Start Bootstrap Logo

Trends Sci. 2025; 22(10): 10675


Recent Advances in Ionic Liquid-Modified Graphene Oxide as A QuEChERS Compatible Sorbent for Pharmaceutical Analysis of Water Samples


Raihana Mohd Yusof1,2, Nurzaimah Zaini Othman1, Nor Suhaila Mohamad Hanapi1,3,*,

Sazlinda Kamaruzaman4, Wan Asyraf Wan Mahmood2,3 and Ahmad Lutfi Anis5


1Faculty of Applied Sciences, Universiti Teknologi MARA (UiTM) Shah Alam, Selangor 40450, Malaysia

2Centre of Foundation Studies, Universiti Teknologi MARA (UiTM) Cawangan Selangor,

Kampus Dengkil, Selangor 43800, Malaysia

3Trace Analysis Research Group, Universiti Teknologi MARA (UiTM) Shah Alam, Selangor 40450, Malaysia

4Department of Chemistry, Faculty of Science, Universiti Putra Malaysia, Selangor 43400, Malaysia

5Faculty of Applied Sciences, Universiti Teknologi MARA (UiTM), Kota Samarahan, Sarawak 94300, Malaysia


(*Corresponding author’s e-mail: [email protected])


Received: 19 May 2025, Revised: 1 July 2025, Accepted: 8 July 2025, Published: 30 July 2025


Abstract

Dispersive micro-solid phase extraction (D-µ-SPE), particularly in the form of QuEChERS (quick, easy, cheap, effective, rugged, and safe), has emerged as a leading analytical method due to its minimal solvent use and high extraction efficiency. This review focuses on the application of ionic liquid-modified graphene oxide (IL-GO) as an advanced QuEChERS-compatible sorbent for pharmaceutical analysis in aqueous environments. The incorporation of ionic liquids (ILs) into GO enhances sorbent performance through synergistic interactions such as π-π stacking, hydrogen bonding, and electrostatic attraction have been described. Both covalent and non-covalent functionalization strategies are explored, along with their respective strengths, limitations, and stability. Parameters including pH, temperature, IL loading, and contact time are discussed in relation to extraction efficiency. This review also outlines the relevance of IL-GO to green chemistry and challenges in the application of IL-GO nanosorbents such as IL leaching and toxicity. Future directions include the use of covalently bound and biocompatible ILs to enhance sustainability and analytical reliability. IL-GO sorbents represent a promising highly efficient, green analytical method in environmental monitoring.


Keywords: Ionic liquid, Graphene oxide, Sorbent, QuEChERs, Dispersive micro solid phase extraction, Pharmaceutical, Water samples


Introduction

Sample preparation or pre-treatment is an essential step in an analytical process. Inadequate sample pre-treatment can cause loss of analyte, sample contamination and other problems that may compromise the results of the research. The selection of sample preparation techniques could be based on initial capital cost, operating charges, ease of procedure, the necessity for organic solvent and the expected results from the selected extraction method. Over the past 20 years, the QuEChERS (quick, easy, cheap, effective, rugged, and safe) method has been developed to simplify sample


preparation method. The first innovation was initiated by Michelangelo Anastasiades and his co-workers in 2003 using dispersive solid phase extraction (DSPE) to increase method selectivity in determining pesticide residues in fruits and vegetables [1,2]. Due to the encouraging performance of this method, the implementation of DSPE had been utilized for other type of samples such as environmental, bioanalytical and agroalimentary samples [3]. The great potential of DSPE was later expanded by using low amount of sorbent (in µg or mg range). This method is called dispersive micro-solid phase extraction (D-µ-SPE) or also referred to as dispersive solid phase microextraction [1]. While DSPE sorbent trapped interferences to ensure efficient clean up, D-µ-SPE works the other way. The D-µ-SPE sorbent interacts with the targeted analytes to enrich and extract the analytes from samples, performing simultaneous clean up and enrichment steps [4]. Compared to the DSPE method, this method offers faster and simpler operation, consume less hazardous solvents, and produce high recoveries of analytes [4].

For decades pharmaceutical drugs have been extensively utilized to treat various types of illnesses and ailments [5]. While various pharmaceutical breakthroughs have benefited the healthcare sector, it is also concerning that medicinal wastes could pose detrimental effects on human wellbeing as well as the ecosystem, even in trace concentration. These micropollutants find its way into water bodies through domestic and municipal effluent [6]. Although the concentration of pharmaceutical residues released into water bodies may be in small concentrations, its continuous discharge may lead to its permanent existence, also referred to as “pseudo-persistent” [7]. Pharmaceuticals are typically polar, non-volatile, designed to be robust and stable to preserve its therapeutic properties [8]. With the present limitation of wastewater treatment plants in degrading and removing these recalcitrant compounds, the elimination of pharmaceutical pollutants in environmental water is a huge challenging [5].

In D-µ-SPE method, several conditions need to be considered to ensure the sorbent is compatible with the matrix, extraction technique, and analyte polarity. The sorbent should be readily dispersible in the matrix to avoid operational difficulties such as agglomeration, floating over the surface, and sticking on the vial [4]. Other factors to be considered include high surface area and high sorption capacity to ensure that rapid sorption and elution of the analytes, good selectivity, excellent physical and chemical stability, reusability, low cost, and non-toxicity are achieved [4,9].

Graphene has received substantial attention since its first isolation in 2004 [10]. It has been extensively exploited in various fields of applications including analytical extraction [4]. Graphene is known as the thinnest and strongest material that ever exists, up to this date, and showed excellent performance upon its application as sorbent in sample preparation[11]. Graphene possesses a relatively large and delocalized π-electron which serves as the binding attributes to target pollutants. Its superior physicochemical properties, compared to other conventional adsorbent provide advantages in improving nanosorbent design. These include its high specific surface area, low temperature modification, abundant sorption sites, good regeneration capacity and reusability [12]. However, the lack of oxygen containing groups in the structure of graphene limits its application in water samples. Thus, its derivative, graphene oxide (GO) becomes an alternative. GO is compatible to polar medium, such as water, while at the same time maintains the physical performance of graphene [13].

GO occupies different oxygen-containing functional groups such as hydroxyl, carbonyl, and epoxide, making it more stable and dispersible in water as compared to graphene [10]. With the merit of high surface area, the presence of these functional groups enhances the adsorption capacity of GO through the sorbent-sorbate interactions on the active sites. One of the advantages in using GO for the remediation of a wide range of pharmaceuticals in water samples is its versatility in terms of modification. This approach is utilized to increase the selectivity of sorbent in targeting specific contaminants [14]. Another advantage is it comes from renewable sources, in abundance and at low cost. High yield of GO can be obtained by the oxidation of graphite using inexpensive materials like strong acids and potassium permanganate which can be readily scaled up for bulk production. Furthermore, the robustness of GO that comes from its high stability can compensate with the harsh treatment conditions such as intense pressure and high temperatures [15].

However, the weakness of GO is the tendency to form irreversible aggregation in aqueous surroundings. In the effort to further improve the functionality of GO, and mitigating this weakness, suitable ionic liquids are employed [16]. The functionalization of GO with IL is tailored to complement both materials. Hence, enhancing the physicochemical properties of GO to be applied on various applications. This modification has led to the development of advanced materials with improved sensitivity and selectivity, high stability for various analytical applications, high dispersibility in aqueous sample matrices, and excellent sorptive performance.

ILs are non-molecular solvents composed entirely of ions that remain in the liquid state at ambient temperature. This innovative material has emerged as versatile and significantly improved sample preparation, separation, and detection processes. This is owing to its distinct physicochemical properties, such as being negligible to vapor pressure, possess high thermal and chemical stability, low flammability, and tunable polarity [17]. Researchers have designed their ILs according to their applications. This involves combining a large variety of anion/cation to achieve tunable physicochemical properties, and specific for a particular application [18]. It allows researchers to optimize selective extraction or separation of targeted compounds, including pharmaceutical residues, endocrine-disrupting chemicals, and heavy metals [19]. One example is the imidazolium-based IL which have been the most extensively studied, and are synthesized through a 2-step’s procedure: (1) a quaternization reaction which involves the formation of a quaternary nitrogen (i.e. imidazolium) cation via a nucleophilic substitution reaction between imidazole derivative and an alkyl halide; and (2) an anion exchange, wherein the initial anion is substituted by a desired anion using an appropriate inorganic salt [20].

The remarkable performance of ILs can be attributed to their strong solvation capabilities, combined with adjustable viscosity and polarity [19]. These result in excellent extraction efficiency, improved analyte recovery, and reduced matrix interferences in complex environmental or biological samples [21]. These features have been enhanced in the application of ILs as extractants or modifiers in liquid-liquid microextraction (LLME), solid-phase extraction (SPE), as well as D-μ-SPE.

According to Jon et al. [14], IL-functionalized sorbents not only have an increased surface area and active sites, but their selectivity is also improved by interactions such as electrostatic attraction, hydrogen bonding, and π-π stacking. This has greatly aided the advancement of IL-modified sorbents for trace-level detection of emerging pollutants in environmental matrices.

Despite showing good results, research on the application of GO-based sorbent in D-µ-SPE technique to remove pharmaceutical pollutants from water samples is still in its early stage. More research is needed to optimize the utilization of GO as a promising sorbent for remediation of pharmaceutical pollutants. In 2019, Maciel et al. published a review emphasizing the recent advances on sorbent development that were applied to all miniaturized sample preparation techniques [22]. The review highlights innovative sorbent materials namely ionic liquids, graphene and its derivatives, immunosorbents, restricted access materials (RAMs), molecularly imprinted polymers (MIPs), and molecularly imprinted monoliths (MIMs) [22]. However, it only provides brief information on the functionalization of GO sorbent. Hence, the summary on the utilization of functionalized GO intended for remediation of pharmaceutical pollutants in water samples is still scarce. To the best of our knowledge, this is the first review article that focuses on the ionic liquid (IL) modified GO-based sorbent for the application in removing pharmaceutical pollutants from various types of water samples such as wastewater, river, lake and tap water, using D-µ-SPE method.


