Start Bootstrap Logo
Synthesis of Patterned Media by self-assembly of magnetic nanoparticles

Trends Sci. 2025; 22(10): 9715

ArylAlcohol Oxidase, a Rare Auxiliary Enzyme: It’s Role in Lignin Degradation and Its Potential Applications


Antarikha Dutta, Neki Borang and Meera Yadav*


Department of Chemistry, North Eastern Regional Institute of Science and Technology, Itanagar 791109, India


(*Corresponding author’s email: [email protected])


Received: 5 January 2025, Revised: 28 January 2025, Accepted: 14 February 2025, Published: 15 July 2025


Abstract

The 2nd most abundant biopolymer after cellulose is lignin, which has a very complex structure and its biological degradation required an enzymatic consortium of different lignin degrading enzymes like Lignin peroxidase (EC 1.11.1.14), Manganese peroxidase (EC 1.11.1.13), Versatile peroxidase (EC 1.11.1.16), Laccase (EC 1.10.3.2) etc. This enzyme required hydrogen peroxide for its action which is supplied by auxillary enzyme like aryl alcohol oxidase. Aryl alcohol oxidase belongs to glucose methanol choline (GMC) superfamily and has FAD as the cofactor. The structural aspects of the enzyme are compared using PeAAO and MtAAOas model. The mechanistic and substrate chemistry of aryl alcohol oxidase as alcohol or aldehyde oxidase is discussed in detail. The enhance activity as alcohol oxidase of ‘aryl alcohol oxidase’ using electron donating substrate, which is opposite when its aldehyde oxidase activity is considered. The application of the enzyme as an efficient dye degrading enzyme for wastewater treatment biologically, or in paper-pulp bio-bleaching, or drug design make it a hot topic of research for various industrial purpose and commercialization. Other mentionable application of the enzyme, is in the production of flavours and fragrances like vanillin, benzaldehyde, trans-2-hexanal, trans-2-cis-6-nonadienal, piperonal, perillaldehydeetc. The role of the enzyme in the synthesis of bio-based precursors like HMF, FFCA or FDCA is also discussed.


Keywords: Aryl alcohol oxidase, Flavin adenine dinucleotide, Glucose methanol choline, Oxidoreductase, Basidiomycete, Ascomycete, White-rot fungi, Brown-rot fungi


Introduction

Chemically wood tissue is composed of many organic polymers, but the basic structural material of wood cell wall is cellulose which comprises 40-45% of the dry weight. Secondly, it has hemicelluloses, which serve as matrix. It is a lower molecular weight polysaccharide (comprising mostly 5 carbon sugars xylose and arabinose) with many side chains. Thirdly another major component of plant cell wall, which is the focus of our discussion, is lignin, a water repelling, 3-dimensional, polyphenolic, and highly branched complex structure having high molecular weight [1] It provides a hard-rigid material to the wood structure by penetrating both plant cell wall and intercellular or middle lamellar and hence protect the wood from mechanical stress. It protects the cellulose and hemicelluloses from hydrolytic attack by saprophytic and pathogenic microbes. About 70% of wood lignin is located in plant cell wall and the quantity of lignin is very high in the middle lamellae region also. It is noteworthy mentioning that lignin is 2nd most abundant biopolymer after cellulose (around 20% of total carbon fixed by photosynthesis in the land ecosystem is incorporated in lignin) [1,2]. The degradation of lignin is a complicated process due to its aromatically stable bulky structure, making it difficult for microbial enzyme to penetrate and access. But the complex nonphenolic phenylpropanoid units linked by variety of carbon-carbon and ether linkages forming a 3-dimensional structure in lignin is very important to be degraded microbially as it is a key step for closing carbon cycle [3-5]. The removal of this lignin barrier is essential for exploiting lignocellulosic biomass (lignin account for 15-35% of the lignocellulosic biomass) industrially which is discussed in details in the later section of this review. The unique chemical composition of lignin, a non phenolic polymer with phenolic building block, is a major by product of paper and wood industry [1]. Lignin is an abundant source of aromatic compound is mostly treated as waste or low value material in paper-pulp industry [5]. Lignin is also present in secondary wall, the thicker cell wall layer, which prevents efficient hydrolysis of carbohydrates for bioethanol production as it is closely associated withcarbohydrates.The utilization of lignin for generating heat and energy which constitute 95% of the total lignin market generate harmful organic pollutants like polycyclic aromatic hydrocarbons, oxygenated polycyclic aromatic hydrocarbons, dioxins and particulate matter due to incomplete combustion of lignin which in turn leads to both environmental and health issues [1]. There exists a significant potential for replacement of unsaturated petrochemicals and aromatic compounds from lignin renewably. Hence, we conclude that development of environmental friendly way for valorization and recycling of lignin is a hot topic of research and fungal based lignin degrading oxidoreductases enzyme play a significant role in this regard.

White-rot and brown-rot fungus secrete a bunch of ligninolytic oxidoreductases called ligninases. This ligninaseshave unusually high redox potential due to heam pocket architecture that enables oxidation of non-phenolic aromatic rings, and they are also able to generate a protein oxidizer by electron transfer to the heam cofactor forming a catalytic tryptophanyl-free radical at the protein surface, where it can interact with the bulky lignin polymer [1]. Thus, coordinated fungal attack on lignin involved a enzymatic consortium of lignin peroxidases (EC 1.11.1.14), manganese peroxidases (EC 1.11.1.13), versatile peroxidases (EC 1.11.1.16), dye decolorizing peroxidases (EC 1.11.1.19), unspecific peroxygenases (EC 1.11.2.1), laccases (EC 1.10.3.2) and enzymes that supply H2O2 which are required for robust bioconversion of lignin and are called auxillary enzymes [6,7]. These auxillary enzymes include different oxidases like glyoxal oxidase (EC 1.2.3.15), pyranose oxidase (EC 1.1.3.10) and enzyme of our discussion in this review, aryl alcohol oxidases (EC 1.1.3.7). A pictorial description of different lignin degrading enzymes and auxillary enzyme attack on lignin is shown in Figure 1. Aryl alcohol oxidese is a extracellular flavin or flavin adenine dinucleotide (FAD)containing enzyme which co-orordinate its oxidative activity with intracellular dehydrogenases to establish a constant supply of H2O2 to ligninolytic peroxidases and peroxygenases by generating a aromatic alcohol/aldehyde redox cycle and in the process reduce molecular oxygen to H2O2.It is also called veratryl-alcohol or aromatic alcohol oxidases or benzyl-alcohol oxidases [8,9].



Figure 1 Systematic enzymatic consortium of ligninolytic and auxiliary enzymes of white-rot fungi in lignin degradation. Auxiliary enzymes are aryl alcohol oxidases (AAO), methanol oxidase (MOX), pyranose-2-oxidase (P2O) and cellobiose dehydrogenase (CDH), Ligninolytic enzymes include Versatile peroxidase (VP), Manganese peroxidase (MnP) and Lignin peroxidase (LiP). Other enzyme shown is aryl alcohol dehyderogenase (AADH).


Sources of aryl alcohol oxidases (AAO)

Aryl alcohol oxidase as an aromatic alcohol oxidising enzyme was first reported in 1960 by Farmer et al. [10] in the growth medium or water left in contact with the mycelium of the mats of Polystictus (Trametes) versicolor, a whit-rot lignin degrading basidiomycete. They concluded by spectrophotometric estimation and oxygen uptake that the fungus contain an enzyme system which transfer hydrogen from aromatic alcohol to molecular oxygen and in the process from aromatic aldehydes and hydrogen peroxide [11]. This enzyme was reported by Farmer et al. to differ from alcohol dehydrogenase in not oxidizing ethanol and butanol or it is independent of 2,4-dinitrophenol (DNP) [10]. So, far enzyme has been reported in a wide range of fungus (ascomycetes and basidiomycetes), bacteria (Sphingobacteriumsp), insects (Chrysomela populi, Phratora viellinae) and gastropods (Arion ater, Helix aspersa and Limax flavus) [79] shown below in Tables 1-3 [12-14]. The table also contains a brief comparison of different physical properties of the enzyme. The enzyme is so far not reported specifically in prokaryotes. This enzyme is an extracellular enzyme except in A. ater and Phanerochaete chrysosporium.

The production of aldehydes is the major function of aryl alcohol oxidase in insects to provide defensive action against predator. Aryl alcohol oxidase acts on cinnamyl, lignin precursor in gastropods as gastropods are herbivorous creature, and hence aryl alcohol oxidase is reported in the alimentary canal of A. ater to act on monolignols [14,15]. On the basis of characteristic of degraded wood and resulting lignocellulosic residues the wood degrading fungus are classified into white rot, brown rot and soft rot fungi. Around 2 - 14 aryl alcohol oxidase genome design are reported to be present in white rot fungi, but this genome design is known to absent in brown rot fungi and A delicate. Thus, brown-rot fungi carry out non enzymatic degradation of lignin via Fenton Chemistry which is discussed later [16]. White rot fungi typically belong to order Polyporales of Basidiomycota Agaricomycetes species. Brown-rot also belongs to Polyporales species but this fungi lacks POD genes.



Table 1 Comparison of characteristic of the enzyme from fungal source basidiomycete.

Scientificname

Molecular

wt.

Primarysubstrate

Optimum

pH

Optimum

temp

Reference

Polystictus (Trametes) Versicolor

-

Anisyl alcohol

6.0-6.5

Less than 45°C

[17]

Pleurotus sajor-caju

71kDa

Anisylalcohol,

Veratryl alcohol

5


[18]

Pleurotus eryngii

72.6kDa

Veratryl alcohol

5

55°C

[19]

Pleurotus ostreatus

67kDa,

72.5kDa

Veratryl alcohol

5.5-6 and 6.5

40°C

[20]

Bjerkanderaadusta

78 and76kDa

Anisyl alcohol,

Veratryl alcohol

5.7 – 6

45°C

[21]

Phanerochaetechrysosporium

78kDa

Veratryl alcohol

6-7

45°C

[22]

Pleurotuspulmonarius

70-70.5kDa

Veratryl alcohol

6


[23]

Pleurotus sapidus


Veratryl alcohol



[24]

Coprinopsis cinerea


trans, trans-2,4-hexadien-1-ol



[25]

Ustilago maydis

70kDa

Anisyl alcohol

6


[26]

Moesziomyces antarcticus

75kDa

Veratryl alcohol

Stable in range of 2-9


[27]

Table 2 Comparison of characteristic of the enzyme from fungal source ascomycetes.

Scientificname

Molecular

wt.

Primarysubstrate

Optimum

pH

Optimum

temp

Reference

Geotrichum candidumDec 1

65.3kDa

Veratryl alcohol

5.5-7.5

45°C

[28,86]

Aspergillus terreus MTCC6324

76kDa

Veratryl alcohol

6

30°C

[29,111]

Botrytis cinerea

214kDa

Benzyl alcohol

5

30°C

[24]

Fusarium proliferatum

-

Veratryl alcohol

-

-

[21]

Thermothelomyces thermophilus M77

79.5kDa

Veratryl alcohol, Cinnamyl alcohol

7

50°C

[30]


Table 3 Comparison of characteristic of the enzyme from bacterial source.

Scientificname

Molecular

wt.

Primarysubstrate

Optimum

pH

Optimum

temp

Reference

Sphingobacterium sp. ATM

71kDa

Veratryl alcohol, propanol

3

40°C

[21]

Streptomyces sp.

-

-

-

-

[31]

S. deajeonense

59kDa

2,4-hexadien-1-ol

6-7

50.9

[32]

S. hiroshimensis

55kDa

2,4-hexadien-1-ol

6-9

48.6

[32]


Flavin as cofactor

In oxidative biocatalysis various electron donors/acceptors (like small redox active proteins like cytochrome C oxidases, nicotanimide coenzyme, cosubstrates, molecular oxygen or hydrogen peroxide) or redox cofactors (metals like iron or copper, heme cofactor, nicotanimide and flavin) are involved and they carry out oxidation with high enantioselectivity employing a broad substrate scope in mild condition and hence qualify as a sustainable catalysis. They are classified as oxygenases (require reducing equivalent like Nicotinamide adenine dinucleotide phosphate hydrogen (NADPH) and molecular oxygen), dehydrogenases (require organic coenzyme like quinones, pyrrolequinoline quinone and Nicotinamide adenine dinucleotide i.e. NAD+ and oxidases. Oxidase utilize molecular oxygen as final electron acceptor and does not require coenzyme such as nicotinamides or quinones, which make it a more valuable enzyme for industrial applications as the coenzyme does not need to be regenerated [33,85].

Oxidases are classified into 2 major groups, ‘copper and flavin containing’, based on cofactor. Thecofactor is necessary to furnish, the amino acids with oxidative properties as they are poor in redox based reactionprocess. So, evolutionary nature relies on various cofactors like ‘flavin’ to carry out the reactions with a very high degree of enantioselectivity, regioselectivity and chemoselectivity, using only molecularoxygen as sole oxidant.Flavin as cofactor is obtain from riboflavin by phosphorylation action of enzyme riboflavin kinase leading to FMN (flavin mononucleotide) and finally FADon adenylation.The common isoalloxazine ring core results in similar spectroscopic characters for riboflavin, FMN and FAD. The oxidised state of flavin quinone, semiquinone (1-electron reduced) or hydroquinone (2-electron reduced) displays variability in UV/vis spectra [34]. The molar extinction co-efficient of oxidised flavin in water is above 104M–1cm–1 and it exhibit distinctly 4 peaks at around 445, 375, 265 and 220 nm. The covalently or non-covalently bound protein around the flavin impact the UV/vis spectra to a small extend but significantly impact its fluorescence [35]. Ayellow-green fluorescence is intensely exhibited at 520nm by normal oxidisedflavin. The polypeptide or certain amino acids like tyrosine or tryptophan are efficient fluorescence quenchers of flavin [36]. Both, FADand FMN (flavin mononucleotide) in their 2-electron reduced state in pH=7 solution are–219and –205mV, respectively [37]. The flavin as cofactor can be covalently or non-covalently bonded to the enzyme. The role of covalent bonding of the cofactor help to increase redox potential and oxidation of substrate which are otherwise difficult to oxidase. It also helps enzyme adopt a relatively open active site and protect the enzyme from proteolysis and hence enhance stability [38]. The cofactor FAD in aryl alcohol oxidase is non-covalently bonded. These flavoproteins are classified into 6 families based on structure and sequence similarity. Despite a wide substrate range for this flavoenzyme, the basic mechanism of action is similar i.e. a reductiveand an oxidative half reaction [94,110].


