Start Bootstrap Logo

Trends Sci. 2025; 22(10): 10622

Potential of Probiotics as Adjuvant Therapy to Reduce Depressive Disorder Based on Dose and Duration: A Meta-Analysis


Hedya Nadhrati Surura1,*, Syahrial1, Elsi Fitri Dewi2, Ananda Putri3,

Ghita Atmaniwedana4 and Riski Hakiki5


1Department of Psychiatric, Universitas Syiah Kuala, Aceh 23111, Indonesia

2Department of Psychiatric, Universitas Sumatera Utara, Medan 20155, Indonesia

3Department of Emergency, General Psychiatry, Acehʼs Mental Hospital, Aceh 23126, Indonesia

4Department of Emergency, Bhayangkara Hospital, Banten 42117, Indonesia

5Department of Emergency, General Hospital of Subulussalam, Aceh 24782, Indonesia


(*Corresponding author’s e-mail: [email protected])


Received: 10 May 2025, Revised: 28 May 2025, Accepted: 15 June 2025, Published: 20 July 2025


Abstract

Depression is a common and severe mood disorder affecting millions globally. Recent research suggests that probiotics may play a role in reducing symptoms of depression. Integrating probiotics into clinical practice can enhance patient outcomes, improve quality of life, and advance the overall care of individuals with depressive disorders. This meta-analysis aims to evaluate the effectiveness of probiotics as an adjunctive therapy for disorders. It focuses on determining the impact of probiotic dosage, duration, and specific strains on reducing depressive symptoms by modulating gut microbiota, which is implicated in the gut-brain axis and mental health. A systematic search on randomized controlled trials (RCTs) was conducted in PubMed, Scopus, and the Cochrane Library from 2019 to 2024, PRISMA guidelines for examining probiotics on depression. The selected studies met predefined inclusion criteria, including validated depression assessment scales. Data extraction involved a standardized form, and a meta-analysis was conducted using Rev 5.4 with a random-effects model to account for variations across studies. Our study showed that probiotics significantly reduce symptoms in patients with major depressive disorder (SMD = 0.37, 95% CI 0.64 to 0.10, p = 0.007) and in cases of mild to moderate depressive disorders (SMD = 0.75, 95% CI 0.17 to 0.33,
p = 0.0004). A daily probiotic dose of 3×10⁹ CFU administered over 8-weeks was associated with a reduction in depressive symptoms, regardless of the initial severity of the condition. In individuals diagnosed with major depressive disorder (MDD), a higher dosage of 8×10⁹ CFU over the same duration yielded more pronounced therapeutic effects. These results contribute to the evidence supporting the role of the gut-brain axis in the pathophysiology of depression. They also highlight the potential of probiotics as adjunctive agents in depression management, thereby informing the development of evidence-based clinical guidelines for integrative treatment strategies.


Keywords: Depression, Depressive disorder, Gut-brain axis, Meta-analysis, Probiotics, Randomized controlled trials


Introduction

Depression is a mood disorder characterized by prolonged periods of low mood or loss of interest in activities. According to WHO statistics, in 2023, approximately 280 million people worldwide will suffer from depression, and 700,000 people die each year due to suicide related to major depressive disorder. Predictions suggest that depressive disorders are likely to increase in the future and become a burden [1]. Despite the use of medications and psychological therapies to treat depression, many patients do not respond well, suggesting a need to consider additional effective therapies in depression management [2]. There is evidence showing a correlation between gut health and mental conditions, influenced by variations in microbiota balance in depression disorders. Recent studies indicate that probiotics have the potential to reduce depression symptoms effectively. Gut microbiota plays a crucial role in modulating mental health and central nervous system function through the gut-brain axis, facilitating bidirectional communication between the gut and the brain that can affect neurotransmitter function [3,4].

An imbalance in gut microbiota affects the balance of beneficial bacteria, leading to an increased in pathogenic bacteria, which can cause heightened secretion of acetylcholine and glucocorticoids as well as increased intestinal barrier permeability. Increased gut permeability allows pathogenic bacteria and toxins to enter the systemic circulation, leading to an imbalance in inflammatory cells and other neurotransmitters. One study noted differences in gut microbiota profiles between healthy individuals and major depressive disorder (MDD) patients, with decreased levels of Faecalibacterium, Bifidobacterium, and Lactobacillus and increased levels of Clostridium, Streptococcus, Klebsiella, Oscillibacter, Allistipes, Eggerthella, Holdemania, Gelria, Turicibacter, Paraprevotella, and Anaerofilum genera found in MDD patients. These shifts in gut microbiota composition may contribute to changes in the regulation of host physiology [5]. Therefore, addressing MDD from the perspective of the gut-brain axis with an emphasis on gut microbiota is essential.

Most research provides evidence that probiotics have potential as a therapy to reduce depression symptoms. However, their effectiveness may be influenced by daily dosage, duration of administration, and the types and amounts of bacteria in the probiotic. There is no standard protocol regarding the duration and dosage of probiotic administration for adjunct therapy. A meta-analysis recommended probiotic administration for at least 8 weeks [4]. Other studies have shown that a single capsule or sachet for 8 weeks effectively reduces mild to moderate depression symptoms [6], while another study found that 4 capsules once daily for 8 weeks significantly reduced severe depression symptoms [3]. Due to the lack of a definitive protocol for probiotic adjunct therapy in patients with depression disorders, this meta-analysis aims to evaluate the effects of probiotics on depression symptoms in recent research, identify critical determinants, explore variations in results, and provide a guide for the effective and appropriate clinical use of probiotics in patients with depression disorders.


Materials and methods

The methodology in this research was structured as follows:


Research design

In this meta-analysis, a random-effects model was employed to account for variability between studies. Although all included studies were randomized controlled trials (RCTs), sources of heterogeneity still existed. These included differences in participant characteristics (e.g., age), History of use of antidepressant drugs, intervention dosage and duration, outcome assessment methods (e.g., timing or type of measurement), and healthcare settings. These factors were considered in interpreting the pooled results [7].


