Trends
Sci.
2025; 22(10): 10726
Therapeutic Potential of Ethyl Acetate Fraction of Purple Sweet Potato (Ipomoea Batatas var. Ayamurasaki) in Inhibiting Airway Remodeling through Regulation of IL-33, Periostin, IgE and TGF-β in A Chronic Asthma Model
Feri Kameliawati1,2,*, Reviono1,3,, Soetrisno1,4, Tonang Dwi Ardyanto1,5,
Brian Wasita1,6, Eti Poncorini Pamungkasari1,7 and Paramasari Dirgahayu1,8
1Doctoral Program of Medical Science, Faculty of Medicine, Universitas Sebelas Maret, Surakarta, Indonesia
2Department of Nursing, Faculty of Health, Universitas Aisyah Pringsewu, Pringsewu, Indonesia
3Department of Pulmonology, Faculty of Medicine, Universitas Sebelas Maret, Surakarta, Indonesia
4Department of Obstetrics and Gynecology, Faculty of Medicine, Universitas Sebelas Maret, Surakarta, Indonesia
5Department of Clinic Pathology, Faculty of Medicine, Universitas Sebelas Maret, Surakarta, Indonesia
6Department of Pathology, Faculty of Medicine, Universitas Sebelas Maret, Surakarta, Indonesia
7Department of Public Health, Faculty of Medicine, Universitas Sebelas Maret, Surakarta, Indonesia
8Department of Parasitology, Sebelas Maret University, Surakarta, Indonesia
(*Corresponding author’s e-mail: [email protected])
Received: 21 May 2025, Revised: 25 May 2025, Accepted: 5 June 2025, Published: 20 July 2025
Abstract
Asthma is one of the most common non-communicable diseases (NCDs) affecting children, with about 1 in 10 children suffering from this condition. This disease causes a significant morbidity burden, including affecting children’s school attendance and adults’ work capacity. This disease is also a significant cause of premature death. The Global Asthma Report (GAR) stated that data from the phase I survey of the Global Asthma Network (GAN) involving more than 450,000 children (ages 6 - 7) or adolescents (ages 13 - 14) in 63 centers from 25 regions during the years 2015 - 2020. The strategy for asthma management includes pharmacological and non-pharmacological approaches. The goal of asthma prevention interventions in children and adolescents is to minimize short-term effects (daily symptoms, sleep disturbances and activity limitations) and the risk of asthma side effects (attacks, persistent airflow limitation and medication side effects). Anthocyanins, a type of flavonoid found in purple sweet potatoes, have potential as antioxidants and anti-inflammatories. Anthocyanins in purple sweet potatoes can be utilized as antioxidants that will influence the prevention of chronic asthma relapse. The aim of the research is to analyze and prove the effect of FEAUJU administration on the immune response of chronic asthma model rats. The method used is a laboratory experimental, where 30 chronic asthma models are randomly divided into 5 groups: The healthy group (K1), the chronic asthma modeling group (K2), the chronic asthma group given prednisolone 0.04 mg/mouse (K3), the chronic asthma group given FEAUJU 300 mg/kgBW (K4) and the chronic asthma group given combination therapy (K5). Examination of IL-33, periostin and IgE using the ELISA method, TGF-β expression with IHC and histopathology of airway remodeling. Analysis using ANOVA and Kruskal-Wallis tests. The results of FEAUJU which contains anthocyanins, flavonoids and antioxidants, are capable of reducing levels of IL33, periostin, IgE and can also improve airway remodeling and lung tissue (TGF-β) has a significant effect with significant p-value < 0.001. FEAUJU provides antioxidant and anti-inflammatory effects as a prevention for chronic asthma relapse.
Keywords: Asthma, Interleukin-33 (IL-33), Periostin, Immunoglobulin E (IgE), Transforming growth factor β (TGF-β), Airway remodeling, Sweet potato, Anthocyanin
Introduction
Asthma is the most common non-communicable disease (NCD) affecting children, with about 1 in 10 children suffering from this condition. Asthma commonly persists into adulthood, affecting about 1 in 15 adults. This disease causes a significant morbidity burden, including affecting children’s school attendance and adults’ ability to work. This disease is also a significant cause of premature death. Global Asthma Report (GAR) stated that from the phase I Global Asthma Network (GAN) survey data involving more than 450,000 children (ages 6 - 7) or adolescents (ages 13 - 14) and their parents or guardians in 63 centers from 25 regions during the years 2015 - 2020 [1]. The recently released 2025 GINA global strategy update for asthma management and prevention includes major changes, namely the diagnosis and management of asthma in children aged 5 years and younger. Global GINA data indicates that there are 652 million children and adults living with COPD or asthma. Data from the World Health Organization (WHO) in 2020 stated that out of 235 million people worldwide, 80% of asthma patients live in developing countries [2]. Asthma data in Indonesia in 2025 reached 400 people. Meanwhile, the number of asthma patients reaching a high mortality rate, with one in 250 people being asthma sufferers. The data and information center of the ministry of health of the republic of Indonesia in 2019 estimated the total prevalence of asthma worldwide to be 7.2% (6% in adults and 10% in children). The decreasing percentage of asthma in children still needs to be monitored by observing the high recurrence rates of asthma in children, which are 68.2% for ages 1 - 4 years and 53.9% for ages 5 - 14 years [3]. The impact of asthma on children is that the child’s condition worsens, preventing them from performing daily activities such as frequently missing school, limiting physical activities and social interactions with peers in the school environment, reduced physical fitness and recurring anxiety. Asthma attacks, if not promptly addressed and prolonged, will lead to a decline in quality of life and disrupt the child’s growth and development [4].
The cause of asthma in children is still unclear, but several factors that trigger it include genotype factors and environmental factors. Genetic predisposition in combination with environmental factors such as allergens and viral infections can contribute to the
development of asthma. Triggers for asthma exacerbations include cold air, dust, cigarette smoke, stress, infections, fatigue, drug allergies and food allergies. One of the factors that cause asthma is allergens, which can stimulate dendritic cells and the epithelium of the respiratory tract. Allergens that enter the respiratory tract penetrate the mucus layer and upon antigen exposure, they will be captured by dendritic cells, which then digest the antigen and present it to T Helper cells. The epithelium damaged by allergen factors stimulates the cytokine alarm TLSP, IL-25 and IL-33, which activate ILC-2, known as innate lymphoid cells that lack receptors. Interleukin 33 (IL-33) is part of the interleukin 1 (IL-1) cytokine family, which is typically expressed by various cell structures such as epithelial cells, endothelial cells and smooth muscle cells. When necrosis occurs in those cells (after tissue damage or cell damage), the unregulated activity of IL-33 triggers an increase in the expression of cytokines and chemokines that worsen disease symptoms; in addition, it is also a crucial regulator of mast cell function. Transforming Growth Factor-β (TGF-β) is a protein secreted to regulate the proliferation, differentiation and death of various types of cells. The production of TGF-β correlates with the degree of subepithelial fibrosis, usually TGF-β increases in patients with allergies and asthma with eosinophilic inflammation. Mast cells degrade, releasing inflammatory mediators and consequently, cytokines will cause the airway epithelium to stretch [5]. In asthma, periostin acts as a pathogenic mediator such as bronchial hyperreactivity, eosinophilic inflammation, airway remodeling, eosinophil recruitment, regulation of mucus production from goblet cells, and subepithelial fibrosis [6]. Helper T cells have T cell receptors to recognize their allergen antigens, then release naive helper T cells (Th0) and helper T cells 2 (Th2), helper T cells 17 (Th17), IL-5, IL-13 and IL-33. IL-5 stimulates B cells to proliferate, which will produce Immunoglobulin E (IgE); IgE also plays a role in the allergic process. Airway remodeling in chronic asthma includes inflammation, proliferation of epithelial cells, bronchial smooth muscle hypertrophy and angiogenesis [7].