Classification of the enzyme

Aryl alcohol oxidase and GMC oxidoreductase superfamily

There exist many reports and publication which are cited in this review, have classified aryl alcohol oxidase as member of GMC (glucose-methanol-choline) oxidoreductases family.This GMC family is one among the 6 families classified for FAD containing enzyme.On the basis of structural and sequence similarity of Drosophila melanogaster glucose dehydrogenase (EC 1.1.5.2), Aspergillus niger glucose oxidase, Hansenula polymorpha methanol (alcohol) oxidase, and Escherichia coli choline dehydrogenase (EC 1.1.99.1) by [39,33]. Later, many additional prokaryotic and eukaryotic enzymes with FAD as cofactor is reported and some of them are putative GMCones which contain unknown protein encoded in open reading frames.The members of this superfamily contain a conserved N terminal FAD binding domain which includesGxGxxG/A sequence motif indicating Rossmann fold (ADP-binding βαβ motif) called GMC_oxred_N (Pfam00732) in the Pfamdatabase.It also contains another less conserved is C-terminal which is the substrate binding domain. The only conserved residue, it contains is, an active-site histidine, the role of this active site histidine is to assist in substrate oxidation and FAD re-oxidation by molecular oxygen. In the mechanism of action of all GMC oxidase enzymes a proton abstraction plays a role in the direct hydride transfer from substrate to N5 atom of FAD cofactor and the histidine residue act a base [39,33,84,95]. Other notable members of GMC i.e. GMC family is shown below in Table 4.


Table 4 Members of GMC oxidoreductase superfamily.

Enzyme

EC number

FAD binding mode

Substrate

Product

Byproduct

Glucose oxidase

EC 1.1.3.4

Non-covalently

β-D-glucose

D-glucono-1,5-lactone

Hydrogen peroxide

Cholesteroloxidase

EC 1.1.3.6

Covalent or

non-covalent

Cholesterol

Cholest-4-en-3-one

Hydrogen peroxide

Methanol oxidase

EC 1.1.3.13

Non-covalently

Methanol

Formaldehyde

Hydrogen peroxide

Choline oxidase

EC 1.1.3.17

Covalently

Choline

Betaine aldehyde

Hydrogen peroxide

Pyranose oxidase

EC 1.1.3.10

Covalently

D-glucose

2-dehydro-D-glucose

Hydrogen peroxide

5-hydroxyMethylfurfuraloxidase

EC 1.1.3.47

Non-covalently

Hydroxymethylfurfural

Furandicarboxylic acid

Hydrogen peroxide

Galactoseoxidase

EC 1.1.3.9

Covalently

D-galactose

D-galactohexodialdose

Hydrogen peroxide

Vanillyl alcoholoxidase

EC 1.1.3.38

Covalently

Vanillyl alcohol

Vanillin

Hydrogen peroxide

Glyoxaloxidase

EC 1.2.3.15

Non-covalently

Glyoxal

Glyoxylate

Hydrogen peroxide

Pyranose dehydrogenases

EC 1.1.99.29

Covalently

Pyranose

Pyranos-2-ulose

Reduced acceptor

Glucosedehydrogenase

EC 1.1.1.47

Non-covalently

D-glucose

D-glucolactone

Gluconic acid

Cellobiosedehydrogenase

EC 1.1.99.18

Non-covalently

Cellobiose

Cellobiono-1,5-lactone

Reduced acceptor


Aryl alcohol oxidase as a member of AA3 family in “Carbohydrate-active enzymes” i.e. CAZy database

Lignin in plant cell wall is very closely associated with polysaccharide, and hence upon joining of LPMO (lytic polysaccharide monoxygenase) and lignin degrading redox enzymes, a new class in Carbohydrate Active enzyme (CAZy; www.cazy.org) database originated in 2013 by called ‘Auxillary Activities (AA)’, On the basis of sequence and 3 dimensional structure simillarity with founding member(s), an improved and expanded ligninolytic enzymes classification was established. AA is classified into 10 families which also include different subfamilies, but among the 10 families GMC oxidoreductases are added to AA3 family and aryl alcohol oxidase (EC 1.1.3.7) is assigned subfamily AA3_2 along with glucose oxidase (GOX) (EC 1.1.3.4) as they are found to be very closely associated, sequence based [95].


Structural aspects of the protein

As already discussed above aryl alcohol oxidase belong to GMC super family and has structural features which are a characteristics of members of GMC family, yet there exist certain character which are unique to onlyaryl alcohol oxidaseand has been discussed here. Aryl alcohol oxidase is a monomeric glycoprotein and the the role of glycosylation is to increase thermostability of the enzyme or to enhance its pH range and enzymatic stability. The crystal structure of P. eryngii, Thermothelomyces thermophilus, Moesziomyces antarcticus and Coprinopsis cinerea is discussed below. Table 5 compares the role of different residues in the structure of protein in both PeAAO of P. eryngii and MtAAO of Thermothelomyces thermophilus. Figure 2 shows the structure of both PeAAO and MtAAO.


Crystal structure of P. eryngii Aryl alcohol oxidase (PeAAO)

Based on X-ray crystal structure study of P. eryngiiaryl alcohol oxidase and its selenomethionine derivative expressed in E. coli by [11], it has been found that the structure of the enzyme resemblea elongated cylinder with a cap of approximately 75 Å length and 40 Å diameter. The elongated cylinder corresponds to flavin-adenine-dinucleotide (FAD) binding domain which is formed by 3 β-sheets. A 3 alpha helix surrounds the central core of flavin-adenine-dinucleotide (FAD) binding domain which has a parallel 5 stranded β-sheets. This centrally parallel β-sheet is connected to 3 antiparallel β-sheets which in turn is connected to 2 anti parallel beta sheet. The cofactor Flavin-adenine-dinucleotide which is non-covalently associated with the apoenzyme of the monomeric holoenzyme binds with the residues at the N terminus with the help of a network of hydrogen bonds with NH and CO groups of main chain. It also involves many water molecules. The N-terminal region of this enzyme that wrap around the flavin-adenine-dinucleotide domain in a unique helical pattern and it is a distinctive trait of aryl alcohol oxidase from other member of GMC as it is shortest in extension in length of 13 residues. The flavin-adenine-dinucleotide (FAD) structure has a deeply buried isoalloxazine ring which, conformationally adopt distal position with adenine moiety aligning vertically along the cylindrical axis forming flavin-adenine-dinucleotide (FAD) binding domain. The enzyme catalysis involve N5 atom of isoalloxazine moiety whose access to solvent is limited and hence interact with the solvent by a small opening by means of a funnel like cavity. There also exist a butterfly bend along the N5-N10 axis of the nonplanar FAD structure. This lack of planarity plays some role in redox potential of the cofactor and substrate binding ability of the enzyme. The primary structure of the enzyme form the signature βαβ fold of the consensus N terminal forming the central core of flavin-adenine-dinucleotide binding domain contain most prominent residues for flavin-adenine-dinucleotide stabilization [11].

The cap of around 60 Å width resemble the substrate binding domain whose central core is formed by 2 long α helix that guard a anti parallel 6 stranded β-sheets. In the widest part of the cap 2 long α helix laterally decorate the central core [11].

The 2 domains in the structure of aryl alcohol oxidase are connected by 2 β-sheets at the interface which are parallel and doubly stranded. Spreading from flavin-adenine-dinucleotide to substrate domain is 3 lengthy non structured segments. A funnel like channel (along re face of FAD isoalloxazine ring) to enzyme inner cavity creating a flap just above isoalloxazine ring’s methyl group by short insertion of 14 amino acids (shared with CHOX) and more structural motifs (additional 30 residues forming group of 3 α helix) generates supplementary connection between 2 domains [11].

The inner cavity which is also the active site of the enzyme is lined by aromatic residues Try92, Phe397, Phe501 which form a highly hydrophobic bottleneck blocking free access from wide substrate-exposed cavity. The inner cavity is also lined by residues Val54, Pro55, His91, Pro79, and Val90. It is also flanked by FAD isoalloxazine ring on 1 side and His502, His546 which are highly conserved and involved in catalysis on the other side. His502 and isoalloxazine ring is connected by water molecule forming hydrogen bond between N5 atom of isoalloxazine ring and N+2 atom of histidine. Glu389 in the isoalloxazine ring surrounding, is close enough to His546 to play a role in its protonation. In the mechanistic pathway the substrate is accommodate in the inner cavity with the involvement of catalytic histidine and N5 atom of FAD. Docking of aromatic alcohol substrate like p anisyl alcohol in this inner cavity have lead us to the conclusion that Cα atom of the alcohol is placed at angle and distance similar to other flavin containing enzymes. Thus, hydride transfer pathway to N5 atom of flavin-adenine-dinucleotide by His502 and His546 acting as catalytic base is made compatible in such position. Substitution of Tyr92 and Phe501 with non-aromatic residues can lead to a decrease in activity, which showed the importance of aromatic entrance to the enzyme’s inner cavity. However, it is noteworthy mentioning that both this residues are interchangeable with no significant loss of activity. Tyr92 is involved in the stabilization of the substrate but it is not a conserved member of GMC superfamily. Many putative aryl alcohol oxidase sequence from different basidiomycetes genomes showed the presence of tyrosine, phenylalanine, leucine in the position of Tyr92 suggesting stacking as an upholding mechanism in the enzymatic action which is discussed in details in the later section. The diffusion of alcohol substrate to enzyme active site require interaction with Tyr92, Phe501 and Phe397 and chain displacements which is not the case in case of O2. Based on, stacking stabilization energy of substrate and product Tyr92 play a significant role in switching between ping pong and ternary mechanism. Thus, we conclude from above discussion on structure of the enzyme that substrate excess to the enzyme active site is modulated by “size exclusion mechanism” and is not accessible to the solvent [11,40,41].

Ferreira et al from aryl alcohol oxidase and its variants electronic absorption spectra that spectral shift in variant F501A suggest side chain removal in Leu315 and Phe501 cause an increase in flavin micro environment polarity. A change in the position of Phe501 by alanine cause a decrease in redox potential of aryl alcohol oxidase by 50 mV, suggesting a potential for redox potential modulation by operating in this place [42].


Crystal structure of Thermothelomyces thermophilus Aryl alcohol oxidase (MtAAO)

Another study by Joshni et al. [78] on Thermothelomyces thermophilus M77 suggest a role of Ca2+ ion on enzyme temperature resistance and hence stabilitybased on 2.6A resolution X-ray crystallographic study and small angle X-ray scattering (SAXS). MtAAOx is a monomeric enzyme with molecular mass of 79.5kDa revealing 14% glycolysation (w/w). The enzyme showed same activity for cinnamylalcohol, veratrylalcohol or anisyl alcohol and its activity is negatively affected by metals Cu2+, Ba2+ like but positively affected by metals like Ca2+, Co2+, Sr2+.These findings suggest that Ca2+ binding cause conformational change in the molecular structure of MtAAOx leading to its thermo stability and hence a Ca2+ binding pocket is present near the catalytic site entance.Asp79 carboxyl group coordinate to thedivalent metal ion along with backbone carboxyl of groups,Thr77, Phe78, Tyr400, Leu402. The average coordinating distance of the Ca2+ binding site is 2.4 A and the geometry is octahedral in shape with unstructured 67-115 elements connecting both the substrate and flavin-adenine-dinucleotide (FAD) binding domain, and simultaneously providing and stabilizing the Ca2+ bindingregion. On the contrary, this region is short and structured in case of PeAAOx and hence leaving no space for binding of Ca2+ ion. Moreover, there exists a strict group conservation of Asp79/Glu45 in PeAAOx.

The non-covalently bonded flavin-adenine-dinucleotide in case of MtAAO FAD domain, interact via hydrogen bonds with main-chain Ser46, Tyr68, Val117, Gly126, Phe128, Val274, Met612. It also interacts with the side chain of Glu67 and Asn125. In case of residues Thr45, Ser121, Ser64, the interaction is with both side and main chain. The adenine moiety of flavin-adenine-dinucleotide is buried within the protein but the isoalloxazine ring interacts with the surrounding water molecule with its N-5 atom and hence it is exposed to the environment, similar to PeAAOx [30].

Paving the way to the catalytic site, starting from the isoalloxazine ring to the entrance of the catalyst is composed of one five stranded anti parallel β sheeth guarded by a long α helix, with short α helix surrounding the base form the substrate binding domain. The hydrophobic catalytic site has conserved His622 and His579 [30].

Eventually both this domain are connected by, out of fourthree extended segment (67-95, 347-358, and 492-504) and also by a long-structured segment (93-120). The top of the tunnel entrance is formed by 2 anti-parallel strands [30].

Thus, based on structural comparison of both the PeAAOx and MtAAOx we conclude that FAD binding domain is conserved in both the enzymes but the substrate binding domain and active site accessibility differ in both. The active site is connected to the solvent by a wider substrate access tunnel in case of MtAAO and hence the enzyme show similar activity for small veratryl alcohol and bulky substrate cynnamyl alcohol which is not the case in case of PeAAOx. This, narrow tunnel in case of PeAAOx is essential for O2 activity, which explain the low activity of MeAAO for O2. Moreover, the aromatic residues like Tyr92, Phe397, Phe501 is not conserved in case of MtAAO and Phe501 in case of PeAAO is substituted by Met578 in case of MtAAO. Thus, the prominent structural features of MtAAO are presence of Ca2+ ion binding site, heavy glycosylation and easily accessible catalytic site which throw light into the substrate spectrum and thermo stability [30].


Figure 2 Structure of Thermothelomyces thermophilus M77 AAO (MtAAO) and P. eryngiiAAO (PeAAO) (adopted from Kadowaki et al. [78].



Similarly, in case of MaAAO (Moesziomyces antarcticus) the conserved histidine His575 and His618 are and the catalytic route to active site is guarded by residues Phe147, Phe476 and Tyr574. In case of CcAAO, (Coprinopsis cinerea, a saprophytic basidiomycete which is plant based, after heterologously expressed in yeast Pichiapastoris) the conserved aromatic residues are Tyr109 and Tyr519, but the Phe397 in case of PeAAO is found to be replaced by leucine i.e Leu416, causing an enlargement in the substrate access channel. The conserved histidines are His520 and His564 [43,100,112].



Table 5 Various residues that play significant role in the structure-function relationship in case of PeAAO and MtAAO.

PeAAO

Role played by the residue

MtAAO

Role played by the residue

Try92

Form the hydrophobic bottleneck along with Phe397 and Phe501, blocking free excess to wide substrate-exposed cavity. It also stabilizes the alcohol substrate by pi-pi stacking interaction. This stacking interaction is not parallel but an edge-to-face i.e. T-shaped interaction. Replacement of Tyr92 by phenylalanine does not alter enzyme substrate affinity as probably stacking interactions are still possible but with tryptophan, due to its bulky nature the enzyme activity decrease. Its attacking interactions are higher for reactant alcohols than product aldehyde and hence facilitate product release.

Asp79

Co-ordinate with divalent metal ion.

Phe397

Form hydrophobic bottleneck along with Try92 and Phe501, blocking free access to wide substrate-exposed cavity. Substrate first interacts with this residue to attain its relevant position and it also significantly influence the product release in the reductive half reaction.

Thr77

Co-ordinate with divalent metal ion.

Phe501

Form the hydrophobic bottleneck along with Phe397 and Try92 blocking free access to wide substrate-exposed cavity by outside environment. But helps in O2 easy access to the active site by diffusion. Upon substitution with tryptophan at this site cause increase reactivity of O2 due to proper positioning of O2 with respect to flavin C4a and His502 due to constriction of access channel.

Phe78

Co-ordinate with divalent metal ion.