The occurrence and risk of pharmaceuticals in environmental water

Pharmaceuticals are chemical compounds that are used for therapeutic, diagnostic, and preventive purposes in both human and animals [23,24]. As the world population increases, the diversity and production of pharmaceuticals have also increased. Medicines are produced in hundreds of tonnes annually to meet the increasing demand every year. During treatment, the prescriptions given to consumers are at high dosage to ensure effective biological response [25]. To sustain its therapeutic activities, pharmaceuticals are formulated to persist in the body for an extended period [8]. These drugs are rarely fully metabolized and will eventually be excreted from the body [6]. These compounds eventually enter wastewater treatment plants, where they undergo treatment before being released.

However, due to the physicochemical properties of pharmaceutical compounds like high polarity and solubility, low volatility and high persistency, the removal of this compounds through filtration and chlorination implemented by treatment plants may not be effective [15]. Apart from body excretion, the contamination of pharmaceuticals also comes from other sources such as hospital discharge, improper disposal of leftover and expired drugs, industrial effluent, landfill leachates, animal husbandry, and agricultural runoff [5,26].

The first attempt to detect pharmaceuticals in environmental water was made by Garrison et al. in 1976, in the USA. Chlofibric acid was found in wastewater in the range of 0.8 to 2 µg L−1 [24]. A year later in 1977, Charles Hignite and his co-workers discovered that the concentration of 2-(4-chlorophanoxy)-2-methylpropanoic acid (CPIB) and salicylic acid was still high in the effluent of sewage treatment plant in Kansas City [27]. Almost a decade later, Richardson and Bowron reported the presence of pharmaceutical contaminants in River Lee, London, with concentration of approximately < 0.1 µg L−1 [28].

In investigating the uptake of pharmaceutical compounds on crops, Malchi and co-workers performed a study using root vegetables irrigated by treated wastewater [29]. Since pharmaceutical residues are considered to have very low probability of risk to human health, the threshold of toxicological concern (TTC) was conducted to verify the toxic effects of the exposed crops. The TTC evaluation was based on the daily consumption of a person with regards to his body weight. Their findings showed that a health risk was suggested for the consumption of root crops irrigated with treated water as the TTC levels of lamotrigine and 10,11-epoxycarbamazepine, an anti-epileptic drugs, in sweet potato and carrot surpass the threshold. The consumption of 2 carrots a day for an adult (70 kg) and half a carrot a day for a child (25 kg) would surpass the TTC level of lamotrigine. Meanwhile, the consumption of potato leaves by 90 g per day and carrot leaves by 25 g per day surpass the TTC level of 10,11-epoxycarbamazepine for a child (25 kg).

Due to concern on the adverse exposure of pharmaceuticals through drinking water, de Jesus Gafney [30] performed a monitoring study involving 250 samples of raw and drinking water from drinking water supply system in Lisbon. Out of 31 pharmaceuticals investigated, 16 were quantified within a trace concentration range of 0.005 - 46 ng L−1 in raw water samples and 0.09 - 46 ng L−1 in drinking water samples. The occurrence of pharmaceutical residues in drinking water is the consequence of environmental water contamination. Thus, the passage of pharmaceutical residues that end up in drinking water needs to be clearly understood. Figure 1 shows the possible pathways of pharmaceutical residues into environmental water sources [31].



Figure 1 The pathways of pharmaceutical residues occurrence in environmental water.


Potential risks of pharmaceutical contaminants

Pharmaceutical compounds are complex in structure and resistant to microbial degradation. They tend to partition into biological membranes and accumulate in fatty tissues of aqueous organism like fish and mollusks [32]. Over time, this bioaccumulation leads to biomagnification through the food chain, posing risks to higher trophic level organisms. The detrimental effects of pharmaceutical residues in the environmental ecosystem not only affects aquatic organisms, but also indirectly threatens human health. Despite their occurrence in trace concentrations, the potential for bioaccumulation of pharmaceutical residues in aquatic systems raises considerable concern regarding long-term ecological impacts [33].

Bioaccumulation refers to the progressive accumulation of chemical substances, such as pharmaceuticals, within the tissues of organisms when the rate of uptake exceeds the rate of elimination. This



process can result in increased concentrations of these compounds over time, particularly in aquatic environment. The bioaccumulation potential of pharmaceutical active compounds is commonly assessed using 2 metrics: the bioconcentration factor (BCF) and the bioaccumulation factor (BAF). While both serve to quantify the concentration ratio between an organism and its surrounding environment, BCFs are usually determined under controlled laboratory conditions and exclude dietary exposure, whereas BAFs incorporate all routes of uptake, including ingestion. In a study involving 113 pharmaceutical compounds, where a total of 231 BCF and 531 BAF were collected, the findings highlighted the significance of biotransformation processes as a critical exposure path. This can substantially contribute to the direct uptake of pharmaceutical residues from aquatic environments [34].

In an investigation on the bioaccumulation of fluoroquinolone antibiotics in various aquatic organisms collected from rivers, lakes, and other surface waters by Shen et al. [35], fluoroquinolones, particularly ciprofloxacin and norfloxacin, were found present in multiple aquatic species, including fish, crabs, oysters, shrimp, and phytoplankton. These residues came from water bodies that reached their maximum concentrations, suggesting a significant bio accumulative potential of antibiotics in aquatic ecosystems. Table 1 lists the findings on the impacts of pharmaceutical waste contaminants to environmental water and its ecosystems.


Table 1 The impacts of pharmaceutical contaminants towards environmental water and its ecosystems.

Pharmaceutical groups

Risks

Findings

References

Steroids

Disrupt endocrine functions in aquatic organisms include:

  • blocking the synthesis of their endogenous homologs

  • blocking the synthesis of specific hormone target receptors

  • reproductive failure and population decline

  • mimicking the biological actions of endogenous hormones or antagonizing their effects

Synthetic estrogen, EE2 (17α-ethinylestradiol) may induce feminization and intersex characteristics in fish.

[36-40]


Dexamethasone and clobetasol propionate show reproductive effects and immunosuppression in fish upon exposure to high concentration.

[41-44]


Masculinization in female fish after the exposure to beclomethasone dipropionate.

[41]

Cortisol, clobetasol propionate and prednisolone show to reduce muscle contractions, increase heart rate, accelerated hatching, and alter genetic expression.

[41], [45-47]

Antibiotics

Induce stress responses in bacteria, promoting resistance gene selection.


Reduce soil fertility, microbial imbalances, and bioaccumulation in crops.

Long term exposure to ciprofloxacin or sulfamethoxazole exert selective pressure on microbial communities, promoting the emergence and horizontal transfer of antimicrobial resistance genes.

[48-52]


Carcinogenic and allergic effects on aquatic organism.

[8], [53-55]

Tetracycline gives toxic effects on the aquatic organism such as Microcystis aeruginosa, green algae (Chlorella vulgaris), and selenastrum capricornutum, by hindering the growth and the physiological process of the algae, leading to fatal damage to Microcystis aeruginosa.

[8], [56]

Tetracyclines and sulfonamides exhibit strong binding to soil particles and persist for an extended period, potentially affecting soil microbiota and plant uptake.

[57-59]

NSAIDS

Chemically stable and can persist in surface waters, sediments, and soils.

Histopathological damage in fish, such as gill and liver lesions.

[60-62]

Veterinary diclofenac caused a collapse in vulture populations through biomagnification.


[63-65]

Anti-depressant

Selective serotonin reuptake inhibitors (SSRIs) disrupt neurotransmitter pathways in non-target aquatic organisms.

Altered behaviour in fish by reducing predator avoidance and feeding activities due to fluoxetine exposure.

[66-68]


Reproductive impacts in aquatic invertebrates and vertebrates due to hormonal interference.

[69-71]


Green microextraction techniques

In recent years, the demand for better alternatives in the field of sample preparation has shown significant improvements to ensure more efficient analytical procedure that poses less adverse environmental impact. Although conventional methods can produce precise and reliable results, modifications are needed in advocating “eco-friendly” approaches.

The initiative of green chemistry is designed with the aim to achieve a more environmentally benign chemistry that is economically viable, while safeguarding both humans and the ecosystem. This purpose is accomplished in accordance with the 12 principles of Green Chemistry as illustrated in Figure 2.


Figure 2 The 12 principles of green chemistry.


The development of alternative sample preparation techniques focuses on fulfilling certain criteria such as automation, improved sensitivity, better selectivity, and miniaturization. The miniaturization approach is the most indicative of green sample preparation in reducing the polluting effects posed by hazardous solvents to both humans and the environment. This becomes the primary reason scientists are consistently striving to implement more environmentally favorable techniques, which are aligned to the current theme of “Green Chemistry” [72].

While Green Analytical Chemistry (GAC) was initially tailored to promote sustainability in the chemical industry, there have also been concern towards the development of innovative analytical procedures that are environmental friendly without compromising with the core objective of analytical chemistry [73]. With regards to GAC, analytical procedure can be designed by considering 3 options: (i) solventless or nearly solventless extraction, (ii) substitution to a less harmful solvents, and (iii) implementation of extraction aids (microextraction approach). Among the 3 options, the idea of solventless extraction is prioritized [74].