The strategy for managing asthma is through pharmacological and non-pharmacological methods. Pharmacological therapy is divided into two types: Reliever and controller medications. The goal of asthma prevention interventions in children and adolescents is to minimize short-term effects (daily symptoms, sleep disturbances and activity limitations) and the risk of asthma side effects (attacks, persistent airflow limitation and medication side effects) [8]. The administration of therapy to asthma patients is already in accordance with the established standards, but the results are not yet optimal, as evidenced by the still high prevalence of asthma relapses in children. Adjunct therapy in this case to prevent asthma recurrence includes anthocyanins, which can reduce airway hyperresponsiveness. One of the herbal plants that contains a lot of anthocyanins and has the potential to be an adjunct therapy for asthma is purple sweet potato [9].
Purple sweet potato (Ipomoea batatas var ayamurasaki) is a plant that grows abundantly in several regions of Indonesia and is easy to obtain. Purple sweet potato is a type of tuber with a deep purple color due to the presence of anthocyanins [10]. Anthocyanins are phytochemicals in the flavonoid class responsible for most of the red to blue colors shown by flowers and other plant parts. They have potential as anti-inflammatory agents associated with antioxidants and free radicals for the prevention of asthma recurrence [11]. The anthocyanin content in purple sweet potatoes is around 32 - 1390 mg/100 g [12]. Purple sweet potatoes have the highest anthocyanin content compared to white, yellow and orange sweet potatoes. The high anthocyanin content in purple sweet potatoes can be utilized as an antioxidant to prevent asthma recurrence, which has led researchers to investigate the effects of purple sweet potatoes (Ipomoea batatas var. ayamurasaki) on the immune response of Wistar rats with a chronic asthma model based on the levels of Interleukin 33, periostin, Immunoglobulin E, TGF-β and airway remodeling.
Materials and methods
Materials
Purple sweet potatoes (Ipomoea batatas CV. Ayamurasaki) used in this study were obtained from the Sukaharjo Village Farmer Group (Coordinates: –5.307187, 104.972802) in Pringsewu District, Lampung, Indonesia. Lampung Province ranks between the 10th and 12th largest sweet potato-producing regions in Indonesia, with an annual yield ranging from 47.239 - 47.408 tons. Since 2022, sweet potato production in this region has contributed approximately 179.81 tons per year, supporting its role as an important agricultural commodity. The harvested tubers were carefully selected based on their maturity, uniformity in size and absence of visible defects. The determination of the harvest period was based on physiological characteristics, such as maximum starch accumulation and fiber content, which indicate optimal tuber development. For early-maturing varieties like Ipomoea batatas CV. Ayamurasaki, harvesting typically occurs between 3 - 3.5 months after planting.
To ensure the botanical accuracy of the collected samples, identification was conducted at the Botany Laboratory, Department of Biology, Faculty of Mathematics and Natural Sciences, University of Lampung (FMIPA UNILA). The identification process confirmed that the specimens belong to the species Ipomoea batatas CV. Ayamurasaki, with reference to voucher number 035/UNILA.BD/VIII/2024. All plant material collection and utilization complied with national and institutional regulations on biodiversity research. Ethical approval and necessary permissions were obtained before sample collection to adhere to scientific and environmental conservation standards.
Fractionation preparation Ipomoea batatas var ayamurasaki
Purple sweet potatoes were washed with running water, drained and sliced, followed by drying in an oven at a temperature of 50 °C. The dried simplicia was mashed, sieved and weighed. The maceration method was used to obtain the powder from purple sweet potatoes (Ipomoea batatas CV. Ayamurasaki). For 72 h at room temperature, 100 g of powdered simplicia were macerated in 1000 milliliters of 96% ethanol. In order to improve the diffusion of bioactive components into the solvent, the mixture was periodically swirled during the maceration process. To remove the solid residue from the liquid extract, the extract was filtered using Whatman No. 1 filter paper after three days. A concentrated ethanol extract was then obtained by removing the solvent from the filtrate using a rotary evaporator set to a regulated temperature of 40 °C. For additional analysis, the concentrated extract was then kept in an airtight container at 4 °C. The first, s and third semi-thick extracts were combined in a porcelain cup and evaporated in a water bath until a thick extract was obtained. Then the thick extract was dissolved in distilled water and filtered with N-Hexane and separated with a separating funnel. N-Hexane was first used in the extraction of purple sweet potatoes (Ipomoea batatas CV. Ayamurasaki) in order to acquire the non-polar fraction. For 72 h at room temperature, 100 g of powdered simplicia were macerated in 1000 mL of N-Hexane. To improve the dissolution of non-polar chemicals into the solvent, the mixture was periodically agitated. To remove the solid residue from the liquid extract, the extract was filtered through a vacuum filter after three days. Ethyl acetate was then used to fractionate the extract that did not dissolve in N-Hexane. It was anticipated that the more polar ethyl acetate would dissolve the non-polar substances that were insoluble in N-Hexane, enabling the extraction of the targeted bioactive substances. One thousand milliliters of ethyl acetate. The extract that did not dissolve in N-Hexane was fractionated with ethyl acetate and then separated with a separating funnel. The extract that dissolved in ethyl acetate was evaporated with a rotary evaporator until a semi-thick fraction was obtained. The semi-thick fraction was evaporated in a water bath until a thick extract was obtained.
Phytochemical analysis
According to letter number 004/SEFA-UMS.B/VIII/24, Ipomoea batatas var. Ayamurasaki was extracted at the Standardization Laboratory of Extracts, Faculty of Pharmacy, Universitas Muhammadiyah Surakarta, Central Java, Indonesia. Using 96% ethanol, the powdered simplicia was macerated for 72 h at room temperature in order to extract it. After filtering, the extract was separated using a liquid-liquid fractionation process with ethyl acetate. This produced an ethyl acetate fraction that included bioactive substances, such as anthocyanins. The fraction was heated to 100 °C for two minutes and treated with 2M HCl to verify the presence of anthocyanins. Anthocyanins were present since there was no color shift. After that, the sample was treated drop by drop with 2M NaOH and the slow fading after the gradual transition from red to blue-green was verified. Characterization of Anthocyanin Compounds Using Thin Layer Chromatography. The filtrate in the flavonoid phytochemical screening was spotted on a silica gel 60 F254 plate, then wiped with butanol: Acetic acid: Water as much as 4:5:1, then dried and observed using UV light at 254 and 366 nm. Furthermore, the plate was sprayed with ammonia, dried and observed again with UV light at 254 and 366 nm. Ipomea batatas L., or purple sweet potato (PSP), is a source of anthocyanins, pigments that can exhibit color changes at different pH values.