His502

Act as catalytic base in the mechanistic pathway. It also reduces the singlet and triplet energy gap to almost 10Kcalmol–1, due to large electron transfer from FADHinto O2. It also reduces the energy for spin inversion by almost 3Kcal mol–1, by supplying the initial proton to O2.

Tyr400

Co-ordinate with divalent metal ion.

His546

Has stabilizing effect by forming hydrogen bond in reduction of FAD to FADH2.

Leu402

Co-ordinate with divalent metal ion.

Val54

Line the inner cavity of the enzyme.

Ser46

Interact via hydrogen bond with the FAD.

Pro55

Line the inner cavity of the enzyme.

Tyr68

Interact via hydrogen bond with the FAD.

His91

Line the inner cavity of the enzyme.

Val117

Interact via hydrogen bond with the FAD.

Pro79

Line the inner cavity of the enzyme.

Gly126

Interact via hydrogen bond with the FAD.

Val90

Line the inner cavity of the enzyme.

Phe128

Interact via hydrogen bond with the FAD.

Glu389

Play some role in protonation of His546.

Val274

Interact via hydrogen bond with theFAD.



Met612

Interact via hydrogen bond with the FAD.



Glu67

Interact via hydrogen bond with the FAD.



Asn125

Interact via hydrogen bond with the FAD.



Met578

Present in the same place as Phe501 in case of PeAAO and hence play some role in wider substrate access channel.



His622

Significant role in H+ abstraction the catalytic pathway.



His579

Significant role in H+ abstraction the catalytic pathway.



Mechanism aspects of the enzyme

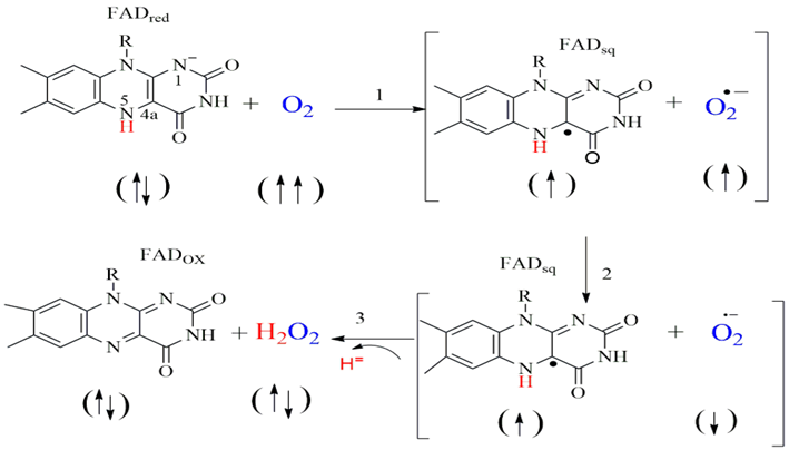
The flavin of the flavoenzyme aryl alcohol oxidase undergoes an impaired reduction reaction with O2 in lignin degradation process, (Figure 3) due to the intrinsic property of both flavin and O2, however the reaction is thermodynamically favoured due to difference in reduction potential of both the species. Oxygen is one of the most abundant and potent oxidant, due to its high reduction potential. The spin ground state of O2 is triplet (2 unpaired electrons) but flavin is singlet and hence the reaction is not favourable based on spin conservation law, but flavoenzymes have overcome this problem by stepwise single 1 electron transfer mechanism. The presence of 2 unpaired electron i.e. the triplet ground state makes it difficult for oxygen to react spontaneously with organic molecules, and this kinetic halt in reactivity can be solved by redox catalyst like aryl alcohol oxidase with extremely versatile molecule like FAD as cofactor, which exist as oxidized form called quinone, 1 electron reduced form called semiquinone, 2 electron reduced form called hydroquinone. The oxidation of flavin in free state, on the basis of kinetic and chemical study suggest that it proceed by 1 electron transfer from reduced flavin in its singlet state to oxygen in triplet state generating superoxide anion radical and neutral semiquinone. This step is followed by a spin inversion of both the radicals which allowed the further reaction to oxidised flavin and generation of hydrogen peroxide [30].



Figure 3 Spin state complexities in the mechanistic pathway of flavin oxidases.


The role of aryl alcohol oxidase is to assist in lignin degradation of peroxidises by supplying H2O2 or to trigger a Fenton reaction, proceeds by a mechanistic pathway in which the structural architectures of both the enzyme and active site play a significant role. The structural features of the active site suggest a hydrophobic oxidizing substrate which can be both alcoholic and aldehydic in nature. A detail explanation of mechanistic pathway of both is explained below based on directed mutagenesis, kinetic, isotope labelling, chromatographic, crystallographic, computational and spectroscopic techniques.


Action of aryl alcohol oxidase on alcoholic substrate

Based on extensive computational study, the action of aryl alcohol oxidase on alcoholic substrate proceed by 2 step process of oxidative and reductive half reactions in which both O2 and alcohol (i.e. oxidising and reducing substrate) is diffused to the active site through the same hydrophobic channel. This diffusion process is slightly constrained in case of alcohols by Gln395-Thr406 loop, which need some displacements but this constrain is not experienced by in oxygen in the oxidative half reaction. Alcohol as substrate first interacts with Phe397 and is stabilizing by Tyr92 through pi-pi stacking interaction [40].


The reductive half reaction

The reductive half reaction (Figure 4) cause oxidative dehydrogenation of alcohol and the process occur in a concerted, non-synchronized manner, with no stable intermediate reported so far. The substrate alcohol is oxidised (2 electron) with flavin N5 atom receiving a proR α hydrogen from alcohol in the form of hydride ion. The process also has a hydroxyl proton abstraction from alcohol by His502 acting as catalytic base which is assisted by His546 by forming hydrogen bond stabilization, thereby reducing FAD to FADH2. The hydrogen from proR α carbon from alcohol substrate in flavin N5 is prone to solvent exchange but this exchange rate is considerably low in this case than in free FMN due to both characteristic loop and hydrophobic bottleneck generated by 3 aromatic residues i.e. Tyr92, Phe397, Phe501, which limit the access of the active site to outside environment [44,46].



Figure 4 Systematic representation of reductive half reaction.


The oxidative half reaction

The freely diffusible O2 occupy same site as alcohol substrate α carbon in the enzyme active site near His502 in the oxidative half reaction. Phe501 plays some role in this process of placing O2 close to C4a of flavin. This O2 is 2electron reduced by reaction with reduced FAD to initially yield superoxide anion radical and a semiquinone is generated in the process which is not stabilized thermodynamically. The 1st electron is transferred from flavin to O2 yielding both the radicals, i.e. semiquinone and superoxide radical.

The 2nd electron is transferred from flavin semiquinone to superoxide anion radical yielding a molecule of hydrogen peroxide and oxidised flavin in the process. The next step is slow homolytic breakage and transfer of hydrogen atom from flavin N5 to superoxide ion. This hydrogen atom originates from the substrate in the 1st half reaction and the step partially limits the oxidative half reaction and hence termed as rate limiting step of oxidative half reaction by QM/MM calculations. This step is also sensitive to isotopic substation. Another step which completes the oxidative half reaction is the fast and spontaneous H+ transfer from solvent or catalytic base His502 which is a capable solvent exchangeable site. This step is suggested by QM/MM study as an energetically favoured step which does play some role in lowering the energy required for O2 spin inversion. This transfer processes are independent and non-concerted with computational studies suggesting that H+ transfer precede the breakage of N5-H bond [64-66]. The oxidative half reaction is shown in Figure5.



Figure 5 Systematic representation of the oxidative half reaction.





This mechanistic approach is a reflective of versatility of flavin as cofactor, as other flavin containing oxidases like the cholin oxidases show a concerted pathway of H+ and Htransfer, a clear difference in the mechanistic pathway of both the enzymes, despite being a member of same GMC superfamily [47,81,83].


Substrate chemistry for alcohols

The above mechanistic pathway does clearly justify that substrate in the process of aryl alcohol oxidase enzymatic action should be a polyunsaturated aromatic (benzylic), aliphatic alcohols with hydroxyl group at Cα position. The enzyme’s activity increases with increase in aromatic system or the enzyme’s influence on reaction rate vary with the number, nature and position of substituent on the aromatic ring of the substrate. A general trend of increase in enzymatic activity is observed in case of electron donating substituent and a decrease in activity in case of electron withdrawing substituent is observed in case of PeAAO. In case of PoAAO i.e. P. ostreatus whose sequence identity with PeAAO is 98.1% show a very similar substrate spectrum with highest activity in methoxylated substrate i.e.p-methoxybenzyl alcohol but in case of BaAAO i.e. B. adjusta whose sequence identity with PeAAO is 46.9% showed a opposite trend in the substrate spectrum with highest activity reported in case of chlorinated 3-chloro-4-methoxybenzyl alcohol and 3-chlorobenzyl alcohol.Thus, we can conclude that choice of substrate in case of aryl alcohol oxidase depend on the metabolite that is abundant in the natural habitat of the fungi. Figure 6 shows the reaction pathway of aryl alcohol oxidase using an electron donating group present as substituent in the substrate.



Figure 6 Mechanism of action of Aryl alcohol oxidase (AAO) with electron donating alcoholic substarte.


Ping pong and ternary complex mechanism of substrate

Based on substituent present in the aromatic ring, the mechanistic route of aryl alcohol oxidase as a versatile catalyst could either choose ping-pong or ternary complex pathway. This switching between both the pathways depends on the stacking interaction with Tyr92. Thus, Tyr92 plays a significant role in governing the active-site pathway for aryl alcohol oxidase enzymatic action, based on the chemical nature of substituent present in the aromatic ring [48].


Ping pong mechanism

The chemical nature of the substituent present in the benzylic ring of the substrate influence the mechanistic route of aryl alcohol oxidase’s 2 electron oxidative and reductive pathway. On the basis of bi-substrate kinetic analysis it was revealed that the oxidative and the reductive half reactions are independent of each other in case of electron withdrawing substrate like 3-choloro and 3-fluorobenzyl alcohol, i.e. in case of electron withdrawing substrate the dissociation of the aldehydic product from the reductive half reaction of alcohol substrate occur before the arrival of O2, the 2ndsubstrate for oxidative halfreaction. This is called a ping-pong mechanism (Figure 7), which is a result of lower quantum mechanical stacking energy between the alcohol/aldehyde and side chain of Tyr92, due to the presence of electron-withdrawing ‘chloro’ and ‘fluoro’ substituents in the ring. The increasing electro negativity for ‘fluoro’ groupcompared to chloro group in both the mentioned respective substrate has the usual expected trend of decreasing stacking energy with Tyr92 and lower stabilization. The enzyme affinity for O2 increase in case of substrate exhibiting ping-pong mechanism and hence catalytic efficiency for O2(kcat/Km(O2) increase 3 times but Kcat/Km(Al) i.e. for alcoholic substrate decrease in case of electron withdrawing substrate due to decrease in Kcat and increase in Km value. The pathway from oxidized to reduced flavin in case of electron withdrawing substituent containing substrate is a 1 step process (A to B) with no stabilization of any charge transfer complex, indicative of an irreversible process. The Kred value for such ‘chloro’ and ‘fluoro’ substituted substrate are very similar to their turnover valuesindicating that the reductive half reaction is the rate limiting step [48,99].



Figure 7 Pathway for Ping pong mechanism.


Ternary complex mechanism

Similarly in the presence of electron donating substituent like methoxylated benzylic alcohols the mechanism is sequential with O2 as substrate in the oxidative half reaction react with aryl alcohol oxidase before the release of the product aldehyde from the reductive half reaction and hence forming a ternary complex with Ared-aldehyde. The methoxy group increases the electron density in the ring by resonance and hence the nucleophilicity of the ring increase and hence increase in stacking stabilization energy with Tyr92 is seen. It is noteworthy mentioning that the stacking interaction is intermediate for 3-chloro-4-methxoybenzyl alcohol/aldehyde, due to presence of both electron donating and withdrawing substituent in the substrate. For flavin re-oxidation in such ternary complex process some arrangements in the aldehydic product is necessary as it is still bounded to theenzyme active site upon arrival for O2 for oxidative half reaction. With 3-chloro-4-methoxybenzyl alcohol, 4-methoxybenzyl alcohol or 3,4-dimethoxybenzyl alcohol as substrate a 2-step process (A to B to C). The 1st step is the formation of charge transfer complex in the reductive half reaction between reduced flavin and the corresponding aldehydic product (AAOred-Product complex). It is a fast process and depends upon the substrate concentration. The 2nd step is reaction of O2 with the charge transfer complex is independent of the substrate concentration and is generally a very slow process. The reductive half reaction is not the rate-limiting step in case of such ternary complex pathway, but it was found in case of 3-chloro-4-methoxybenzyl alcohol that product release step (k5) may behave as the rate-limiting step [48]. The systematic route for ternary complex mechanism is shown in Figure 8.



Figure 8 Pathway for ternary complex mechanism.


Aldehyde oxidation mechanism by aryl alcohol oxidase

The aldehyde oxidase activity of aryl alcohol oxidase is very low compared to alcohol oxidase activity and hence based on various study by Guillén et al. [19], it was assumed that maybe the mechanistic pathway proceed by nuceliophilic attack on substrate aldehyde, but Ferreira et al. [49] concluded that substrate in case of aldehyde oxidation by enzyme is “gem-diols”, which perform as ‘the activating molecule’ and hence the rate of hydration of the aldehyde and presence of groups on the aldehydic substrate which impact the hydration hugely influence the aldehyde oxidase activity of aryl alcohol oxidase. Thus, the 1st step in the aldehyde oxidation by aryl alcohol oxidase is the hydration of the carbonyl group of aldehyde forming gem-diols, which is known to exist along with the carbonyl group. The next step is the rate-limiting reductive step, very similar to alcohol oxidation, proceeding by concerted step like α-carbon hydride and hydroxyl proton transfer to flavin-adenine-dinucleotide and catalytic histidine, i.e. His502 acting as base. Eventually the oxidative half reaction is similar to alcohol oxidation mechansistic pathway with release of H2O2 and regeneration of flavin-adenine-dinucleotide. On the basis of site directed mutagenesis by Ferreira et al. [49] it was reported that both His502 and His546 are essential for breaking of 1 gem-diols O-H bond, but more significant role is played by His546 in the mechanistic pathway of the enzyme. It was found that compared to wild type, in case of His546S variant using p-nitrobenzaldehyde as substrate the activity decreased 670 fold but in His502S variant the activity decrease is around 340 fold. However, upon substitution of Tyr92 with phenylalanine does not significantly influence oxidation of substrate p-nitrobenzaldehyde but in case of p-anisaldehyde, a typical substrate whose degree of spontaneous hydration is less, it was found that a decrease in Kcat of 5 fold is reported in Y92F mutation indicating that hydroxyl group on the phenolic ring has strong influence in activation of such aldehyde. Thus, we can conclude that activating molecule for aldehyde oxidation is water and hence hydration of carbonyl group significantly influence the substrate specificity of the enzymatic action on aromatic aldehydes and it was reported that the preferred substrate for aldehyde oxidation by the enzyme are aromatic aldehyde with an electron-withdrawing group, as such group promote the inclusion of hydroxyl group of water into the α-carbon of aldehyde [49,19].


