Start Bootstrap Logo

Trends Sci. 2025; 22(10): 10329


Response Surface Optimization of Citronella Oil Encapsulation using Gum Arabic as Biopesticide


Prima Astuti Handayani*, Nadya Alfa Cahaya Imani, Maharani Kusumaningrum,

Hanif Ardhiansyah, Achmad Wikandaru, Tedhy Pikrihaikal,

Elfira Dwi Cahyani and Samara Muna Lismawati


Department of Chemical Engineering, Faculty of Engineering, Universitas Negeri Semarang,

Semarang 50229, Indonesia


(*Corresponding author’s e-mail: [email protected])


Received: 9 April 2025, Revised: 14 June 2025, Accepted: 25 June 2025, Published: 30 July 2025


Abstract

The use of chemical pesticides negatively impacts the environment, health, and ecosystems, necessitating safer alternatives such as biopesticides. This study aimed to determine the effects and optimal conditions of pH, temperature, and coating-to-oil ratio on the distribution and encapsulation size result. Encapsulation was done by dissolving, gum Arabic as coating agent in water and mixed at 50 °C. This solution was then combined with citronella oil and vigorously mixed. pH and temperature of the solution were adjusted to form microdroplets. Finally, a crosslinking agent was added to solidify the droplets, and they were further processed to remove air bubbles. Response Surface Methodology was employed to optimize the distribution and encapsulation size, resulting optimum conditions were achieved at pH 5, coating to oil ratio of 1.159:1 (gum arabic to essential oil, g/g), and a temperature of 55 °C. Efficacy tests revealed that citronella oil biopesticide killed 77.85% of Spodoptera exigua pests on day 3, compared to 55.85% in the control group without biopesticide. This study demonstrates the potential of citronella oil biopesticide as an alternative to chemical pesticides.


Keywords: Biopesticide, Citronella oil, Encapsulation, Coacervation


Introduction

Agriculture is a crucial sector in supporting global food needs and significantly contributes to the economies of many countries [1]. The ever-growing global population and the demand for agricultural products always increase significantly, which drives efforts to enhance productivity through the use of modern technologies and innovations in crop protection [2]. In order to support agricultural productivity, chemical pesticides have become essential in protecting crops from pests and diseases. Chemical pesticides are used to ensure maximum yields, reduce losses caused by pest attacks, and maintain the quality of agricultural products [3].

Although effective, excessive use of synthetic chemical pesticides has led to issues such as ecosystem


imbalances, resistance in target organisms, and adverse effects on non-target species, including beneficial soil microorganisms and pollinators [4-6]. Moreover, pesticide residues can contaminate the environment and pose risks to human health [7]. Therefore, there is a need for natural-based pesticide alternatives to replace synthetic chemical pesticides [8,9].

Citronella oil, derived from citronella grass (Cymbopogon nardus), has significant potential as a natural biopesticide. Active compounds such as citronella, geraniol, and citronellol exhibit effective pesticidal properties against various agricultural pests and pathogens [10-12]. Furthermore, citronella oil is a natural resource, making it more environmentally friendly than chemical pesticides. However, citronella oil has a high volatility, causing it to evaporate quickly under ambient conditions and making it susceptible to degradation [13]. This limits the effectiveness and shelf life of biopesticide products based on citronella oil. Its low stability poses a significant challenge to its application in agriculture.

Encapsulation is a promising technology that can address the limitations of citronella oil. This technology enables citronella oil to be coated with protective materials, enhancing its stability and controlling its release [14]. Additionally, encapsulation protects against degradation caused by environmental factors [15]. Coacervation is one of the most effective and economical encapsulation techniques for citronella oil. This method involves forming microcapsules through interactions between coating materials, such as gum arabic and citronella oil [16-18]. Coacervation is conducted under relatively simple environmental conditions, making it suitable for industrial-scale applications [19].

Previous research has extensively explored the encapsulation of essential oils for various applications. For instance, a study by Manaf et al. [13] demonstrated that encapsulating citronella oil using gum arabic resulted in an encapsulation efficiency of 94% and enhanced the stability of active ingredient release with a Fick’s law diffusion coefficient of 0.5. Another study by Pujiastuti et al. [20] showed the stability of citronella oil encapsulated with β-Cyclodextrin, achieving an encapsulation efficiency of 90% and improving the stability of the active ingredient by 85%. However, despite these promising results, there has been no specific research focusing on the encapsulation of essential oils as biopesticides. Therefore, research on the encapsulation of citronella oil as an agricultural biopesticide using a systematic approach through process optimization remains very limited and requires further exploration.