Setting and samples

The meta-analysis was conducted between January 2019 and May 2024, using data from studies retrieved from various electronic databases such as PubMed, Cochrane Library, and Scopus. The sampling strategy involved selecting studies that met predefined inclusion and exclusion criteria. Inclusion criteria included; 1) randomized controlled trials (RCTs) evaluating the effects of probiotics on depressive disorders; 2) studies that used validated depression assessment scales of Beck Depression Inventory-II (BD-II), Montgomery-Asberg Depression Rating Scale (MADRS), Hamilton Depression Rating Scale (HAMD), and Inventory of Depressive Symptomatology Scores (IDS); 3) studies reporting outcomes as mean ± standard deviation (SD); and 4) publications in the English language. Exclusion criteria included studies without a control group, studies not reporting results as mean ± SD, and non-English studies. Based on these criteria, 8 RCTs involving 291 cases and 298 controls were included. The sample size was determined by the availability of eligible studies that met all inclusion criteria.



Intervention

This meta-analysis synthesizes data from multiple RCTs that employed various probiotic interventions. The specific interventions varied across studies, including different probiotic strains, dosages, and administration durations. All included studies featured a control group that received either a placebo or standard treatment for depressive disorders, depending on the study design.


Measurement and data collection

Data collection involved extracting information from selected studies using a standardized data extraction form. The form captured relevant data such as study characteristics (e.g., author, year, country), participant demographics (e.g., age, sex), type of probiotic used, dosage, duration of intervention, and assessment tools for depression. The primary outcome measure was the change in depressive symptoms, assessed using validated scales such as the Beck Depression Inventory (BDI) [8] and the Hamilton Depression Rating Scale (HAM-D) [9]. The validity and reliability of these scales have been extensively established, and data extraction was independently performed to ensure accuracy and consistency, with discrepancies resolved.


Data analysis

Data were analyzed using Review Manager (RevMan) version 5.4 software. Standardized mean differences (SMDs) with 95% confidence intervals (CIs) were calculated for continuous outcomes. A random-effects model was used to account for potential heterogeneity among the studies. The I² statistic was applied to assess heterogeneity, whereas 25%, 50%, and 75% indicated low, moderate, and high heterogeneity, respectively [10]. Subgroup analyses were conducted based on probiotic dosage, duration, and species to explore sources of heterogeneity. Publication bias was evaluated using funnel plots, and sensitivity analyses were performed by excluding one study at a time to test the robustness of the findings.


Trustworthiness/rigor

It is not applicable, as this study is a quantitative meta-analysis rather than qualitative research. However, the quality of the included studies was assessed using the Cochrane Risk of Bias Tool, which evaluates bias in several domains: random sequence generation, allocation concealment, blinding of participants and personnel, blinding of outcome assessment, incomplete outcome data, and selective reporting. Each study was classified as having a low, high, or unclear risk of bias [11,12]. In this study, 2 reviewers (author 1 and author 2) independently assessed the risk of bias, and disagreements were resolved by a third reviewer (author 3).


Ethical considerations

The meta-analysis used data from previously published studies, so it did not involve direct contact with human or animal subjects. As such, no ethical approval or informed consent was required for this study. All included studies were assumed to have received appropriate ethical approvals, as indicated by their respective publications.


Results and discussion

Included studies

The adapted PRISMA flowchart illustrates the selection of the journals used in this report (Figure 1). In total, 229 publications were reviewed. Ultimately, 8 clinical trials [3,4,6,13-17] involving 291 cases and 298 controls were included based on the inclusion and exclusion criteria for the collected analysis. The study characteristics are shown in Table 1.


Figure 1 Characteristics of RCTs included for meta-analysis.



Data related to the effects of probiotics on depression were extracted using a customized form and verified by a third author. The form includes study demographics, experimental design, probiotic regimen, dosage and duration of administration, antidepressant history, and scales used in assessing depressive symptoms (Table 1). If the research data were unclear, we corresponded with the authors to obtain further information.



Table 1 Characteristics of RCTs included for meta-analysis.

Study/ Year/ Country­­

Total Sample, Subjects, Total number of cases

History of antidepressant use/ Type

Take Medications; Duration, daily doses

Species, dosage/ sachet, or capsule

Scale of depression

Lee et al./ 2021/ South Korea

19 - 65 years old healthy, 122 (63/59)

No

8 weeks, 1×1 caps

2.0×109 CFU for Lactobacillus reuteri NK33 and 0.5×109 CFU Bifidobacterium adolescentis NK98

Beck Depression Inventory-II (BDI-II)

Kotelnicka
et. al/ 2024/ Polandia

> 18 years old patients with Depressive disorder

95 (51/44)

Yes/No Information

8 weeks, 1×1 caps

3×109 CFU: Lactobacillus helveticus Rosell®-52, Bifidobacterium longum Rosell®-175, and excipients

Montgomery–Asberg Depression Rating Scale (MADRS)

Reininghaus et al./ 2020/ Austria

18 - 75 years old patients with MDD, 61 (28/33)

Yes/ No Information

4 weeks, 1×1 sachet

7.5×109 CFU : B. bifidum W23, B.lactis W51, B.lactis W52, L. acidophilus W22, L. casei W56, L. paracasei W20, L. plantarum W62, L. salivarius W24 dan L.laktis W19

HAMD

BDI-II

Kreuzer et al./ 2022/ Austria

> 18 years old patients with MDD, 57 (28/29)

Yes/ Mixed

4 weeks, 1×1 sachet

7.5×109 CFU : Bifidobacteria (B. bifidum W23, B. lactis W51, B. lactis W52) and Lactobacilli (L. acidophilus W22, L. casei W56, L. paracasei W20, L. plantarum W62, L. salivarius W24, L. lactis W19).