Substrate chemistry for aldehyde

According to Ferreira et al the best substrate for aldehyde oxidation by aryl alcohol oxidase is m-chlorobenzaldehyde and p-nitrobenzaldehyde, but the worst substrate is 2,4-dinitrobenzaldehyde and veratraldehyde [49]. Guillén et al. [60] also reported p-nitrobenzaldehyde as best substrate for aldehyde oxidase activity by aryl alcohol oxidase. Based on GC-MS study, the highest oxidation rates on aldehyde oxidase product activity was reported for p-cholorobenzaldehyde (48%), followed by p-nitrobenzaldehyde (43%) and finally m-cholorobenzaldehyde (39%). A moderate activity of 20 and 17% is reported for p-fluorobenzaldehyde and p-anisaldehyde respectively. Based on NMR analysis, it was concluded that the presence of electron-withdrawing nitro group at ortho and para position enhance the hydration rate by 20 and 83%, respectively, but electron donating methoxy group cause an opposite effect and no gem-diols are reported for p-anisaldehyde and veretraldehyde. However, the exceptional result reported in case of 2,4-dinitrobenzaldehyde, despite the presence of 2 nitro groups, can be attributed to the fact that despite the 2 nitro groups promote the hydration of carbonyl group in the substrate, yet the high electron-withdrawing nature of nitro group, make eventual hydride transfer in the reductive half-reaction difficult [49,19]. The mechanistic pathway for aldehyde oxidase mechanism is shown in Figure 9.



Figure 9 Themechanistic pathways for aldehyde oxidation by aryl alcohol oxidase.


Thus, versatility of the enzyme aryl alcohol oxidase standtall and the enzyme perform superbly as alcohol oxidase or aldehyde oxidase or as an outstanding double oxidase oxidising alcohol to corresponding acids based on the substrate or lignin metabolite available [98].



Figure 10 The pictorial descriptions for the historical evolution of the enzyme aryl alcohol oxidase.


Comparative study of influence of different groups on the substrate oxidation rate by aryl alcohol oxidase

By setting the activity of benzylic alcohols as 100%, in case of PeAAO2 (P. eryngii P34 produced in P pastoris) by Jankowski et al. [50] relative comparison of para methoxylated benzylic alcohols showed the following trend in activity-p-anisyl alcohols (647%) >veratryl alcohols (322%) >isovanillyl alcohols (246%).The same paper also reported that bicyclic 2-napthelenemethanol showed highest activity of 874%, moreover cinnamyl alcohol showed increased activity of 442%, due to unsaturated side chain. The enzyme is generally not efficient in case of secondary alcohols due to small space in the active site, of enzyme’s bottom, making it difficult for large substituent on substrate to be positioned in the Cα position. Thus, a primary hydroxyl group in conjugation with a planar double bond system for stacking interaction with tyrosine group serves as efficient substrate.

There are reports that expression of aryl alcohol oxidase in Ustailago maydis (UmAAO) [32] showed activity highest in p-anisly alcohol like Pleurotusaryl alcohol oxidase but Coprinopsis cinerea (CcAAO) [23] showed highest activity in benzyl alcohols. Thus, although we conclude that substrate spectrum in case of AAO varies from different fungal strain, yet we make the following generalization for differently substituted alcoholic substrates relative to benzyl alcohol activity as 100% as reported in PeAAO2 [74]




Methoxy substituted alcohols

The presence of electron donating groups in the ring increase electron density in the ring and hence favors oxidation of primary alcohols, especially when electron donating groups like methoxy group is present in para position, it seems like methoxy group plays a very crucial role, which is very evident from the activity of p-anisly alcohol (647%), veratryl alcohol (322%) and isovanillyl alcohols (246%). But it is seen that presence of methoxy group in meta position makes it a electron withdrawing group and hence decreasing the enzymatic activity of the enzyme on substrate like in vanillyl alcohols (2%) and coniferyl alcohol (<0.1%). Despite, the presence of electron donating hydroxyl group in para position in both the alcohols, it seems like electron withdrawing effect of meta methoxy group is the most dominating effect. It was reported that in case of MaAAO the activity reported for m-Anisyl alcohol, p-Anisyl alcohol, veratryl alcohol, isovanillyl alcohol, vanillyl alcohol, 2,4-dimethoxybenzyl alcohol, coniferyl alcohol is 139, 219, 250, 211, 212, 180, and 29%, respectively [88]. It was reported p-methoxy benzyl alcohols as best substrate in the fungal strain of T. versicolor, P. sajor-caju, P. pulmonaris, B. adusta, A. terreus, and P. sapidus [51]. Guillén et al. [52] found that in case of P. eryngii 2,4-Dimethoxybenzyl alcohol is a better substrate that 3, 4, 5-Trimethoxybenzyl alcohols. Veratryl alcohol is also reported as best substrate for bacterial aryl alcohol oxidase Sphingo bacterium sp [53]. MaAAO oxidized para and meta substituted substrated equally well, similar to rCcAAO from Coprinopsis cinerea despite sequence identity of only 31% between them [13].


Isopropyl group substituted alcohols

This group is also a electron donating group and hence thepresence of this group in the para position enhance the activity of cumic alcohol by 1.5 times relative tobenzyl alcohols in PeAAO2 [50]


Amino group substituted alcohols

The presence of amino group in para position cause a electron withdrawing effect, due to protonation of amino group at neutral pH which explain the decrease in activity of 4-aminobenzyl alcohols by factor of ‘5’ compared to benzyl alcohol by [50]. But, in case of MaAAO the activity is increased by amino substituted group [13]. The reported activity for MaAAO in case of 3-aminobenzyl alcohol and 4-aminobenzyl alcohol is 170 and 162%.


Heterocyclic compounds as substrate

Various furan, thiophene, pyridine, indole, benzodioxole derived alcohols were tested for PeAAO2 activity and among them piperonyl alcohols showed highest activity of about 3-times higher than benzyl alcohols. This maybe explained by the fact that oxygen atom act as electron donating effect in the primary alcoholic group of the alcohol in case of piperonyl alcohol. Other furan derived 5-hydroxymethylfurfural (5-HMF) showed less activity but sulfur containing 2-thiophenemethanol showed about 16% activity and it is the 1st reported sulfurcontaining compound reported as substrate for aryl alcohol oxidase. Other nitrogen containing indole and pyridine derived heterocyclic compounds were oxidized by PeAAO2 relatively less than 2% [50]. Incase of MaAAO the reported activity for furfuryl alcohol and furfural is 75 and 6%, respectively. Also in case of DFF, HMF, HMFCA, FFCA, the reported activity by MaAAO are 68, 176, 20, and 10%, respectively [50,75].


Unsaturated bonds in the side chains of aryl or alkyl alcohols

Unsaturated system provides an extended conjugation and hence enhances the activity comparedto benzyl alcohols (as in case of cinnamyl alcohols which shows a 4 times increase in activity compared to benzyl alcohols). Cinnamyl alcohol is reported as best the substrate in case of fungal aryl alcohol oxidase like P. Ostreatus, U. maydis and gastrodaryl alcohol oxidase like A. ater [14]. The reported activity in case of MaAAO for Cinnamyl alcohol is 231% [30].


Condensed aromatic rings as substrate

Among such compounds 2-napthelenemethanol seemed toshow the highest activity of 874%, which is even more than most substituted benzylic alcohols as reported in PeAAO2 [50]. 2-napthelenemethanol is also reported as best substrate for P. eryngii. Other condensed aromatic ring substrates are 1- pyrenemethanol (36%), which is oxidized one-third when compared to benzyl alcohols. However, it is noteworthy mentioning that in 9-Anthracenemethanol which is a tricyclic ring system, doesnot show detectable oxidationi.e. the primary alcoholic group is located in less compatible place in the active-site of the enzyme [74]. Also, in case of MaAAO, the activity for 2-Napthalenemethanol and 1-Pyrenemethanol is 97 and 15%, respectively [13].


Hydroxyl group substituted alcohols

Various reports suggest that hydroxyl group negatively affect enzyme activity. However, o-Hydroxylbenzyl alcohol is reported a s best susbtrate for aryl alcohol oxidase derived from insects like C. populi, P. vitellinaein case of MaAAO the reported activity for 4-Hydroxybenzyl alcohol is 155% [20].


Linear primary alcohols as substrate

Various reports suggest that those linear alcohols which are in conjugation with a double bond system like trans, trans-2,4-hexadienol and trans,trans-2,4-


Heptadienol showed a high activity of about 807 and 737%, respectively, which is comparatively very higher than substituted benzyl alcohols and just less than 2-napthelenemethanol.However in case of trans-2-hexanol and trans-2-heptanol a decrease in activity of around 12 fold and 23 fold is observed in comparison to their counter parts i.e. trans,trans-2,4-hexadienol and trans,trans-2,4-heptadienol respectively [50].In case of trans-2-octenol and trans-2-cis-6-nonadienol, a decreased enzyme activity is observed due to, elongation of the linear unsaturated system to C8 and C9.2,4-hexadiene-1-ol is reported as best substrate for C. cinerea [23]. Similarly in case of MaAAO, the activity reported for substrate like Prenol, trans, trans-2,4-hexadiene-1-ol and trans, trans-2,4-heptadiene-1-ol are 74, 282, 232%, respectively [13].

Thus, we conclude that aromaticity is not a required factor for aryl alcohol oxidase activity but a double in conjugation with the primary alcoholic group is mandatory requirement for the enzymatic activity on substrate. There are numerous paper which have concluded that best substrate for aryl alcohol oxidase activity is 2-napthalenemethanol, 4-methoxybenzyl alcohol and 2,4-hexadiene-1-ol.


Secondary alcohols as substrate

The unique narrow architecture of PeAAO active site prevents the oxidation of secondary alcohols, basically due to the presence of Phe501 residue and lle500 residue. However, upon substitution of this Phe501 residue by smaller alanines in the variant F501A cause a widening of the active site channel and improves aryl alcohol oxidase activity. The activity reported in case of F501A variant with 1-(p-methoxyphenyl) ethanol as substrate is about 60 fold and in case of (S)-(p-fluorophenyl) ethanol is about 19 fold higher than wild aryl alcohol oxidase as reported by Hernandez-Hernández-Ortegaet al. [18] relative to p-methoxy benzyl alcohols. Another variant l500A obtain by similar rational design also showed an increase activity in secondary alcohols. This steroselectivity and concerted nature of proton and hydride abstraction in the mechanistic pathway of the enzyme could be exploited for deracemerization of chiral secondary alcohols due to hydride abstraction by the enzyme steroselectively from the pro-R position. A proper accommodation of bulky secondary alcohols, the (S)-1-para-(methoxyphenyl)-ethanol in case of l500W, the conversion rate to corresponding ketone is different, leaving the (R)-1-para-(methoxyphenyl)-ethanol isomer un-reacted [54].

Based on site directed mutagenesis and PELE computational study double variant l500M/F501W produce enantiomerically-enriched (upto ee > 99%) secondary alcohols as a result of preferential catalytic activity of aryl alcohol oxidase on (S)- stereoisomer leaving (R)- isomer un-reacted [55].

While, transition of substrate from solvent to the active site of the enzyme in F501A variant of P. eryngii, it was identified that lle500 as one of the residue with highest contact number with the substrate and hence we carry out a substitution on this residue which eventually lead us to interesting conclusion, that more efficient a variant is on secondary alcohol, less is its efficiency on primary alcohol. It is also reported that lle500 variants also act upon (S)-1-(p-fluorophenyl)-ethanol but hardly show any reactivity in case of its R-isomer. In case of (±)-1-phenyl-1-propanol and (±)-1-phenyl-2-methylpropanol as substrate in case of variants 1500M and 1500M/F501W we conclude the active site is large enough to accommodate ethyl or isopropyl groups [55,54].

However, the loss of activity reported in case of primary alcohols due to introduction of l500M-F501W in l5G12 variants was recovered in case of LanDo mutant with substrate like p-methoxybenzyl alcohol and aliphatic 2,4-hexadiene-1-ol. LanDo is also reported to show activity on 1-phenyl propanol, which wild type does not show [55].


Inhibitors and their characteristics

It was reported that enzyme aryl alcohol oxidase experienced competitive inhibition from both phenol and 3-phenyl-1-propanol with a reported Ki of 1.92 and 4.48 mM, respectively [19]. But propanol does not show any inhibition effect and this suggest that the aromatic phenyl ring in case of 3-phenyl-1-propanol plays significant role in the recgnition of substrate by active site of the enzyme [42], reported that Ki of chavicol is 0.11mM, a established competitive inhibitor. Other reported competitive inhibitors are non-phenolic compounds aromatic in nature like p-anisiic acid or toluene or benzylmethyl ether. It is noteworthy mentioning that among these competitive inhibitor, both toluene and benzylmethyl ether are bonded reversibly to the enzyme and can be removed by process like dialysis. However 4-methoxy benzylamine is the uncompetitive inhibitor (Ki = 0.25mM), and this compound has good affinity for aryl alcohol oxidase and it is found that the compound has a pH dependent inhibition of showing a optimum inhibition at pH = 8, which maybe due to protonation of the amine group a a basic medium which enable the positively charged amine group to interact with the enzyme [49].

It was reported that benzaldehyde is a non-competitive inhibitor with a reported Ki of 46mM, which signifies that both benzal alcohol and benzaldehyde binds at different position in the enzyme active site [56]. It also suggests that inhibition effect of H2O2 on the enzyme is complex in nature. Other inhibitors are p-chloromercuribenzoate, sulfur dioxide and ethanol. It was reported that the inhibition of the enzyme by ethanol is reversible but by sulfur dioxide it is irreversible [56]. It was reported that enzyme was not inhibited by EDTA, or mercaptoethanol or CN, but an inhibition of 19% is reported for NaN3 (10mM) [57]. Figure 11 below shows the binding site of different inhibitor.



Figure 11 Different inhibitors of the enzyme aryl alcohol oxidase.


Aryl alcohol oxidase action in delignification as auxiliary enzyme in nature

Role as auxiliary enzyme for ligninolytic peroxidases

Aryl alcohol oxidase plays a significant role in the process of delignification of lignocellulosic biomass by constant supply of H2O2 to the fungal oxidative enzymes that degrade lignin and hence act as an auxiliary enzyme in the process. Auxiliary enzymes are enzymes that do not degrade lignin on its own but assist ligninolytic peroxidises by supplying H2O2 which act as the oxidising substrate for ligninolytic peroxidises or act as precursor for OH.radical which is highly reactive in nature and attack the recalcitrant structure of lignin along in case of white-rot fungi by producing enzymes like lignin peroxidise, versatile peroxidise, manganese peroxidise.The complicated structure of lignin is a key hazard in proper exploitation of lignocellulose biomass for bio refineries and other industrial process like production of biofuels, cellulosic paper-pulp and other bio-based chemicals including ethanol or animal feeding. The high carbon content in lignin makes it suitable for bio fuels or production of other benzene, xylenes, toluene etc. The brown-rot fungi degradation of lignin is yet to fully understand but it definitely plays some role in modification of lignin [58,14,89,102].