Procedure for administration of purple sweet potato ethyl acetate fraction
Fractionation is a separation and grouping of the chemical contents of the extract based on polarity. In the fractionation process two immiscible solvents are used and having different polarity levels [13]. The administration of FEAUJU is given from days 21 - 40 orally using a probe. The ethyl acetate fraction of purple sweet potato was weighed according to the desired dosage, then dissolved with 1 %NaCMC (Sodium Carboxymethylcellulose). The dose of the ethyl acetate fraction of purple sweet potato used in the study is 300 mg/KgBW [14]. To make a 1 %NaCMC solution, dissolve 1 g of NaCMC in 100 milliliters of distilled water, stirring until it dissolves. The calculation of the FEAUJU dose is 300 mg/KgBW with a mouse weight of 200 g = 0.2 kg, so the required dose = 300 mg/kg × 0.2 kg = 60 mg. The suspension to be administered is 3 mL of suspension. Weigh 60 mg of FEAUJU and then mix it with the suspension until it dissolves. The dose to be given to the rats is 60 mg/3mL. So, for a rat weighing 200 g, a 3 mL suspension containing 60 mg of FEAUJU will be administered orally using a probe. A dose of 300 mg/kg body weight is given as 3 mL of suspension, administered as a single 3 mL oral dose using a probe. The FEAUJU dose for rats is the FEAUJU dose for rats × 0.018 = 300×0.018 = 5.4 mg.
Dosage administration of prednisolone dose
Prednisolone was administered to the K3 group Wistar rats at a dose of 1 - 2 mg/KgBW/day. The determination of the prednisolone dose in this study is based on estrogen therapy for chronic asthma. After converting the dose for humans with a body weight of 70 kg to rats with a body weight of 200 g, the following dose was obtained: The standard therapeutic dose for a rat weighing 200 g is 0.018, so the dose is calculated as 0.018×2 mg = 0.036 mg, rounded to 0.04 mg/200 g rat body weight. This dose is administered orally through a tube starting from day 21 until day 40.
Chronic asthma model rats
The research was conducted from May to July 2024 after receiving approval from the Health Research Ethics Committee of the Faculty of Medicine, Sebelas Maret University (KEPK FK UNS) with protocol No. EC/ID: 107/02/05/2023. In this study, the sample size was determined using the WHO standard for research involving laboratory animals, which is five laboratory animals for each research group. Chronic allergic asthma model rats are rats that are sensitized on days 0 and 14 with 10 µg ovalbumin (OVA) per rat and 1 mg aluminum hydroxide in 0.5 cc of 0.9 %NaCl per rat.
Figure 1 Modeling of acute, subacute and chronic asthma animal models.
The chronic asthma model animals were desensitized using 10 µg OVA and 1 mg aluminum hydroxide in 0.9 %NaCl, 0.5 mL intraperitoneally on day 0 and days 14. This was followed by administering 1 %OVA in 0.9 %NaCl aerosol for 30 min, three times a week, from day 21 to days 63. The determination of the animal model was successful based on several assessments, namely total cells, eosinophils, neutrophils and specific Ig E. In this study, two assessment indicators will be used to determine the chronic model animals, which are the eosinophil count (5.96 ± 7.75×103) and neutrophil count (5.89 ± 4.59×103). The determination of the chronic asthma model animals can also be observed on day 41, starting from day 23 to days 40, where 1 %OVA in 0.9 %NaCl was administered as an aerosol for 30 min, three times a week. On day 41, blood serum was collected for the examination of IL-33, periostin and IgE and lung organs were collected for immunohistochemistry of TGF-β and histopathology of airway remodeling.
Figure 2 Chronic asthma model rats [15].
Examination of IL-33 levels, periostin levels, Immunoglobulin E levels, TGF-β and Airway remodeling
Examination of IL 33 levels, periostin levels and Immunoglobulin E levels using serum blood samples processed with an ELISA KIT, TGF-β examination using immunohistochemical staining techniques through the indirect immunoperoxidase staining method, three phases with Avidin Biotin Complex (ABC). Airway remodeling was examined using the histopathological method of lung tissue.
Data analysis
Data analysis begins with the normality test using the Shapiro-Wilk test. Next Data on the levels of Interleukin-33 (IL-33) on H15 and H41 were measured using a one-way ANOVA test. If the analysis results show a significant difference and the data is not homogeneous on H41, a post hoc Games-Howell test will be conducted to see the differences between treatment groups. Data on periostin and IgE levels on days 15 and 41 were measured using a one-way ANOVA test. If the analysis results show a significant difference, a post Hoc Tukey’s HSD test will be conducted to examine the differences between treatment groups. Data regarding TGF-β and airway remodeling (lung inflammation, epithelial cell proliferation and smooth muscle hypertrophy) were measured using the non-parametric Kruskal-Wallis test. If the analysis results show a significant difference, a post hoc Mann-Whitney test will be conducted to observe the differences between treatment groups. Data analysis was conducted using the Statistical Product and Service Solutions (SPSS) version 24.0 for Windows.
Results and discussion
Liquid Chromatography Tandem Mass Spectrometry Quadrupole Time-of-Flight (LCMS/MS QTOF)
The results of the LCMS/MS QTOF (Liquid Chromatography-Mass Spectrometry/Tandem Mass Spectrometry Quadrupole Time-of-Flight) analysis are shown
Figure3.
Figure 4 Liquid chromatography-mass spectrometry/tandem mass spectrometry quadrupole time-of-flight) analysis.
Explanation: (A) Retention Time (RT) of (3R,4S)-3,4-Dihydroxy-3-(3′,4′-dimethoxybenzyl)-7-methoxy-chroman at 9.12 min. (B) Retention Time (RT) of 2′-Hydroxy-4′,6′-dimethoxydihydrochalcone at 12.08 min (C) Retention Time (RT) of 6,7-Dihydroxy-2-(2-phenylethyl) chromone at 7.84 min. (D) Retention Time (RT) of 6-Methoxy-2-(2-phenylethyl) chromone at 7.64 min. (E) Retention Time (RT) of 6-Methoxy-2-[2-(3'methoxyphenyl) ethyl] chromone at 8.05 min. (F) Retention Time (RT) of 6-Methoxy-2-[2-(4'methoxyphenyl) ethyl] chromone at 13.98 min. (G) Retention Time (RT) of Leachianone G at 11.22 min. (H) Retention Time (RT) of Methyl ophiopogonanone B at 6.85 min. (I) Retention Time (RT) of Noranhyoicaritin at 13.41 min and (J) Retention Time (RT) of Porachalcone A at 13.61 min.