Optimization for achieving uniform distribution and particle size in biopesticide encapsulation is essential for maximizing the biopesticide’s stability, handling properties, efficacy, and for minimizing its environmental impact. It allows for a more controlled and predictable delivery of the active ingredient, leading to better pest management outcomes. This study focus in only investigates the effects of process variables, including pH, the ratio coating to oil, and operating temperature, on the encapsulation size distribution (Polydispersity Index) and encapsulation size (Z-average) of the encapsulated products. This study employs Response Surface Methodology (RSM) to optimize the encapsulation process of citronella oil. RSM is a statistical method to determine the correlation between a response and a set of input variables. This method is time-saving and cost-effective to describe the influence and interaction between input variables on the response [21]. The results of the RSM analysis obtain optimal process conditions for the response and polynomial mathematical equations that are useful for larger scale production. The results of this study are expected to support the development of more stable, effective, and environmentally friendly citronella oil-based biopesticides, contributing to sustainable pest management practices.


Material and methods

Material

The materials used in this study include citronella oil obtained from a local attire farmer in Kendal. Gum arabic (Acacia arabica exudate) was from Sigma-Aldrich. Acetic acid (CH3COOH, 100%), sodium hydroxide (NaOH, 100%), and sodium tripolyphosphate (STPP, 98%) were purchased from Merck, Germany.


Methods

The coating solution was prepared by dissolving gum arabic, weighed according to formulation (1, 2, and 3 gum arabic to essential oil, g/g), into 100 mL of distilled water and homogenized at 500 rpm for 30 min at 50 °C. The essential oil emulsion was formed by mixing the coating solution with 1.5 g of citronella oil and homogenized at 20,000 rpm for 3 min. For coacervation, the acidity of the emulsion was adjusted using 3.5 M CH3COOH to the desired value and stirred at 500 rpm for 30 min at the specified temperature. After storing at 10 °C for 30 min, 20 mL of 3% sodium tripolyphosphate solution was added as a crosslinker, followed by homogenization at 20,000 rpm for 3 min. The pH was then adjusted to 9 using 5 M NaOH, and the emulsion was further homogenized at 20,000 rpm for 4 min. The emulsion was stored at 10 °C for 16 h, and air bubbles were removed using an ultrasonic homogenizer at 25 °C and 50% power (450 W) for 10 min.


Particle size analysis

Encapsulation size was determined in suspension and particle size distribution using HORIBA SZ-100 for window (z type) Ver 2.20 with dynamic light scattering method. The particle size distribution was expressed in terms of Polydispersity Index (PI), while particle size was reported as the Z-Average.


Response surface methodology design

A Central Composite Design (CCD) within the Response Surface Methodology (RSM) framework was utilized to structure the experimental design and explore how 3 independent variables influence the process. These variables included pH (4, 5 and 6), the ratio of coating-to-oil (1, 2 and 3 g/g), and operation temperature (50, 55 and 60 °C). The dependent variables studied were the PI and Z-average, which served as responses to changes in the independent variables. To facilitate analysis, the actual values of these variables were converted into coded values, as presented in the corresponding experimental Table 1.

Table 1 Experimental ranges and factor levels of the independent process variables.

Independent variable

Pattern code

α

1

0

+1

pH (X1)

3.31

4

5

6

6.68

Ratio coating to oil, g/g (X2)

0.31

1

2

3

3.68

Temperature, °C (X3)

46.59

50

55

60

63.40

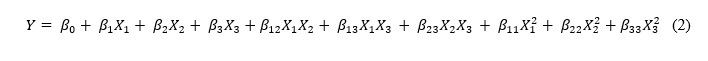
The relationship between the PI, Z-Average, and the independent variables was modeled using a second-order polynomial equation. This equation incorporates linear, quadratic, and interaction terms to predict the response variable (yy), with regression coefficients (β) describing the contribution of each term. Following a second-order polynomial equation as shown in Eq. (1).





Morphological analysis on encapsulates

The morphology of the encapsulates in suspension was observed using a scanning electron microscope (SEM) Jeol JSM 6510 LA. Before the morphological analysis was conducted, the suspension was solidified using freeze drying.


Effectiveness of biopesticides

An efficacy test was conducted to evaluate the effectiveness and capability of citronella oil-based biopesticides in controlling caterpillar pests on mustard greens. The test involved 2 treatments: A control group (0% citronella leaf extract concentration) and a biopesticide group (1.5% citronella leaf extract concentration). The observed parameter in the study was the time to initial mortality of the pests.


Results and discussion

Response surface methodology analysis

The influence of variables on the PI and Z-Average was optimized using RSM with a CCD. The obtained PI values and Z-Average in both observed and predicted responses are presented in Table 2, with the corresponding error calculated using Eq. (3).





Table 2 The set of experimental variables based on the Central Composite Design (CCD) and the observed responses of the PI and Z-average.