Prevent re-polymerization of lignin radical

The complex structure of lignin acting as filler between cellulose and hemicelluloses contain monomeric units like p-coumaryl alcohol, sinapyl alcohol and coniferyl alcohol. The composition of such monomeric units differ based on lignin species is hardwood or softwood. The most abundant linkage is β-O-4 ether linkages along with other linkages like β-5 phenylcoumaran, β-βpinoresinol, diphenylether 4-O5, β-1diphenyl methane. The attack of peroxidase on lignin model compounds or even aryl alcohol oxidase on both phenolic and non-phenolic substrate can produce cation radical that is unstable. This radical also experience many attack on Cα-Cβ and C4-ether linkage producing aromatic aldehydes. The re-polymerization of such lignin radical or semiquinone generated upon using quinone as oxidizing substrate (quinone-reductase activity) is prevented by action of aryl alcohol oxidase. The unstable radical intermediate formed upon action of laccase on both phenolic and non-phenolic substrate undergoes rapid polymerization and quenching of 2,6-Dichlorophenolindophenol (DCIP) and guaiacyl quinonoid intermediate produced by laccase is successfully carried out aryl alcohol oxidase [58,97,103]. AAO and laccase mediated prevention of polymerization of lignin model substrate is shown in Figure 12.



Figure 12 Laccase and aryl alcohol oxidase mediated prevention of polymerization DCIP as the model compound (2,6-dichlorophenollindophenol). The substrate used by AAOhere is Veratryl alcohol and the product formed is Veratryl aldehyde.


Providing redox-mediators to laccases

The low-redox potential of oxidoreductases like laccases produced by many basidiomycete, actinomycete and eubacteria prevent the direct attack on complicated lignin structure but the can degrade lignin in the presence of redox mediators. Redox-mediators are small, has a low molecular-mass, stable free radical acting as oxidizing compounds and hence can diffuse from enzyme and easily penetrate lignocellulosic biomass. Many lignin precursors with phenolic structure or degradation products perfom like laccase mediator and aryl alcohol oxidase can play some role in generation of such redox mediator like reduced quinines. The 1 electron oxidation of hydroquinones produces semiquinones which can act as redox mediators upon using p-benzoquionone as preferred oxidizing substrate. Complex substrates do not generally interact with the substrate binding pockets of enzyme and in such case mediators act like electron shuttles, reaching the complex molecules successfully by diffusion away from the active site. The chemical synthesis of redox mediators is expensive and can cause harmful impact on environment upon generation of toxic species, limiting the large scale industrial application of laccases and hence aryl alcohol oxidase can provide alternative mediators which are based in nature and related to phenylpropane units of lignin [58,74,101].


Generation of reactive hydroxyl radicals

The generation of highly reactive hydroxyl radical by aryl alcohol oxidase through Fenton reaction (Fe2+ + H2O2) in the mechanistic pathway of lignin degradation by aryl alcohol oxidase acting as auxiliary enzyme along with other peroxidases and laccase is another role of aryl alcohol oxidase in brown-rot fungi degradation of lignin. This hydroxyl radical carry out the initial oxidative attack on plant cell wall and facilitate ligninocelluloytic enzymes, due to its reactive nature. Aryl alcohol oxidase shows a wide range of reducing substrate activity both phenolic and non-phenolic or hydrated aldehydic, but its preferred oxidizing substrate is O2. However, upon using p-benzoquinone as oxidizing substrate produce hydroquinones, which in its quinone redox-cycling pathway produce hydroxyl radical. Thus aryl alcohol oxidase quinone-reductase activity, despite the role of aryl alcohol oxidase as aryl alcohol dehydrogenase activity less important based on maximum turnover of the enzyme, than oxidizing activity of the enzyme, yet this step have significant physiological role and it was reported that, in case of aryl alcohol oxidase from P. ostreatus,P.eryngii,B.adusta oxidize both O2 and p-benzoquinone at a similar rate or maybe more effectively, despite a significant difference in its reducing substrate specificity is observed in this enzymes [58,78,92].


Role as auxiliary enzyme to Lytic Polysaccharide Monooxygenase (LPMO)

The literature encompassing plant cell wall breakdown is generally composed of hydrolytic and oxidative system for carbohydrate and lignin degradation respectively. The carbohydrate degrading enzymes display some subtle specificity but the lignin degrading enzymes cause a breakdown in carbon-carbon or the inter-unit bonds in ether. So, to accomplish such complex process ligninolytic enzymes produce free radicals that are extremely reactive and non-specific in nature to carry out oxidative enzymatic combustion. These free radicals that are oxidative in nature carry out non-specific process that does not restrict to lignin breakdown only, but also attack other component of plant cell wall. Copper dependent LPMO like GH61 uses less molecular weight agents like ascorbate or gallate or reduced glutathione to carry out oxidative cleavage of both cellulose and lignin. Various studies revealed that action of LPMO are more potent when combined with auxillary enzymes like CDH, and fungal degrading microbes produce a plethora ofauxillary enzymes including aryl alcohol oxidase. Thus, we conclude that hemicellulolysis and lignolysis are not independent process [59,5,78].

The recalcitrant structure of cellulose need redox mediator between GMC and LPMOs to activitate LPMOs for cellulose degradation and hydroquinones can act as efficient electron shuttles in the process [11].


Industrial applications of the enzyme

Dye degradation for wastewater treatment

A wide application of synthetic dyes in various industries from paper, leather plastic, pharmaceuticals, textile to food industry has cause a havoc in wastewater treatment due to unlawfull discharge of contaminant effluents from such industries to water system harming the habitat and nature’s cycle of life on earth. Various treatments of wastewater like physical or chemical including catalyst or adsorbents, advance oxidations are available but does not completely comply to the environmental concerns due to production of many secondary contaminants or economic impractility and hence various microorganisms like bacteria, fungi, particularly white-rot fungi can be good nature’s recyclers for degradation of such complex molecular and aromatic structure of dyes in a environmental friendly ways, by exploiting their ligninolytic oxidases and peroxidases. The role of aryl alcohol oxidase in delignification with such lignin degrading peroxidases (lignin peroxidase, Mn-peroxidases, Mn independent enzymes) and laccases by supplying extracellular H2O2 and significant role played by such lignin degrading enzymes from white-rot fungi in dye degradation based on oxidation potential of various dyes have been widely reported in detail [60,61,43].

Various dyes are carcinogenic, mutagenic, xenobiotic or allergic and fungal aryl alcohol oxidase so far is reported to work with Dye degrading enzyme by proving H2O2 or preventing the polymerization of intermediate radicals formed by DyP, like in case of Geotrichum candidumDecl degrading Red 5B[62] In another report by a balanced moderate release of H2O2 by aryl alcohol oxidaseenchance the degradation activity of DyP unlike adding H2O2 from outside inhibit the enzyme by high concentration of H2O2 in case of DyP from Mycetiniss corodonius and aryl alcohol oxidase from P. sapidus [38]. The degradation of reactive blue 5 dye occur within 2 hin the presence of aryl alcohol oxidase but in the absence of aryl alcohol oxidase, H2O2 added from outside cause fast degradation within 4 min but cause inhibition of DyP eventually [8,80,96].

Despite, the auxiliary role of fungal aryl alcohol oxidase in case of dye degradation, it is reported by Tamboli et al. [8] of direct involvement of aryl alcohol oxidase in dye degradation like Red 5B, Orange 3R, Direct Blue GLL by Sphingo bacterium sp [8,80,88].



Table 6Various dyes and role of AAO in its degradation.

Dye

Chromophore

Source

Time for degradation

Percentage of degradation

AAO role

Reference

R. blue 114

Anthraquinone dye

Thanatephoruscucumeris

6-10 days

83-100

Auxiliary role with DyP

63

R. blue 5

Anthraquinone dye

Thanatephoruscucumeris

6-10 days

66.9-98.7

Auxiliary role with DyP

63

R. blue 19

Anthraquinone dye

Thanatephoruscucumeris

6-10 days

69.3-100

Auxiliary role with DyP

63

R. blue 182

Azoic dye

Thanatephoruscucumeris

6 - 10 days

73.1-100

Auxiliary role with DyP

63

R. red 202

Azoic dye

Thanatephoruscucumeris

6 - 10 days

64.9-98.8

Auxiliary role with DyP

63

R. red 187

Azoic dye

Thanatephoruscucumeris

6 - 10 days

46.9-100

Auxiliary role with DyP

63

R. red 123

Azoic dye

Thanatephoruscucumeris

6 - 10 days

31.9-100

Auxiliary role with DyP

63

R. red 225

Azoic dye

Thanatephoruscucumeris

6 - 10 days

60.6-100

Auxiliary role with DyP

63

R. red 120

Azoic dye

Thanatephoruscucumeris

6 - 10 days

82.9-92.9

Auxiliary role with DyP

63

R. orange 13

Azoic dye

Thanatephoruscucumeris

6 - 10 days

46.5-75.2

Auxiliary role with DyP

63

R. yellow 2

Azoic dye

Thanatephoruscucumeris

6 - 10 days

23.1-44.4

Auxiliary role with DyP

63

R. black 5

Azoic dye

Thanatephoruscucumeris

6 - 10 days

79.7-99.9

Auxiliary role with DyP

63

Acid red 73

Azoic dye

Thanatephoruscucumeris

6 - 10 days

83.1-100

Auxiliary role with DyP

63

R. blue 21

Phthalocyanine dye

Thanatephoruscucumeris

6 - 10 days

81.7-87.2

Auxiliary role with DyP

63

Acid red 27

Azoic dye

Thanatephoruscucumeris

10 days

97.9

Auxiliary role with DyP

63

Acid orange 7

Azoic dye

Thanatephoruscucumeris

10 days

100

Auxiliary role with DyP

63

Direct Red 5B

Azoic dye

Sphingobacteriumsp

8 h

65

Direct role of AAO

8

Orange 3R

Azoic dye

Sphingobacteriumsp

8 h

55

Direct role of AAO

8

Direct BlueGLL

Azoic dye

Sphingobacteriumsp

8 h

48

Direct role of AAO

8

Reactive blue 5

Anthraquinone dye

Geotrichumcandidum

6-15 days

Nd

Auxiliary role with DyP

62

AQ-2’

Anthraquninonedye

Geotrichumcandidum

Nd

Nd

Auxiliary role with DyP

62

Reactive blue 5

Anthraquinone dye

Mycetinisscorodonius (DyP) and P. sapidus (AAO)

2 h

Nd

Auxiliary role of AAO

52



Pulp- biobleaching in paper industry

Aryl alcohol oxidase also seems to contribute along with other ligninolytic enzymes from white-rot fungus like lignin peroxidases for pulp-biobleaching in paper industry to obtain white pulp. The kraft pulp from mill effluents are treated by both lignin and manganese peoxidases including a laccase mediator system is a suitable choice for bleaching of kraft pulp is well studied with 1-hydroxybenzotriazol (HBT) as the mediator impacting strongest delignification in case of P. cinnabarinus. The lignin chromophore affect pulp color and hence lignin degrading enzymes like laccase cause lightening of pulp in the absence of the mentioned mediator but such lightening impact of laccase is found to be enhanced by the presence of aryl alcohol oxidase [58,64,65].



Figure 13 Different industrial application of the enzyme Aryl alcohol oxidase (AAO).

Deracemization and hence drug design

In pharma industry chirality is essential factor to take into consideration during drug design, which is tackled classically by enantiselective synthesis, racemic mixture separation or dynamic kinetic resolution, the most efficient one among all expensive asymmetric synthesis of recent times. Various oxidases, reductases or oxidoreductatese carry out stereoselective or stereospecific recations based on their unique active site architecture and these reactions can be commercialized for various different purposes. Hydrolases are going to candidate for enantioselective synthesis but oxidoreductases like aryl alcohol oxidase in its mechanistic pathway stereoselectively abstract hydride from from pro-R position in case of non chiral substrate like primary alcohols described above. This is maintained when chiral secondary alcohols are used as substrate and hence enzyme aryl alcohol oxidasestereoselectively oxidize S-enantiomer in secondary chiral alcohols, to corresponding ketone, leaving behind excess of R-enantiomer, serving the role as an alternate biocatalyst for various industrial roles. This secondary chiral or in most cases benzylic alcohols perform as synthetic intermediate or analytical reagent or chiral auxiliary. Despite the low substarte affinity shown by the enzyme for secondary alcohols based on active site structural constrain, yet currently based on advanced rational design or directed molecular evolution variants with enhanced activity for the enzyme is designed. The 1st report of stereoselective proton abstraction for oxidation of primary alcohols among all other GMC members was shown in Hernández-Ortegaet al. [45] in case of aryl alcohol oxidase using monodeuterated p-methoxy benzyl alcohols as substrate. Based on conclusion derived from structural accommodation of substrate obtain by PELE docking of p-methoxy benzyl alcohol, the active site bottom cavity is enlarged to obtain F501A variant (by removing Phe501). This variant show an enhanced stereoselectivity for 1-(p-fluorophenyl) ethanol, when both ‘R’ and ‘S’ enantiomer is assayed compared to wild type [54,55].

Variants like l500A, l500M, l500M/F501W (double mutant) and found l500M/F501W as the most efficient one for oxidation of (±)1-(p-methoxyphenyl)-ethanol, but its efficiency for p-methoxy benzyl alcohol is significantly low. A tabular representation of wild aryl alcohol oxidase and its variants stereoselectivity with various secondary alcohols are shown below. It was reported an improved variant which showed an 800 fold enhanced activity than FX9 in (±)-1-(p-methaoxyphenyl) ethanol as substrate. It also showed about 10 fold enhanced activity than l500M/F501W variant and also retain its activity in primary p-methoxy benzyl alcohol. This variant is named LanDoand it is obtained by introducing mutation like l500M and F501W in variant FX9 of PeAAO. LanDo also include structure guided evolution and in vivo site-directed recombination, and it completely oxidized S-enantiomer within 2 hwith R-enantiomer (ee>99%) of racemic 1-(p-methoxyphenyl) ethanol, paving the way for aryl alcohol oxidase as efficient biocatalyst for various stereoselective reactions [55].


Flavors and fragrance industry

The different flavours and fragrance where enzyme aryl alcohol oxidase plays a significant industrial role is discussed systematically and shown in Figure 14 below.



Figure 14 The different flavours discussed in this manuscript is shown below.


Benzaldehyde and vanillin

An increase in industrialization and enhanced consumerism has raise the demand for various goods like cosmetic, detergents, food, beverages or even pharmaceutical drugs where various flavors are very essential to increase the demand of the product among masses. Despite industrial production of such flavors dated back to 150 years, yet the growing demand for natural flavors made biotechnological process relying on microbes and enzymes increasingly popular. Benzaldehyde is responsible for cheery flavor was among 1st flavor compound can be obtain from aryl alcohol oxidasecatalysed reaction on corresponding alcohol. Similarly vanillin, responsible for vanilla like flavor in many food items and fragrance can be obtain from oxidation of vanillyl alcohol by B. adusta aryl alcohol oxidase, which is reported to oxidize vanillyl alcohol at the same rate as vanillyl alcohol oxidase. White-rot fungi are most promising aroma producers and have efficiently shown various enzymatic processes for production of vanillin and benzaldehyde [66,51,75,91,104].


