli twigs demonstrated moderate cytotoxic activity against the MCF-7 breast cancer cell line, with an IC50 value of 194.60 μg/mL. However, the extract displayed lower cytotoxic activity against the HeLa cervical cancer cell line and the A-549 lung cancer cell line with IC50 of 235.0 and 410.3 μg/mL respectively. The selectivity index (SI) was not determined in this study, as cytotoxicity was only evaluated against cancer cell lines. The absence of data from normal cells is a limitation, and further studies are needed to evaluate the selectivity and safety profile of the extract by including normal cell lines.
Metabolite profiling of flavonoid from E. crista-galli twigs extract
The plant species belonging to the genus Erythrina are known to be rich in secondary metabolites, particularly flavonoids. These secondary metabolites are of great interest due to their potential pharmacological activities. Specifically, they may contribute to the observed antioxidant and cytotoxic activity of the optimized ethanol extract of E. crista-galli twigs. LC-MS/MS is a powerful analytical technique widely utilized in metabolite profiling for natural product research [31]. This technique integrates the separation capabilities of liquid chromatography, which resolves metabolites based on their chemical properties, with the detection power of tandem mass spectrometry, enables researchers to elucidate the composition of secondary metabolite within plant extracts [21].
LC-MS/MS analysis was performed both in negative and positive ion mode to profile the secondary metabolites within the ethanol extract, focusing particularly on flavonoids with the structures shown in Figure 2. Compound identification was carried out using molecular formulas calculated from the mass spectra, all with mass errors below 5 ppm. These molecular formulas were subsequently compared with previously reported Erythrina flavonoids found in the literatures and supported by their fragmentation pattern in MS/MS spectrum. This approach allows the tentative identification of flavonoids in the ethanol extract of E. crista-galli twigs which are comprised of C-glycoside flavonoids and aglycon flavonoids (Table 1).
Table 1 Flavonoids identified in E. crista-galli twigs.
RT |
m/z |
Molecular formula |
Mass error (ppm) |
Compounds |
Biological source |
References |
Negative ion mode |
||||||
4.86 |
593.1506 |
C27H30O15 |
0.5 |
Vicenin-2 (1) |
E. abyssinica, E. caffra |
[32,33] |
5.11 |
563.1395 |
C26H28O14 |
0.6 |
Schaftoside (2) |
E. abyssinica |
[32] |
5.23 |
461.1089 |
C22H22O11 |
1.1 |
Diosmetin-6-C-glucoside (3) |
E. falcata |
[34] |
5.59 |
431.0983 |
C21H20O10 |
1.2 |
Isovitexin (4) |
E. crista-galli |
[35] |
6.21 |
271.0607 |
C15H12O5 |
0.4 |
7,3ʹ,4′-Trihydroxyflavanone (5) |
E. livingstoniana |
[36] |
6.44 |
271.0611 |
C15H12O5 |
1.8 |
Naringenin (6) |
E. addisoniae |
[37] |
6.73 |
301.0722 |
C16H14O6 |
3.3 |
5,7,4’-Trihydroxy-3’-methoxyflavanone (7) |
E. latissima |
[38] |
6.87 |
269.0459 |
C15H10O5 |
3.3 |
Genistein (8) |
E. crista-galli |
[39] |
7.61 |
253.0508 |
C15H10O4 |
0.7 |
Daidzein (9) |
E. crista-galli |
[39] |
7.94 |
283.0605 |
C16H12O5 |
0.4 |
4′-Hydroxy-5,7- dimethoxyisoflavone (10) |
E. mildbraedii |
[40] |
8.15 |
285.0758 |
C16H14O6 |
1.8 |
5,7,4’-Trihydroxy-3’-methoxyflavanone (11) |
E. latissima |
[38] |
8.22 |
355.1185 |
C20H20O6 |
0.8 |
Sigmoidin B (12) |
E. abyssinica |
[41] |
8.59 |
269.0446 |
C15H10O5 |
1.5 |
Apigenin (13) |
E. crista-galli |
[35] |
9.25 |
255.0656 |
C15H12O4 |
0.4 |
Liquiritigenin (14) |
E. fusca |
[42] |
9.98 |
369.1329 |
C21H22O6 |
2.4 |
Eryvarin A (15) |
E. poeppigiana |
[43] |
10.49 |
337.1082 |
C20H18O5 |
1.8 |
Citflavanone (16) |
E. crista-galli |
[27] |
10.83 |
321.1129 |
C20H18O4 |
0.6 |
Phaseollin (17) |
E. crista-galli |
[44] |
11.01 |
323.1289 |
C20H20O4 |
1.9 |
Phaseollidin (18) |
E. crista-galli |
[45] |
11.38 |
335.0927 |
C20H16O5 |
2.4 |
Alpinumisoflavone (19) |