Run

Factor

PI Value

Z-Average Value

pH

Ratio coating to oil

(g/g)

Temp

(°C)

Observed

Predicted

Error

(%)

Observed

Value (nm)

Predicted

Value (nm)

Error

(%)

1

4

1

50

0.480

0.727

4.20

1,339.400

1,395.624

51.48

2

4

1

60

0.525

0.645

16.92

1,568.200

1,833.474

22.92

3

4

3

50

1.579

1.497

1.83

4,215.100

4,137.816

5.17

4

4

3

60

0.996

1.156

0.71

4,379.800

4,348.816

16.08

5

6

1

50

0.945

0.938

7.96

1,596.300

1,723.390

0.66

6

6

1

60

0.624

0.859

6.98

2,485.200

2,658.590

37.74

7

6

3

50

1.168

1.201

6.59

2,567.600

2,398.432

2.87

8

6

3

60

0.956

0.862

1.30

3,066.900

3,106.782

9.75

9

3.31

2

55

1.434

1.243

1.72

4,687.900

4,607.445

13.32

10

6.68

2

55

1.201

1.174

1.42

3,894.100

3,838.640

2.22

11

5

0.31

55

0.695

0.414

60.47

535.000

211.502

40.37

12

5

3.62

55

1.002

1.064

6.93

2,706.700

2,894.284

6.28

13

5

2

46.51

1.325

1.284

3.74

2,242.800

2,326.675

3.05

14

5

2

63.40

1.108

0.930

6.26

3,510.300

3,290.511

15.99

15

5

2

55

1.529

1.556

16.48

4,737.400

5,518.010

1.81

16

5

2

55

1.547

1.556

12.07

6,275.300

5,518.010

0.62


The Mean Absolute Percentage Error (MAPE) was employed to evaluate the model’s predictive performance [22]. MAPE measures the average percentage deviation between forecasted and observed values, offering an intuitive understanding of the model’s accuracy using Eq. (4) [23].


The MAPE values can be classified into 4 categories to assess model performance: Very high accuracy (< 10%), good accuracy (10% - 20%), moderate accuracy (20% - 50%), and low accuracy (> 50%). The MAPE obtained from the optimization, as shown in Eq. (4), was 14.39%. This indicates a relatively high level of accuracy in the experimental results. The low MAPE value suggests minimal deviation from the actual values, thus ensuring the validity and reliability of the data. Moreover, this finding implies that the experimental methodology employed is effective and reliable in generating accurate data [24]. The discrepancy between the empirical and theoretical PI values is visually depicted in Figure 2.

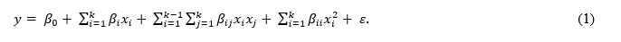
This graph visualizes the degree of alignment between the predictive model and observational data. Clearly, it illustrates the extent to which the model can represent patterns and trends observed in the data. RSM involved building a mathematical model, variance analysis, Pareto analysis, and model validation. A second-order polynomial equation was derived from RSM. This equation represents the relationship between the independent variables (X) and the dependent variable (Y), enabling predictions and optimization of the system’s performance.



Figure 2 Graphical comparison of observed and predicted responses (a) PI value (b) Z-average.


Based on Figure 2, the comparison between observed and predicted response values can be observed. Black dots represent the observed responses, while a red line indicates the predicted responses. The figure shows that the observed response values closely align with the predicted values, indicating high accuracy and minimal errors in the experiment. A polynomial mathematical model was developed to analyze the variables’ influence on the PI and Z-average value, expressed in the following equation.


Conversely, RSM also provides an Analysis of Variance (ANOVA), which can help identify significant factors, build predictive models, and ensure the reliability of optimization results. In Table 3, it can be seen that this study has an accuracy level of 0.832. In other words, 83.21% of the research data aligns with the values predicted by the model.


Table 3 ANOVA test result on PI value.