The effect of ethyl acetate fraction of purple sweet potato on IL-33, periostin and IgE Levels
Description of I-33, periostin and IgE levels
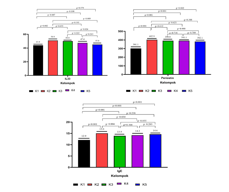
Table 1 shows that all pre-test data (after OVA induction and before FEAUJU treatment, specifically data from day 15). The data were first analyzed descriptively to obtain the average values of all groups. The average values in K1 for IL33, periostin and IgE were lower compared K2, K3, K4 and K5 (43.91 ± 2.01; 301.19 ± 15.50; 12.06 ± 0.60). This indicates that the success of the asthma model is seen from the increase in average values compared to the healthy rat group. All groups were declared to have a normal distribution with Saphiro-Wilk (SW) values greater than 0.05 and were declared homogeneous with all homogeneity test p-values greater than 0.05, namely 0.421, 0.147 and 0.561.
Table 1 Description of IL-33, periostin and IgE data.
No |
Variabel |
Kelompok |
p-value |
|||||||||||
K1 |
K2 |
K3 |
K4 |
K5 |
||||||||||
Mean |
||||||||||||||
1 |
IL-33 |
43.91 |
50.98 |
50.04 |
47.45 |
45.07 |
|
|
||||||
|
Std.deviasi |
2.01 |
2.52 |
3.54 |
4.03 |
5.00 |
|
|
||||||
|
Shapiro wilk |
0.759* |
0.059* |
0.932* |
0.515* |
0.133* |
|
|
||||||
|
Levene test |
|
|
|
|
|
0.421** |
|
||||||
|
Anova |
|
|
|
|
|
0.008*** |
|
||||||
2 |
Periostin |
301.19 |
402.96 |
390.80 |
391.11 |
382.15 |
|
|
||||||
|
Std.deviasi |
15.50 |
37.66 |
58.25 |
29.51 |
50.00 |
|
|
||||||
|
Shapiro wilk |
0.213* |
0.996* |
0.200* |
0.840* |
0.067* |
|
|
||||||
|
Levene Test |
|
|
|
|
|
0.147** |
|
||||||
|
Anova |
|
|
|
|
|
0.002*** |
|
||||||
3. |
IgE |
12.06 |
15.07 |
13.90 |
14.24 |
14.63 |
|
|
||||||
|
Std.deviasi |
0.60 |
0.55 |
0.42 |
0.47 |
0.94 |
|
|
||||||
|
Shapiro wilk |
0.312* |
0.236* |
0.970* |
0.467* |
0.943* |
|
|
||||||
|
Levene test |
|
|
|
|
|
0.561** |
|
||||||
|
Anova |
|
|
|
|
|
< 0.001*** |
|
||||||
Based on the homogeneity and normality tests, the differences between groups regarding IL-33, periostin and IgE levels were subsequently analyzed using a one-way ANOVA test, yielding p-values < 0.05 (0.008, 0.002 and < 0.001), which indicates significant differences among all groups. Next, a Tukey HSD post-hoc test can be conducted to determine which groups have significant differences.
Figure
5
The results of the Tukey HSD posthoc test.
Figure 5 It is known that the mean levels of IL-33, periostin and IgE in the K2, K3, K4 and K5 groups are higher than in the healthy K1 group. The analysis results show that the average levels of IL-33, periostin and IgE in the healthy group (K1) were significantly different from the groups induced with OVA as an asthma model (K2, K3, K4 and K5) with all p-values < 0.001. The results indicate that the administration of OVA significantly affects the increase in the levels of IL-33, periostin and IgE indicators. Furthermore, the results indicate that there are no differences in the average levels of IL-33, periostin and IgE among the asthma model groups/OVA-induced groups (K2, K3, K4 and K5) with p-values > 0.05. The results indicate that the average levels of IL-33, periostin and IgE in the asthma model groups were the same and comparable from the beginning before treatment with the ethyl acetate fraction of purple sweet potato. Significant differences were still found between K2 and K3 in IgE (p-values = 0.004), K2 and K4 (p-values = 0.030), however, the increase in IgE levels in K5 was already the same and comparable (p-values = 0.238). In IL-33, significant differences were also found between K2 and K5 (p-values = 0.009) and K3 and K5 (p = 0.024), with an increase observed in K4 (p-values = 0.263). Based on these results, the levels of IL-33 and IgE in the asthma model group can be considered comparable from the beginning.
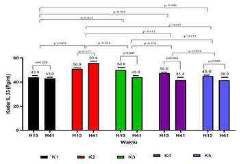
Characteristics of IL-33 levels, periostin Levels, IgE before and after administration of purple sweet potato ethyl acetate fraction
Figure 6 shows that the average IL-33 levels after the administration of the ethyl acetate fraction of purple sweet potato decreased in all groups. The lowest decrease in serum IL-33 in the rats occurred in the K5 group, which consisted of rats with chronic asthma (OVA) that were given a combination dose of prednisolone and ethyl acetate fraction of purple sweet potato. The average serum periostin after treatment with the ethyl acetate fraction of purple sweet potato decreased in all groups. The lowest decrease in serum periostin levels in mice occurred in the K5 group, which consisted of mice with chronic asthma (OVA) treated with a combination of prednisolone and ethyl acetate fraction of purple sweet potato. The average serum IgE after treatment with the ethyl acetate fraction of purple sweet potato decreased in all groups. The decrease in serum IgE levels in mice occurred in groups K3, K4 and K5, which are the groups of mice induced with chronic asthma (OVA) and given a single dose of the ethyl acetate fraction of purple sweet potato as well as a combination dose.
Figure 6 The difference in mean IL-33 levels, Periostin level, anda IgE levels before and after the administration of the ethyl acetate fraction of purple sweet potato; K1 = normal rats, K2 = chronic asthma rats, K3 = chronic asthma rats treated with standard therapy (prednisolone 0.04 mg/kg body weight/day), K4 = chronic asthma rats treated with FEAUJU 300 mg/kg body weight, K5 = chronic asthma rats treated with combination therapy (prednisolone 0.04 mg/kg body weight/day and FEAUJU 300 mg/kg body weight).
The effect or influence of ethyl acetate fraction of purple sweet potato on TGF-β expression
TGF-β (Transforming Growth Factor Beta) is a profibrotic cytokine that has the ability to induce the formation of collagen and extracellular matrix, which play a role in tissue fibrosis. TGF-β in lung tissue is performed using immunohistochemistry (IHC), which is used to assess TGF-β expression.
Figure 7 Average levels TGF-β.
Figure 7 Shows that the average expression of TGF-β in bronchial tissue after FEAUJU treatment. The research results show a significant variation among the treatment groups. The K2 group showed the highest average TGF-β expression, with an average of 5.66, indicating a high TGF-β expression. On the other hand, the lowest average TGF-β expression was found in the K5 group with an average of 2.66. This decrease indicates the effectiveness of the treatment combination in suppressing TGF-β expression, approaching normal levels.