Trans-2-hexanal or leaf aldehyde

Another important player in flavor industry responsible for adding Green Note of fresh fruit or vegetable flavor in various beverages, food or perfumes is trans-2-hexanal obtain by oxidative action of PeAAO on trans-2-hexane-1-ol. Although oxidation of such primary allylic alcohols seems easy, yet the risk factor associated with the undesirable toxicologically harmful side reactions or oxidants can be eliminated by using biocatalytic oxidation methods with PeAAO using only O2 as the final electron acceptor for clean conversion. The O2 usage adds the driving force for the reaction to be irreversible thermodynamically and produce only H2O2 as sole byproduct which can easily be disproportionate by adding catalase, to H2O and O2. To avoid the limitation associated with low diffusion and solubility of O2 in the aqueous reaction medium, the reaction is carried out in a continuous slug-flow microreactor. In this set up the complete conversion of 10mM trans-2-hexane-1-ol to corresponding trans-2-hexanal within the residence time period of 40 min, the reported turnover number was pleasingling 32400 and the average turnover frequency was 13.5 s–1.The turnover frequency exceed the reported Kcat (22s–1) value of PeAAO on trans-2-hexane-1-ol to 38s–1 when the residence time is 5min at high flow rate which is attributed to increase in oxygen-transfer rate, of value roughly 0.25mM min–1 ,within the 5 min residence timing.For proper evualuation of the turnover number of PeAAO and the cost-contribution of the catalyst to the production cost in the flow set up, we enhance the residence time and turnover number reported was 30,0000 (Figure 15) [67,87].



Figure 15 Systematic description of formation of trans-2-hexanal by P. eryngii Aryl alcohol oxidase (PeAAOx) assisted by catalase from trans-2-hexanol.


In the above bioconversion, the enhancement of substrate concentration was limited due to poor solubility of substrate in aqueous medium, and this is significantly solved in 2 phase-liquid systems with a hydrophobic organic phase acting as substrate reservoir. The product formed is also sparingly soluble in aqueous medium and hence, this issue is also considerably solved by organic phase acting as product sink and thereby sorting the issue arising due to enzyme inhibition by product of the reaction or unwanted side reactions of the aldehyde formed with the aqueous phase. Various hydrophobic solvents like dodecane or isooctane gave good result but toluene due to aromatic pi stacking interactions with FAD cause competitive inhibition. Although ethyl acetate was well tolerated by the enzyme PeAAOx as hydrophobic organic phase yet reaction rapidly cease which is basically attributed to the acidification of aqueous phase due to autohydrolysis. Thus, dodecane and trans-2-hexane-1-ol itself can provide best result as organic hydrophobic phase. It was reported that 1:1 (v/v) ratio of aqueous to dodecane phase a full conversion of the substrate (500mM) was successfully obtain wthin 24 h and the turnover number was 650,000 appreciably. Also, with trans-2-hexane-1-ol as the organic phase in a 4:1 (v/v) ratio 2.6 M product was obtain within a time period of 14 days and the reported turnover number was 2200,000 upon successive addition of aryl alcohol oxidase and catalase [67].


Trans-2-cis-6-nonadienal

The botanically described fleshy berries cucumbers and scientifically known as Cucumis sativus, aroma is known to be attributed to trans-2-cis-6-nonadienal and can be used to impart fresh cucumber flavor to various food items or fragrance [51]. This potent fragrance is also known as “the violet leaf aldehyde” or “cucumber aldehyde” and is reported to obtain by oxidation of trans-2-cis-6-nonadienol be PeAAO2. Another deliciously flavored fruit ‘mango’ whose aroma and flavor varies greatly based on the cultivators and hence a study of odour activity value and odour detection threshold of Magnifera indica L among 20 cultivators reported the presence of trans-2-cis-6-nonadienal as important volatile aroma contributing compound among other compounds reported in Pino and Mesa [69]. The flaour in violet leaves and fruit of cheery also known to by the presence of this compound as volatile aroma. It was reported by Jankowski et al that within a time frame of 20h, 10mM substrate was converted to product, but in the presence of 300mM substrate only 49.7 % conversion rate reported [70,7151].


Piperonal or heliotropin

Piperonal or heliotropin due to its sweet floral odor has wide scale application in cosmetic, perfumery and food industry. It also acts as an intermediate in the synthesis of pharmaceuticals and other agro based chemicals like insecticides or pesticides. Industrially piperonal is obtained by oxidative cleavage of isosafrole by chromium (VI) salts or electrochemical process using isosafrole or piperonyl alcohol. Other recent production technique includes whole-cell biotransformation using isosafroleorpiperonylic acid using trans-anethole oxygenase or carboxylate reductase. But it was reported the PeAAO2 carry out the oxidation of piperonyl alcohol with 2nd highest catalytic efficiency among all the other substrates investigated. The biotechnological potential of PeAAO2 in the oxidation of piperonyl alcohol was investigated and the key issues that need to be addressed are H2O2 produced stoichoimetrically particularly at enhanced substrated concentration, the sparingly soluable substrate (piperonyl alcohol) in aqueous medium, limited O2 availability in the aqueous medium and overoxidation of the aldehydic product to acid i.e. piperonylic acid [70,71]. It was found that external H2O2 produced has minimal effect on enzyme activity, which is probably attributed to high degree of glycosylation and disulfide bridge due to 2 cysteine residue on the surface of PeAAO2.Organic solvents enhance the availability of hydrophobic substrates but can also negatively influence enzyme stability and hence it was reported at volume percentage (v/v) of 30% methanol, ethanol, DMSO (dimethyl sulfoxide) and 2-propanol has relative highest activity of 80 to 90%, but at 50% (v/v) 2-propanol has shown highest activity of 72%. THF (tetrahydrofuran) report a stronger impact at 30 to 50% (v/v) with recorded activity of 57 and 34%, respectively. Acetone or DMF (dimethylformamide) has a negative effect on enzyme activity and acetonitrile has complete loss of activity at 10% (v/v). The enzyme showed stability for 96 hat 30% (v/v) for most organic solvents tested, but it is noteworthy mentioning that acetonitrile report a 17% loss of activity after 24 h and a drop upto 5 % at the end of 96 h. Despite the non-covalently bound FAD, the holoenzyme remain intact for a long time and hence, the enzyme report an activity of 96 % of the initial activity after purification for a reported 388 days under the conditions of 50mM potassium phosphate buffer at pH of 6 and temperature of 4°C [70,71].

If a comparison is made with MaAAO from Meosziomyces antarctius within 24h incubation in the presence of 500mM H2O2, the enzyme loss its complete activity unlike PeAAO2 which retain 74% of its initial activity and upto 96 hincubation retain 42% of its activity. Among the investigated organic solvents DMSO (dimethyl sulfoxide) recorded a high stability for MaAAO at 20% (v/v), with a recorded activity of 100% after 24h. Unlike at 30% (v/v) of DMSO (dimethyl sulfoxide) a 30% retain of activity was recorded for MaAAO but in case of PeAAO2 a 90% retain of activity was recorded and attributed to 8 potential N-glycosylation site i.e. the extend of N-glycosylation was 30%, but MaAAO poses 6 potential N-glycosylation site and the extend of N-glycosylation was only 11 % [70,71,90].

Upon optimization of the reaction conditions at temperature of 30°C, catalase concentration for conversion of H2O2 to H2O and O2 at 1000U/mL, the concentration of PeAAO2 is 1µM, shaking speed of 1500rpm in the presence of DMSO (dimethyl sulfoxide) as co-solvent about 300mM of piperonyl alcohol was converted to 292mM piperonal within 48 hwith a recorded turnover number of the enzyme to be 292,000 and the space time yield was 12.3g/L/h. To simplify isolation of product 2-propanol was used as co-solvent and in the presence of 0.5µM of PeAOO2, 95% of piperonyl alcohol was converted to product of 244.6mg with 99 % purity within 3h. The yield calculated was 85 %, which corresponds to a space-time yield of 9.5 gm/L/h and enzyme turnover number of 380,000 [70,71]. The tabular representation and systematic description of formation of Piperonylic acid is shown below in Figure 16.


Table 7 Comparative table with both DMSO and 2-propanol as co-solvent


DMSO as co-solvent

2-propanol as co-solvent

Temperature

30°C

30°C

PeAAO2 concentration

1µM

0.5 µM

Piperonal

292 mM

244.6 mg

Shaking speed

1500 rpm

1500 rpm

Catalase concentration

1000 U/mL

1000U/mL

Enzyme turnover

292,000

380,000

Space time yield

12.3 gm/L/h

9.5 gm/L/h



Figure 16 Systematic description of formation of Piperonylic acid from Piperonyl alcohol by P. eryngiiP34 Aryl alcohol oxidase (PeAAO2) assisted by catalase.


Perillaldehyde

It was reported that MaAAO is capable of oxidation of non-aromatic primary alcohols as substrate like (s)-perillyl alcohol (185% after setting benzyl alcohol activity to 100%) to perillaldehyde, which is a very good flavouring agent for adding spiciness to various food items, and also has impactful health benefits like anti oxidative, anti allergic, anti-inflammatory, anti-bacterial effects [13,77,113].


Production of drug metabolites and other pharma compounds

Cuminaldehyde and 2-thiophenecarboxaldehyde

One of the major component of seed oil Cuminum cyminum is cuminaldehyde obtain by oxidation of cumic alcohol by PeAAO2 and is reported to have many therapeutic benefits including anticancer, antidiabetic, neuroprotective, antifungal and antibioflim. Many pharmacologically active compounds with anticancer, antidepressant, antinflammatory properties has thiophene moiety and PeAAO2 has been reported to carry out oxidation of 2-thiophenemethanol to 2-thiophenecarboxaldehyde, which has many usage like serving as building block for anticancer or apoptosis inducing compounds. It also has role in the production of thiophene-chitosan hydrogels which help remove toxic metal like mercury at a high degree of efficiency from contaminated water. It was reported that both 10 and 100mM both cumic alcohol and 2-thiophenemethanol were completely converted to product with 20h and it also noteworthy mentioning that there is significantly less over-oxidation to the corresponding acids in both the mentioned alcohol, probably due to less stable gem-diols in both the alcohols or less affinity of PeAAO2 to aldehyde oxidation adding to the efficiency of the enzyme to perform as efficient biocatalyst [70,71]. It was also reported that oxidation of cumic alcohol by MaAAO to be around 167%, after setting benzyl alcohol activity to 100% [13].


Dextrorphan

UPOs or fungal unspecific peroxygenases (EC 1.11.2.1) are extremely versatile heme-thiolate biocatalyst, that carry out oxyfunctionalization reactions of C-H bond with a very high degree of selectivity, only in the presence of H2O2,which basically trigger the reaction and in the process act as both final electron acceptor and oxygen donor and hence this enzyme has a huge growing demand in synthesis of human drug metabolite (HDMs), and hence are of great interest in both pharma and chemical sectors. However, a major hurdle in such drug developing pharmacokinetic or pharmacodynamic pipelines is low oxidation stability of UPOs (unspeficic peroxygenases) and this issue has been tackled and studied by strategies that deal with peroxygenase supply of H2O2 in-situ. Thus, a chimeric fusion of 2 protein peroxygenase-oxidases, in which the mon(per)ooxygenase of desired activity is coupled with the oxidase generating H2O2 stoichoimetrically in the same chain of polypeptide and hence enhance substrate channeling effect and thereby increase oxyfunctionalization or reduce oxidative damage. Thus, it was reported that H2O2 generated as useless byproduct by oxidase aryl alcohol oxidase’s oxidation on primary aromatic alcohols can act as fuel, triggering the self-sufficient unspecific peroxygenase for C-H bond oxyfunctionalization to synthesis dextrorphan from dextromethorphan, HDM (human drug metabolite) for antitussive drug. The fusion partners chosen were SoLo variant (its peroxidase activity towards aromatic alcohols is considerable reduced), which is an engineered UPO (unspeficic peroxygenases) variant from Agrocybeaegeritaand PeAAO variant choosen is FX9.Upon construction of enzyme fusion, as UPO (unspeficic peroxygenases) as leading enzyme and aryl alcohol oxidase as supporting partner, a peptide linker is used, keeping in mind the basic amino acid sequence and also length (flexible or rigid) of the peptide linker. Also, the choice of the leader sequence for adequate secretion in S. cerevisiae is crucial and hence perαproK as leader sequence for AAO (aryl alcohol oxidase) and another evolved peptide evSp for UPO (unspeficic peroxygenases) were tested and 5 UPO-AAO fusions, which have reported highest activity, were biochemically characterized after purification. These fusions are tested for dextrorphan synthesis, but several primary aromatic alcohols, which act as substrate for AAO (aryl alcohol oxidase) can cause an imbalance in the cascade reaction by interacting with UPO (unspeficic peroxygenases) and hence different aromatic alcohols were tested for their stoichiometric supply of H2O2, and found that p-fluorobenzyl alcohol, 3-methoxybenzyl alcohol, p-methoxybenzyl alcohol are among best substrate. Thus, upon using p-fluorobenzyl alcohol as the sacrificial substrate in the presence of 2mM detromethorphan, within 24h 2mM detrorphan is obtain and the recorded enzyme turnover number was 48,300, but the oxidation of his sacrificial substrate occur at a much faster rate and hence can cause inactivation of UPO(unspeficicperoxygenases), due to faster hydroxylation of dextrommethorphan.However, in the presence of 0.5mM/h sacrificial substrate p-fluorobenzyl alcohol, the resulted turnover number is increased upto 62,000 [12,66].


Synthesis of bio based precursor

FDCA (furandicarboxylic acid), a promising di-acidic furan based cyclic structure, essential for the production of wide range of biochemicals like succinic acid, macrocyclic ligands, and also act as precursor for synthesis of green polymer like polyethylene 2,5-furandicarboxylate (PEF), a good replacement for polyethylene terephthalate (PET) which involve fossil-based terephthalic acid (TPA), and hence contribute to green economy. However, the chemical synthesis of FDCA (furandicarboxylic acid), involves high pressure, temperature, organic solvents and metal catalyst and hence an oxidative pathway involving cascade of different enzymatic action upon 5-hydroxymethylfurfural (HMF), or 5-methoxymethylfurfural (MMF) by enzymes like AAO (EC 11.3.7), fungal UPO (unspeficic peroxygenases) (EC 1.11.2.1), fungal chloroperoxidase CPO (EC 1.11.1.10) seems more environment friendly. HMF (5-hydroxymethylfurfural) is a acid catalyzed dehydration product obtain from monosaccharide fructose, which is obtain from hydrolysis of cellulose followed by glucose isomerization from ligninocellulosic biomass. MMF (5-methoxymethylfurfural) is obtain by etherification of HMF (5-hydroxymethylfurfural) in the presence of methanol, and conversion of HMF(5-hydroxymethylfurfural) to FDCA (furandicarboxylic acid), occur via 2 different alternate intermediate in a 3 step oxidative pathway i.e. DFF (2,5-diformylfuran) or HMFCA (5-hydroxymethylfuran carboxylic acid), based on the functional group of HMF (5-hydroxymethylfurfural) oxidized first. These intermediates are converted to FFCA (5-formylfurancarboxylic acid) and eventually to FDCA (furandicarboxylic acid) [14,82,93].