Factor

Sum square

Df

Mean square

p value

X1

0.005694

1

0.005694

0.1063

X12

0.140219

1

0.140219

0.0216

X2

0.510844

1

0.510844

0.0113

X22

0.772912

1

0.772912

0.0092

X3

0.150983

1

0.150983

0.0208

X32

0.233429

1

0.233429

0.0167

X1.X2

0.128778

1

0.128778

0.0225

X1.X3

0.000003

1

0.000003

0.9121

X2.X3

0.033670

1

0.033670

0.0440

Lack of fit

0.326700

5

0.065340

0.0377

error

0.000162

1

0.000162


Total SS

1.946406

15



R2

0.8321


Adj R2

0.580170  


The p-value results indicate that the model’s prediction parameters are statistically significant when p < 0.05, meaning they have a meaningful influence on the response variable. Conversely, parameters with p > 0.05 are not considered significant. The analysis of variance (ANOVA) for the PI value model, shown in Table 3, reveals a lack of fit p-value of 0.0377 - below the 0.05 threshold - indicating a statistically significant difference between the model and the observed data. This suggests the model may not fully account for all variability in the response, possibly due to unmodeled interactions or higher-order effects. Ideally, a non-significant lack of fit (p > 0.05) is preferred, as it suggests the model accurately represents the data, with remaining error attributed to random variation. Despite this, the model still demonstrates a relatively strong fit, with a coefficient of determination (R2) of 0.8321. Notably, the lack of fit value in Table 3 is 0.038, reinforcing the conclusion that the current second-order linear model may be insufficient to capture the full complexity of the system. Meanwhile, the ANOVA for the effect of variables on the Z-average value is presented in Table 4.




Table 4 ANOVA test result on Z-average value.

Factor

Sum Square

Df

Mean Square

p value

X1

713474

1

713474

0.146996

X12

1941925

1

1941925

0.033440

X2

8687931

1

8687931

0.001142

X22

18206522

1

18206522

0.000154

X3

1121377

1

1121377

0.081915

X32

8500935

1

8500935

0.001208

X1.X2

2136555

1

2136555

0.028021

X1.X3

123679

1

123679

0.514131

X2.X3

25730

1

25730

0.762588

error

1544459

6

257410


Total SS

34801072

15



R2

0.95562

Adj R2

0.88905



The significance of each independent variable on the Z-Average value was evaluated using ANOVA, where a p-value less than 0.05 indicates a statistically significant effect. Table 4 presents the impact of pH (X1), the coating-to-oil ratio (X2), and temperature (X3). Among these, the coating-to-oil ratio was found to have the most significant effect on the Z-Average value, while pH and temperature showed less pronounced impacts. Additionally, the ANOVA results indicate that all 3 factors - pH, coating-to-oil ratio, and encapsulation temperature - contribute significantly to the variation in the response variable. The model demonstrates a high level of accuracy, with an R2 value of 0.956, meaning it accounts for approximately 95.562% of the total variability. The remaining 4.438% is likely due to uncontrolled variables not included in the model, such as stirring speed or ultrasonic processing parameters. Figure 3 presents a Pareto Chart highlighting the most and least influential parameters.




Figure 3 Pareto diagram of effect variables (a) PI value (b) Z-average value.


Figure 3(a) illustrates the effect of variables on the PI value, where the quadratic ratio of coating to oil (X22) has the most significant impact, at −69.073. This negative value indicates that a reduction in X22 will lead to decreased encapsulation stability. Conversely, the linear ratio of coating to oil (X2) has a significant effect of +56.154, meaning that an increase in X2 will enhance encapsulation stability. Based on this explanation, the coating-to-oil ratio is crucial for encapsulation stability, as excessive coating can cause thickening, particle aggregation, and reduced efficiency [25]. This phenomenon will increase the PI value due to reduced homogeneity of the microcapsules [26]. Conversely, the oil coating will be imperfect if the ratio is too low, reducing the encapsulant’s performance. Lower performance of encapsulant indicates a suboptimal capacity of the encapsulant to maintain the stability of the citronella oil [27,28]. Additionally, the quadratic process temperature and linear process temperature (X32 and X3) also affect the PI value. In this study, X32 has a value of −37.959, and X3 has a value of −30.529. These negative values indicate that an increase in temperature will reduce encapsulation stability. This is because the viscosity of the coating material will decrease, making the coating too runny [29,30]. This condition reduces encapsulation efficiency by preventing the formation of a strong coating [31]. On the other hand, the pH in this study has a value of −29.420, indicating that a reduction in pH will affect encapsulation quality [32]. his phenomenon is caused by electrostatic interactions between the coating material and essential oil, which depend on pH. In highly acidic conditions, the coating loses its charge, and proteins such as those in gum arabic degrade, reducing their ability to form stable microcapsules. [33,34].

In Figure 3(b), the Z-Average Pareto chart shows that the quadratic ratio coating to oil (X32) has the most substantial negative impact, −8.4101, indicating that increasing the ratio reduces particle size. More carriers dilute the system, preventing more extensive particle formation and increasing the Z-average. [35]. In addition to the X32, the quadratic variable of temperature (X22) also has a negative impact on particle size distribution, with a value of 5.745. This suggests that at certain temperatures, changes in conditions will lead to a decrease in particle size. Higher temperatures can accelerate solvent evaporation during encapsulation, resulting in smaller particles [36]. However, if the operating temperature is too high, the viscosity of the suspension will decrease, which can lead to the brittleness of the protective matrix. The viscosity of the matrix plays a crucial role in how well it wets and bonds to these elements. Lower viscosity can hinder proper wetting and lead to weaker interfacial adhesion. A weak interface allows cracks to initiate and propagate more easily through the material, contributing to brittle behaviour [37,38]. The research also examined the effects of temperature, the coating-to-oil ratio, and pH on the PI of citronella oil-based biopesticides and the optimum process conditions, as illustrated in Figure 4.