E. poeppigiana |
[46] |
11.63 |
337.1079 |
C20H18O5 |
0.9 |
Wighteone (20) |
E. fusca |
[47] |
12.17 |
421.1652 |
C25H26O6 |
0.2 |
Isolupalbigenin (21) |
E. subumbrans |
[48] |
13.57 |
407.1867 |
C25H28O5 |
2.2 |
Lonchocarpol A (22) |
E. crista-galli |
[27] |
13.82 |
405.1702 |
C25H26O5 |
1.2 |
6,8-Diprenylgenistein (23) |
E. crista-galli |
[44] |
Positive ion mode |
||||||
9.49 |
355.1533 |
C21H22O5 |
3.4 |
1-Methoxy phaseollidin (24) |
E. vogelii |
[49] |
9.63 |
341.1381 |
C20H20O5 |
2.3 |
3′-Prenylnaringenin (25) |
E. abyssinica |
[41] |
9.74 |
299.0927 |
C17H14O5 |
2.7 |
Erysubin C (26) |
E. suberosa |
[50] |
9.99 |
315.0877 |
C17H14O6 |
2.5 |
Eryvarin P (27) |
E. variegata |
[51] |
11.34 |
337.1429 |
C21H20O4 |
3.3 |
Eryvarin D (28) |
E. abyssinica |
[52] |
11.75 |
321.1136 |
C20H16O4 |
2.8 |
Corylin (29) |
E. sacleuxii |
[53] |
12.42 |
409.2011 |
C25H28O5 |
1 |
2-(γ, γ-dimethylallyl)-6a-hydroxyphaseollidin (30) |
E. crista-galli |
[45] |
13.41 |
393.2072 |
C25H28O4 |
1.5 |
Glabrol (31) |
E. subumbrans |
[54] |
13.53 |
405.2058 |
C26H28O14 |
2 |
Schaftoside (32) |
E. abyssinica |
[32] |
14.19 |
421.1661 |
C25H24O6 |
2.4 |
Eryvarin G (33) |
E. variegata |
[55] |
15.11 |
405.1701 |
C25H24O5 |
0.2 |
Warangalone (34) |
E. variegata |
[56] |
The 1st C-glycoside flavonoid awas detected at RT of 4.86 min with m/z value of 593.1502 (calculated for C27H29O15 [M–H]–, mass error = 0.5 ppm) (Figure 2). The fragmentation pattern in MS/MS spectrum revealed the presence of characteristic fragments of C-glycosylated flavonoids including peak at m/z 503 (1.52%) and 473 (12.3%) which correspond to 0,3X and 0,2X cross-ring cleavage of the sugar moiety respectively. Additional fragment at m/z 383 (27.4%) and 353 (54%) suggested the presence of the second sugar unit, also correspond to 0,3X and 0,2X cross-ring fragmentation. The molecular formula and observed fragmentation pattern are consistent with the previously reported spectra for vicenin-2 (1) which previously identified from E. abyssinica and E. caffra [32,33]. This vicenin-2 (1) is reported to have good DPPH radical scavenging capacity, with an IC50 value for DPPH inhibition of 194.44 μM [57]. Vicenin-2 showed the highest cytotoxic activity against HepG-2 liver cancer cells, with an IC50 value of 14.38 μg/mL, based on the MTT assay. Molecular docking also showed that vicenin-2 (1) has a high affinity for topoisomerase IIα and cyclin-dependent kinase 2 (CDK2) enzymes, 2 important targets in cancer cell proliferation [58].
Figure 2 MS (A) and MS/MS (B) Spectrum on the RT of 4.86 min.
The mass spectrum at RT 5.11 min revealed the presence of molecular ion at m/z 563.1395, corresponding to molecular formula of C26H27O14 (mass error = 0.6 ppm). The molecular formula is consistent with that of schaftoside (2) which have been previously reported from E. abyssinica [32]. This tentative identification is supported by the presence of fragment at m/z 473 (4.3%), corresponding to the [M-H-90]⁻ ion, which is formed by 0,3X cross-ring cleavage of a hexose group or 0,2X cross-ring cleavage of a pentose group. The signal at m/z 443 (5.9%) represents the [M-H-120]⁻ fragment, generated from 0,2X cross-ring cleavage of a hexose group. The signal at m/z 383 (27.9%) is the [M-H-90-90]⁻ fragment, which may result from 0,2X cross-ring cleavage of a pentose or 0,3X cross-ring cleavage of a hexose. The signal at m/z 353 (46.2%) is the [M-H-90-120]⁻ fragment from 0,2X cross-ring cleavage of a hexose group, while the signal at m/z 297 (10.7%) is formed by the loss of 2CO from the [M-H-90-120]⁻ fragment (Figure 3). Based on previous studies, schaftoside is known to have moderate antioxidant activity (IC50 = 205 μM) and contributes significantly to the total antioxidant activity of Silene repens [59]. Schaftoside also has low cytotoxic activity against MCF-7 breast cancer cells with an IC50 of 182.09 μg/mL in the MTT assay [60].