It was reported that PeAAO expressed in E. coli upon incubation with HMF (5-hydroxymethylfurfural) at the reported optimal enzyme pH of 6, about 98% of HMF (5-hydroxymethylfurfural) by molar mass which reflect almost all HMF (5-hydroxymethylfurfural) is converted to FFCA (5-formylfurancarboxylic acid) within a time frame of 4h but a very small amount (6% in 24 h) of FDCA (furandicarboxylic acid), is formed [41]. There is no report of presence of DFF (2,5-diformylfuran) or HMFCA (5-hydroxymethylfuran carboxylic acid), in the process indicating both this intermediate are oxidized by aryl alcohol oxidase. To, determine the route followed by aryl alcohol oxiadse both DFF and HMFCA (5-hydroxymethylfuran carboxylic acid), was incubated with the enzyme and about 90% FFCA (5-formylfurancarboxylic acid) and 10% FDCA (furandicarboxylic acid),was reported within 2h in case of DFF (2,5-diformylfuran) and no significant product was obtain in case of HMFCA (5-hydroxymethylfuran carboxylic acid), indicating that pathway to FFCA (5-formylfurancarboxylic acid) was proceeded by DFF (2,5-diformylfuran), by oxidation of alcoholic group of HMF (5-hydroxymethylfurfural), but the subsequent oxidation of FFCAto FDCA was limited. Hence, they concluded that, by using HMF (5-hydroxymethylfurfural) and O2 as substrate, aryl alcohol oxidasecarry out 2 successive oxidation yielding FFCA (5-formylfurancarboxylic acid) and two molecule of H2O2 in the process. In the 1st step alcoholic group of HMF (5-hydroxymethylfurfural) was attacked and converted to DFF (2,5-diformylfuran), and due to high turnover of DFF (2,5-diformylfuran) than HMF (5-hydroxymethylfurfural), it was immediately converted to FFCA (5-formylfurancarboxylic acid), upon oxidation of its aldehydic group, via ternary complex mechanism of gem-diol. On the basis of 1H-NMR result, the degree of hydration of DFF (2,5-diformylfuran) is about 53%, indicating its abundancy compared to aldehydic form and hence, complementing the above findings. The presence of 2 carbonyl group of DFF (2,5-diformylfuran) promote its hydration by electron withdrawing effect of 1 group upon another and prevent double hydration of both the carbonyl groups. Moreover, there exist a constantly generating dynamic equilibrium between aldehyde and gem-diols, in the entire conversion process of DFF (2,5-diformylfuran) to FFCA (5-formylfurancarboxylic acid), and also between 2 aldehydic groups. But the electron withdrawing nature of the carbonyl group in HMF (5-hydroxymethylfurfural) negatively affects its activity as good substrate for aryl alcohol oxidase’s cofactor. Thus, this 2contrasting effect of the electron-withdrawing group ‘carbonyl’ in both the substrate eliminate the difference in activity shown by enzyme aryl alcohol oxidase on alcoholic and aldehydic substrate. But, a low degree of hydration (of approximately 8%) in case of FFCA (5-formylfurancarboxylic acid) and less oxidation of carbonyl group of FFCA to FDCA was reported, probably due to inhibiting effect on hydride transfer to flavin of aryl alcohol oxidase in the mechanistic pathway of enzyme, by electron withdrawing carbonyl group presence in the substrate, and also the need for substrate re-allocation in the enzyme active site, due to oxidation in the C2 position, in the conversion pathway from FFCA to FDCA, unlike in case of DFF (2,5-diformylfuran) the oxidation occur in the C5 carbonyl position to FFCA (5-formylfurancarboxylic acid), and hence no substrate entry or exit is required after conversion of HMF (5-hydroxymethylfurfural) to DFF (2,5-diformylfuran) and eventually to FFCA. Now, for complete conversion of HMF (5-hydroxymethylfurfural) to FDCA, we introduce UPO (unspecific peroxygenase) (EC 1.11.2.1), from basidiomycete A. aegerita, and unlike via DFF (2,5-diformylfuran) in case of aryl alcohol oxidase, UPO preferentially act upon the aldehydic group of HMF (5-hydroxymethylfurfural) and the reaction pathway proceed via HMFCA, however a effective conversion of HMF (5-hydroxymethylfurfural) to FDCA is not observed by simultaneous action of both the enzyme, which may be attributed to usage of H2O2 generated in the pathway of conversion of HMF (5-hydroxymethylfurfural) to DFF (2,5-diformylfuran) (by aryl alcohol oxidase), by the 2nd enzyme UPO (unspecific peroxygenase) to act upon the same substrate HMF(5-hydroxymethylfurfural) to HFMCA, and hence in the process generating a mix of 2 compound HMFCA and DFF (2,5-diformylfuran). But, addition of UPO (unspecific peroxygenase), when all the HMF (5-hydroxymethylfurfural) have almost been converted to FFCA (5-formylfurancarboxylic acid), lead to better conversion of FFCA to FDCA, i.e. about 91% yield in the conversion of HMF (5-hydroxymethylfurfural) to FDCA, with excess H2O2 from aryl alcohol oxidase, after 120 h.

Similarly the combine effect of 3 types of enzyme GAO or galactose oxidase, aryl alcohol oxidase (3 types Pleurotus eryngii or PeryAAO, Bjerkandera adusta or BaduAAO, Pleurotus ostreatus or PostAAO) and Unspecific peroxygenase (AaeUPO) on oxidation of HMF (5-hydroxymethylfurfural), and it was reported that GAO (galactose oxidase) oxidation of HMF(5-hydroxymethylfurfural, being a sugar derivative) is surprisingly low despite its wide substrate activity upon monosaccharide like glucose, galactose etc, but it act upon HMFCA. They also tried to explain the poor of conversion of HMF (5-hydroxymethylfurfural), to FDCA, but a good conversion of FFCA to FDCA, if used as sole substrate, on the basis of end-product inhibition i.e. H2O2, produce in 2 equivalent stoichiometrically, upon conversion of HMF(5-hydroxymethylfurfural), to DFF (2,5-diformylfuran), inhibit oxidation of FFCA to FDCA.The cocktail of the 3 enzyme PeryAAO, GAO, AaeUPO, produce 7.9 mM FDCA, starting with 10mM HMF (5-hydroxymethylfurfural), within a time frame of 24 h [72].

It was observed that oxidation of FFCA to FDCA is the rate limiting step (slow step) in the production of FDCA (furandicarboxylic acid) from HMF (5-hydroxymethylfurfural),by PeAAO, expressed in E.coli, due to inhibitory effect of H2O2 formed, particularly above 400µM concentration and hence, this inhibition can be removed by adding catalase, which eventually lead to 100% yield in production of FDCA (furandicarboxylic acid), from HMF(5-hydroxymethylfurfural),within a time frame of 12 days. However, it is noteworthy mentioning that production of either DMF or FFCA (5-formylfurancarboxylic acid) was influenced by the presence of peroxide, but production of FFCA (5-formylfurancarboxylic acid) to FDCA (furandicarboxylic acid), was affected by presence of even slightest amount of peroxide upto concentration starting from 12.5µM. There was also no peroxide detected surprisingly at the end of production of FDCA (furandicarboxylic acid), from FFCA by aryl alcohol oxidase, despite the expected production of 1 equivalent production of H2O2. Thus, Serrano et al. [51] concluded that, the mechanistic pathway for FFCA (5-formylfurancarboxylic acid) oxidation to FDCA (furandicarboxylic acid), is not the expected 2 step oxidative and reductive pathway suggestive for aryl alcohol oxidase, but a oxygenase type mechanism, which is also complemented by low degree of hydration of FFCA (5-formylfurancarboxylic acid), and hence does not comply with the requirement of hydration of aldehydic group, necessary for aryl alcohol oxidase action on FFCA (5-formylfurancarboxylic acid). Thus, for improving the biotechnological production in case of catalase/AAO system, different Aryl alcohol oxidase variants were tested and the best results were show by Y92L (more than 70% yield), F397Y (more than 70% yield), l500M (more than 97% yield), F501H (more than 97% yield). By, enhancing the concentration of HMF (5-hydroxymethylfurfural), from 1.5 to 15mM we enhance the production of FDCA (furandicarboxylic acid) in variants like native type, F501H, F397Y by fivefold and in variants like l500M/F501W upto tenfold, with a recoreded enzyme turnover number 16,000 [14].

It was reported another enzymatic cascade method combining enzymes aryl alcohol oxidase, UPO, MOX (methanol oxidases) for the production of FDCA from precursor 5-methoxymethylfurfural (MMF). MMF can serve as a better precursor as it produces less byproduct from dehydration in the synthesis of polyesters which are renewable in nature. It also displays high degree of stability upon storage. However, cleavage of methoxy group of MMF and oxidation of carbonyl group of FFCA (5-formylfurancarboxylic acid) to FDCA (furandicarboxylic acid) is difficult by aryl alcohol oxidase acting alone upon MMF, and hence downstream catalysis by UPO, causing fission of ether bond and formation of carbonyl group during transformation of MMFA to FFCA, reducing 1 step and 1 H2O2 requirement in the cascading process. Moreover, MMF is a better substrate than HMF(5-hydroxymethylfurfural), due to difference in polarity and hence reactivity in methyl-ether and primary alcoholic group functionality and the shortage of the H2O2 in the process is fulfilled by the MOX. Among the furfurals DFF, MMF, HMF, the methoxy group of MMF lowers its enzyme aryl alcohol oxidase activity and reactivity, hence incubating it with the enzyme lead to completion of the reaction and accumulation of MMFA after 15h with a reported substrate/enzyme ratio of 300, with no further reaction in agreement with the small degree of hydration of MMF (5-methoxymethylfurfural). About 5µM UPO from Agrocybeaegerita was incubated with 1.5 mM MMFA forming FFCA (5-formylfurancarboxylic acid) in the presence of 1.5mM H2O2, within a time frame of 40h 25% MMF was converted to FDCA and the intermediate MMFA was reported to be 75%. Upon addition of MOX from Pichia pastoris available commercially the conversion of MMF to FDCA (furandicarboxylic acid), reached 70% with a substrate/enzyme ratio of 1500, and the rate limiting step in the process is the demethoxylation by UPO, due to production of H2O2 by MOX upon oxidation of methanol generated by UPO upon fission of ether bond. However further addition of methanol of 1 mM concentration exogenously an increment in the production of FDCA by 98% within time frame of 120 h [41].

It was reported a Bantha variant based on combinatorial saturation mutagenesis for more effective conversion of 5-HMF (5-hydroxymethylfurfural), to FDCA, from FX9 variant of PeAAO. Basically, the active site substrate positioning sites like lle500, Phe500 in the 1st round and Tyr92, His546 in the 2nd round were targeted. Also, it was reported that starting with 2mM of 5-HMF(5-hydroxymethylfurfural), as substrate formation of FDCA reached 3.0% i.e. 6 fold higher within a time frame of 2 days and the catalytic efficiency was 3-fold higher compared to wild type PeAAO [73].

It was reported that both HMF(5-hydroxymethylfurfural), and DFF is converted at both pH 5 and 6 by MaAAO within 24 h to FFCA but only trace (1% or less) FDCA (furandicarboxylic acid), was obtain even after 6 days of reaction. However HMFCA was oxidized best at pH 5 (about 60%), unlike at pH 6 about 25% of HMFCA was converted to FFCA (5-formylfurancarboxylic acid) after 24 h, but after 6 days complete conversion occur, still further conversion of FFCA to FDCA (furandicarboxylic acid), was terrifyingly low (less than 1%). Upon using FFCA (5-formylfurancarboxylic acid) as substrate after a reaction time of 6 days, at a reported pH of 6 about 40% detection of FDCA (furandicarboxylic acid), was established, but at pH of 5 no reaction occurred. Thus, a 2enzyme set up of MaAAO and an unspecific peroxygenase reported a complete conversion of HMF(5-hydroxymethylfurfural), to FDCA within 6 days [13].



Figure 17 Systematic representation of formation of bio based precursor (DFF FFCA, FDCA, and MMFCA).



Conclusions

So, far in this review we have tried to shed light on the lignin degrading prospects of the enzyme, AAO and different structure functional aspects of the enzyme, which seems to influence its action on lignin model compounds. The enzyme in its auxillary action, does not directly attack the complex lignin structure but helps lignin degrading enzyme by proving hydrogen peroxide, which displays the biological role played by the enzyme in nature. The structural aspects of the enzyme which belong to GMC oxidoreductase super family, is discussed using PeAAO and MtAAO as model. We have also tried our best to highlight the difference between both. Aryl alcohol oxidase as an alcohol and aldehyde oxidase is studied and different role played by different electron donating and withdrawing substrate on the mechanistic pathway is summarized from the literature available so far. Lastly in the finishing section of the review we tried to encompass the different existing or potential application of the enzyme for commercialization of the enzyme.


Acknowledgements

The authors would like to acknowledge Department of Chemistry (North Eastern Regional Institute of Science and Technology) NERIST, Nirjuli, (Itanagar) Pincode-791109, Arunachal Pradesh, India, for providing facilities for the completion of this review work. The DST INSPIRE Fellowship (Ref No: DST/INSPIRE/03/2023/002064) to author Antarikha Dutta administered by Department of Science and Technology is also highly acknowledged.


References

  1. E Romero, JRG Castellanos, G Gadda, MW Fraaije and A Mattevi. Same substrate, many reactions: Oxygen activation in flavoenzymes. Chemical Reviews 2018; 118(4), 1742-1769.

  2. TDHBugg, M Ahmad, EM Hardiman and R Rahmanpour. Pathways for degradation of lignin in bacteria and fungi. Natural Product Reports 2011; 28(12), 1883-1896.

  3. T Higuchi. Biodegradation of lignin: Biochemistry and potential applications. In: HMislin and R Bachofen (Eds.). New trends in research and utilization of solar energy through biological systems. BirkhӓuserBasel, Basel, Switzerland, 1982, p. 87-94.

  4. W Horwath. Carbon cycling and formation of soil organic matter. In: Soilmicrobiology, ecology and biochemistry. Academic Press, Cambridge, 2007, p. 303-339.

  5. ÁT Martínez, J Rencoret, G Marques, A Gutiérrez, D Ibarra, J Jiménez-Barbero and JCD Río. Monolignol acylation and lignin structure in some nonwoody plants: A 2D NMR study. Phytochemistry 2008; 69(16), 2831-2843.

  6. K Isobe and Y Kawakami. Preparation of convection interaction media isobutyl discmonolithic column and its application to purification of secondary alcohol dehydrogenase and alcohol oxidase. Journal of Chromatography A 2007; 1144(1), 85-89.

  7. J Zakzeski, PC Bruijnincx, AL Jongerius and BM Weckhuysen. The catalytic valorization of lignin for the production of renewable chemicals. Chemical Reviews 2010; 110(6), 3552-3599.