Figure 4 (a) Optimum process condition based on CCD (b) Response surface plot of each parameter PI.


The study shows that several parameters, such as temperature, the ratio between the coating material and citronella oil, and pH, affect the PI, which describes the distribution and uniformity of particle sizes. As shown on the y-axis of Figure 4(a), PI values range from 0 to 1, where lower values indicate a more uniform and stable particle size distribution. Therefore, lower PI values are more favourable. A stable PI value falls within the range of 0 - 1 [39]. The analysis results from Figure 3(a), indicate that the ratio between the coating material and essential oil is the most influential parameter on PI, with an optimal coating-to-oil ratio of 1.15:1, which is reflected in Figure 4(a). The quadratic ratio also shows significant influence with a p-value of 0.009. The optimal conditions for achieving the best PI value are shown in Figure 4(a). The figure indicates that the optimal encapsulation conditions for citronella oil-based biopesticides are achieved at a pH of 5, a coating-to-oil ratio of 1:1.59 g/g, and a temperature of 55 °C. Under these conditions, the process yields an encapsulation diameter of 413.75 nm. On the other hand, the optimum process condition obtained and effects of temperature, the ratio of coating to citronella oil, and pH on the Z-Average of citronella oil-based biopesticides were also maintained, as illustrated in Figure 5.




Figure 5 (a) Optimum process condition based on CCD (b) Response surface plot of each parameter on Z-Average.


The optimum process conditions shown in Figure 5(a) highlight that the optimal encapsulation conditions for citronella oil-based biopesticides are achieved at a pH of 5, a coating-to-oil ratio coating to oil of 1:1.591 g/g, and a temperature of 55 °C. Under these conditions, the resulting encapsulation diameter is 413.75 nm. The interplay of ratio coating to oil, pH, and temperature influences the encapsulation diameter. An increase in the ratio of coating to oil leads to a larger encapsulation diameter, due to the availability of more wall material, which forms thicker encapsulation layers [40]. In contrast, higher pH values may reduce electrostatic repulsion or viscosity, resulting in smaller particle sizes [41]. Elevated temperatures increase molecular mobility, which can promote the formation of larger particles [41]. Furthermore, it is important to note that the encapsulation diameter remains below 1,000 nm when the temperature is maintained under 47 °C and the coating-to-oil ratio is kept below 2. This condition is essential to ensure the formulation remains within the nanometer scale, which is beneficial for enhancing the stability and bioactivity of the biopesticide.




Microscopic analysis

The final results of the samples obtained can be seen in Figure 6(a), while the microscopic test result can be seen in Figure 6(b) The microscopic structure of the encapsulated powder was observed using the SEM method. Prior to this, the biopesticide solution with the central point formulation was spray-dried using the Freeze-drying method. From Figure 6(b), it can be seen the microscopic observation at 5,000× and 1,000× magnification. The results of the SEM analysis in Figure 6(b) show a cross-section of the obtained sample. The image shows that the sample formed is a solid particle that has holes or pores shown in black.

Optimal particle size balances maximizing shelf life and preserving the oil’s efficacy, while ensuring the size is not so small as to risk premature release of the citronella oil. Larger particles have the potential to store a more significant amount of essential oil. In comparison, smaller particles may accelerate the release of the oil into the environment [42]. The combination of different particle sizes contributes to a gradual release mechanism, which is ideal for enhancing the duration of biopesticide effectiveness in field applications [43]. The rough surface texture increases the surface area of the particles, allowing better interaction with external media and facilitating a controlled release of the oil as needed.




Figure 6 (a) Final product (b) Macroscopic analysis of encapsulation biopesticides.



Effectiveness concentration of citronella oil as biopesticide

The effectiveness of the citronella oil-based biopesticide was tested on 7 cabbage caterpillars (Spodoptera litura). The biopesticide was applied to the caterpillars every 8 h for 7 days, with 3 sprays per day. The results are shown in Figure 7. As shown in Figure 7, With 9 caterpillars in each group, the data indicates a contrasting mortality pattern between the control (only citronella oil applied) and the encapsulated biopesticide treatments.

The number of caterpillars used in the research was constrained by the design and scope of the laboratory procedure. The experimental setup allowed for only a limited number of individuals to be observed within the available timeframe and resources. While this controlled environment ensured consistency and reduced external variability. Despite these constraints, the results offer valuable initial insights and lay the groundwork for future studies involving larger and more diverse samples under similar or natural conditions.