The application of microextraction techniques can achieve solventless extraction, which fulfills the first GAC principle (reduce waste) (Figure 2). Since the samples are susceptible to contamination during sample preparation, the utilization of small sample volume leads to waste reduction. The transportation and storage cost for small samples are also reduced, with potentially minimum hazard exposure to operators. During laboratory analysis, small samples require the implementation of highly sensitive instruments such as Ultra High-Performance Liquid Chromatography (UHPLC), which have shorter run time, thus consuming less chromatography solvents. This can result in waste reduction and an increase in sample output [75].

Perrucci and co-workers investigated the trend in microsampling to understand the reduced-volume outcomes in miniaturization techniques of sample preparation [73]. Sample volumes ranging from 10 - 100 µL achieved good linearity ranging from 0.0002 - 400 µg mL−1. Their observation showed excellent performance of miniaturization sample preparation utilizing small sample volume.

In another study by Salemi et al. [75], 4 standard analytical procedures which were based on classical SPE and LLE were compared, with 20 miniaturization extraction approaches [76]. The environmental impact of each method was evaluated using AGREEprep, a dedicated green metric tool for assessing the greenness of a sample preparation procedure. The findings clearly showed that all microextraction methods, without compromising their analytical performance were significantly better than conventional methods in terms of the amount of sample size used, waste produced, and hazardous chemicals consumed.


Types of green microextraction

The selection of an appropriate microextraction technique is governed by factors such as the physicochemical properties of the target analytes, matrix complexity, extraction kinetics, and the intended analytical application. These microextraction methods not only reduce the environmental footprint of analytical workflows but also contribute to greater operational efficiency and analytical reliability. These green microextraction techniques minimize the hazards of environmental impact contributed by analytical processes, while enhancing operational efficiency and analytical reliability. Two approaches available for sample preparation are solvent-based and sorbent-based extractions.

  1. Solvent-based extractions

Solvent-based extractions are liquid-liquid extraction (LLE) related techniques which mainly use organic solvents to achieve analytical separation. The separation principle is driven by the polarity of both solvent and analytes. In accordance with “like dissolve like” concept, polar solvents are used to extract polar analytes, and vice versa. Some of the most prominent techniques under this category are liquid-liquid microextraction (LLME) and pressurized liquid extraction (PLE).

LLME was first introduced by Jeannot and Cantwell in 1996, by applying a suspended microdrop at the tip of a gas chromatography (GC) syringe to extract analytes from the sample solution. The drop is made of a solvent that is water-immiscible, but analyte-selective, immersed in an aqueous solution. Once the extraction was completed, the microdrop was retracted into the needle and injected into the separation system [76].

PLE is an LLE-related technique which utilizes liquids at temperatures exceeding their boiling point as extracting solvents. The solvent is kept at their physical condition without transitioning to vapor by applying pressure. The pressurized solvent achieves a condition like supercritical fluids that are renowned for their excellent extraction efficacy. This approach was successful in reducing the extraction time from h to min [77].

  1. Sorbent-based extractions

Sorbent-based extractions are SPE-related techniques utilizing sorbent as solid phase, which attain intermolecular forces to bind analyte onto its surface. The separation is achieved by putting the sorbent into the sample containing targeted analyte, aided by physical forces for a certain time. The sorbent is then transferred into a desorption solvent allowing the targeted analyte to detach from the sorbent surface, assisted by temperature adjustment, pH, or agitation [78].

Solid phase microextraction (SPME) is one of the most common SPE-related techniques established by Pawliszyn at Waterloo University in Canada in the 1990s. This solventless technique has become one of the most successful extraction methods due to its simplicity. SPME uses a silica rod fiber-coated with a thin film of stationary phase, where the separation of analyte occurs. The extraction is initiated by submerging in liquid matrix until equilibrium is achieved. The fiber is then retracted, and the syringe is transferred to the injector of the separation system for a simultaneous analyte desorption and chromatographic run [78].

DSPE is another well-known technique that was patented as “QuEChERS” shortly after its introduction in 2003. This approach involves dispersing the adsorbent material into the aqueous sample matrices, which significantly increases the contact surface between the adsorbent and analytes, resulting in better extraction yields. The adsorbent particles are subsequently isolated from the suspension using centrifugation. A suitable solvent is then used to elute the analyte. The supernatant is later collected and subjected to chromatography analysis [79].


QuEChERS and dispersive micro solid phase extraction (D-µ-SPE)

The QuEChERS approach, which stands for “Quick, Easy, Cheap, Effective, Rugged, and Safe”, signifies a significant advancement in sample preparation techniques, especially for extracting trace-level analytes from intricate matrices. First introduced by Anastassiades et al. [80], this technique has been revised and modified to be compatible with diverse extraction techniques for a variety of applications, including the extraction of pharmaceutical pollutants in complex environmental matrices such as soil, water, and biological fluids. The QuEChERS method’s simplicity, efficiency, and eco-compatibility complement the present requirement for GAC.

The QuEChERS method consists of a 2-step procedure - solvent extraction implying salting-out partitioning, followed by DSPE clean-up. In the extraction phase, analytes are isolated from the sample matrix using appropriate solvent, with the addition of inorganic salts, such as magnesium sulfate and sodium chloride, which induces a salting-out effect. This effect reduces the solubility of analytes in the aqueous phase as well as reducing the co-extraction of polar matrix constituents, promoting their transfer into the solvent. The extraction is followed by the addition of sorbents for DSPE clean-up. In this step, residual matrix interferences will bind onto the sorbents, thereby improving the analytical selectivity and sensitivity of the final extract [3].

D-µ-SPE is a surface related method that partitions desired analytes from the sample medium onto the sorbent surface via adsorption mechanism. The basic principle of D-µ-SPE is by trapping the target analytes onto the sorbents and elution using appropriate solvent. The sorbent-sorbate interactions are established through π-π interactions, dipole-dipole, and hydrogen bonding, depending on the functional groups on the sorbent surface. Figure 3 shows the sample preparation technique utilizing D-µ-SPE.



Figure 3 Sample preparation using D-µ-SPE technique for the analysis of aqueous sample.


In D-µ-SPE, it is vital to understand the physicochemical properties of the sorbent to anticipate the sensitivity and accuracy of the extraction of desired analytes. Practically, a good solid sorbent should display rapid adsorption and desorption process, high capacity, high surface area and well scattering property in liquid mediums [1].

Compared to conventional SPE method, the D-µ-SPE method has advantages that fulfills the Green Analytical Procedure (GAP) requirement such as reduced solvent consumption, small sample volume (a few mL) and sorbent (several mg), shorter extraction and desorption time, high recoveries, low detection limits and wide linearity range [74]. This straightforward technique is also compatible with a variety of analytical detection instrument. This is because the elution step of analytes can be carried out using organic solvents for non-volatile or thermal desorption for volatile analytes.

Recently, the QuEChERS method has been extensively combined with D-µ-SPE, implementing advanced sorbent like GO, IL-modified materials, and molecularly imprinted polymers (MIPs) to maximize the use of a miniaturized technique and simple sample preparation. From a green chemistry perspective, the QuEChERS–D-µ-SPE hybrid approach offers a sustainable alternative to conventional extraction methods as the consumption of hazardous organic solvents is reduced, sample and reagent volumes are minimized, and processing time is shortened, without compromising the analytical performance. Furthermore, its ease of automation and scalability makes it suitable for high-throughput environmental monitoring and routine quality control applications. Table 2 summarizes the advantages of conventional SPE technique compared to QuEChERS–D-µ-SPE [79,81].


Table 2 The comparison of SPE and D-µ-SPE techniques.

Features

SPE

QuEChERS-D-µ-SPE

Sorbent format

Packed in a cartridges or disks.

Fine powder or tiny particles dispersed directly into the sample.

Matrix-sorbent interaction

Sample matrix is passed through a stationary sorbent.

Sorbent is dispersed within the sample matrix for direct interaction.

Extraction efficiency

Limited efficiency due to column packing and flow rate.

Increased surface area and direct contact with sample matrix.


Solvent usage

Requires large volumes of solvents for conditioning, washing, and elution.

Minimal solvent (almost solventless), making it more environmentally friendly.


Extraction and desorption time

Involve multiple steps (conditioning, loading, washing, elution) that requires longer time.


Faster due to direct dispersion and adsorption.

Equipment set-up

Requires specialized cartridges, vacuum systems, or pressurized flow.

Simple agitation tools (stirrer, vortex, centrifuge) or ultrasonic dispersion without complex equipment.


Selectivity and sensitivity

Good selectivity (depending on sorbent type and elution strategy)

Enhanced selectivity through functionalized nanomaterials, thus enhancing instrumental analysis sensitivity.


Cost

Higher cost due to cartridge and solvent consumption.

Lower cost due to minimal sorbent and solvent usage.


Applications of QuEChERS method in pharmaceutical analysis

Ever since its successful use in the extraction of multiresidue pesticides in food, QuEChERS has been extended to the detection of various contaminants including pharmaceuticals such as antibiotics, non-steroidal anti-inflammatory drugs (NSAIDs), beta-blockers, and hormonal compounds in complex environmental matrices. Pharmaceuticals are considered as pseudo-persistence compounds which are continuously released to the environment [7].

The determination of organic compounds is challenging due to their low concentrations (ng L−1 to µg L−1), high polarity, and structural diversity [82]. The QuEChERS approach eliminates these difficulties through a modular 2-step procedure that integrates acetonitrile-based extraction, complimented by DSPE clean-up. This facilitates the effective removal of co-extractive interferences and enhances analyte recovery, even in matrices with high organic content or variable ionic strength [83].

The adoption of QuEChERS for pharmaceutical contaminants analysis is very consistent with the aim of sustainable analytical practices. Its minimal solvent requirements, short extraction time, and reduced sample handling help to reduce environmental impact, operational costs and exposure to hazards. Moreover, the versatility of this method allows for high-throughput analysis, which is particularly advantageous in studies that involve large sample sets and multiple analyte classes [73].