HAMD

BDI-II

Nikolova
et al./ 2024/ United Kingdom

18 - 45 years old patients with MDD, 49 (24/25)

Yes/Mixed

8 weeks, 1×4 caps

2×109 CFU: Bacillus subtilis, Bifidobacterium bifidum, Bifidobacterium breve, Bifidobacterium infantis, Bifidobacterium longum, Lactobacillus acidophilus, Lactobacillus delbrueckii subsp bulgaricus, Lactobacillus casei, Lactobacillus plantarum, Lactobacillus rhamnosus, Lactobacillus helveticus, Lactobacillus salivarius, Lactococcus lactis, and Streptococcus thermophilus

HAMD-17

Inventory of Depressive Symptomatology (IDS)




Chahwan
et al./ 2019/ Australia

> 18 years old, healthy, 71 (34/37)

No

8 weeks, 1×2 sachet

2.5×109 CFU: Bifidobacterium bifidum W23, Bifido bacterium lactis W51, Bifidobacterium lactis W52, L. acidophilus W37,

BDI-II

Moludi et al./ 2019/ Iran

Adults with recent MI who underwent PCI and Depression symptom

44 (22/22)

No Information

12 weeks, 1×1 caps

1.6 109 : L. rhamnosus

BDI-II

Kruzer, 2024/ Austria

> 18 years old patients with MDD, 53 (24/29)

Yes/ Mixed

4 weeks, 1×1 sachet

7.5×109: Bifidobacteria (B.bifidum W23, B.lactis W51, B.lactis W52) and Lactobacilli (L. acidophilus W22, L. casei W56, L. paracasei W20, L.plantarum W62, L. salivarius W24, L. lactis W19) Lactobacillus brevis W63, Lactobacillus casei W56, Lactobacillus salivarius W24, Lactococcus lactis W19 and Lactococcus lactis W58 (total cell count 1×1010 CFU/day)

BDI-II

HAMD



Quality assessment

The risk of bias for the efficacy analysis in each included RCT is depicted in Figure 2(A), while Figure 2(B) illustrates the risk of bias across all RCTs. These data suggest that the highest overall risk of bias is associated with additional factors. According to the study quality assessment, all included studies were RCTs, and the risk of bias for each RCT was low.




Figure 2 (A) the risk of bias for each RCT, categorized as low risk of bias (+), high risk of bias (−), or unclear risk of bias (?); and (B) a bar chart comparing the percentage risk of bias for each included RCT. These figures indicate that the risk of bias is generally low.


Efficacy of probiotics

Figure 3(A) illustrates the analysis of treatment duration, revealing that probiotics effectively reduced depressive symptoms overall (p = 0.02). However, in the subgroup analysis, no significant reduction in depressive symptoms was observed for individuals administered probiotics for 4 weeks (SMD = −0.30, 95% CI −0.60 to 0.00, p = 0.05), 8 weeks (SMD = −0.10, 95% CI −0.34 to 0.14, p = 0.41), or 12 weeks (SMD = −0.10, 95% CI −0.15 to 0.06, p = 0.08). These non-significant results may be attributed to the heterogeneity within each study. To address this, further subgroup analyses focusing on dosage and studies involving samples with depressive disorders were conducted to evaluate the effectiveness of probiotics as an adjunctive therapy.

Subgroup analysis based on daily probiotic dosage (B) revealed significant results, particularly with 3×109 CFU over 8 weeks (SMD = −0.75, 95% CI −1.17 to −0.33, p = 0.0004) and 8×109 CFU over 8 weeks (SMD = −0.59, 95% CI −1.16 to −0.02, p = 0.04) in both healthy individuals and patients with depressive disorders. These results were consistent across subgroup analyses of individuals with depressive disorders undergoing antidepressant treatment. The variability in outcomes likely stems from differences in probiotic strain efficacy, patient-specific responses, and the underlying mechanisms influencing depression. While some studies affirm the efficacy of probiotics alongside standard antidepressant therapies, others hint at differential mechanisms depending on the dosage Johnson et al. [18]; Chen et al. [19]; Yong et al. [20]. Lesser dosages may be effective for distinct patient populations or symptom typologies, while higher dosages like 8×109 CFU might engage more complex neuroendocrine interactions beneficial for severe cases
[21,22].

The analysis of probiotic species quantity (C) yielded a p-value of 0.001, indicating that the number of probiotic species significantly affected the reduction of depressive symptoms. Continuing the subgroup analysis, significant findings were observed for multispecies probiotics (SMD = −0.31, 95% CI −0.53 to −0.09, p = 0.005) in contrast to single-species probiotics (SMD = −0.54, 95% CI −1.15 to 0.06, p = 0.08).

Further analysis was conducted to evaluate the effectiveness of probiotics in individuals based on their race (D). Overall, the results yielded a p-value of 0.001, with subgroup analysis showing that probiotics markedly reduced depression symptoms in Caucasians (SMD = −0.39, 95% CI −0.60 to −0.17, p = 0.0004), but had no significant effect on Mongoloid individuals (SMD = −0.08, 95% CI −0.44 to 0.27, p = 0.65). This result may be attributed to the limited data available in the journals, which primarily involved studies on the Mongoloid group, potentially contributing to the lack of significant effects in this population.

The subsequent analysis of patients with depressive disorders who were on antidepressant medications (E) indicated that probiotics significantly alleviated depressive symptoms (p < 0.0001). Subgroup analysis of other depressive disorders (mild and moderate) revealed an SMD of −0.75 (95% CI −0.17 to −0.33, p = 0.0004), while in major depressive disorder (MDD), the result was SMD = −0.37 (95% CI −0.64 to −0.10, p = 0.007).

Subgroup analysis of probiotic treatment duration in individuals with depressive disorders (F) demonstrated significant findings, particularly at 8 weeks (SMD = −0.69, 95% CI −1.03 to −0.36, p < 0.0001).

The next subgroup analysis, evaluating the effectiveness of probiotics as adjunctive therapy in depressive disorders to reduce depressive symptoms based on daily dose and duration (G), showed very significant results for a 3×109 CFU dose over 8 weeks (SMD = −0.75, 95% CI −1.17 to −0.33, p = 0.0004).

The last analysis involving major depressive disorder (MDD) (H) yielded significant findings with dose of 8×109 CFU (SMD = −0.59, 95% CI −1.16 to −0.02, p = 0.04).


Figure 3 (A) Depression symptoms; (B) Duration of Treatment; (C) Based On Daily dose; (D) Probiotics Species; (E) Race; (F) Potential for Adjuvant therapy; (G) Adjuvant Therapy based on duration treatment; (H) Adjuvant Therapy based on daily dose; (I) Adjuvant Therapy For MDD Based on Duration and Daily Dose.