The control group exhibited a more rapid or ‘burst-like’ effect, with most of the caterpillars succumbing between day 2 and day 4, reaching 100% mortality by day 4. In contrast, the encapsulated biopesticide demonstrated a more gradual and seemingly stagnant effect after the initial days. While it induced mortality earlier than the control, reaching 78% mortality by day 3, the rate of death slowed considerably, only reaching 100% mortality by the end of the 7-day observation period. These findings suggest that while the encapsulated biopesticide initiated mortality more quickly than the control, its overall effect was more gradual and sustained over time. In contrast, the control group exhibited a sharp, short-term increase in mortality. This indicates that the encapsulated formulation may offer a slower-release mechanism, potentially extending its efficacy over a longer period, which could have practical implications for pest management strategies requiring prolonged action.


Figure 7 Effectiveness of biopesticide.



Conclusions

Biopesticide encapsulated from citronella oil with gum arabic via coacervation method has been successfully created. The optimal encapsulation conditions calculated by RSM for citronella oil-based biopesticides were determined at a pH of 5, a coating-to-oil ratio of 1:1.591 g/g, and a temperature of 55 °C, resulting in an encapsulation diameter of 413.75 nm and a PI of 0.39. The biopesticide effectively controlled Spodoptera litura, achieving 100% mortality within 7 days. Mortality increased gradually, with significant effects observed from day 2 to day 4 as the active compounds disrupted the caterpillars’ physiological systems. These results confirm the potential of citronella oil-based biopesticides as an effective alternative for pest control.


Acknowledgment

We gratefully acknowledge the financial support DPA LPPM Universitas Negeri Semarang, Indonesia provided through Grant No. 162.26.2/UN37/PPK.10/2024, which was instrumental in facilitating this research. This funding enabled us to access the necessary resources, conduct experiments, and complete the study successfully. We also appreciate the commitment of Universitas Negeri Semarang in fostering research and innovation, which significantly contributes to advancing knowledge in this field.

Declaration of Generative AI in Scientific Writing

The authors recognize that generative AI tools (such as QuillBot and OpenAI’s ChatGPT) were utilized during the preparation of this manuscript, solely to assist with language refinement and grammar editing. No sections of the content were generated, nor was any data interpreted, by AI. The authors assume complete responsibility for the work’s content and the conclusions drawn.


Credit Author Statement

Prima Astuti Handayani Conceptualization, Methodology, Supervision, Funding acquisition, and Writing –original draft

Nadya Alfa Cahaya Imani Article drafting, Methodology, Validation, Visualization

Maharani Kusumaningrum Article drafting, Methodology, Validation, Visualization

Hanif Ardhiansyah Data curation, Formal analysis, Investigation, Validation, and Visualization.

Achmad Wikandaru Data curation, Formal analysis, Investigation, Validation, and Visualization.

Tedhy Pikrihaikal Data curation, Formal analysis, Investigation, Validation, and Visualization.

Elfira Dwi Cahyani Data curation, Formal analysis, Investigation, Validation, and Visualization.

Samara Muna Lismawati Data curation, Formal analysis, Investigation, Validation, and Visualization.

References

  1. CM Viana, D Freire, P Abrantes, J Rocha and P Pereira. Agricultural land systems importance for supporting food security and sustainable development goals: A systematic review. Science of the Total Environment 2022; 806, 150718.

  2. M Tudi, H Daniel Ruan, L Wang, J Lyu, R Sadler, D Connell, C Chu and DT Phung. Agriculture development, pesticide application and its impact on the environment. International Journal of Environmental Research and Public Health 2021; 18, 1112.

  3. MF Ahmad, FA Ahmad, AA Alsayegh, M Zeyaullah, AM AlShahrani, K Muzammil, AA Saati, S Wahab, EY Elbendary, N Kambal, MH Abdelrahman and S Hussain. Pesticides impacts on human health and the environment with their mechanisms of action and possible countermeasures. Heliyon 2024; 10(7), e29128.

  4. S Barathi, N Sabapathi, S Kandasamy and J Lee. Present status of insecticide impacts and eco-friendly approaches for remediation-a review. Environmental Research 2024; 240, 117432.

  5. W Aktar, D Sengupta and A Chowdhury. Impact of pesticides use in agriculture: Their benefits and hazards. Interdisciplinary Toxicology 2009; 2(1), 1-12.

  6. A Alengebawy, ST Abdelkhalek, SR Qureshi and MQ Wang. Heavy metals and pesticides toxicity in agricultural soil and plants: Eecological risks and human health implications. Toxics 2021; 9, 42.