Sorbent selection in SPE

The selection of suitable trapping media, or sorbent material, for SPE is the most important part in obtaining high clean-up and enrichment efficiency for trace analysis, especially in complex matrices. The commercialized sorbent materials in all cases are 3-dimensional polymeric materials which are manufactured under conditions designed to provide a very porous but rigid with a high surface area. Each sorbent offers a unique mix of properties such as its polarity, functionality, surface area, pore and particle size which will be useful to ensure good extraction efficiency. Nowadays, many sorbents are available in the market, and the most frequently used sorbents are chemically modified silica gel, biopolymer sorbents and carbon-based sorbents.

Sorbent materials for D-µ-SPE can be categorized into 5 groups which are carbon-based, polymeric, inorganic oxide (alumina, magnesium silicate, and silica), magnetic, and hybrid sorbent. Nevertheless, certain sorbents are subject to limitations, such as limited stability when applied to aqueous samples with extreme pH. For specific application, a combination of 2 or more sorbent materials may be required. As such, researchers are continuously studying newly synthesized materials that exhibit enhanced stability and a high affinity for polar analytes [84].


Graphene oxide (GO) sorbent

Graphene oxide (GO) has been considered as a remarkable adsorbent due to its outstanding physicochemical properties such as large surface area and the presence of oxygen-containing functional groups (hydroxyl, carbonyl, epoxide, carboxyl groups), which exhibit anionic properties [85]. Researches have shown that GO is better than commercial adsorbents in terms of adsorption capacity and reusability [53]. Owing to its exceptional adsorption ability, GO can be utilized to remediate organic and inorganic contaminants in water samples.

With regards to its enhanced affinity, selectivity, and retention capacity, GO has been used in the analysis of several medications with enhanced extraction performance and reduced the consumption of organic solvents. The sorbent-sorbate interactions that involved π-π interactions, electrostatic interactions, or ion exchange is the key point to this excellent extraction performance [86]. Apart from providing adsorption sites, the functional groups of GO also offer chemically modifiable active sites that enable customized functionalization and enhanced interaction with other materials. GO is selected as a sorbent due to its efficacy in adsorbing different pollutants, heavy metals, and organic contaminants from water, making it a viable material for environmental remediation, cost-effective, and needs less sorbent in the analysis [13]. Table 3 compares the advantages and disadvantages between GO and other conventional sorbent materials.


Table 3 The comparison of graphene oxide and other conventional sorbent materials [89].

Sorbent material

Advantages

Disadvantages

Graphene oxide

  • High surface area

  • Rich in oxygenated functional groups (hydroxyl, carbonyl, epoxy) that enable functionalization and improve adsorption capability

  • High versatility: Can be functionalized based on characteristics of target compounds

  • Limited selectivity

  • Fine particles lead to suspension of graphene oxide in water matrices.

Graphene

  • High surface area

  • Rapid adsorption and desorption

  • Compatible with various sample matrices

  • Aggregate in polar solvent

  • Limited selectivity for non-polar compounds

  • Lack of active site for functionalization

C18


  • Highly efficient in extracting nonpolar and moderately polar compounds.

  • Adsorb wide range of analytes.

  • Effective in reducing interference from matrix components.

  • Poor selectivity

MNPs


  • Rapid separation between sorbent and sample matrices

  • High surface area

  • Reduce interference

  • Reduce solvent usage

  • High cost


Ionic liquid-modified graphene oxide sorbent

The functionalization of GO with IL is tailored to complement both materials, in enhancing the physicochemical properties of GO for various applications. This modification has led to the development of advanced materials with improved sensitivity and selectivity, high stability for various analytical applications, high dispersibility in aqueous sample matrices, and excellent sorptive performance.

The functionalization of GO with ILs can be achieved through non-covalent and covalent bonding. Each method can achieve similar sorptive performance but differs in the stability of bonding and solvents involved.


Covalent functionalization

Covalent grafting typically involves a nucleophilic substitution by the activation of carboxyl groups on GO, followed by reaction with ILs bearing amine, hydroxyl, or other nucleophilic functional groups. This modification serves to anchor the IL molecules onto the GO surface, creating a hybrid sorbent that combines the advantages of both components [88]. This method involves the formation of stable covalent bonds between IL moieties and reactive oxygen-containing groups (e.g., –COOH, –OH, –epoxy) on the GO surface. This approach is particularly useful in producing robust sorbents used in D-µ-SPE for the determination of pharmaceutical contaminants in aqueous environments. Such modifications result in permanent attachment of ILs to GO, enhancing material stability under harsh extraction conditions. The covalent functionalization strategies to immobilize ionic liquid moieties on GO structure can be realized using 3 approaches, namely acylation, silanization, and epoxide ring opening.

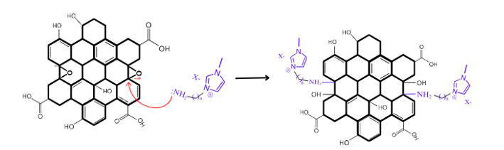
  1. Acylation

Acylation involves the substitution of hydroxyl functional groups from GO plane with Cl, producing acyl chloride, a good leaving group. Subsequently, nucleophilic attack by imidazole substitutes the Cl, attaching the ionic liquid moieties. on GO structure [20]. Figure 4 depicts the substitution of hydroxyl functional group with imidazole moieties in acylation reaction.




Figure 4 The acylation reaction of immobilizing ionic liquid moieties on GO plane.


  1. Silanization

Silanization involves organofunctional alkoxysilane molecules, commonly alkyl halide bearing methoxy (-OCH3) or ethoxy (-OCH2CH3) silanes. The alkoxysilane reacts with hydroxyl group from GO plane, forming covalent Si-O-C bond. The immobilization of imidazole moieties then occurs through N-alkylation between alkyl halides and imidazole [20]. Figure 5 shows the step-by-step process in silanization.



Figure 5 The silanization of covalent functionalization of GO with IL.


  1. Epoxide ring opening

In epoxide ring opening, the terminal amine from ionic liquid moiety reacts with the epoxide functional group of GO plane through ring opening, forming a covalent bond [20]. This reaction is illustrated in Figure 6.


Figure 6 The epoxide ring opening reaction in covalent functionalization strategy of IL and GO.


Non-covalent functionalization

Non-covalent functionalization is a less disruptive alternative that involves physical adsorbing of ILs onto the surface of the sorbent. It is often achieved by mixing the IL and sorbent in a suitable solvent followed by solvent evaporation. This method preserves the conjugated π-electron system of GO, maintaining its structural integrity and inherent electronic properties. Table 4 compares the advantages and the disadvantages of both methods [89].


Table 4 The comparison of covalent and non-covalent functionalization of IL modified GO.

Features

Covalent

Non-covalent

Method

  • Surface grafting involving nucleophilic substitution.

  • Dispersed in organic solvent using sonicator or mixing using mortar.

  • Only involve physical interactions such as π–π stacking, electrostatic interactions, van der Waals forces, and hydrogen bonding.

Advantages

  • Permanent attachment on GO sheets, resulting in better stability- resistance towards thermal and pH degradation.

  • Environmentally friendly as no hazardous chemicals involved.

  • Surface reactivity of GO sheets is preserved as sp2 hybridized structure is not disrupted.

  • The functionalization is reversible, allowing regeneration and recyclability of sorbent material.

  • Suitable for thermal -sensitive materials

Disadvantages

  • Structural disruption on π-conjugated system of GO, reducing the accessible surface area.

  • Involves multi-step reactions, controlled conditions (pH and temperature), and activation agents

  • Side reactions or incomplete functionalization may yield heterogeneous materials that caused inconsistent performance.

  • Susceptible to leaching that might:

  • affects the performance during repeated extractions.

  • Disrupt the non-covalent forces upon application with high temperature and pH.


The development of ionic liquid-modified graphene oxide sorbents for enhanced performance

The performance of D-µ-SPE is highly dependent on the properties of the sorbent material. To ensure that trace concentration of pharmaceuticals in water bodies is detectable, the nanocomposite sorbents need to have a high surface area, compatible with polar compounds, and efficient adsorption. IL-modified sorbents provide significant improvements in D-µ-SPE, especially in the extraction of pharmaceutical pollutants from water sources. IL is basically salt with melting temperatures around 100 °C and possesses physicochemical properties such as minimal vapor pressure, elevated thermal stability, adjustable polarity, and robust solvation abilities [17]. The functionalization of solid sorbents with ionic liquids has been proven to augment analyte-matrix interactions, enhance adsorption effectiveness, and broaden the applicability of dispersive micro solid-phase extraction to a wider array of targeted compounds, especially in the detection of trace concentration pharmaceutical residues in aqueous matrices.

Compared to conventional sorbents such as silica, activated carbon, and C18-bonded phases, IL-GO exhibits superior adsorption capabilities due to its multifunctional surface chemistry. The introduction of ILs allows tunable polarity and enables selective interactions with a broad range of analytes—from polar inorganic ions to non-polar organic compounds. Additionally, IL-GO composites demonstrate enhanced thermal and chemical stability, which allows them to maintain performance under harsh extraction conditions, where traditional sorbents may degrade or lose efficiency.

The functionalization of GO with ILs improves the extraction efficiency when applied with D-µ-SPE technique. Serrano and co-workers reported the application of IL-modified GO for the selective extraction of steroids, demonstrating improved hydrophobic interactions, π-π stacking, and hydrogen bonding with target analytes [90]. The integration between IL-functionalized nanomaterials and D-µ-SPE protocols has resulted in improved selectivity, greater adsorption capacities, and enhanced desorption efficiencies, reinforcing the potential of nanomaterial-based sorbents in pharmaceutical contaminant extraction.