Figure 3 MS (A) and MS/MS (B) Spectrum on the RT of 5.11 min.
In addition to C-glycosylated flavonoids, a number of aglycon flavonoids were also identified. Mass spectrum analysis at the RT of 6.44 min revealed the presence of molecular ion at m/z 271.0611 corresponding to molecular formula of C15H11O5 (mass error = 1.8). The molecular is consistent with that of naringenin (6) that have been previously isolated from E. addisoniae [37]. The tentative identification is further supported by the MS/MS spectrum (Figure 4) which revealed the presence [M-H-C8H8O]⁻ ion at m/z 151 (63.1%) which is formed via retro-Diels-Alder cleavage of the C-ring, m/z 165 (100%) which is formed by retrocyclization of the C ring, m/z 243 (2.5%) for [M-H-CO]⁻ [61]. Naringenin (6) can reduce the production of oxygen free radicals, which play a central role in oxidative stress and cell damage, with an IC50 (DPPH) value of 264.44 μM [62,63]. Naringenin (6) has been reported to have cytotoxic activity against MCF-7 breast cancer cells by reducing glucose uptake and disrupting growth signaling pathways (PI3K/Akt and MAPK), which then slows down the rate of proliferation [64].
Figure 4 MS (A) and MS/MS Spectrum on the RT of 6.44.
At the RT 6.87 min, a peak was observed at m/z 269.0453 with the molecular formula C15H9O5 and a mass error of 2.6 ppm. Comparison with literature data indicates that this compound shares the same molecular formula as genistein (8). Further analysis of the MS/MS spectrum revealed characteristic fragment ions of genistein (8), including a peak at m/z 151 (24.2%) corresponding to the [M-H-C8H8O]⁻ ion, which is formed via retro-Diels-Alder cleavage of the C-ring. Additional fragments observed were [M-H-H2O-2CO]⁻ at m/z 195 (31.0%) and [M-H-H2O-2CO-CO]⁻ at m/z 167 (100%) (Figure 5). A previous report that isolated genistein (8) from the twigs of E. crista-galli [39] further supports this tentative identification. Based on previous study, genistein (8) exhibit good antioxidant activity in several aspects. Genistein (8) has been reported to show 22% scavenging of superoxide anion radicals, despite having weak DPPH radical scavenging activity [65]. In addition, genistein (8) has been reported to have cytotoxic activity through several mechanisms that affect cancer cell growth and death, namely by inhibiting proliferation, increasing the rate of cancer cell death (apoptosis), and reducing the activation of Akt and NF-κB [66].
Figure 5 MS (A) and MS/MS (B) Spectrum on the RT of 6.87 min.
Mass spectrum analysis at RT 7.61 min revealed the presence of molecular ion at m/z of 253.0508, corresponding to C15H9O4 (mass error = 0.7 ppm). The molecular formula is consistent with daidzein (9), which was previously isolated from E. crista-galli. This tentative identification is further supported by analysis of the MS/MS spectrum (Figure 6) which revealed the presence of fragment ion at m/z of 135 (7.9%), attributed to the [M-H-C8H8O]⁻ ion from the retro-Diels-Alder cleavage of the C-ring. Additional fragments are including [M-H-CO⁻ at m/z 225 (5.2%), [M-H-CO2]⁻ at m/z 209 (2.5%), and [M-H-2CO]⁻ at m/z 197 (12.3%) (Figure 6). These fragmentation patterns are consistent with previously reported MS/MS data for daidzein (9) [67,68]. Daidzein (9) has antioxidant activity by capturing free radicals and inhibiting lipid oxidation in cell membranes. In H4IIE hepatoma cells, a daidzein (9) concentration of 300 μM produces the maximum effect on antioxidant enzyme expression. Additionally, this compound demonstrates anticancer activity through various mechanisms, including apoptosis induction, cell cycle arrest, inhibition of invasion and metastasis, and modulation of molecular signaling pathways [69].
Figure 6 MS (A) and MS/MS (B) Spectrum on the RT of 7.61 min.