  7. VM Pathak, VK Verma, BS Rawat, B Kaur, N Babu, A Sharma, S Dewali, M Yadav, R Kumari, S Singh, A Mohapatra, V Pandey, N Rana and JM Cunil. Current status of pesticide effects on environment, human health and it’s eco-friendly management as bioremediation: A comprehensive review. Frontiers in Microbiology 2022; 13, 962619.

  8. MS Ayilara, BS Adeleke, SA Akinola, CA Fayose, UT Adeyemi, LA Gbadegesin, RK Omole, RM Johnson, QO Uthman and OO Babalola. Biopesticides as a promising alternative to synthetic pesticides: A case for microbial pesticides, phytopesticides, and nanobiopesticides. Frontiers in Microbiology 2023; 14, 1040901.

  9. A Khursheed, MA Rather, V Jain, AR Wani, S Rasool, R Nazir, NA Malik and SA Majid. Plant based natural products as potential ecofriendly and safer biopesticides: A comprehensive overview of their advantages over conventional pesticides, limitations and regulatory aspects. Microbial Pathogenesis 2022; 173, 105854.

  10. NL Arpiwi, IK Muksin and NL Kartini. Essential oil from Cymbopogon nardus and repellant activity against aedes aegypti. Biodiversitas 2020; 21(8), 3873-3878.

  11. MŞŞ Demirak and E Canpolat. Plant-based bioinsecticides for mosquito control: Impact on insecticide resistance and disease transmission. Insects 2022; 13(2), 162.

  12. I Sari, M Misrahanum, M Faradilla, CM Ayuningsih and H Maysarah. Antibacterial activity of citronella essential oil from Cymbopogon nardus (L.) Rendle) against methicillin resistant Staphylococcus aureus. Indonesian Journal of Pharmaceutical and Clinical Research 2022; 5(1), 16-22.

  13. MA Manaf, I Subuki, J Jai, R Raslan and AN Mustapa. Encapsulation of volatile citronella essential oil by coacervation: Efficiency and release study. IOP Conference Series: Materials Science and Engineering 2018; 358(1), 012072.

  14. N Nezamdoost-Sani, S Amiri and AM Khaneghah. The application of the coacervation technique for microencapsulation bioactive ingredients: A critical review. Journal of Agriculture and Food Research 2924; 18, 101431.

  15. LCD Silva, RM Castelo, HN Cheng, A Biswas, RF Furtado and CR Alves. Methods of microencapsulation of vegetable oil: Principles, stability and applications - a minireview. Food Technology and Biotechnology 2022; 60(3), 308-320.

  16. B Solomon, FF Sahle, T Gebre-Mariam, K Asres and RHH Neubert. Microencapsulation of citronella oil for mosquito-repellent application: Formulation and in vitro permeation studies. European Journal of Pharmaceutics and Biopharmaceutics 2912; 80(1), 61-66.

  17. FRA Aziz, J Jai, R Raslan and I Subuki. Microencapsulation of citronella oil by complex coacervation using chitosan-gelatin (b) system: Operating design, preparation and characterization. MATEC Web of Conferences 2016; 69, 04002.

  18. A Rungwasantisuk and S Raibhu. Application of encapsulating lavender essential oil in gelatin/gum-arabic complex coacervate and varnish screen-printing in making fragrant gift-wrapping paper. Progress in Organic Coatings 2020; 149, 105924.

  19. K Mirlohi and WCB McTigue. Coacervation for biomedical applications: Innovations involving nucleic acids. Soft Matter 2024; 21, 8-26.

  20. A Pujiastuti, E Cahyono and W Sumarni. Enkapsulation of citronellal from citronella oil using B-cyclodextrin and its application as mosquito (Aedes aegypti) reppelent. In: Proceedings of the 3rd International Conference on Mathematics, Science and Education, Semarang, Indonesia. 2016, p. 5-11.

  21. GEP Box and KB Wilson. On the experimental attainment of optimum conditions. In: S Kotz and NL Johnson (Eds.). Breakthroughs in statistics. Springer, New York, 1992, p. 270-310.

  22. AD Myttenaere, B Golden, BL Grand and F Rossi. Mean absolute percentage error for regression models. Neurocomputing 2019; 192, 38-48.

  23. JS Armstrong and F Collopy. Error measures for generalizing about forecasting methods: Empirical comparisons. International Journal of Forecasting 1992; 8(1), 69-80.

  24. M Azhar, PP Widagdo and A Krisma. Perbandingan metode double exponential smoothing dan triple exponential smoothing dalam parameter tingkat error Mean Absolute Percentage Error (MAPE) dan means absolute deviation (MAD). Prosiding Seminar Nasional Ilmu Komputer dan Teknologi Informasi 2019; 4(2), 81-87.