Zaini and co-worker conducted a study on the performance of polypyrrole-graphene oxide (PPy-GO) nanocomposites as novel sorbents for D-µ-SPE applications. Their study demonstrated the efficiency of PPy-GO in extracting tetracycline antibiotics from water samples, with high linearity (R² = 0.9989 - 0.9995) over a concentration range of 10 - 1000 µg L−1. The method also achieved low detection limits (LOD) ranging from 4.9 to 8.7 µg L−1 and satisfactory recoveries (80% - 105%), making it a very promising approach for antibiotic residue analysis in aqueous environments [91].

The outstanding performance of IL-modified sorbent can be attributed to its interaction mechanisms such as electrostatic attraction, hydrogen bonding, π-π stacking, and hydrophobic interactions. These mechanisms enhance the efficiency of extraction by enabling the robust and selective binding of pharmaceutical compounds [92]. For instance, an IL-functionalized GO sorbent possesses improved dispersibility and surface functionality, hence strengthening π-π interactions and hydrogen bonding with pharmaceutical residues including antibiotics and corticosteroids. The π-π interactions and hydrogen bonding between IL-modified GO and pharmaceutical contaminants is depicted in Figure 7.


Figure 7 The π-π interactions and hydrogen bonds (H-bond) between IL-modified GO and pharmaceutical contaminants.


The stability and reusability of IL-modified sorbents are 2 of the most significant advantages of these sorbents. These characteristics contribute to the development of environmentally friendly extraction methods that adhere to the principles of sustainable green chemistry. According to Jon et al. [14], the low volatility and a high level of chemical stability of ILs result in a reduction of environmental impact, associated with the evaporation and recycling of solvents [14]. Table 5 summarizes the utilization of IL-modified GO sorbent for pharmaceutical contaminants detection.


Table 5 Ionic liquid utilization in the determination of pharmaceutical contaminants.

Types of Ionic Liquid

Analytes

Techniques

Matrix

Performance

Ref.

1-hexyl 3-decahexyl imidazolium

Sulfamethoxazole, carbamazepine, and ketoprofen

Not specified

Not specified

Recovery: 82% - 89%

[93]

1-butylimidazole hydrogen sulphate

Hydrocortisone


D-µ-SPE

Tap water

LOD: 2.77 - 8.38 μg L−1

Recovery: 98% - 120%

RSD: < 5%

[94]

1-Butyl-3-aminopropyl imidazolium chloride

Steroids and β-blockers

D-µ-SPE

Water

LOD: 7 - 23 ng L−1

RSD: 3.1% - 8.5%

[90]

poly(1-vinyl-3-hexylimidazolium hexafluorophosphate)

Phenolic acids

SPE

Yoghurt and urine

LOD: 0.2 - 0.5 µg L−1

RSD: 2.3% - 4.7%

[95]

Not specified

Acid drugs

D-µ-SPE

Water

Recovery: 82%

RSD: 3.20%

[96]

Hydrophilic IL

Triazine

Stir bar sorptive extraction (SBSE)

Grape juice

LOD: 1.5 - 50 ng L−1

Recovery: 45.3% - 98.6%

RSD: < 15%

[97]


All sorbent exhibit recovery of higher than 80% and LOD in the range of trace amount (μg L−1 and ng L−1). Meanwhile, the performance of D-µ-SPE technique resulted in better RSD % as compared to SBSE technique in terms of its RSD%. Overall, IL-GO can be considered as a next-generation sorbent material that addresses many of the limitations associated with traditional adsorbents, making it highly promising for use in environmental monitoring, food safety, and pharmaceutical residue detection.


Factors affecting extraction efficiency by IL-GO

The efficacy of contaminant removal by employing IL-GO adsorbents in solid-phase extraction processes is dependent on numerous operational variables. Comprehensive elucidation of these determinants is important for the optimization of sorption conditions with regards to both organic and inorganic pollutants in aqueous matrices. Several important operational parameters that need considerations are pH, temperature, IL loading, GO particle size, and contact time.


Effect of pH

The pH value influences both the surface charge characteristics of IL-GO materials and the ionization behaviour of target pollutants [15]. In the context of inorganic contaminants, particularly heavy metal ions, acidic conditions normally facilitate protonation of oxygen-containing functional groups present on the graphene oxide surface, which causes diminishing electrostatic interactions with metal cations [98]. In contrast, under optimized pH conditions (typically ranging from pH 5 - 7), deprotonated functional moieties including carboxylate groups display enhanced affinity for metal ion coordination [99]. Regarding organic contaminants, pH variations significantly influence molecular solubility and intermolecular interactions, including hydrogen bonding networks and π–π stacking mechanisms [100]. As a result, the sorption performance of IL-GO composites shows pronounced pH-dependency, necessitating systematic optimization for specific target analytes [101].


Effect of temperature and ionic liquid loading

Temperature affects both the kinetic and thermodynamic aspects of the adsorption process [15]. Elevated temperatures can facilitate enhanced diffusion rates of pollutants toward IL-GO active sites and overcome mass transfer limitations, thereby accelerating sorption kinetics [102]. In endothermic adsorption systems, increased temperature conditions also promote higher overall adsorption capacities [98]. Excessive thermal conditions may compromise the structural integrity of specific ionic liquid moieties or induce desorption phenomena, necessitating meticulous optimization [20].

The quantity of IL functionalization onto GO substrates substantially influences sorbent efficacy [102]. Enhanced IL loading densities introduce additional active sites and improve selectivity through strengthened π–π interactions, electrostatic forces, and hydrophobic interactions [103]. However, excessive ionic liquid incorporation may obstruct graphene oxide pores, diminish available surface area, or impede analyte accessibility [104]. As such, maintaining an optimal IL-to-GO stoichiometric ratio is essential to achieve equilibrium between surface functionality and accessibility [99].


Effect of contact time

The duration of interaction between IL-GO materials and aqueous matrices is critical in deetrmining the equilibrium attainment for pollutant sorption processes [102]. Insufficient contact period may result in suboptimal extraction efficiency, particularly for analytes that exhibit slow diffusion [95]. There have been reports that optimized contact durations scan span from 10 to 60 min, depending on the physicochemical properties and concentration levels of target pollutants [105]. Kinetic modeling studies consistently demonstrate that IL-GO systems adhere to pseudo-second-order kinetic models, suggesting that chemisorption mechanisms predominate over physisorption processes [106].



Opportunities for improvement of ionic liquid-modified graphene oxide nanosorbents

The development of IL-modified GO nanosorbents has improved the adsorption efficiency and selectivity of pharmaceuticals in aqueous samples. Nevertheless, issues such as IL leaching from the sorbent surface and the possible toxicity of specific IL structures must be addressed in order to ensure long-term application. Proposed strategies for improving the performance of IL-based D-µ-SPE systems include covalent immobilization of ILs on sorbent backbones and the usage of biocompatible ILs.


Covalent immobilization of ILs on sorbent backbones

One of the key disadvantages of IL-based sorbents is their tendency to leach from the extraction medium due to poor interactions with solid support, resulting in decreased efficiency and reliability after numerous extraction cycles [93]. To address this issue, covalent immobilization of ILs on sorbent backbones has been proposed as a potential solution. This approach improves structural stability by preventing IL leaching, extending the sorbent’s lifespan as well as ensuring consistent extraction efficacy. In addition, covalent immobilization also allows for fine-tuning of the physicochemical features of the IL-functionalized sorbent, resulting in better selectivity for certain pharmaceutical pollutants.

The performance of covalently immobilized ILs in aqueous matrices had been investigated by Zhou and co-worker [107]. The IL-based GO sorbent has been shown to improve adsorption capacity, recyclability, and resistance to environmental degradation. It also improved the hydrophilicity of the sorbent, as well as its affinity for polar pharmaceutical compounds [108].


Utilization of biocompatible ILs

The integration of biocompatible ILs into D-µ-SPE systems is another important advancement. Although conventional ILs are highly effective in improving extraction performance, they frequently exhibit toxicity and limited biodegradability, which raises concerns about their environmental impact and safety in water treatment applications. As an alternative to conventional ILs, the development of biodegradable and eco-friendly ILs derived from natural sources, such as amino acid-based, choline-based, or deep eutectic solvents (DES), has been investigated [109-111].

Biocompatible ILs provide various benefits, including lower toxicity, increased biodegradability, and higher affinity for pharmaceutical pollutants while maintaining extraction efficiency. Their distinct structural characteristics, such as hydrogen bonding and variable polarity, enable more interactions with pharmaceutical molecules while reducing secondary contamination hazards [112]. Biocompatible ILs improve stability in aqueous settings, leading to more reproducible and robust D-µ-SPE methods [113].


Acknowledgment

The authors would like to thank Universiti Teknologi MARA for its facilitation, knowledge, and financial support under the research grant support: 600-RMC/KEPU 5/3 (009/2023).


Conclusions

Studies on IL-modified GO nanosorbents for the determination of pharmaceutical contaminants remains in its early stage. Despite their promising potential in removing such contaminants from aqueous systems, challenges such as limited stability, recyclability, compound-specific selectivity, and environmental compatibility must still be addressed. Overcoming these limitations is crucial to advancing their practical deployment. Green Analytical Procedure (GAP) can be considered as the new direction for the improvement and advancement of sample preparation technique, while maintaining the QuEChERS (quick, easy, cheap, effective, robust, and safe) requirements. Future studies should focus on the synthesis of eco-friendly, biodegradable, and renewable ionic liquids, as well as the functionalization of GO with natural or waste-derived materials, to improve sustainability. Furthermore, the scope of IL-modified GO nanosorbents can be extended beyond environmental water samples to complex biological matrices and industrial wastewater, where their tunable surface properties and high adsorption capacity could be highly advantageous.