The LC-MS/MS metabolite profiling in this study successfully identified 34 dominant peaks, comprising 23 compounds in negative ion mode and 11 compounds in positive ion mode. Among the flavonoids identified, compounds such as isovitexin (4), genistein (8), daidzein (9), apigenin (13), citflavanone (16), phaseollin (17), phaseollidin (18), lonchocarpol A (22), and 6,8-diprenylgenistein (23) had been previously reported in E. crista-galli or other Erythrina species, corroborating earlier findings [27,35,42,44]. However, the present study expands on these findings by using UAE to recover both major and minor flavonoids efficiently under green chemistry principles [35].
Compared to previous studies reported moderate antioxidant activity of selected flavanones with IC50 value of 548.72 in the moderate category [27], our ethanol extract exhibited stronger DPPH scavenging activity (IC50 = 54.8 μg/mL), suggesting that UAE conditions enhanced the recovery of antioxidant-active constituents. Furthermore, another study temporarily demonstrated anticancer potential of isolated flavonoids via in silico studies targeting CDK-2 [44], our extract showed moderate in vitro cytotoxicity against MCF-7 cells (IC50 = 194.6 μg/mL), which aligns with the predicted bioactivity of compounds such as phaseollin (17) and 6,8-diprenylgenistein (23).
In contrast, other study has reported strong cytotoxicity (IC50 = 31.62 μg/mL) of a purified isolupalbigenin (21) isolated from E. subumbrans, which was confirmed through molecular docking and dynamics against estrogen receptor α [48]. The lower potency observed in our crude extract is most likely due to the complex mixture of metabolites, where synergistic or antagonistic interactions may affect bioactivity. However, in this study, isolupalbigenin (21) was detected as part of the crude extract using LC-MS/MS and was not isolated or tested individually. Further research is needed to isolate this compound and evaluate its specific contribution to the observed bioactivity. Nevertheless, our results are superior to other studies, who reported IC50 > 1,000 μg/mL for the methanolic twig extract of E. crista-galli [35], indicating that extraction using UAE significantly preserves the stability of bioactive compounds.
The bioactivity of flavonoids in E. crista-galli extracts can be attributed to their specific structural features. In general, hydroxyl groups, particularly at the 5, 7, and 4’ position in flavonoid structure, play a crucial role in antioxidant activity by donating hydrogen atoms to neutralize free radicals. Compounds such as apigenin (13) and naringenin (6), which possess these groups, are known for their effective DPPH radical scavenging activity [70]. In contrast, prenylation, as observed in 6,8-diprenylgenistein (23) and alpinumisoflavone (19), enhances cytotoxic activity by increasing lipophilicity and cellular uptake, facilitating stronger interaction with intracellular targets such as kinases or estrogen receptors [71]. Prenylated flavonoids have been shown to disrupt cancer cell proliferation pathways more effectively than their non-prenylated analogs [72]. Thus, the moderate cytotoxicity observed against MCF-7 cells may be partly attributed to the presence of these prenylated flavonoids in the extract.
Figure 7 Structures 34 flavonoids from LC-MS/MS analysis of ethanol extract of E. crista-galli twigs in negative and positive ion modes. Compound identification was based on comparison with data reported in the literature, as listed in Table 1.
Conclusions
The ultrasound-assisted extraction (UAE) process for flavonoids from E. crista-galli L. twigs with evaluation results using ethanol as a solvent at 40 C for 35 min and a mass-to-solvent ratio of 1:25 resulted in a total flavonoid content of 37.6947 mg QE/g. The ethanol extract showed significant biological activity, including strong antioxidant properties with an IC50 of 54.80 ± 0.26 μg/mL. It demonstrated moderate cytotoxicity against MCF-7 breast cancer cells (IC50 = 194.60 μg/mL) and weak toxicity against HeLa cervical cancer and A-549 lung cancer cells, with IC50 values of 235.0 and 410.3 μg/mL, respectively. Furthermore, LC-MS/MS analysis confirmed the presence of bioactive flavonoids, supporting the therapeutic potential of E. crista-galli as a natural source of bioactive compounds.
Acknowledgements
The authors are grateful for the facilities from Universitas Padjadjaran, Indonesia.
CRediT Author Statement
Conceptualization, T.H., A.H., and J.L.; methodology, A.H and A.W.R.A.; software, A.H. and A.W.R.A.; validation, T.H., A.H., and J.L.; formal analysis, A.H., A.W.R.A., and M.S.; investigation, N.A.T and M.S.; resources, A.H. and T.H.; data curation, N.A.T, A.H. and M.S.; writing original draft preparation, N.A.T, M.S. and A.W.R.A.; writing review and editing, T.H., A.H., A.W.R.A., M.S, N.A.T and J.L.; visualization, A.H.; supervision, T.H, and J.L.; funding acquisition, T.H. All authors have read and agreed to the published version of the manuscript.