  25. SN Telikepalli, OS Kumru, C Kalonia, R Esfandiary, SB Joshi, CR Middaugh and DB Volkin. Structural characterization of IgG1 mAb aggregates and particles generated under various stress conditions srivalli. Journal of Pharmaceutical Sciences 2014; 103(4), 796-809.

  26. J Liu, SM Louie, J Zhao, X Gao and Y Hu. Aggregation of varied organic coated magnetite nanoparticles: Adsorbed mass and thickness of coatings and interactions with natural organic matter. Science of the Total Environment 2022; 831, 154976.

  27. PD Yates, GV Franks, S Biggs and GJ Jameson. Heteroaggregation with nanoparticles: Effect of particle size ratio on optimum particle dose. Colloids and Surfaces A: Physicochemical and Engineering Aspects 2005; 255(1-3), 85-90.

  28. K Pélissier and D Thierry. Powder and high-solid coatings as anticorrosive solutions for marine and offshore applications? A review. Coatings 2020; 10(10), 916.

  29. MR Bonner. The importance of controlling coating temperature in UV applications. RadTech 2014; 586, 1-11.

  30. S Siegrist, P Nandi, RK Kothandaraman, A Abdessalem, AN Tiwari and F Fu. Understanding coating thickness and uniformity of blade-coated SnO2 electron transport layer for scalable perovskite solar cells. Solar RRL 2023; 7(14), 2300273.

  31. IR Singh and AK Pulikkal. Preparation, stability and biological activity of essential oil-based nano emulsions: A comprehensive review. OpenNano 2022; 8, 100066.

  32. D Lin, AL Kelly and S Miao. The impact of pH on mechanical properties, storage stability and digestion of alginate-based and soy protein isolate-stabilized emulsion gel beads with encapsulated lycopene. Food Chemistry 2021; 372, 131262.

  33. Y Xu, X Yan, H Zheng, J Li, X Wu, J Xu, Z Zhen and C Du. The application of encapsulation technology in the food Industry: Classifications, recent Advances, and perspectives. Food Chemistry X 2023; 21, 101240.

  34. GQ Huang, JX Xiao, L Jia and J Yang. Complex coacervation of O-carboxymethylated chitosan and gum arabic. International Journal of Polymeric Materials and Polymeric Biomaterials 2015; 64(4), 198-204.

  35. MG Carneiro-da-Cunha, MA Cerqueira, BWS Souza, JA Teixeira and AA Vicente. Influence of concentration, ionic strength and pH on zeta potential and mean hydrodynamic diameter of edible polysaccharide solutions envisaged for multinanolayered films production. Carbohydrate Polymers 2011; 85(3), 522-528.

  36. YL Du, GQ Huang, HO Wang and JX Xiao. Effect of high coacervation temperature on the physicochemical properties of resultant microcapsules through induction of Maillard reaction between soybean protein isolate and chitosan. Journal of Food Engineering 2018; 234, 91-97.

  37. Y Wang and T Monetta. Systematic study of preparation technology, microstructure characteristics and mechanical behaviors for SiC particle-reinforced metal matrix composites. Journal of Materials Research and Technology 2023; 25, 7470-7497.

  38. JS Kumar, PS Paul, G Raghunathan and DG Alex. A review of challenges and solutions in the preparation and use of magnetorheological fluids. International Journal of Mechanical and Materials Engineering 2019; 14(1), 1-18.

  39. F Fadilah, EDA Febriani, E Kurniasari, R Nurfikhri and TS Sirait. Encapsulation of Rice Bran Oil (RBO) by complex coacervation using glutaraldehyde as crosslinking agent. Equilibrium Journal of Chemical Engineering 2023; 7(2), 167.

  40. M Fuchs, C Turchiuli, M Bohin, ME Cuvelier, C Ordonnaud, MN Peyrat-Maillard and E Dumoulin. Encapsulation of oil in powder using spray drying and fluidised bed agglomeration. Journal of Food Engineering 2006; 75(1), 27-35.

  41. KA AlMuhaysh, A Sergis and Y Hardalupas. Effects of pH and nanoparticle concentration on Al2O3-H2O nanofluid stability. International Journal of Thermophysics 2025; 46(6), 82.

  42. S Sivalingam, G Golla, L Arunachalam, T Singh, G Karthikeyan, A Shanthi and K Malaichamy. Encapsulation of essential oil to prepare environment friendly nanobio-fungicide against Fusarium oxysporum f.sp. lycopersici: An experimental and molecular dynamics approach. Colloids and Surfaces A: Physicochemical and Engineering Aspects 2024; 681, 132681.

  43. PAO Carmona, RV Tonon, RLD Cunha and MD Hubinger. Influence of emulsion properties on the microencapsulation of orange essential oil by spray drying. Journal of Colloid Science and Biotechnology 2013; 2(2), 130-139.