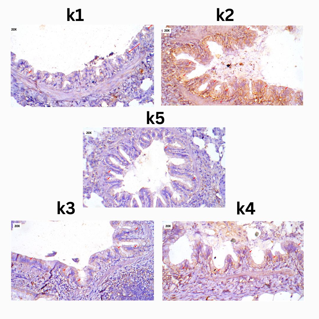
Figure 8 TGF-β Expression in Bronchial Epithelium (200x Microscope Magnification).
Figure 8 shows the comparison of TGF-β expression in bronchial epithelium through IHC staining in various treatment groups. The brown staining in the cytoplasm (indicated by the red arrow) illustrates areas with positive TGF-β expression. The highest expression was found in the K2 group (chronic asthma model) with 90% of the cytoplasmic area positive, while the lowest expression was found in the K1 group (healthy control) with 5% of the positive area. The combination group of prednisolone and FEAUJU (K5) is effective in significantly reducing TGF-β expression in the bronchial epithelium, approaching the healthy control group. This confirms the role of combination therapy in suppressing inflammation in chronic asthma.
Effect or influence of ethyl acetate fraction of purple sweet potato on airway remodeling
Airway remodeling is a structural change that occurs in the airways due to chronic inflammation, such as in asthma. This process involves various mechanisms, including the infiltration of inflammatory cells, epithelial damage and thickening of the airway walls. Inflammation in the lungs plays a key role in triggering airway remodeling by inducing changes in the tissue, such as epithelial cell hyperplasia, extracellular matrix (ECM) accumulation and subepithelial fibrosis. Analysis using Hematoxylin-Eosin (HE) staining allows for the identification of histopathological characteristics of inflammation, such as infiltration of inflammatory cells, tissue edema, epithelial damage and hypertrophy of bronchial smooth muscle.
Figure 9 Airway remodelling score.
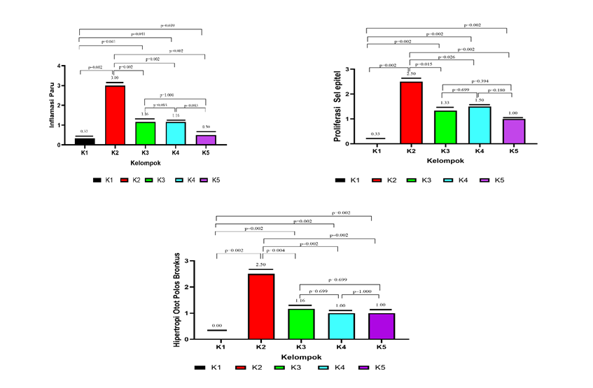
Figure 9 shows the reduction of lung inflammation in rats given the ethyl acetate fraction of purple sweet potato. Group K1 (the healthy rat group) showed the lowest level of inflammation (0.33), which means a normal condition without exposure to allergens or irritants. On the other hand, the K2 group (OVA 1% modeling) had the highest inflammation score (3.00), indicating that the administration of 1 %OVA induction for 40 days can increase lung inflammation in chronic asthmatic rats. K3 and K4 showed a significant decrease in the inflammation score to 1.16, indicating the anti-inflammatory effects of each treatment. K5 has an inflammation score of 0.50, close to group K1, which indicates the synergistic effectiveness of the combination (prednisolone and FEAUFU) in suppressing lung inflammation.
The decrease in inflammation scores in the treatment group indicates that prednisolone and FEAUFU have significant anti-inflammatory activity, both individually and in combination. Proliferation of bronchial epithelial cells in chronic asthma model rats. Group K1 (the healthy rat group) showed the lowest level of bronchial epithelial cell proliferation (0.33), indicating a normal condition without exposure to allergens or irritants. On the other hand, group K2 (OVA 1% modeling) had the highest inflammation score (2.50), indicating that the administration of OVA 1% induction for 40 days can increase the proliferation of bronchial epithelial cells in chronic asthmatic mice. K3 (OVA + Prednisolone group) showed a significant reduction in bronchial epithelial cell proliferation to 1.33, although still higher than K1, indicating that prednisolone is effective in reducing bronchial epithelial proliferation and K4 showed a significant decrease in the inflammation score to 1.50, indicating the effect of prednisolone. K5 has a proliferation score of 1.00, close to group K1, indicating the synergistic effectiveness of the combination (prednisolone and FEAUJU) in suppressing the proliferation of bronchial epithelial cells in the lungs. The effect of FEAUJU on the expression of smooth muscle hypertrophy. Group K1 (the healthy rat group) showed the lowest level of bronchial epithelial proliferation (0.00), indicating the absence of smooth muscle hypertrophy. On the other hand, group K2 (OVA 1 % modeling) had the highest inflammation score (2.50), indicating that the administration of OVA 1% induction for 40 days can increase smooth muscle hypertrophy. K3 (the OVA 1% group given Prednisolone) showed a significantly reduced smooth muscle hypertrophy expression to 1.16 compared to K2, indicating the effectiveness of prednisolone in reducing hypertrophy caused by OVA. K4 and K5 showed the same smooth muscle hypertrophy value, which is 1.00. This means that the combination of the two treatments does not provide any significant additional effect compared to the FEAUJU treatment.
Discussion
This study aims to evaluate the effect of the ethyl acetate fraction of purple sweet potato (Ipomoea batatas var. ayamurasaki) on the immune response in a chronic asthma model in rats. Chronic asthma is an inflammatory respiratory disease characterized by airway hyperresponsiveness, increased levels of immunoglobulin E (IgE) and elevated inflammatory mediators such as interleukin-33 (IL-33) and periostin. Additionally, the airway remodeling process, which involves the transformation and alteration of tissue structure, is also frequently observed in chronic asthma patients. The administration of the ethyl acetate fraction of purple sweet potato has the potential to reduce sensitivity to allergens and inhibit excessive immune response activity, which explains that the bioactive compounds in the fraction have immunomodulatory effects that can suppress allergic reactions associated with increased IgE. In addition, it can reduce immune cell activity and prevent the development of airway remodeling respiratory tract inflammation. Overall, this study shows that the ethyl acetate fraction of purple sweet potato acts as an antioxidant, anti-inflammatory and immunomodulator, demonstrating a decrease in IgE, IL 33, periostin, TGF-β levels and significantly improving airway remodeling in chronic asthma model animals.
Chronic asthma is a respiratory disease characterized by long-term inflammation of the airways, causing narrowing and hyperresponsiveness of the airways to various stimuli. Chronic asthma begins with external triggers (such as allergens or infections) that cause the immune system to respond excessively. These triggers cause the activation of T-helper 2 (Th2) cells and the release of pro-inflammatory cytokines, including IL-4, IL-5 and IL-13. These cytokines increase the production of immunoglobulin E (IgE) by B cells, which then play a role in allergic reactions.
Interleukin-33 (IL-33) is produced by various types of cells, primarily by epithelial cells of the respiratory tract and endothelial cells of blood vessels. In addition, IL-33 can also be produced by fibroblasts and dendritic cells in response to stimuli such as allergens, air pollution, or infection. Physiologically, IL-33 exists in an inactive or dormant form and is usually stored within the cell membrane. However, when cell damage occurs, IL-33 will be released as an alarm to signal the immune system. The breakdown or release of IL-33 occurs in response to inflammation, tissue damage, or oxidative stress, which often happens in diseases like asthma [16].