References
[1] SL Badshah, S Faisal, A Muhammad, BG Poulson, AH Emwas and M Jaremko. Antiviral activities of flavonoids. Biomedicine & Pharmacotherapy 2021; 140(6), 111596.
[2] S Chen, X Wang, Y Cheng, H Gao and X Chen. A review of classification, biosynthesis, biological activities and potential applications of flavonoids. Molecules 2023; 28(13), 4982.
[3] K Jomova, SY Alomar, R Valko, J Liska, E Nepovimova, K Kuca and M Valko. Flavonoids and their role in oxidative stress, inflammation, and human diseases. Chemico-Biological Interactions 2025; 413, 111489.
[4] V Pereira, O Figueira and PC Castilho. Flavonoids as insecticides in crop protection-a review of current research and future prospects. Plants 2024; 13(6), 776.
[5] P Chand, H Kumar, R Jain, A Jain and V Jain. Flavonoids as omnipotent candidates for cancer management. South African Journal of Botany 2023; 158, 334-346.
[6] A Ullah, S Munir, SL Badshah, N Khan, L Ghani, BG Poulson, AH Emwas and M Jaremko. Important flavonoids and their role as a therapeutic agent. Molecules 2020; 25(22), 5243.
[7] T Herlina, AWR Akili, V Nishinarizki, A Hardianto and JB Latip. Review on antibacterial flavonoids from genus Erythrina: structure-activity relationship and mode of action. Heliyon 2025; 11(1), e41395.
[8] AWR Akili, A Hardianto, J Latip, M Ismiyati and T Herlina. Characterization of botanical parts of Erythrina crista-galli using pyrolysis-gas chromatography/mass spectrometry and multivariate analysis. Indonesian Journal of Chemistry 2023; 23(4), 899-912.
[9] NT Son and AI Elshamy. Flavonoids and other non-alkaloidal constituents of genus Erythrina: phytochemical review. Combinatorial Chemistry & High Throughput Screening 2021; 24(1), 20-58.
[10] CH Liao, HX Fu, KH Tu, JH Zheng, CH Shih and YS Lin. Impacts of extraction solvents and processing techniques on phytochemical composition and antioxidant property of mulberry (Morus spp.) leaves. Cogent Food & Agriculture 2025; 11(1), 2451731.
[11] K Kumar, S Srivastav and VS Sharanagat. Ultrasound assisted extraction (UAE) of bioactive compounds from fruit and vegetable processing by-products: A review. Ultrasonics Sonochemistry 2021; 70, 105325.
[12] L Shen, S Pang, M Zhong, Y Sun, A Qayum, Y Liu, A Rashid, B Xu, Q Liang, H Ma and X Ren. A comprehensive review of ultrasonic assisted extraction (UAE) for bioactive components: Principles, advantages, equipment, and combined technologies. Ultrasonics Sonochemistry 2023; 101, 106646.
[13] C Liu, F Xu, Q Zhang, N Xu, J Zhang, Y Shi and K Qin. Ultrasound-assisted enzyme extraction of total flavonoids from lotus leaf (Nelumbo nucifera Gaertn.) and its antioxidant activity. LWT 2025; 215(7), 117224.
[14] YY Ling, PS Fun, A Yeop, MM Yusoff and J Gimbun. Assessment of maceration, ultrasonic and microwave assisted extraction for total phenolic content, total flavonoid content and kaempferol yield from Cassia alata via microstructures analysis. Materials Today: Proceedings 2019; 19(4), 1273-1279.
[15] AR Ahmad and A Malik. Antioxidant activity of Passiflora edulis (passion fruit) seed extracts obtained from maceration and ultrasonic assisted extraction method. Fitofarmaka: Jurnal Ilmiah Farmasi 2023; 13(1), 77-81.
[16] J Zhishen, T Mengcheng and W Jianming. The determination of flavonoid contents in mulberry and their scavenging effects on superoxide radicals. Food Chemistry 1999; 64(4), 555-559.
[17] DAI Pramitha, T Herlina, IP Maksum, A Hardianto, AWR Akili and J Latip. Metabolite profile and antioxidant activities of Trikatu, black pepper, Javanese long pepper, and red ginger essential oils. Phytomedicine Plus 2025; 5(1), 100702.
[18] N Lall, CJH Smith, MND Canha, CB Oosthuizen and D Berrington. Viability reagent, PrestoBlue, in comparison with other available reagents, utilized in cytotoxicity and antimicrobial assays. International Journal of Microbiology 2013; 2013(9), 420601.
[19] T Mosmann. Rapid colorimetric assay for cellular growth and survival: Application to proliferation and cytotoxicity assays. Journal of Immunological Methods 1983; 65(1-2), 55-63.