Publication Bias

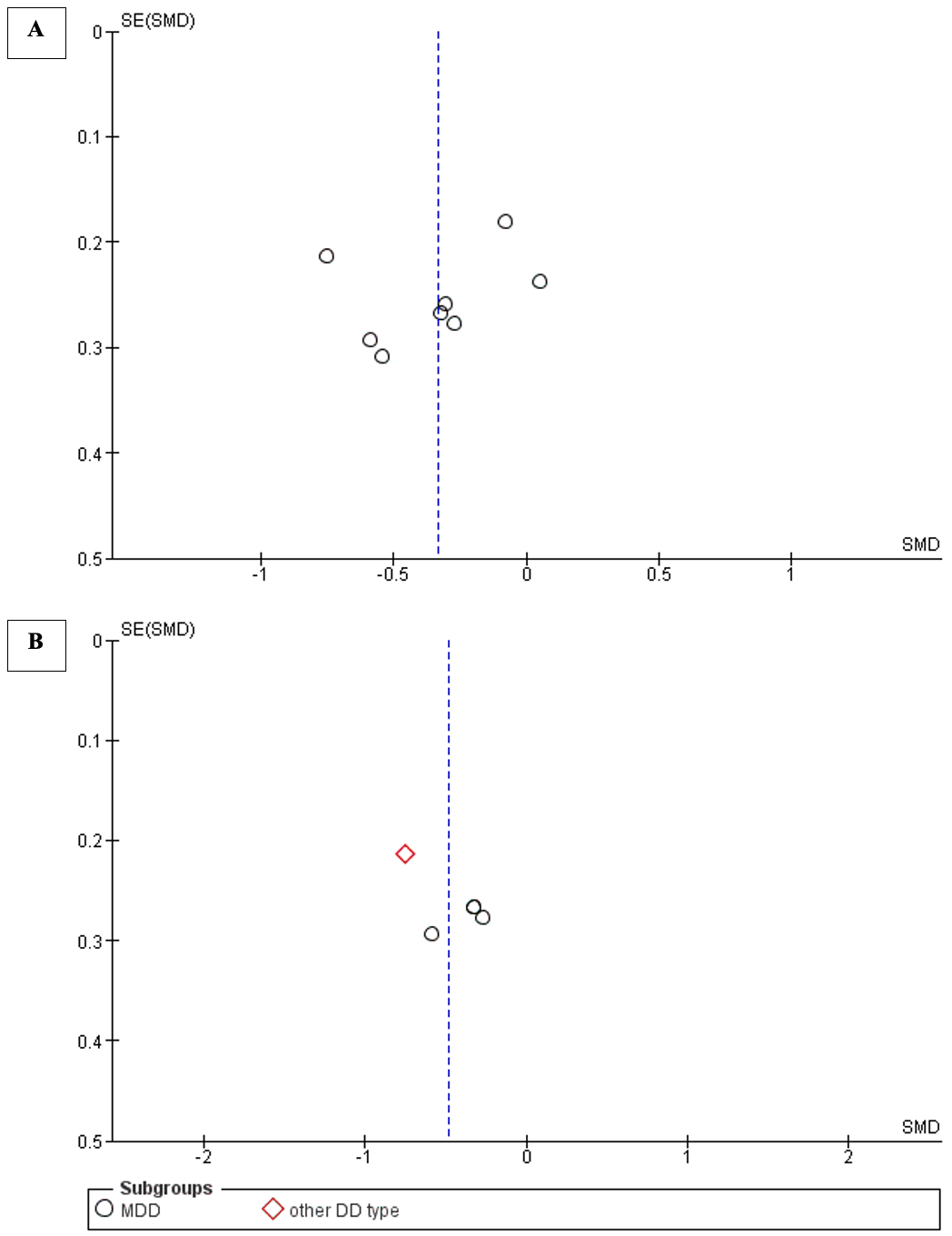
The funnel plot is used to assess publication bias qualitatively. The funnel plot in Figure 4(A) shows slight heterogeneity with mostly symmetrical study distribution around the combined effect, indicating minimal publication bias and consistent results across studies [23,24]. The funnel plot in Figure 4(B) shows asymmetry, suggesting potential publication bias, and indicates heterogeneity between MDD and other depressive disorder subgroups due to differing effect sizes. MDD studies cluster tightly, while other DD types deviate [11,23,24]. This strengthens the studyʼs conclusions regarding the effectiveness of probiotics as adjunctive therapy for depressive disorders.


Figure 4 Funnel flow analysis showed low heterogeneity and slight publication bias among the studies of MDD (A) and other DD types (B).


The results of this study indicate that probiotics are effective in reducing symptoms of depression, particularly in individuals with depressive disorders, suggesting their potential use as an adjunct therapy for depression sufferers. Most studies have reported that probiotics can alleviate symptoms of depression, and specifically among those with depressive disorders, probiotics appear to be a promising additional therapy for symptom reduction. However, no standardized protocol for administering probiotics regarding duration and dosage is available. Our analysis demonstrated a significant reduction in depressive symptoms with probiotics administered for 4 and 12 weeks but not for 8 weeks, likely due to data heterogeneity across studies. To address this heterogeneity, we conducted a subgroup analysis focusing on studies involving samples of depression sufferers who were also taking antidepressants. The results showed a significant reduction in depressive symptoms after 8 weeks of probiotic administration in individuals with depression who were taking antidepressants. This finding aligns with recommendations from studies suggesting a minimum probiotic treatment duration of 8 weeks for optimal efficacy [4].

Studies on the dosage given to sufferers suffering from depressive disorders show that giving one capsule/pack a day effectively reduces symptoms of depression [6,14,15,25] while other studies have found that 4 capsules a day in sufferers of severe depression significantly reduces the symptoms of depression [3]. From the results of these varied studies, it is possible that the duration of administration, daily dose, and probiotic composition can influence the therapy results. Another possibility that influences the effectiveness of probiotics on depressive symptoms is race. A study suggests that populations with a tradition of consuming yogurt (a probiotic-rich product), such as Caucasians, may experience an increased response to probiotic treatment due to a reduced risk of dysbiosis. However, the genomic mechanisms underlying this response remain unclear, as cited by the WHO and the Food and Agriculture Organization (FAO) [26,27] Probiotics are microbes that are beneficial for the hostʼs physiology when consumed and have recently been increasingly developed to provide maximum effectiveness for treating diseases, including depressive disorders [5]. Knowledge of host-microbiota interactions gave rise to the gut-brain microbiota axis (Microbiota Gut-Brain Axis/ MGBA). One study explained that the gut microbiota is actively involved in developing the immune system and the brain [28]. MGBA mediates this as the basis for complex communication pathways between the gut microbiota and the nervous, immune, and endocrine systems [29,30]. However, the diversity and richness of the gut microbiota are susceptible to change, including the hostʼs lifestyle. Adverse changes cause intestinal dysbiosis, which disrupts the symbiosis maintained by MGBA. Until now, intestinal dysbiosis has been believed to be involved in various health conditions, one of which is depression [31].