After being released, IL-33 binds to the ST2 receptor located on the surface of mast cells and Th2 cells, as well as eosinophils. Mast cells are immune cells that are highly involved in allergic reactions and inflammation. When IL-33 binds to the ST2 receptor on mast cells, it triggers mast cell degranulation and the release of inflammatory mediators such as histamine, leukotrienes and prostaglandins. IL-33 plays an important role in activating T-helper 2 (Th2) cells, which function to regulate allergic immune responses. After IL-33 binds to the ST2 receptor on Th2 cells, these cells produce a number of important inflammatory cytokines, including IL-4, IL-5 and IL-13. IL-33 induces the release of IL-5, which stimulates the production of eosinophils, as well as activates eosinophils already present in the respiratory tract. Eosinophils release eosinophil peroxidase and eosinophil cationic protein (ECP) that damage the airway epithelium, exacerbate inflammation and contribute to fibrosis and thickening of the airway walls, which are characteristic of airway remodeling in asthma [17].
Periostin is an extracellular matrix protein that plays a role in various biological processes, such as tissue remodeling and tissue repair. Periostin is expressed by various cells, including fibroblasts, smooth muscle cells, endothelial cells and epithelial cells. The synthesis of periostin is greatly influenced by factors such as pro-inflammatory cytokines, especially IL-13 and IL-4, which are produced by T helper 2 (Th2) cells in the allergic response. IL-13, which is one of the main cytokines in the pathogenesis of asthma, can increase periostin expression through the JAK-STAT pathway. The increased expression of periostin contributes to the process of airway remodeling [18].
Immunoglobulin E (IgE) is an antibody that plays a central role in the pathogenesis of chronic asthma, particularly in the mechanism of allergic reactions that occur in response to allergen exposure. IgE is part of the body’s immune system, produced by B cells and plays a role in identifying and binding allergens, thereby triggering a series of profound inflammatory events in the respiratory tract [19]. This process begins with the sensitization phase until the occurrence of a type I hypersensitivity reaction, which causes chronic inflammation and airway remodeling. The sensitization phase is when the allergen enters the body, the particles are recognized by dendritic cells that will process the allergen and present it to T-helper 2 (Th2) cells [20]. These Th2 cells, with the help of cytokines such as IL-4, IL-5 and IL-13, will stimulate B cells to produce IgE. The produced IgE will then bind to the FcεRI receptor present on the surface of mast cells and basophils. These mast cells and basophils will become “sensitive” to the same allergen, ready to react if re-exposure occurs.
Transforming Growth Factor-β (TGF-β) is a multifunctional cytokine known to play a role in various biological processes, including cell proliferation, differentiation, apoptosis and immune response. Cell proliferation is the process of cell division and growth that leads to an increase in cell number [21]. TGF-β plays a role in regulating cell proliferation by controlling the cell cycle. TGF-β can stimulate the proliferation of smooth muscle cells in the airways, which contributes to the process of airway remodeling and thickening of the airway walls, differentiation of fibroblast cells into collagen-producing cells, which play a role in the formation of connective tissue or fibrosis [22]. TGF-β can suppress excessive immune responses to prevent tissue damage due to chronic inflammation. Under normal conditions, TGF-β helps regulate the balance between inflammatory and anti-inflammatory responses and functions to control the activation of immune cells such as T lymphocytes and macrophages. In chronic asthma conditions, TGF-β is involved in enhancing the immune response to allergens, causing chronic inflammation and excessive activation of immune cells, which contributes to the development of symptoms such as shortness of breath and wheezing. TGF-β plays an important role in airway remodeling, immune response regulation and the formation of fibrotic tissue that contributes to the worsening of the patient’s condition [23].
Airway remodeling is a structural change that occurs in the airways in response to chronic inflammation, which is one of the hallmarks of chronic asthma. This process involves several interconnected mechanisms, such as inflammation, epithelial cell proliferation and smooth muscle hypertrophy, all of which contribute to the decline in airway function, thickening of the airway walls and increased airflow resistance [24]. The inflammatory process begins with the activation of the immune system responding to allergens. This inflammation is influenced by the continuous activity of Th2 cells, eosinophils and mast cells, leading to damage to the respiratory tract tissue and resulting in remodeling. Epithelial cell proliferation is the damage to the respiratory epithelium due to ongoing inflammation [25].
After an injury or damage occurs to the epithelial cells of the respiratory tract, the body attempts to repair it by stimulating the proliferation of epithelial cells. This proliferation is necessary to repair the damaged tissue, but in chronic asthma, excessive epithelial cell proliferation can lead to the multiplication of goblet cells that produce excessive mucus [26]. Hypertrophy of smooth muscle causes thickening of the airway walls, leading to decreased airway elasticity and worsening airway obstruction. This thickening also reduces the airways’ ability to expand and contract, leading to difficulty breathing, especially during an asthma attack. Smooth muscle hypertrophy causes thickening of the airway walls, leading to decreased airway elasticity and worsening airway obstruction. This thickening also reduces the airways’ ability to expand and contract, leading to difficulty breathing, especially during an asthma attack [27].
Purple sweet potato (Ipomoea batatas var. ayamurasaki) is one type of tuber that is rich in bioactive compounds, antioxidants and phytochemicals beneficial for health. Contains compounds with potential as anti-inflammatory, antimicrobial, antioxidant and anticancer agents. Purple sweet potatoes are known for their anthocyanin content, which are flavonoid pigments that give the tuber its purple color. This compound has strong antioxidant properties, which are very important in combating cell damage caused by free radicals that can trigger inflammation and degenerative diseases. The total anthocyanin content test results showed a value of 28.9 ± 1.4 mg/g for the ethyl acetate fraction of purple sweet potato. In addition, the examination of total flavonoid content in the ethyl acetate fraction of purple sweet potato yielded a value of 81.8 ± 2.5 mg/g quercetin equivalent. further examination with LCMS/MS QTOF to detect active compounds from the ethyl acetate fraction of purple sweet potato.
Anthocyanins are antioxidant compounds that have the ability to reduce inflammation and oxidative stress in the body. Anthocyanins work by binding to free radicals (reactive oxygen species/ROS), which often increase in chronic inflammatory conditions such as asthma. By neutralizing free radicals, anthocyanins help reduce oxidative damage to the respiratory tract tissues, which become more susceptible to inflammation in asthma. Although anthocyanins can reduce oxidative damage and inhibit several inflammatory pathways, their direct influence on IL-33 production is more limited. Anthocyanins are more effective in reducing inflammation in general, but they do not fully regulate the expression of IL-33 triggered by respiratory epithelial cells [28]. Combination therapy combines the anti-inflammatory benefits of anthocyanins, which work through antioxidant mechanisms and general inflammation reduction, with the ability of prednisolone to directly reduce IL-33 production and regulate specific inflammatory pathways. The synergy of these two therapies results in a more significant reduction of IL-33 and an improvement in the management of inflammation symptoms in chronic asthma.