Declaration of Generative AI in Scientific Writing

The article was constructed using the combination of human ideas and Generative AI which are ChatGPT and Quillbot. While part of the figures was created using Biorender.


CRediT Author Statement

Raihana Mohd Yusof: Formal analysis, Investigation, Validation, and Writing-original draft.

Nurzaimah Zaini: Investigation, Validation, and Visualization.

Nor Suhaila Mohamad Hanapi: Investigation, Validation, Visualization, and Supervision.

Sazlinda Kamaruzaman: Formal analysis, Conceptualization, and Validation.

Wan Asyraf Wan Mahmood: Formal analysis, Validation, and Visualization.

Ahmad Lutfi Anis: Investigation, Validation, Review, and Editing.


References

[1] A Chisvert, S Cardenas and R Lucena. Dispersive micro-solid phase extraction. Trends in Analytical Chemistry 2019; 112, 226-233.

[2] M Anastassiades and SJ Lehotey. Fast and easy multiresidue method employing acetonitrile extraction/partitioning and ‘dispersive solid-phase extraction’ for the determination of pesticide residues in produce. Journal of AOAC International 2003; 86(2), 412-431.

[3] M Gonzalez-Curbelo, B Socas-Rodriguez, AV Herrera-Herrera, J Gonzalez-Salamo, J Hernandez-Borges and M Rodriguez-Delgado. Evolution and applications of the QuEChERS method. TrAC Trends in Analytical Chemistry 2015; 71, 169-185.

[4] M Sajid, MK Nazal and I Ihsanullah. Novel materials for dispersive (micro) solid-phase extraction of polycyclic aromatic hydrocarbons in environmental water samples: A review. Analytica Chimica Acta 2021; 1141, 246-262.

[5] L Shearer, S Pap and SW Gibb. Removal of pharmaceuticals from wastewater: A review of adsorptive approaches, modelling and mechanisms for metformin and macrolides. Journal of Environmental Chemical Engineering 2022; 10(4), 108106.

[6] A Bhuyan and M Ahmaruzzaman. Recent advances in new generation nanocomposite materials for adsorption of pharmaceuticals from aqueous environment. Environmental Science and Pollution Research 2023; 30, 39377-39417.

[7] AJ Ebele, MA Abdallah and S Harrad. Pharmaceuticals and personal care products (PPCPs) in the freshwater aquatic environment. Emerging Contaminants 2017; 3(1), 1-16.

[8] OFS Khasawneh and P Palaniandy. Occurrence and removal of pharmaceuticals in wastewater treatment plants. Institution of Chemical Engineers 2021; 150, 532-556.

[9] M Ghorbani, M Aghamohammadhassan, H Ghorbani and A Zabihi. Trends in sorbent development for dispersive micro-solid phase extraction. Microchemical Journal 2020; 158, 105250.

[10] IA Vacchi, C Menard-Moyon and A Bianco. Chemical functionalization of graphene family members. Physical Sciences Reviews 2012; 2(1), 20160103.

[11] S Hu, W Cao, J Da, H Dai, J Cao, L Ye, X Li and C Chu. Dispersive micro solid-phase extraction with graphene oxide for the determination of phenolic compounds in dietary supplements by ultra high performance liquid chromatography coupled with quadrupole time-of-flight tandem mass spectrometry. Food Analytical Methods 2015; 8, 833-840.

[12] AC Sophia, EC Lima, N Allaudeen and S Rajan. Application of graphene based materials for adsorption of pharmaceutical traces from water and wastewater- a review. Desalination and Water Treatment 2016; 57(57), 27573-27586.

[13] JVB Borsatto and FM Lancas. Recent trends in graphene-based sorbents for LC analysis of food and environmental water samples. Molecules 2023; 28(13), 5134.

[14] C Jon, L Meng and D Li. Recent review on carbon nanomaterials functionalized with ionic liquids in sample pretreatment application. TrAC Trends in Analytical Chemistry 2019; 120, 115641.

[15] B Anegbe, IH Ifijen, M Maliki, IE Uwidia and AI Aigbodion. Graphene oxide synthesis and applications in emerging contaminant removal: A comprehensive review. Environmental Sciences Europe 2024; 36, 15.

[16] B Zhang, W Ning, J Zhang, X Qiao, J Zhang, J He and C Liu. Stable dispersions of reduced graphene oxide in ionic liquids. Journal of Materials Chemistry 2010; 20, 5401-5403.

[17] A Ayati, S Ranjbari, B Tanhaei and M Sillanpaa. Ionic liquid-modified composites for the adsorptive removal of emerging water contaminants: A review. Journal of Molecular Liquids 2019; 275, 71-83.

[18] K Yavir, K Konieczna, L Marcinkowski and A Kloskowski. Ionic liquids in the microextraction techniques: The influence of ILs structure and properties. TrAC Trends in Analytical Chemistry 2020; 130, 115994.

[19] JSDS Burato, DAV Medina, ALD Toffoli, EVS Maciel and FM Lancas. Recent advances and trends in miniaturized sample preparation techniques. Journal of Separation Science 2020; 43(1), 202-225.

[20] S Aldroubi, N Brun, IB Malham and A Mehdi. When graphene meets ionic liquids: A good match for the design of functional materials. Nanoscale 2021; 13(5), 2750-2779.

[21] T Chatzimitakos and C Stalikas. Carbon-based nanomaterials functionalized with ionic liquids for microextraction in sample preparation. Separations 2017; 4(2), 14.

[22] EVS Maciel, ALD Toffoli, ES Neto, CED Nazario and FM Lancas. New materials in sample preparation: Recent advances and future trends. TrAC Trends in Analytical Chemistry 2019; 119, 115633.

[23] TAD Beek, F Weber, A Bergmann, S Hickmann, I Ebert, A Hein and A Kuster. Pharmaceuticals in the environment-Global occurrences and perspectives. Environmental Toxicology and Chemistry 2016; 35(4), 823-835.

[24] CN Chichirez-Mihaela. The aquatic environment and pharmaceutical products - a review. RA Journal of Applied Research 2023; 9(11), 549-562.

[25] KD Daniels, M Park, Z Huang, A Jia, GS Flores, HK Lee and SA Snyder. A review of extraction methods for the analysis of pharmaceuticals in environmental Waters. Critical Reviews in Environmental Science and Technology 2020; 50(21), 2271-2299.

[26] Y Ben, C Fu, M Hu, L Liu, MH Wong and C Zheng. Human health risk assessment of antibiotic resistance associated with antibiotic residues in the environment: A review. Environmental Research 2019; 169, 483-493.

[27] C Hignite and DL Azarnoff. Drugs and drug metabolites as environmental contaminants: Chlorophenoxyisobutyrate and salicylic acid in sewage water effluent. Life Sciences 1977; 20(2), 337-342.

[28] ML Richardson and JM Bowron. The fate of pharmaceutical chemicals in the aquatic environment. Journal of Pharmacy and Pharmacology 1985; 37(1), 1-12.

[29] T Malchi, Y Maor, G Tadmor, M Shenker and B Chefetz. Irrigation of root vegetables with treated wastewater: Evaluating uptake of pharmaceuticals and the associated human health risks. Environmental Science & Technology 2014; 48(16), 9325-9333.

[30] VDJ Gaffney, CMM Almeida, A Rodrigues, E Ferreira, MJ Benoliel and VV Cardoso. Occurrence of pharmaceuticals in a water supply system and related human health risk assessment. Water Research 2015; 72, 199-208.

[31] Y Jari, N Roche, MC Necibi, SE Hajjaji, D Dhiba and A Chehbouni. Emerging pollutants in moroccan wastewater: Occurrence, impact, and removal technologies. Journal of Chemistry 2022; 2022(1), 2727857.

[32] JL Sims, AR Cole, ZS Moran, CM Mansfield, B Possamai, M Rojo, RS King, CW Matson and BW Brooks. The tissue-specific eco-exposome: Differential pharmaceutical bioaccumulation and disposition in fish among trophic positions. Environmental Toxicology and Chemistry 2024; 43(8), 1894-1902.

[33] H Yang, G Lu, Z Yan, J Liu, H Dong, X Bao, X Zhang and Y Sun. Residues, bioaccumulation, and trophic transfer of pharmaceuticals and personal care products in highly urbanized rivers affected by water diversion. Journal of Hazardous Materials 2020; 391, 122245.

[34] MDC Gomez-Regalado, J Martin, JL Santos, I Aparicio, E Alonso and A Zafra-Gomez. Bioaccumulation/bioconcentration of pharmaceutical active compounds in aquatic organisms: Assessment and factors database. Science of The Total Environment 2023; 861, 160638.

[35] M Shen, Y Hu, K Zhao, C Li, B Liu, M Li, C Lyu, L Sun and S Zhong. Occurrence, bioaccumulation, metabolism and ecotoxicity of fluoroquinolones in the aquatic environment: A review. Toxics 2023; 11(12), 966.

[36] KA Kidd, PJ Blanchfield, KH Mills, VP Palace, RE Evans, JM Lazorchak, RW Flick. Collapse of a fish population after exposure to a synthetic estrogen. Proceedings of the National Academy of Sciences of the United States of America 2006; 104(21), 8897-8901.

[37] L Jackson and P Klerks. Effects of the synthetic estrogen 17α-ethinylestradiol on heterandria formosa populations: Does matrotrophy circumvent population collapse? Aquatic Toxicology 2020; 229, 105659.

[38] LM Jackson, BE Felgenhauer and PL Klerks. Feminization, altered gonadal development, and liver damage in least killifish (Heterandria formosa) exposed to sublethal concentrations of 17α-ethinylestradiol. Ecotoxicology and Environmental Safety 2019; 170, 331-337.