The study results indicate that individuals experiencing symptoms of depression also experience dysbiosis (an imbalance in the gut microbiota). Several other studies have shown that patients with major depressive disorder (MDD) have a different gut microbiota profile compared to healthy individuals. MDD patients typically exhibit decreased levels of Faecalibacterium, Bifidobacterium, Lactobacillus, and Dialister, as well as increased levels of Clostridium, Streptococcus, Klebsiella, Oscillibacter, Allistipes, Eggerthella, Holdemania, Gelria, Turicibacter, Paraprevotella, and Anaerofilum genera [5,32-35]. These shifts in gut microbiota composition may contribute to changes in the regulation of host physiology.

Probiotic research is progressing, including studies comparing the effectiveness of colonizing specific intestinal bacteria that can influence mechanisms for improving depression symptoms. Many studies suggest that the use of multispecies probiotics is more effective in reducing symptoms of depression compared to administering single species [5]. Dysbiosis of the gut microbiome, such as a decrease in commensal bacteria, Bifidobacterium, and Lactobacillus strains, and an increase in harmful intestinal microbes, can trigger the production of pro-inflammatory cytokines by enhancing the permeability of the intestinal epithelium and increasing BDNF levels [5,36,37].




Figure 5 The Dysfunctional Microbiota-Gut-Brain Axis and Depression. Prolonged exposure to stressors like psychological stress and inadequate nutrition results in several outcomes: (1) Altered gut microbiota composition due to norepinephrine release, (2) Increased intestinal permeability from elevated acetylcholine and glucocorticoids, (3) Hyperactive HPA axis and immune response, (4) Chronic inflammation, (5) Further microbiota disruption, (6) Neurotransmitter system imbalances, and (7) Altered bioactive molecule production affecting neurotransmission and gut function. These factors, illustrated in diagrams, are frequently observed in individuals with major depressive disorder (MDD). Moreover, persistent negative emotions experienced by depressed individuals intensify their susceptibility to various stressors. (Adopted image with permission from [5]).


Figure 5 illustrates the impact of prolonged stress and poor nutrition on the gut-brain axis, leading to altered gut microbiota composition, increased intestinal permeability, chronic inflammation, and hypothalamic-pituitary-adrenal (HPA) axis hyperactivity. These factors disrupt neurotransmitter regulation, contributing to the development and progression of major depressive disorder (MDD).

Additionally, Leeʼs research using probiotics containing Lactobacillus reuteri and Bifidobacterium adolescentis observed a decrease in depressive symptoms alongside a notable reduction in levels of the pro-inflammatory cytokine Interleukin 6 (IL-6) [13].The human gut microbiome generates pro-inflammatory cytokines, including IL-6 [38]. Both laboratory studies and experiments with live subjects indicate that L. acidophilus maintains the integrity of the intestinal barrier by suppressing pathogens and releasing pro-inflammatory cytokines [39,40] While B. bifidum and L. acidophilus may potentially exhibit antidepressant effects, more research is needed to fully understand their direct impact on depression fully. Another study on L. plantarum showed that, while the bacterium did not alleviate symptoms of depression, it did enhance cognitive function [41]. Together, these studies suggest that multispecies probiotics could offer enhanced therapeutic benefits for individuals with depression, particularly those diagnosed with major depressive disorder (MDD), compared to probiotics containing a single species [42].

.

Figure 6 Probiotics exert antidepressant effects through multiple pathways. (A) Certain probiotics, such as Lactobacillus rhamnosus and L. casei, produce gamma-aminobutyric acid (GABA), influencing the GABAergic system and HPA axis, while L. helveticus secretes serotonin and norepinephrine, affecting mood regulation. (B) Probiotics like L. plantarum produce butyrate, which enhances the intestinal barrier, reduces brain inflammation, and regulates brain-derived neurotrophic factor (BDNF) expression. (C) L. gasseri and Bifidobacterium longum secrete proteins and peptides, promoting parasympathetic activity and modulating neurotransmitter pathways. (D) Other probiotics produce bioactive molecules that reduce inflammation and modulate serotonin, dopamine, and glutamate systems, improving mood and reducing depressive symptoms. These mechanisms highlight the role of probiotics in regulating neurotransmitters, inflammatory responses, and gut-brain communication, thereby reducing depression. (Adopted image with permission from [5].)


Current literature studies revealed that there is no established protocol for administering probiotic doses to alleviate symptoms of depression. Probiotics have been increasingly recognized for their potential effects on alleviating depressive symptoms, primarily through the modulation of neurotransmitters and inflammation. Research indicates that gut microbiota can influence neurotransmitter synthesis, specifically through the enhancement of serotonin levels, which is crucial for mood regulation [43,44]. Probiotic supplementation has been shown to increase brain-derived neurotrophic factor (BDNF) levels, fostering neuroplasticity and potentially combating depressive symptoms [45,46]. Additionally, probiotics may downregulate systemic and central nervous system inflammation, as evidenced by reduced levels of pro-inflammatory cytokines in animal models, suggesting that inflammation plays a key role in the pathophysiology of depression [43,47,48] Furthermore, targeting the gut-brain axis through probiotics can reinforce gut integrity and positively impact psychological well-being [49-51]. Long-term use of probiotic might be more effective in modulating the beneficial gut microbiota community, potentially protecting against intestinal disorders and depression-related inflammation [16]. In recent randomized controlled trials (RCTs), doses below 10×109 are commonly utilized [3,6,13-17,25]. A hypothesis suggests this approach minimizes side effects and reduces costs, making it more accessible to the general public while still achieving effective therapeutic outcomes in symptom reduction for depression. Regardless of the findings, this study necessitates a specific analysis focusing on the genus, species, subspecies, and strains of bacteria, comparing light, moderate, and high doses, and exploring the duration of use to determine optimal effectiveness.