Increased levels of periostin lead to the accumulation of collagen and other extracellular matrix proteins, which can worsen airway obstruction and increase airway resistance, causing symptoms such as shortness of breath and chronic cough [29]. Excessive production of periostin can lead to thickening of the smooth muscle layer in the walls of the airways, which in turn causes narrowing of the airways. The significant decrease in IgE levels can be explained through an immunomodulation mechanism mediated by bioactive compounds such as flavonoids and anthocyanins, which are known to have anti-inflammatory and antioxidant properties. These compounds work by inhibiting Th2 cell activation and IL-4 production, which is a cytokine involved in IgE production. Increased collagen expression can contribute to tissue fibrosis, one of the hallmarks of diseases involving tissue remodeling processes such as chronic asthma and pulmonary fibrosis. Smad also regulates the process of fibroblast differentiation into myofibroblasts, which have the ability to produce more collagen and extracellular matrix. Myofibroblasts play an important role in the process of fibrosis because they have contractility that allows them to influence tissue elasticity. The activity of the TGF-β/Smad signaling pathway plays an important role in airway remodeling and can be a potential therapeutic target for asthma [30].
The administration of FEAUJU can inhibit the activation of NF-κB, which in turn reduces the expression of inflammatory cytokines such as TNF-α, IL-4 and IL-13. This inhibition reduces the infiltration of eosinophils and other inflammatory cells into lung tissue, which is important in controlling inflammation and preventing the worsening of asthma symptoms. Epithelial cell proliferation is one of the key processes in airway remodeling, contributing to the thickening of airway walls and increased mucus production, which over time can worsen asthma symptoms. This process is mediated by various inflammatory mediators, including pro-inflammatory cytokines such as IL-4, IL-13 and TGF-β, which can stimulate epithelial cell proliferation and lead to metaplasia and dysplasia changes [26]. In this study, it was found that the group receiving combination therapy experienced a significant decrease in epithelial cell proliferation compared to the control group and the group that only received prednisolone or FEUJU separately.
Prednisolone therapy is known to have a strong anti-inflammatory effect through the inhibition of inflammatory mediator production and the reduction of T cell and eosinophil activity, which play a role in the inflammatory process of asthma. Prednisolone can reduce the infiltration of inflammatory cells and decrease the production of cytokines that stimulate epithelial cell proliferation [31]. Meanwhile, the ethyl acetate fraction of purple sweet potato (FEUJU) has potential as an antioxidant and anti-inflammatory agent that can inhibit inflammatory activity in the respiratory tract, reduce mast cell activation and lower pro-inflammatory cytokine levels, which can also help reduce epithelial cell proliferation. Calculation of FEAUJU dose conversion in humans is 5.4 mg
Inflammation that occurs in the respiratory tract due to allergic reactions or exposure to irritants stimulates the activation of immune cells such as eosinophils and T lymphocytes. This activation causes the release of inflammatory cytokines, including IL-4, IL-5, IL-13 and TGF-β, which contribute to the airway remodeling process. The increased production of these cytokines leads to the activation of various signaling pathways such as NF-κB, which plays a role in the proliferation of smooth muscle cells and the enlargement of cell size. As a result, the smooth muscles of the airways undergo hypertrophy, leading to increased airway resistance, worsening obstruction symptoms [32]. Explaining that anthocyanins have been proven to have anti-inflammatory effects that can inhibit the processes that trigger smooth muscle hypertrophy. As an antioxidant, anthocyanins function to reduce oxidative stress, which is often one of the main causes of inflammation in the body. Several studies have shown that anthocyanins can modulate signaling pathways involved in smooth muscle hypertrophy, such as the NF-κB, TGF-β and MAPK pathways. Anthocyanins function to reduce the secretion of pro-inflammatory cytokines such as IL-4 and IL-13, which play a role in the inflammation and remodeling processes of the airways in asthma. Further development of this fraction as a supplement for chronic asthma therapy that can prevent chronic asthma recurrence or worsen chronic asthma conditions.
Conclusions
This study reveals that the ethyl acetate fraction of purple sweet potato significantly reduces the levels of biomarkers IL-33, periostin, IgE and TGF-β and improves the remodeling process of the respiratory tract in a chronic asthma model. The effect is supported by the antioxidant and anti-inflammatory activities derived from the high content of anthocyanins and flavonoids in the fraction. These findings open up opportunities to develop the ethyl acetate fraction of purple sweet potato as an effective adjunct therapy in preventing chronic asthma recurrence and inhibiting disease progression. Further development of this fraction as a supplement for chronic asthma therapy that can prevent chronic asthma relapses or worsen chronic asthma conditions. This study did not conduct a dose test to determine the most effective dose of the ethyl acetate fraction of purple sweet potato as a single dose. In this study, only total anthocyanins were detected; however, the specific types of anthocyanins present in the ethyl acetate fraction of purple sweet potato have not yet been detected due to the lack of standards in laboratories in Indonesia. Further research is needed to test this effect on clinical models and confirm the underlying molecular mechanisms.
Acknowledgements
His research was Financially by Aisyah Lampung Foundation, Indonesia with the verified by certificate No.01/037/YAL/2022 for financial.
Declaration of Generative AI in Scientific Writing
In the course of preparing this manuscript, generative artificial intelligence tools, notably OpenAI's ChatGPT, were employed to enhance the language quality, correct grammatical errors, and improve the clarity of the text. These AI-assisted processes contributed to refining the manuscript's overall readability. However, all scientific aspects, including the formulation of the study design, data analysis, interpretation of results, and the drawing of conclusions, were entirely conceptualized and rigorously reviewed by the authors. The authors assume full accountability for the integrity, originality, and accuracy of the content presented in this manuscript.
CRediT Author Statement
Feri Kameliawati: Conceptualization, Methodology, Investigation, Formal analysis, Data curation, Writing – Original Draft.
Reviono: Supervision, Conceptualization, Expertise in pulmonology, Writing – Review and Editing.
Soetrisno: Supervision, Validation, Writing – Review and Editing.
Tonang Dwi Ardyanto: Supervision, Methodology, Research design, Data analysis, Interpretation of results, Writing – Review and Editing.
Brian Wasita: Validation, Resources, Tissue examination preparation, Interpretation of result, Writing – Review and Editing.
Eti Poncorini Pamungkasari: Data analysis, Methodology, Research design, Writing – Review & Editing.
Paramasari Dirgahayu: Project administration, Research preparation, Methodology, Writing – Review & Editing.
References
[1] Global Asthma Network. The global asthma report 2025: Patient stories. Global Asthma Network, Auckland, New Zealand, 2025.
[2] Global Initiative for Asthma. Global strategy for asthma management and prevention. Global Initiative for Asthma, Wisconsin, 2025.
[3] DP Simamora, DS Napitupulu, SR Bangun, P Studi and T Laboratorium. Factors related regarding the asthma rate in children at the pediatric room of RSUD Bob Bazar Kalianda. Jurnal Medika Malahayati 2024; 11(2), 337-340.