[49] X Qin, KP Lai, RSS Wu and RYC Kong. Continuous 17α-ethinylestradiol exposure impairs the sperm quality of marine medaka (Oryzias melastigma). Marine Pollution Bulletin 2022; 183, 114093.

[40] T Porseryd, K Volkova, NR Caspillo, T Kallman, P Dinnetz and IP Hallstrom. Persistent effects of developmental exposure to 17α-ethinylestradiol on the zebrafish (Danio rerio) brain transcriptome and behavior. Frontiers in Behavioral Neuroscience 2017; 11, 69.

[41] J Gong, C Lin, X Xiong, D Chen, Y Chen, Y Zhou, C Wu and Y Du. Occurrence, distribution, and potential risks of environmental corticosteroids in surface waters from the Pearl River Delta, South China. Environmental Pollution 2019; 251, 102-109.

[42] Y Liang, L Zhong, M Jiang, M Lu, C Li, Z Dong and Z Lin. Physiological and transcriptional effects in the male western mosquitofish (gambusia affinis) following exposure to dexamethasone. Ecotoxicology and Environmental Safety 2023; 254, 114722.

[43] AO Hidasi, KJ Groh, MJF Suter and K Schirmer. Clobetasol propionate causes immunosuppression in zebrafish (Danio rerio) at environmentally relevant concentrations. Ecotoxicology and Environmental Safety 2017; 138, 16-24.

[44] RA Willi, N Salgueiro-Gonzalez, G Carcaiso and K Fent. Glucocorticoid mixtures of fluticasone propionate, triamcinolone acetonide and clobetasol propionate induce additive effects in zebrafish embryos. Journal of Hazardous Materials 2019; 374, 101-109.

[45] S Schmid, RA Willi and K Fent. Effects of environmental steroid mixtures are regulated by individual steroid receptor signaling. Aquatic Toxicology 2020; 226, 105562.

[46] N Xin, S Liu, Y Zhou, Y Cheng and Y Jiang. Effects of prednisolone on behavior and hypothalamic–pituitary–interrenal axis activity in zebrafish. Environmental Toxicology and Pharmacology 2020; 75, 103325.

[47] S Faltermann, T Hettich, N Kung and K Fent. Effects of the glucocorticoid clobetasol propionate and its mixture with cortisol and different class steroids in adult female zebrafish. Aquatic Toxicology 2020; 218, 105372.

[48] CD Miranda, C Concha, FA Godoy and MR Lee. Aquatic environments as hotspots of transferable low-level quinolone resistance and their potential contribution to high-level quinolone resistance. Antibiotics 2022; 11(11), 1487.

[49] L Tian, H Fang, Q Mao, Y Bai, Z Ye, D Hu, X Wang, Y Hou, N Ye, S Zhang and Y Ma. Low concentrations of antibiotics alter microbial communities and induce high abundances of antibiotic-resistant genes in ornamental water. Water 2023; 15(17), 3047.

[50] S Li, J Chen, J Zhao, W Qi and H Liu. The response of microbial compositions and functions to chronic single and multiple antibiotic exposure by batch experiment. Environment International 2023; 179, 108181.

[51] Y Tao, C Zhou, Y Xie, A Chen, K Liu, X Wu, H Wei and C Liu. Effects of long-term exposure to sulfamethoxazole on the sediments in sewage pipe: Extracellular polymeric substance, microbial communities, and antibiotic resistance genes. Journal of Environmental Chemical Engineering 2025; 13(1), 115116.

[52] V Rilstone, Y Filion and P Champagne. Study on the persistence of ciprofloxacin and sulfamethoxazole in simulated drinking water systems. Environmental Systems Research 2025; 14, 7.

[53] ZM Elisabeth. Antibiotic residues in food. Elsevier Science, Amsterdam, Netherlands, 2023.

[54] B Bojarski, B Kot and M Witeska. Antibacterials in aquatic environment and their toxicity to fish. Pharmaceuticals 2020; 13(8), 189.

[55] Z Li, T Lu, M Li, M Mortimer and L Guo. Direct and gut microbiota-mediated toxicities of environmental antibiotics to fish and aquatic invertebrates. Chemosphere 2023; 329, 138692.

[56] AH Shang, J Ye, DH Chen, XX Lu, HD Lu, CN Liu and LM Wang. Physiological effects of tetracycline antibiotic pollutants on non-target aquatic Microcystis aeruginosa. Journal of Environmental Science and Health, Part B 2015; 50(11), 809-819.

[57] TAD Beek, F Weber, A Bergmann, S Hickmann, I Ebert, A Hein and A Kuster. Pharmaceuticals in the environment-Global occurrences and perspectives. Environmental Toxicology and Chemistry 2016; 35(4), 823-835.

[58] J Hu, X Tang, M Qi and J Cheng. New models for estimating the sorption of sulfonamide and tetracycline antibiotics in soils. International Journal of Environmental Research and Public Health 2022; 19(24), 16771.

[59] S Thiele-Bruhn, T Seibicke, HR Schulten and P Leinweber. Sorption of sulfonamide pharmaceutical antibiotics on whole soils and particle-size fractions. Journal of Environmental Quality 2004; 33(4), 1331-1342.

[60] J Schwaiger, H Ferling, U Mallow, H Wintermayr and RD Negele. Toxic effects of the non-steroidal anti-inflammatory drug diclofenac. Part I: Histopathological alterations and bioaccumulation in rainbow trout. Aquatic Toxicology 2004; 68(2), 141-150.

[61] N Hodkovicova, A Hollerova, J Blahova, P Mikula, M Crhanova, D Karasova, A Franc, S Pavlokova, J Mares, E Postulkova, F Tichy, P Marsalek, J Lanikova, M Faldyna and Z Svobodova. Non-steroidal anti-inflammatory drugs caused an outbreak of inflammation and oxidative stress with changes in the gut microbiota in rainbow trout (Oncorhynchus mykiss). Science of The Total Environment 2022; 849, 157921.

[62] E Mennillo, C Pretti, F Cappelli, G Luci, L Intorre, V Meucci and A Arukwe. Novel organ-specific effects of Ketoprofen and its enantiomer, dexketoprofen on toxicological response transcripts and their functional products in salmon. Aquatic Toxicology 2020; 229, 105677.

[63] GE Swan, R Cuthbert, M Quevedo, RE Green, DJ Pain, P Bartels, AA Cunningham, N Duncan, AA Meharg, JL Oaks, J Parry-Jones, S Shultz, MA Taggart, G Verdoorn and K Wolter. Toxicity of diclofenac to Gyps vultures. Biology Letters 2006; 2(2), 279-282.

[64] SE Cook, RE Green, E Lieberherr, CGR Bowden, MJI Chaudhry, ABMS Alam, S Bharathidasan, V Prakash, A Ghoshal, A Margalida, M Shobrak and I Thapa. Current policies in Europe and South Asia do not prevent veterinary use of drugs toxic to vultures. Ecological Solutions and Evidence 2024; 5(2), e12357.

[65] B Nethathe, J Chipangura, IZ Hassan, N Duncan, EO Adawaren, L Havenga and V Naidoo. Diclofenac toxicity in susceptible bird species results from a combination of reduced glomerular filtration and plasma flow with subsequent renal tubular necrosis. PeerJ 2021; 9, e12002.

[66] J Weinberger and R Klaper. Environmental concentrations of the selective serotonin reuptake inhibitor fluoxetine impact specific behaviors involved in reproduction, feeding and predator avoidance in the fish Pimephales promelas (fathead minnow). Aquatic Toxicology 2014; 151, 77-83.

[67] M Saaristo, A McLennan, CP Johnstone, BO Clarke and BBM Wong. Impacts of the antidepressant fluoxetine on the anti-predator behaviours of wild guppies (Poecilia reticulata). Aquatic Toxicology 2017; 183, 38-45.

[68] M Pelli and VP Connaughton. Chronic exposure to environmentally-relevant concentrations of fluoxetine (Prozac) decreases survival, increases abnormal behaviors, and delays predator escape responses in guppies. Chemosphere 2015; 139, 2020-209.

[69] PP Fong and AT Ford. The biological effects of antidepressants on the molluscs and crustaceans: A review. Aquatic Toxicology 2014; 151, 4-13.

[70] P Sehonova, Z Svobodova, P Dolezelova, P Vosmerova and C Faggio. Effects of waterborne antidepressants on non-target animals living in the aquatic environment: A review. Science of The Total Environment 2018; 631-632, 789-794.

[71] WA Thompson and MM Vijayan. Antidepressants as endocrine disrupting compounds in fish. Frontiers in Endocrinology 2022; 13, 895064.

[72] JS Camara, R Perestrelo, CV Berenguer, CFP Andrade, TM Gomes, B Olayanju, A Kabir, CMR Rocha, JA Teixeira and JAM Pereira. Green extraction techniques as advanced sample preparation approaches in biological, food, and environmental matrices: A review. Molecules 2022; 27(9), 2953.

[73] M Perrucci, EM Ricci, M Locatelli, I Ali, FR Mansour, A Kabir and HI Ulusoy. Recent trends in microsampling and reduced-volume sample preparation procedures. Advances in Sample Preparation 2025; 14, 100182.

[74] JM Kokosa and A Przyjazny. Green microextraction methodologies for sample preparations. Green Analytical Chemistry 2022; 3, 100023.

[75] A Salemi, A Luta and TC Schmidt. Greenness assessment of exemplary US EPA and DIN standard analytical methods using the AGREEprep model. Green Analytical Chemistry 2024; 11, 100180.

[76] E Yilmaz and M Soylak. Latest trends, green aspects, and innovations in liquid-phase-based microextraction techniques: A review. Turkish Journal of Chemistry 2016; 40(6), 868-893.