[20] OA Olalere, NH Abdurahmanm RBM Yunus, OR Alara and MM Ahmad. Mineral element determination and phenolic compounds profiling of oleoresin extract using an accurate mass LC-MS-QTOF and ICP-MS. Journal of King Saud University-Science 2018; 31(4), 859-863.
[21] AW Bouhalla, D Benabdelmoumene, S Dahmouni, Z Bengharbi, K Hellal, WSM Qadi, E A-Olayan, A Moreno, A Bekada, N Buzgaia, H Aziz and A Mediani. Comparative LC-MS-based metabolite profiling, antioxidant, and antibacterial properties of Bunium bulbocastanum tubers from two regions in Algeria. Scientific Reports 2024; 14(1), 21719.
[22] ZL Sheng, PF Wan, CL Dong and YH Li. Optimization of total flavonoids content extracted from Flos Populi using response surface methodology. Industrial Crops and Products 2013; 43(1), 778-786.
[23] CC Chang, MH Yang, HM Wen and JC Chern. Estimation of total flavonoid content in propolis by two complementary colorimetric methods. Journal of Food and Drug Analysis 2002; 10(3), 178-182.
[24] A Wojdyło, J Oszmiański and R Czemerys. Antioxidant activity and phenolic compounds in 32 selected herbs. Food Chemistry 2007; 105(3), 940-949.
[25] M Shahriar, NZ Khair, Z Sheikh, SF Chowdhury, M Kamruzzaman, MSI Bakhtiar, SJ Chisty, SN Narjish, R Akhter and N Akter. Phytochemical analysis, cytotoxic and in vitro antioxidant activity of Erythrina variegate bark. European Journal of Medicinal Plants 2016; 11(3), 1-5.
[26] I Fidrianny, Annisa and K Ruslan. Antioxidant activities of Arabica green coffee from three regions using ABTS and DPPH assays. Asian Journal of Pharmaceutical and Clinical Research 2016; 9(2), 189-193.
[27] V Deviani, A Hardianto, K Farabi and T Herlina. Flavonones from Erythrina crista-galli twigs and their antioxidant properties determined through in silico and in vitro studies. Molecules 2022; 27(18), 6018.
[28] F Chemat, MA Vian and G Cravotto. Green extraction of natural products: concept and principles. International Journal of Molecular Sciences 2012; 13(7), 8615-8627.
[29] N Chandimali, SG Bak, EH Park, HJ Lim, YS Won, EK Kim, SI Park and SJ Lee. Free radicals and their impact on health and antioxidant defenses: A review. Cell Death Discovery 2025; 11(1), 19.
[30] A Torgovnick and B Schumacher. DNA repair mechanisms in cancer development and therapy. Front Genet 2015; 6, 157.
[31] M Rafi, AH Karomah, DA Septaningsih, Trivadila, M Rahminiwati, SP Putri and D Iswantini. LC-MS/MS based metabolite profiling and lipase enzyme inhibitory activity of Kaempferia angustifolia Rosc. With different extracting solvents. Arabian Journal of Chemistry 2022; 15(11), 104232.
[32] AJ Pérez, EM Hassan, L Pecio, EA Omer, M Kucinska, M Murias and A Srochmal. Triterpenoid saponins and C-glycosyl flavones from stem bark of Erythrina abyssinica Lam and their cytotoxic effects. Phytochemistry Letters 2015; 13, 59-67.
[33] S El-Masry, HM Hammoda, MM Radwan, SA Ross and HH Zaatout. C-flavonoidal glycosides from Erythrina caffra flowers. Natural Product Sciences 2010; 16(4), 217-222.
[34] DRD Oliveira, CR Zamberlam, RB Gaiardo, GM Rêgo, JM Cerutti, AJ Cavalheiro and SM Cerutti. Flavones from Erythrina falcata are modulators of fear memory. BMC Complementary and Alternative Medicine 2014; 14(1), 288.
[35] NS Ashmawy, ML Ashour, M Wink, M El-Shazly, FR Chang, N Swilam, AB Abdel-Naim and N Ayoub. Polyphenols from Erythrina crista-galli: Structures, molecular docking and phytoestrogenic activity. Molecules 2016; 21(6), 726.
[36] KG Bedane, S Kusari, IB Masesane, M Spiteller and RRT Majinda. Flavanones of Erythrina livingstoniana with antioxidant properties. Fitoterapia 2016; 108, 48-54.
[37] W Watjen, AK Suckow-Schnitker, R Rohrig, A Kulawik, J Addae-Kyereme, CW Wright and CM Passreiter. Prenylated flavonoid derivates from the bark of Erythrina Addisoniae. Journal of Natural Products 2008; 71(4), 735-738.