The role of psychosomatic symptoms in depressive disorders is crucial, as they often exacerbate both psychological and physical distress [52,53]. The findings of this meta-analysis suggest that probiotics, as adjuvant therapies, may help alleviate these psychosomatic symptoms by modulating the gut-brain axis, thus reducing systemic inflammation and altering neurotransmitter pathways. This dual effect not only improves mood but also mitigates somatic symptoms, contributing to overall better management of depression in clinical practice. Clinicians should consider incorporating specific probiotic strains in treatment regimens for patients with major depressive disorder, particularly those experiencing psychosomatic symptoms [18,45]. Careful selection of probiotic formulations based on patient profiles, including symptom severity and existing psychiatric treatments, is essential to maximize potential benefits while monitoring for any adverse interactions [54]. Engaging patients in discussions around the benefits and limitations of probiotic supplementation could enhance adherence and treatment outcomes [3,55].


Conclusions

Administering probiotics to individuals with depressive disorder can reduce depressive symptoms. An administered dose of 3×10⁹ CFU for 8 weeks showed beneficial effects (without considering the severity of the depressive disorder) in reducing depressive symptoms. Specially, for major depressive disorder (MDD), a higher dose of 8×109 CFU for 8 weeks was found to be more effective. These findings advance current knowledge by supporting the gut-brain axis as a viable target for depression management, providing a basis for developing evidence-based clinical guidelines to integrate probiotics into holistic treatment approaches. While the results are promising, further long-term studies are recommended to confirm the efficacy, determine the most effective probiotic strains and dosages, and explore their mechanisms of action in diverse patient populations.


Acknowledgements

We did not receive any funding for this research. All contributors in this literature study have been deserved and listed in the authorship.


Declaration of Generative AI and AI-Assisted

The author declares that AI tools were used solely to improve grammar and language clarity, not for content generation, data analysis, or interpretation. The author used biorender and canva applications to make the illustrative graphical abstract. The author reviewed and edited the graphic with full responsibility.



CRediT author statement

Hedya Nadhrati Surura: Conceptualization, Methodology, Formal analysis, Data Curation, Writing- original draft, Visualization. Syahrial: Supervision, Project administration, Writing – review & editing. Elsi Fitri Dewi: Data curation, Investigation, Validation. Ananda Putri: Resources, Investigation, Writing-review & editing. Ghita Atmaniwedana: Methodology, Software, Writing- review & editing. Riski Hakiki: Formal analysis, Visualization, Writing-review & editing.


References

[1] World Health Organization, Available at: https://www.who.int, accessed June 2024.

[2] CJK Wallace and RV Milev. The Efficacy, Safety, and Tolerability of probiotics on depression: Clinical results from an open-label pilot study. Frontiers in Psychiatry 2021; 12, 612879.

[3] VL Nikolova, AJ Cleare, AH Young and JM Stone. Acceptability, Tolerability and Estimates of putative treatment effects of probiotics as adjunctive treatment in patients with depression: A randomized clinical trial. JAMA Psychiatry 2023; 80(8), 842-847.

[4] AC Schaub, E Schneider, JF Vazquez-Castellanos, N Schweinfurth, C Kettelhack, JPK Doll, G Yamanbaeva, L Mahlmann, S Brand, C Beglinger, S Borgwardt, J Raes, A Schmidt and UE Lang. Clinical, gut microbial and neural effects of a probiotic add-on therapy in depressed patients: A randomized controlled trial. Translational Psychiatry 2022; 12(1), 277.

[5] SJ Yong, T Tong, J Chew and WL Lim. Antidepressive mechanisms of probiotics and their therapeutic potential. Frontiers in Neuroscience 2020; 14, 1361.

[6] O Gawlik-Kotelnicka, A Margulska, K Pleska, A Skowronska and D Strzelecki. Metabolic status influences probiotic efficacy for depression-pro-demet randomized clinical trial results. Nutrients 2024; 16(9), 1389.

[7] MJ Page, JE McKenzie, PM Bossuyt, I Boutron, TC Hoffmann, CD Mulrow, L Shamseer, JM Tetzlaff, EA Akl, SE Brennan, R Chou, J Glanville, JM Grimshaw, A Hrobjartsson, MM Lalu, T Li, EW Loder, E Mayo-Wilson, S McDonald, LA McGuinness, ..., D Moher. The PRISMA 2020 statement: An updated guideline for reporting systematic reviews. BMJ 2021; 372, 71.

[8] AT Beck, RA Steer and MG Carbin. Psychometric properties of the beck depression inventory: Twenty-five years of evaluation. Clinical Psychology Review 1988; 8(1), 77-100.

[9] RA Steer, AT Beck, JH Riskind and G Brown. Relationships between the beck depression inventory and the hamilton psychiatric rating scale for depression in depressed outpatients. Journal of Psychopathology and Behavioral Assessment 1987; 9(3), 327-339.

[10] R DerSimonian and N Laird. Meta-analysis in clinical trials revisited. Contemporary Clinical Trials 2015; 45, 139-145.

[11] P Higgins, DG Altman, PC Gøtzsche, P Jüni, D Moher, AD Oxman, J Savovic, KF Schulz, L Weeks, JA Sterne. The Cochrane Collaboration's tool for assessing risk of bias in randomised trials. BMJ. 2011; 343, d5928.

[12] JAC Sterne, J Savović, MJ Page, RG Elbers, NS Blencowe, I Boutron, CJ Cates, H-Y Cheng, MS Corbett, SM Eldridge, MA Hernán, S Hopewell, A Hróbjartsson, DR Junqueira, P Jüni, JJ Kirkham, T Lasserson, T Li, A McAleenan, BC Reeves,..., JPT Higgins. RoB 2: a revised tool for assessing risk of bias in randomised trials. BMJ 2019; 366, l4898.

[13] HJ Lee, JK Hong, JK Kim, DH Kim, SW Jang, SW Han, and IY Yoon. Effects of probiotic nvp-1704 on mental health and sleep in healthy adults: An 8-week randomized, double-blind, placebo-controlled trial. Nutrients 2021; 13(8), 2660.

[14] K Kreuzer, A Reiter, AM Birkl-Toglhofer, N Dalkner, S Morkl, M Mairinger, E Fleischmann, F Fellendorf, M Platzer, M Lenger, T Farber, M Seidl, A Birner, R Queissner, LMS Mendel, A Maget, A Kohlhammer-Dohr, A Haussl, J Wagner-Skacel, H Schoggl,... , S Bengesser. The PROVIT study-effects of multispecies probiotic add-on treatment on metabolomics in major depressive disorder-a randomized, placebo-controlled trial. Metabolites 2022; 12(8), 770.