[4] K Abbass, MZ Qasim, H Song, M Murshed, H Mahmood and I Younis. A review of the global climate change impacts, adaptation and sustainable mitigation measures. Environmental Science and Pollution Research 2022; 29(28), 42539-42559.
[5] D Hermawan, K Kisrini and DH Prasetyo. Ekstrak patikan kebo (Euphorbia hirta L.) menurunkan hitung eosinofil bronkus pada tikus wistar model asma alergi. Ad‑Dawaa’ Journal of Pharmaceutical Sciences 2019; 2(1), 16-21.
[6] A Kumar, MMS Cabral-Pinto, AK Chaturvedi, AA Shabnam, G Subrahmanyam, R Mondal, DK Gupta, SK Malyan, SS Kumar, SA Khan and KK Yadav. Lead toxicity: Health hazards, influence on food chain and sustainable remediation approaches. International Journal of Environmental Research and Public Health 2020; 17(7), 2179.
[7] K Sachdeva, DC Do, Y Zhang, X Hu, J Chen and P Gao. Environmental exposures and asthma development: Autophagy, mitophagy and cellular senescence. Frontiers in Immunology 2019; 29(10), 1-16.
[8] A Papi, C Brightling, SE Pedersen and HK Reddel. Asthma. The Lancet 2018; 391(10122), 783-800.
[9] B Grebla-Al-Zaben, VB Abalau-Fuss, SE Biris-Dorhoi, I Talos and M Tofana. A review of the composition and health benefits of sweet potato. Bulletin of the University of Agricultural Sciences and Veterinary Medicine Cluj-Napoca: Food Science and Technology 2019; 78(1), 1-10.
[10] A Li, R Xiao, S He, X An, Y He, C Wang, S Yin, B Wang, X Shi and J He. Research advances of purple sweet potato anthocyanins: Extraction, identification, stability, bioactivity, application and Biotransformation. Molecules 2019; 24(21), 3816.
[11] C Adaku, I Skaar, R Byamukama, M Jordheim and ØM Andersen. Anthocyanin profile and antioxidant property of anti-asthma flowers of cordyline terminalis (L.) kunth (Agavaceae). Natural Product Communications 2020; 15(5), 1-6.
[12] J Xu, X Su, S Lim, J Griffin, E Carey, B Katz, J Tomich, JS Smith and W Wang. Characterisation and stability of anthocyanins in purple-fleshed sweet potato P40. Food Chemistry 2015; 186, 90-96.
[13] F Latif, Safira, Naid, Tadjuddin and Fitriana. Aktivitas antibakteri fraksinasi ekstrak daun pandan wangi (pandanus amaryllifolius) terhadap bakteri escherichia coli menggunakan metode KLT-Bioautografi. Makassar Pharmaceutical Science Journal 2023; 1, 195-203.
[14] SJ Park, WH Shin, JW Seo and EJ Kim. Anthocyanins inhibit airway inflammation and hyperresponsiveness in a murine asthma model. Food and Chemical Toxicology 2007; 5(8), 1459-1467.
[15] VR Thakur, V Khuman, JV Beladiya, KK Chaudagar and AA Mehta. An experimental model of asthma in rats using ovalbumin and lipopolysaccharide allergens. Heliyon 2019; 5(11), e02864.
[16] C Cayrol. Il-33, an alarmin of the il-1 family involved in allergic and non allergic inflammation: Focus on the mechanisms of regulation of its activity. Cells 2022; 11(1), 107.
[17] BCL Chan, CWK Lam, LS Tam and CK Wong. IL33: Roles in allergic inflammation and therapeutic perspectives. Frontiers in Immunology 2019; 10, 364.
[18] E Sonnenberg-Riethmacher, M Miehe and D Riethmacher. Periostin in Allergy and Inflammation. Frontiers in Immunology 2021; 12, 722170.
[19] A Matucci, A Vultaggio, E Maggi and I Kasujee. Is IgE or eosinophils the key player in allergic asthma pathogenesis? Are we asking the right question? Respiratory Research 2018; 19, 113.
[20] N Oršolić. Allergic inflammation: Effect of propolis and its flavonoids. Molecules 2022; 27(19), 6694.
[21] X Xu, L Zheng, Q Yuan, G Zhen, JL Crane, X Zhou and X Cao. Transforming growth factor-β in stem cells and tissue homeostasis. Bone Research 2018; 6, 2.
[22] Y Aschner and GP Downey. Transforming growth factor-B: Master regulator of the respiratory system health and disease. American Journal of Respiratory Cell and Molecular Biology 2016; 54(5), 647-655.
[23] IA Savin, MA Zenkova and AV Sen’kova. Bronchial asthma, airway remodeling and lung fibrosis as successive steps of one process. International Journal of Molecular Sciences. 2023; 24(22), 16042.
[24] KP Hough, ML Curtiss, TJ Blain, L Rui-Ming, J Trevor, JS Deshane and VJ Thannickal. Airway remodeling in asthma. Frontiers of Medicine 2020; 7, 191.
[25] C Joseph and AL Tatler. Pathobiology of airway remodeling in asthma: The emerging role of integrins. Journal of Asthma and Allergy 2022; 15, 595-610.
[26] G Varricchi, S Ferri, J Pepys, R Poto, G Spadaro, E Nappi, G Paoletti, JC Virchow, E Heffler and WG Canonica. Biologics and airway remodeling in severe asthma. Allergy 2022; 77(12), 3538-3552.
[27] H Kume, R Yamada, Y Sato and R Togawa. Airway smooth muscle regulated by oxidative stress in COPD. Antioxidants 2023; 12(1), 142.
[28] S Umsumarng, W Semmarath, P Arjsri, K Srisawad, I Intanil, S Jamjod, C Prom-u-thai and P Dejkriengkraikul. Anthocyanin-rich fraction from kum akha black rice attenuates NLRP3 inflammasome-driven lung inflammation in vitro and in vivo. Nutrition 2025; 17(7), 1186.
[29] DN O’Dwyer and BB Moore. The role of periostin in lung fibrosis and airway remodeling. Cellular and Molecular Life Sciences 2017; 74(23), 4305-4314.
[30] I Ramadhana A Husairi and E Suhartono. Perbedaan aktivitas superoksida dismutase (SOD) pada otak tikus putih (Rattus norvegicus) akibat rendaman kadmium in vitro. Homeostasis 2020; 3(2), 223-228.
[31] KR Murphy, JG Hong, G Wandalsen, D Larenas-Linnemann, AE Beleidy, OV Zaytseva and SE Pedersen. Nebulized inhaled corticosteroids in asthma treatment in children 5 years or younger: A systematic review and global expert analysis. The Journal of Allergy and Clinical Immunology: In Practice 2020; 8(6), 1815-1827.
[32] B Zhang, X Feng, L Tian, B Xiao, L Hou, B Mo and D Yao. Epithelial-mesenchymal transition in asthma: Its role and underlying regulatory mechanisms. Frontiers in Immunology 2025; 16, 1519998.