[38] Y Zarev, K Foubert, VLD Almeida, R Anthonissen, E Elgorashi, S Apers, I Ionkova, L Verschaeve and L Pieters. Antigenotoxic prenylated flavonoids from stem bark of Erythrina latissima. Phytochemistry 2017; 141, 140-146.
[39] F Redko, ML Clavin, D Weber, F Ranea, T Anke and V Martino. Antimicrobial isoflavonoids from Erythrina crista-galli infected with Phomopsis sp. Zeitschrift für Naturforschung C 2007; 62(3-4), 164-168.
[40] M Na, J Jang, D Njamen, JT Mbafor, ZT Fomum, BY Kim, WK Oh and JS Ahn. Protein tyrosine phosphatase-1B inhibitory activity of isoprenylated flavonoids isolated from Erythrina mildbraedii. Journal of Natural Products 2006; 69(11), 1572-1576.
[41] L Cui, DT Ndinteh, MK Na, PT Thuong, J Silike-Muruumu, D Njamen, JT Mbafor, ZT Fomum, JS Ahn and WK Oh. Isoprenylated flavonoids from the stem bark of Erythrina abyssinica. Journal of Natural Products 2007; 70(6), 1039-1042.
[42] P Innok, T Rukachaisirikul, S Phongpaichit and A Suksamrarn. Fuscacarpans A-C, new pterocarpans from the stems of Erythrina fusca. Fitoterapia 2010; 81(6), 518-523.
[43] M Sato, H Tanaka, S Fujiwara, M Hirata, R Yamaguchi, H Etoh and C Tokuda. Antibacterial property of isoflavonoids isolated from Erythrina variegata against cariogenic oral bacteria. Phytomedicine 2003; 10(5), 427-433.
[44] ANJ Imanuddin, I Wiani, A Hardianto and T Herlina. Flavonoids from extract butanol of twigs Erythrina crista-galli against the breast cancer cell line within in silico method. Trends in Sciences 2023; 20(7), 5350.
[45] H Tanaka, T Tanaka and H Etoh. Three pterocarpans from Erythrina crista-galli. Phytochemistry 1997; 45(4), 835-838.
[46] S Djiogue, M Halabalaki, X Alexi, D Njamen, ZT Fomum, MN Alexis and AL Skaltsoounis. Isoflavonoids from Erythrina poeppigiana: Evaluation of their binding affinity for the estrogen receptor. Journal of Natural Products 2009; 72(9), 1603-1607.
[47] P Innok, T Rukachaisirikul and A Suksamrarn. Flavonoids and pterocarpans from the bark of Erythrina fusca. Chemical and Pharmaceutical Bulletin 2009; 57(9), 993-996.
[48] T Herlina, AWR Akili, V Nishinarizki, A Hardianto, AP Sulaeman, S Gaffar, E Julaeha, T Mayanti, U Supratman, MA Nafiah and JB Latip. Cytotoxic evaluation, molecular docking, molecular dynamics, and ADMET prediction of isolupalbigenin isolated from Erythrina subumbrans (Hassk). Merr. (Fabaceae) stem bark: Unveiling its anticancer efficacy. Onco Targets and Therapy 2024; 2024(17), 829-840.
[49] KK Atindehou, EF Queiroz, C Terreaux, D Traore and K Hostettmann. Three new prenylated isoflavonoids from the root bark of Erythrina cogelii. Planta Medica 2002; 68(2), 181-182.
[50] H Tanaka, H Etoh, N Watanabe, H Shimizu, M Ahmad and GH Rizwani. Erysubins C-F, four isoflavonoids from Erythrina suberosa var. glabrescences. Phytochemisty 2001; 56(7), 769-773.
[51] H Tanaka, M Hirata, H Etoh, M Sako, M Sato, J Murata, H Murata, D Darnaedi and T Fukai. Six new constituents from the roots of Erythrina variegata. Chemistry & Biodiversity 2004; 1(7), 1101-1108.
[52] PH Nguyen, TNA Nguyen, KW Kang, DT Ndinteh, JT Mbafor, YR Kim and WK Oh. Prenylated pterocarpans as bacterial neuraminidase inhibitors. Bioorganic & Medicinal Chemistry 2010; 18(9), 3335-3344.
[53] AW Andayi, A Yenesew, S Derese, JO Midiwo, PM Gitu, OJI Jondiko, H Akala, P Liyala, J Wangui, NC Waters, M Heydenreich and MG Peter. Antiplasmodial flavonoids from Erythrina sacleuxii. Planta Med 2006; 72(2), 187-189.
[54] T Rukachaisirikul, P Innok, N Aroonrerk, W Boonamnuaylap, S Limrangsun, C Boonyon, U Woonjina and A Suksamrarn. Antibacterial pterocarpans from Erythrina subumbrans. Journal of Ethnopharmacology 2007; 110(1), 171-175.