[15] EZ Reininghaus, M Platzer, A Kohlhammer-Dohr, C Hamm, S Morkl, SA Bengesser, FT Fellendorf, T Lahousen-Luxenberger, B Leitner-Afschar, H Schoggl, D Amberger-Otti, W Wurm, R Queissner, A Birner, VS Falzberger, A Painold, W Fitz, J Wagner-Skacel, M Brunnmayr, A Rieger,... , N Dalkner. Provit: Supplementary probiotic treatment and vitamin b7 in depression-a randomized controlled trial. Nutrients 2020; 12(11), 3422.

[16] J Moludi, M Alizadeh, MHS Mohammadzad and M Davari. The effect of probiotic supplementation on depressive symptoms and quality of life in patients after myocardial infarction: Results of a preliminary double-blind clinical trial. Psychosomatic medicine 2019; 81(9), 770-777.

[17] B Chahwan, S Kwan, A Isik, S van Hemert, C Burke and L Roberts. Gut feelings: A randomised, triple-blind, placebo-controlled trial of probiotics for depressive symptoms. Journal of Affective Disorders 2019; 253, 317-326.

[18] D Johnson, S Thurairajasingam, V Letchumanan, KG Chan and LH Lee. Exploring the role and potential of probiotics in the field of mental health: Major depressive disorder. Nutrients 2021; 13(5), 1728.

[19] HM Chen, PH Kuo, CY Hsu, YH Chiu, YW Liu, ML Lu and CH Chen. Psychophysiological effects of lactobacillus plantarum ps128 in patients with major depressive disorder: A preliminary 8-Week open trial. Nutrients 2021; 13(11), 3731.

[20] SJ Yong, T Tong, J Chew and WL Lim. Antidepressive mechanisms of probiotics and their therapeutic potential. Frontiers in Neuroscience 2020; 13, 1361.

[21] Q Zhang, B Chen, J Zhang, J Dong, J Ma, Y Zhang, K Jin and J Lu. Effect of Prebiotics, Probiotics, Synbiotics on Depression: Results from a meta-analysis. BMC Psychiatry 2023; 23(1), 477.

[22] AC Schaub, E Schneider, JF Vazquez-Castellanos, N Schweinfurth, C Kettelhack, JPK Doll, G Yamanbaeva, L Mahlmann, S Brand, C Beglinger, S Borgwardt, J Raes, A Schmidt and UE Lang. Clinical, gut microbial and neural effects of a probiotic add-on therapy in depressed patients: A randomized controlled trial. Translational Psychiatry 2022; 12(1), 227.

[23] M Egger, GD Smith, M Schneider and C Minder. Bias in meta-analysis detected by a simple, graphical test. BMJ 1997; 315(7109), 629-634.

[24] JAC Sterne, AJ Sutton, JPA Ioannidis, N Terrin, DR Jones, J Lau, J Carpenter, G Rucker, RM Harbord, CH Schmid, J Tetzlaff, JJ Deeks, J Peters, P Macaskill, G Schwarzer, S Duval, DG Altman, D Moher and JPT Higgins. Recommendations for examining and interpreting funnel plot asymmetry in meta-analyses of randomised controlled trials. BMJ 2011; 343, 4002.

[25] K Kreuzer, AM Birkl-Toeglhofer, J Haybaeck, A Reiter, N Dalkner, FT Fellendorf, A Maget, M Platzer, M Seidl, LM Mendel, M Lenger, A Birner, R Queissner, M Mairinger, A Obermayer, A Kohlhammer-Dohr, TM Stross, A Haussl, C Hamm, H Schoggl,... , SA Bengesser. PROVIT-CLOCK: A potential influence of probiotics and vitamin b7 add-on treatment and metabolites on clock gene expression in major depression. Neuropsychobiology 2024; 83(3-4), 135-151.

[26] J Companys, L Pla-Paga, L Calderon-Perez, E Llaurado, R Sola, A Pedret and RM Valls. Fermented dairy products, probiotic supplementation, and cardiometabolic diseases: A systematic review and meta-analysis. Advances in Nutrition 2020; 11(4), 843-863.

[27] N Hamjane, MB Mechita, NG Nourouti and A Barakat. Gut microbiota dysbiosis -associated obesity and its involvement in cardiovascular diseases and type 2 diabetes. A systematic review. Microvascular Research 2024; 151, 104601.

[28] M Jiang, L Kang, YL Wang, B Zhou, HY Li, Q Yan and ZG Liu. Mechanisms of microbiota-gut-brain axis communication in anxiety disorders. Frontiers in Neuroscience 2024; 18, 1501134.

[29] X Chang, Y Zhang, X Chen, S Li, H Mei, H Xiao, X Ma, Z Liu and R Li. Gut microbiome and serum amino acid metabolome alterations in autism spectrum disorder. Scientific Reports 2024; 14(1), 4037.

[30] Q Wang, Q Yang and X Liu. The microbiota-gut-brain axis and neurodevelopmental disorders. Protein Cell 2023; 14(10), 762-775.

[31] J Zhao, J Liu, J Feng, X Liu and Q Hu. The gut microbiota-brain connection: Insights into major depressive disorder and bipolar disorder. Frontiers in Psychiatry 2024; 15, 1421490.

[32] JR Kelly, AP Allen, A Temko, W Hutch, PJ Kennedy, N Farid, E Murphy, G Boylan, J Bienenstock, JF Cryan, G Clarke and TG Dinan. Lost in translation? The potential psychobiotic Lactobacillus rhamnosus (JB-1) fails to modulate stress or cognitive performance in healthy male subjects. Brain, Behavior, and Immunity 2017; 61, 50-59.

[33] H Rong, XH Xie, J Zhao, WT Lai, MB Wang, D Xu, YH Liu, YY Guo, SX Xu, WF Deng, QF Yang, L Xiao, YL Zhang, FS He, S Wang and TB Liu. Similarly in depression, nuances of gut microbiota: Evidences from a shotgun metagenomics sequencing study on major depressive disorder versus bipolar disorder with current major depressive episode patients. Journal of Psychiatric Research 2019; 113, 90-99.

[34] E Aizawa, H Tsuji, T Asahara, T Takahashi, T Teraishi, S Yoshida, M Ota, N Koga, K Hattori and H Kunugi. Possible association of Bifidobacterium and Lactobacillus in the gut microbiota of patients with major depressive disorder. Journal of Affective Disorders 2016; 202, 254-257.