[77] RB Hoff and TM Pizzolato. Combining extraction and purification steps in sample preparation for environmental matrices: A review of matrix solid phase dispersion (MSPD) and pressurized liquid extraction (PLE) applications. TrAC Trends in Analytical Chemistry 2018; 109, 83-96.

[78] MDF Alpendurada. Solid-phase microextraction: A promising technique for sample preparation in environmental analysis. Journal of Chromatography A 2000; 889(1-2), 3-14.

[79] MEI Badawy, MAM El-Nouby, PK Kimani, LW Lim and EI Rabea. A review of the modern principles and applications of solid-phase extraction techniques in chromatographic analysis. Analytical Sciences 2022; 38, 1457-1487.

[80] M Anastassiades and SJ Lehotay. Fast and easy multiresidue method employing acetonitrile extraction/partitioning and ‘dispersive solid-phase extraction’ for the determination of pesticide residues in produce. Journal of AOAC International 2003; 86(2), 412-431.

[81] B Buszewski and M Szultka. Past, present, and future of solid phase extraction: A review. Critical Reviews in Analytical Chemistry 2012; 42(3), 198-213.

[82] NSM Hanapi, SA Amraa, AL Anis, N Zaini, WNW Ibrahim and NN Bonnia. Rapid and sensitive determination of polycyclic aromatic hydrocarbons in green tea samples by dispersive liquid-liquid microextraction coupled to high-performance liquid chromatography-diode array detection. Trends in Sciences 2022; 19(20), 6232.

[83] S Armenta, S Garrigues, FA Esteve-Turrillas and MDL Guardia. Green extraction techniques in green analytical chemistry. TrAC Trends in Analytical Chemistry 2019; 116, 248-253.

[84] NSM Hanapi, MM Sanagi, AK Ismail, N Saim, WNW Ibrahim, WAW Ibrahim and FM Marsin. Rapid determination of non-steroidal anti-inflammatory drugs in aquatic matrices by two-phase micro-electrodriven membrane extraction combined with liquid chromatography. Journal of Chromatographic Science 2018; 56(2), 166-176.

[85] W Yan, Y Huang, Y Xu, L Huang and Y Chen. Rapid and effective functionalization of graphene oxide by ionic liquid. Journal of Nanoscience and Nanotechnology 2012; 12(3), 2270-2277.

[86] A Gutierrez-Serpa, PI Napolitano-Tabares, SI Pacheco-Fernandez and V Pino. Role of ionic liquids in composites in analytical sample preparation. Separations 2020; 7(3), 37.

[87] MJS Trevino, S Zarazua and J Plotka-Wasylka. Nanosorbents as materials for extraction processes of environmental contaminants and others. Molecules 2022; 27(3), 1067.

[88] V Georgakilas, M Otyepka, AB Bourlinos, V Chandra, N Kim, KC Kemp, P Hobza, R Zboril and KS Kim. Functionalization of graphene: Covalent and non-covalent approaches, derivatives and applications. Chemical Reviews 2012; 112(11), 6156-6214.

[89] AK Dizaji, HR Mortaheb and B Mokhtarani. Noncovalently functionalized graphene oxide/graphene with imidazolium-based ionic liquids for adsorptive removal of dibenzothiophene from model fuel. Journal of Materials Science 2016; 51, 10092-10103.

[90] M Serrano, T Chatzimitakos, M Gallego and CD Stalikas. 1-Butyl-3-aminopropyl imidazolium-functionalized graphene oxide as a nanoadsorbent for the simultaneous extraction of steroids and β-blockers via dispersive solid-phase microextraction. Journal of Chromatography A 2016; 1436, 9-18.

[91] N. Zaini, NSM Hanapil, WNW Ibrahim, R Osman, S Kamaruzaman, N Yahaya and AL Anis. Dispersive micro-solid-phase extraction (D-µ-SPE) with polypyrrole-graphene oxide (PPy-GO) nanocomposite sorbent for the determination of tetracycline antibiotics in water samples. Malaysian Journal of Analytical Sciences 2022; 26(5), 953-964.

[92] S. Tan, D Zhang, M Nguyen, V Shutthanandan, T Varga, R Rousseau, GE Johnson, V Glezakou and V Prabhakaran. Tuning the charge and hydrophobicity of graphene oxide membranes by functionalization with ionic liquids at epoxide sites. ACS Applied Materials & Interfaces 2022; 14(16), 19031-19042.

[93] IA Lawal, MM Lawal, SO Akpotu, HK Okoro, M Klink and P Ndungu. Noncovalent graphene oxide functionalized with ionic liquid: Theoretical, isotherm, kinetics, and regeneration studies on the adsorption of pharmaceuticals. Industrial & Engineering Chemistry 2020; 59(11), 4945-4957.

[94] RM Yusof, WNAMW Kamalludin, N Zaini, NSM Hanapi, AL Anis and NN Bonnia. Dispersive micro solid phase extraction using graphene oxide for the pre-concentration of hydrocortisone in water samples by liquid chromatography analysis. Malaysian Journal of Chemistry 2024; 26(5), 614-621.

[95] X Hou, X Lu, S Tang, L Wang and Y Guo. Graphene oxide reinforced ionic liquid-functionalized adsorbent for solid-phase extraction of phenolic acids. Journal of Chromatography B 2018; 1072, 123-129.

[96] SNZM Zain and NSM Hanapi. A dispersive micro-solid phase extraction using ionic liquid-modified graphene oxide sorbent for pre-concentration and extraction of acid drug from water sample using liquid chromatography. Junior Science Communications 2024; 39, 1.

[97] AT Cardoso and FM Lancas. Graphene oxide functionalized with hydrophilic ionic liquid as stir bar coating: Sorptive extraction of selected triazines in grape juice samples. Analytica Chimica Acta 2025; 1343, 343691.

[98] Q Kong, S Preis, L Li, P Luo, C Wei, Z Li, Y Hu and C Wei. Relations between metal ion characteristics and adsorption performance of graphene oxide: A comprehensive experimental and theoretical study. Separation and Purification Technology 2020; 232, 115956.

[99] WAW Ibrahim, HR Nodeh and MM Sanagi. Graphene-based materials as solid phase extraction sorbent for trace metal ions, organic compounds, and biological sample preparation. Critical Reviews in Analytical Chemistry 2016; 46(4), 267-283.

[100] X Hou, S Liu, P Zhou, J Li, X Liu, L Wang and Y Guo. Polymeric ionic liquid modified graphene oxide-grafted silica for solid-phase extraction to analyze the excretion-dynamics of flavonoids in urine by box-behnken statistical design. Journal of Chromatography A 2016; 1456, 10-18.

[101] S Seidi, H Abolhasani, Y Razeghi, M Shanehsaz and M Manouchehri. Electrochemically deposition of ionic liquid modified graphene oxide for circulated headspace in-tube solid phase microextraction of naphthalene from honey samples followed by on-line liquid chromatography analysis. Journal of Chromatography A 2020; 1628; 461486.

[102] Y Zhang, H Zhou, Z Zhang, X Wu, W Chen, Y Zhu, C Fang and Y Zhao, Three-dimensional ionic liquid functionalized magnetic graphene oxide nanocomposite for the magnetic dispersive solid phase extraction of 16 polycyclic aromatic hydrocarbons in vegetable oils. Journal of Chromatography A 2017; 1489, 29-38.

[103] X Xu, M Zhang, L Wang, S Zhang, M Liu, N Long, X Qi, Z Cui and L Zhang. Determination of rhodamine B in food using ionic liquid–coated multiwalled carbon nanotube–based ultrasound-assisted dispersive solid-phase microextraction followed by high-performance liquid chromatography. Food Analytical Methods 2016; 9, 1696-1705.

[104] N Manousi, E Rosenberg, E Deliyanni, GA Zachariadis and V Samanidou. Magnetic solid-phase extraction of organic compounds based on graphene oxide nanocomposites. Molecules 2020; 25(5), 1148.

[105] N Manousi, I Sarakatsianos and V Samanidou. Extraction techniques of phenolic compounds and other bioactive compounds from medicinal and aromatic plants. Elsevier Science, Amsterdam, Netherlands, 2019.

[106] BT Zhang, X Zheng, HF Li and JM Lin. Application of carbon-based nanomaterials in sample preparation: A review. Analytica Chimica Acta 2013; 784, 1-17.

[107] H Zhou, S Bai, Y Zhang, D Xu and M Wang. Recent advances in ionic liquids and ionic liquid-functionalized graphene: Catalytic application and environmental remediation. International Journal of Environmental Research 2022; 19(13), 7584.

[108] Q Jiang, S Zhang and M Sun. Recent advances on graphene and graphene oxide as extraction materials in solid-phase (micro)extraction. TrAC Trends in Analytical Chemistry 2023; 168, 117283.

[109] BY Zhao, P Xu, FX Yang, H Wu, MH Zong and WY Lou. Biocompatible deep eutectic solvents based on choline chloride: Characterization and application to the extraction of rutin from sophora japonica. ACS Sustainable Chemistry & Engineering 2015; 3(11), 2746-2755.

[110] S Miao, R Atkin and G Warr. Design and applications of biocompatible choline amino acid ionic liquids. Green Chemistry 2022; 24(19), 7281-7304.

[111] A Tzani, MA Karadendrou, S Kalafateli, V Kakokefalou and A Detsi. Current trends in green solvents: Biocompatible ionic liquids. Crystals 2022; 12(12), 1776.

[112] IO Saheed, SO Azeez and FBM Suah. Imidazolium based ionic liquids modified polysaccharides for adsorption and solid-phase extraction applications: A review. Carbohydrate Polymers 2022; 298, 120138.

[113] S Abbasi and S Ammar Haeri. Biodegradable materials and their applications in sample preparation techniques–A review. Microchemical Journal 2021; 171, 106831.