[55] H Tanaka, M Hirata, H Etoh, H Shimizu, M Sako, J Murata, H Murata, D Darnaedi and T Fukai. Eryvarins F and G, two 3-phenoxychromones from the roots of Erythrina variegate. Phytochemistry 2003; 62(8), 1243-1246.
[56] T Herlina, U Supratman, MS Soedjanaatmadja, A Subarnas, S Sutardjo, NR Abdullah and H Hayashi. Anti-malarial compound from the stem bark of Erythrina variegate. Indonesian Journal of Chemistry 2010; 9(2), 308-311.
[57] M Satyamitra, S Mantena, CKK Nair, S Chandna, BS Dwarakanath and DP Uma. The antioxidant flavonoids, orientin and vicenin enhance repair of radiation-induced damage. Scholarena Journal of Pharmacy and Pharmacology 2014; 1(1), 105.
[58] MS Abdelrahim, AM Abdel-Baky, SAL Bayoumi, SM Mohamed, WM Abdel-Mageed and EY Backheet. Cytotoxic flavone-C-glycosides from the leaves of Dypsis pembana (H.E.Moore) Beentje & J.Dransf., Arecaceae: In vitro and molecular docking studies. BMC Complementary Medicine and Therapies 2023; 23(1), 214.
[59] NI Kashchenko, DN Olennikov and NK Chirikova. Phytohormones and elicitors enhanced the ecdysteroid and glycosylflavone content and antioxidant activity of Silene repens. Applied Sciences 2021; 11(23), 11099.
[60] B Pandey, S Thapa, MS Biradar, B Singh, JB Ghale, P Kharel, PK Jha, RK Yadav, S Dawadi and V Poojashree. LC-MS profiling and cytotoxic activity of Angiopteris helferiana against HepG2 cell line: Molecular insight to investigate anticancer agent. Plos One 2024; 19(12), e0309797.
[61] F Xu, Y Liu, Z Zhang, C Yang and Y Tian. Quansi-MSn identification of flavonone 7-glycoside isomers in Da Chengqi Tang by high performance liquid chromatography-tandem mass spectrometry. Chinese Medicine 2009; 4, 15.
[62] NH Zaidun, ZC Thent and AA Latiff. Combating oxidative stress disorders with citrus flavonoid: Naringenin. Life Sciences 2018; 208(2), 111-122.
[63] R Rashmi, SB Magesh, KM Ramkumar, S Suryanarayananl and MV SubbaRao. Antioxidant potential of naringenin helps to protect liver tissue from Streptozotocin-induced damage. Reports of Biochemistry and Molecular Biology 2018; 7(1), 76-84.
[64] AW Harmon and YM Patel. Naringenin inhibits glucose uptake in MCF-7 breast cancer cells: A mechanism for impaired cellular proliferation. Breast Cancer Research and Treatment 2004; 85(2), 103-110.
[65] I Kruk, HY Aboul-Enein, T Michalska, K Lichszteld and A Kladna. Scavenging of reactive oxygen species by the plant phenols genistein and oleuropein. Luminescence 2005; 20(2), 81-89.
[66] JM Pavese, RL Farmer and RC Bergan. Inhibition of cancer cell invasion and metastasis by genistein. Cancer and Metastasis Reviews 2010; 29(3), 465-482.
[67] W Zhao, Z Shang, Q Li, M Huang, W He, Z Wang and J Zhang. Rapid screening and identification of daidzein metabolites in rats based on UHPLC-LTQ-Orbitrap mass spectrometry coupled with data-mining technologies. Molecules 2018; 23(1), 151.
[68] C Jiang and PK Gates. Systematic characterization of the fragmentation of flavonoids using high-resolution accurate mass electrospray tandem mass spectrometry. Molecules 2024; 29(22), 5246.
[69] MY Sun, Y Ye, L Xiao, K Rahman, W Xia and H Zhang. Daidzein: A review of pharmacological effects. African Journal of Traditional, Complementary and Alternative Medicines 2016; 13(3), 117-132.
[70] KE Heim, AR Tagliaferro and DJ Bobilya. Flavonoid antioxidants: Chemistry, metabolism and structure-activity relationships. The Journal of Nutritional Biochemistry 2002; 13(10), 572-584.
[71] B Botta, A Vitali, P Menendez, D Misiti and GD Monache. Prenylated flavonoids: Pharmacology and biotechnology. Current Medicinal Chemistry 2005; 12(6), 713-739.
[72] CA Williams and RJ Grayer. Antocyanins and other flavonoids. Natural Product Reports 2004; 21(4), 539-573.