[35] H Luan, X Wang and Z Cai. Mass spectrometry-based metabolomics: Targeting the crosstalk between gut microbiota and brain in neurodegenerative disorders. Mass Spectrometry Reviews 2019; 38(1), 22-33.

[36] M Schirmer, SP Smeekens, H Vlamakis, M Jaeger, M Oosting, EA Franzosa, RT Horst, T Jansen, L Jacobs, MJ Bonder, A Kurilshikov, J Fu, LAB Joosten, A Zhernakova, C Huttenhower, C Wijmenga, MG Netea and RJ Xavier. Linking the Human Gut Microbiome to Inflammatory Cytokine Production Capacity. Cell 2016; 167(4), 1125-1136.

[37] Z Ghorbani, S Nazari, F Etesam, S Nourimajd, M Ahmadpanah and SR Jahromi. The effect of synbiotic as an adjuvant therapy to fluoxetine in moderate depression: A randomized multicenter trial. Archives of Neuroscience 2018; 5(2), 60507.

[38] J Godos, W Currenti, D Angelino, P Mena, S Castellano, F Caraci, F Galvano, DD Rio, R Ferri and G Grosso. Diet and mental health: Review of the recent updates on molecular mechanisms. Antioxidants 2020; 9(4), 346.

[39] SZ Alamdary, B Bakhshi and S Soudi. The anti-apoptotic and anti-inflammatory effect of Lactobacillus acidophilus on Shigella sonnei and vibrio cholerae interaction with intestinal epithelial cells: A comparison between invasive and non-invasive bacteria. PLoS One 2018; 13(6), 0196941.

[40] A Najarian, S Sharif and MW Griffiths. Evaluation of protective effect of Lactobacillus acidophilus La-5 on toxicity and colonization of Clostridium difficile in human epithelial cells in vitro. Anaerobe 2019; 55, 142-151.

[41] LC Lew, YY Hor, NAA Yusoff, SB Choi, MSB Yusoff, NS Roslan, A Ahmad, JAM Mohammad, MFIL Abdullah, N Zakaria, N Wahid, Z Sun, LY Kwok, H Zhang and MT Liong. Probiotic Lactobacillus plantarum P8 alleviated stress and anxiety while enhancing memory and cognition in stressed adults: A randomised, double-blind, placebo-controlled study. Clinical Nutrition 2019; 38(5), 2053-2064.

[42] A Kazemi, AA Noorbala, K Azam and K Djafarian. Effect of prebiotic and probiotic supplementation on circulating pro-inflammatory cytokines and urinary cortisol levels in patients with major depressive disorder: A double-blind, placebo-controlled randomized clinical trial. Journal of Functional Foods 2019; 52, 596-602.

[43] L Huang, Z Ma, X Ze, X Zhao, M Zhang, X Lv, Y Zheng and H Liu. Gut microbiota decreased inflammation induced by chronic unpredictable mild stress through affecting NLRP3 inflammasome. Frontiers in Cellular and Infection Microbiology 2023; 13, 1189008.

[44] N Li, Q Wang, Y Wang, A Sun, Y Lin, Y Jin and X Li. Oral probiotics ameliorate the behavioral deficits induced by chronic mild stress in mice via the gut microbiota-inflammation axis. Frontiers in Behavioral Neuroscience 2018; 12, 266.

[45] VL Nikolova, AJ Cleare, AH Young and J Stone. Updated review and meta-analysis of probiotics for the treatment of clinical depression: Adjunctive vs. stand-alone treatment. Journal of Clinical Medicine 2021; 10(4), 647.

[46] N Heidarzadeh-Rad, H Gokmen-Ozel, A Kazemi, N Almasi and K Djafarian. Effects of a psychobiotic supplement on serum brain-derived neurotrophic factor levels in depressive patients: A post hoc analysis of a randomized clinical trial. Journal of Neurogastroenterology and Motility 2020; 26(4), 486-495.

[47] QX Ng, YL Lim, CYL Yaow, W Ng, J Thumboo and TM Liew. Effect of probiotic supplementation on gut microbiota in patients with major depressive disorders: A systematic review. Nutrients 2023; 15(6), 1351.

[48] Y Guo, JP Xie, K Deng, X Li, Y Yuan, Q Xuan, J Xie, XM He, Q Wang, JJ Li and HR Luo. Prophylactic effects of bifidobacterium adolescentis on anxiety and depression-like phenotypes after chronic stress: A role of the gut microbiota-inflammation axis. Front Behav Neurosci 2019; 13, 126.

[49] M Sikorska, AZ Antosik-Wojcinska and M Dominiak. Probiotics as a tool for regulating molecular mechanisms in depression: A systematic review and meta-analysis of randomized clinical trials. International Journal of Molecular Sciences 2023; 24(4), 3081.

[50] MS Cepeda, EG Katz and C Blacketer. Microbiome-gut-brain axis: Probiotics and their association with depression. The Journal of Neuropsychiatry and Clinical Neurosciences 2017; 29(1), 39-44.

[51] H Zulfiqar and U Aslam. Should probiotics be administered as an adjunctive treatment along with antidepressants for major depressive disorder?. Journal of the Pakistan Medical Association 2023; 74(1), 197.

[52] X Li, JM Huan, L Lin and Y Hu. Association of systemic inflammatory biomarkers with depression risk: Results from national health and nutrition examination survey 2005-2018 analyses. Frontiers in Psychiatry 2023; 14, 1097196.

[53] F Giannotta, KW Nilsson, C Aslund and P Larm. Among the swedish generation of adolescents who experience an increased trend of psychosomatic symptoms. Do they develop depression and/or anxiety disorders as they grow older?. BMC Psychiatry 2022; 22, 779.

[54] M Clapp, N Aurora, L Herrera, M Bhatia, E Wilen and S Wakefield. Gut microbiota’s effect on mental health: The gut-brain axis. Clinics and Practice 2017; 7(4), 987.

[55] C DʼMello, N Ronaghan, R Zaheer, M Dicay, T Le, WK MacNaughton, MG Surrette and MG Swain. Probiotics improve inflammation-associated sickness behavior by altering communication between the peripheral immune system and the brain. Journal of Neuroscience 2015; 35(30), 10821-10830.