  8. DP Tamboli, AATelke, VV Dawkar, SB Jadhav and SP Govindwar. Purification and characterization of bacterial aryl alcohol oxidase from Sphingobacteriumsp. ATM and its uses in textile dye decolorization. Biotechnology and Bioprocess Engineering 2011; 16, 661-668.

  9. A Hernández-Ortega, K Borrelli, P Ferreira, M Medina, AT Martinez and VGuallar. Substrate diffusion and oxidation in GMC oxidoreductases: An experimental andcomputational study on fungal aryl-alcohol oxidase. Biochemical Journal 2011; 436(2), 341-350.

  10. F Fan, MW Germann and G Gadda. Mechanistic studies of choline oxidase with betaine aldehyde and its isosteric analogue 3,3-dimethylbutyraldehyde. Biochemistry 2006; 45(6), 1979-1986.

  11. IS Fernández, FJ Ruiz-Duenas, E Santillana, P Ferreira, MJ Martínez, ÁT Martínez and ARomero. Novel structural features in the GMC family of oxidoreductases revealed by the crystal structure of fungal aryl-alcohol oxidase. Acta Crystallographica Section D: Biological Crystallography 2009; 65(11), 1196-1205.

  12. JC Sigoillot, S Camarero, T Vidal, E Record and M Asther. Laccase-catalyzed oxidation of aryl alcohols in lignin degradation. Applied Microbiology and Biotechnology 2004; 64(6), 793-799.

  13. A Lappe, N Jankowski, A Albrecht and K Koschorreck. Characterization of a thermotolerant aryl-alcohol oxidase from Moesziomyces antarcticus oxidizing 5-hydroxymethyl-2-furancarboxylic acid. Applied Microbiology and Biotechnology 2021; 105, 8313-8327.

  14. A Serrano, E Calviño, J Carro, MI Sánchez-Ruiz, FJ Cañada and AT Martínez. Complete oxidation of hydroxymethylfurfural to furandicarboxylic acid by aryl-alcohol oxidase. Biotechnology for Biofuels 2019; 12, 1-12.

  15. J MacLachlan, ATWotherspoon, RO Ansell and CJ Brooks. Cholesterol oxidase: Sources, physical properties and analytical applications. The Journal ofSteroid Biochemistry and Molecular Biology 2000; 72(5), 169-195.

  16. S Varjani, PRakholiya, HY Ng, S You and JA Teixeira.Microbial degradation of dyes: An overview. Bioresource Technology 2020; 314, 123728.

  17. VC Farmer, ME Henderson and JD Russell. Aromatic-alcohol-oxidase activity in the growth medium of Polystictus versicolor. Biochemical Journal 1960; 74(2), 257.

  18. R Bourbonnais and MG Paice. Veratryl alcohol oxidases from the lignin-degradingbasidiomycete Pleurotus sajor-caju. Biochemical Journal 1988; 255(2), 445-450.

  19. A Hernández‐Ortega, P Ferreira, P Merino, M Medina, V Guallar and AT Martínez. Stereoselective hydride transfer by aryl‐alcohol oxidase, a member of the GMC superfamily. ChemBioChem 2012; 13(3), 427-435.

  20. AK Kumar and P Goswami. Purification and properties of a novel broad substrate specific alcohol oxidase from Aspergillus terreus MTCC 6324.Biochimica et Biophysica Acta-Proteins and Proteomics 2008; 1784(11), 1552-1559.

  21. V Regalado, F Perestelo, A Rodriguez, ACarnicero, FJ Sosa, GDL Fuente and MAFalcon. Activated oxygen species and two extracellular enzymes: Laccase andaryl-alcohol oxidase, novel for the lignin-degrading fungus Fusarium proliferatum. Applied Microbiology and Biotechnology 1999; 51, 388-390.

  22. Y Asada, A Watanabe, Y Ohtsuand M Kuwahara. Purification and characterization of an aryl-alcohol oxidase from the lignin-degrading basidiomycete Phanerochaetechrysosporium. Bioscience, Biotechnology, and Biochemistry 1995; 59(7), 1339-1341.

  23. L Sützl, G Foley, EM Gillam, M Bodén and D Haltrich. The GMC superfamily of oxidoreductases revisited: Analysis and evolution of fungal GMCoxidoreductases.Biotechnology for Biofuels2019; 12, 118.

  24. I Galperin, A Javeed, H Luig, GLochnit and MRühl.An aryl-alcohol oxidase of Pleurotus sapidus: Heterologous expression, characterization, and application in a 2-enzymesystem. Applied Microbiology and Biotechnology 2016; 100(18), 8021-8030.

  25. FS Chakar and AJ Ragauskas. Review of current and future softwood kraft lignin process chemistry. Industrial Crops and Products2004;20(2), 131-141.

  26. M Couturier, Y Mathieu, A Li, D Navarro, EDrula, M Haon, S Grisel, R Ludwig and JG Berrin. Characterization of a new aryl-alcohol oxidase secreted by the phytopathogenic fungus Ustilagomaydis. Applied Microbiology and Biotechnology 2016; 100(2), 697-706.

  27. TK Lundell, MR Mäkelä, RPD Vries and KS Hildén. Genomics, lifestyles and future prospects of wood-decay and litter-decomposing basidiomycota. Advances in Botanical Research 2014; 70, 329-370.

  28. M Kiess, HJ Hecht and HM Kalisz. Glucose oxidase from Penicilliumamagasakiense: Primary structure and comparison with other glucose‐methanol‐choline (GMC) oxidoreductases. European Journal of Biochemistry 1998; 252(1), 90-99.

  29. M Chakraborty, M Goel, SRChinnadayyala, UR Dahiya, SS Ghosh and P Goswami. Molecular characterization and expression of a novel alcohol oxidase from Aspergillusterreus MTCC6324. PLoS One 2014; 9(4), e95368.

  30. TC Joshni and K Subramaniam. Enzymatic degradation of azo dyes - A review. International Journal of Environmental Sciences 2011; 1(6), 1250-1260.

  31. FA Riyadi, AA Tahir, N Yusof, NSA Sabri, MJMM Noor, FNM Akhir and H Hara. Enzymatic and genetic characterization of lignin depolymerization by Streptomyces sp. S6 isolated from a tropical environment. Scientific Reports 2020; 10(1), 7813.

  32. P Cinca-Fernando, C Ascaso-Alegre, E Sevilla, M Martinez-Julvez, J Mangas-Sanchez and P Ferreira. Discovery, characterization and synthetic potential of two novel bacterial alcohol oxidases. bioRxiv 2024.

  33. V Mann, A Large, S Khan, Z Malik and MJ Connock.Aromatic alcohol oxidase: A new membrane‐bound H2O2‐generating enzyme in alimentary tissues of the slug Arionater. Journal of Experimental Zoology 1989; 251(3), 265-274.

  34. K Francis and G Gadda. On the use of noncompetitive kinetic isotope effects to investigate flavoenzyme mechanism. Methods in Enzymology 2019; 620, 115-143.

  35. E Romero, P Ferreira, ÁT Martínez and MJ Martínez. New oxidase from Bjerkanderaarthroconidial anamorph that oxidizes both phenolic and nonphenolic benzyl alcohols. Biochimica et Biophysica Acta-Proteins and Proteomics 2009; 1794(4), 689-697.

  36. AT Martínez, M Speranza, FJ Ruiz-Dueñas, P Ferreira, S Camarero, F Guillén and JCDR Andrade. Biodegradation of lignocellulosics: Microbial, chemical, and enzymatic aspects of the fungal attack of lignin. International Microbiology 2005; 8(3), 195-204.

  37. WP Dijkman, GD Gonzalo, AMattevi and MWFraaije.Flavoprotein oxidases: Classification and applications. Applied Microbiology and Biotechnology 2013; 97, 5177-5188.

  38. MW Fraaije, RHVD Heuvel, AMattevi and WJHV Berkel. Covalent flavinylation enhances the oxidative power of vanillyl-alcohol oxidase. Journal of Molecular Catalysis B: Enzymatic 2003; 21(1-2), 43-46.

  39. FJ Ruiz‐Dueñas and ÁT Martínez. Microbial degradation of lignin: How a bulky recalcitrant polymer is efficiently recycled in nature and how we can take advantage of this. Microbial Biotechnology 2009; 2(2), 164-177.

  40. J Carro, P Amengual-Rigo, F Sancho, M Medina, V Guallar, P Ferreira andATMartínez. Multiple implications of an active site phenylalanine in the catalysis of aryl-alcohol oxidase. Scientific Reports 2018; 8(1), 8121.

  41. J Carro, E Fernández-Fueyo, C Fernández-Alonso, J Cañada, R Ullrich, M Hofrichter, M Alcalde, P Ferreira andAT Martínez. Self-sustained enzymatic cascade for the production of 2,5-furandicarboxylic acid from 5-methoxymethylfurfural. Biotechnology for Biofuels 2028;11, 86.

  42. P Ferreira, M Medina, F Guillén, MJ Martínez, WJV Berkel and ÁT Martínez. Spectral and catalytic properties of aryl-alcohol oxidase, a fungal flavoenzyme acting on polyunsaturated alcohols. Biochemical Journal 2005; 389(3), 731-738.

  43. Y Tamaru, K Umezawa and M Yoshida. Characterization of an aryl-alcohol oxidase from the plant saprophytic basidiomycete Coprinopsis cinerea with broad substrate specificityagainst aromatic alcohols. Biotechnology Letters 2018; 40, 1077-1086.

  44. A Hernández-Ortega, F Lucas, P Ferreira, M Medina, VGuallar and AT Martínez.Role of active site histidines in the two half-reactions of the aryl-alcohol oxidasecatalytic cycle. Biochemistry 2012; 51(33), 6595-6608.

  45. A Hernández-Ortega, P Ferreira and ATMartínez.Fungal aryl-alcohol oxidase: A peroxide-producing flavoenzyme involved in lignin degradation. Applied Microbiology and Biotechnology 2012; 93(4), 1395-1410.

  46. A Hernández‐Ortega, P Ferreira, P Merino, M Medina, VGuallar and AT Martínez.Stereoselective hydride transfer by aryl‐alcohol oxidase, a member of the GMCsuperfamily. ChemBioChem 2012; 13(3), 427-435.

  47. J Sucharitakul, TWongnate and P Chaiyen. Hydrogen peroxide elimination fromC4a-hydroperoxyflavin in a flavoprotein oxidase occurs through a single proton transfer from flavin N5 to a peroxide leaving group. Journal of Biological Chemistry 2011; 286(19), 16900-16909.

  48. P Ferreira, A Hernandez-Ortega, BHerguedas, ÁT Martínez and M Medina. Aryl-alcohol oxidase involved in lignin degradation: A mechanistic study based on steady and presteady state kinetics and primary and solvent isotope effects with two alcoholsubstrates. Journal of Biological Chemistry 2009; 284(37), 24840-24847.

  49. P Ferreira, A Hernández-Ortega, BHerguedas, JRencoret, A Gutiérrez, MJ Martínez, J Jiménez-Barbero, MMedina and AT Martínez. Kinetic and chemical characterization of aldehyde oxidation byfungal aryl-alcohol oxidase. Biochemical Journal 2010; 425(3), 585-593.

  50. N Jankowski, KKoschorreck and VBUrlacher.High-level expression of aryl-alcohol oxidase 2 from Pleurotus eryngiiinPichia pastoris for production of fragrances andbioactive precursors. Applied Microbiology and Biotechnology 2020; 104(21), 9205-9218.

  51. A Serrano, F Sancho, J Viña-González, J Carro, M Alcalde, VGuallar and AT Martínez. Switching the substrate preference of fungal aryl-alcohol oxidase: Towards stereoselective oxidation of secondary benzyl alcohols. Catalysis Science and Technology 2019; 9(3), 833-841.

  52. J Galbán, I Sanz-Vicente, J Navarro and SD Marcos. The intrinsic fluorescence of FAD and its application in analytical chemistry: A review. Methods and Applications in Fluorescence 2016; 4(4),42005.

  53. E Varela, BBöckle, A Romero, ATMartı́nez and MJ Martı́nez. Biochemical characterization, cDNA cloning and protein crystallization of aryl-alcohol oxidase fromPleurotus pulmonarius. Biochimica et Biophysica Acta - Protein Structure and Molecular Enzymology 2000; 1476(1), 129-138.

  54. P Schieberle, S Ofner and W Grosch.Evaluation of potent odorants in cucumbers (Cucumis sativus) and muskmelons (Cucumis melo) by aroma extract dilutionanalysis. Journal of Food Science 1990; 55(1), 193-195.

  55. J Viña-Gonzalez, D Gonzalez-Perez, P Ferreira, AT Martinez and M Alcalde. Focused directed evolution of aryl-alcohol oxidase in Saccharomyces cerevisiae by usingchimeric signal peptides. Applied and Environmental Microbiology 2015; 81(18), 6451-6462.

  56. M Goetghebeur, M Nicolas, S Brun and P Galzy.Purification and properties of benzyl alcohol oxidase from Botrytis cinerea. Bioscience, Biotechnology, and Biochemistry 1992; 56(2), 298-303.

  57. F Guillén and CS Evans.Anisaldehyde and veratraldehyde acting as redox cycling agents for H2O2 production by Pleurotus eryngii. Applied and Environmental Microbiology 1994; 60(8), 2811-2817.

  58. S Camarero, MJ Martínez and AT Martínez. Understanding lignin biodegradationfor the improved utilization of plant biomass in modern biorefineries. Biofuels, Bioproducts and Biorefining 2014; 8(5), 615-625.

  59. WT Beeson, CM Phillips, JHD Cate and MA Marletta. Oxidative cleavage of cellulose by fungal copper-dependent polysaccharide monooxygenases. Journal of the American Chemical Society 2012; 134(2), 890-892.

  60. FW Janssen, RM Kerwin and HW Ruelius. Alcohol oxidase, a novel enzyme from a basidiomycete. Biochemical and Biophysical Research Communications 1965; 20(5), 630-634.

  61. G Sannia, P Limongi, E Cocca, F Buonocore, G Nitti and P Giardina. Purification and characterization of a veratryl alcohol oxidase enzyme from the lignin degrading basidiomycete Pleurotus ostreatus. Biochimica et Biophysica Acta - General Subjects 1991; 1073(1), 114-119

  62. SJ Kim, N Suzuki, Y Uematsu and M Shoda. Characterization of aryl alcohol oxidase produced by dye-decolorizing fungus, Geotrichumcandidum Decl. Journal of Bioscience and Bioengineering 2001; 91(2), 166-172.

  63. T Shimokawa, M Hirai, M Shoda and Y Sugano. Efficient dye decolorization and production of dye decolorizing enzymes by the basidiomycete Thanatephoruscucumeris Dec1 in a liquid and solid hybrid culture. Journal of Bioscience and Bioengineering 2008; 106(5), 481-487.

  64. P Bajpai, A Anand and PK Bajpai.Bleaching with lignin-oxidizing enzymes. Biotechnology Annual Review 2006; 12, 349-378.

  65. C Sigoillot, S Camarero, T Vidal, E Record, M Asther, M Pérez-Boada and ÁT Martínez. Comparison of different fungal enzymes for bleaching high-quality paper pulps. Journal of Biotechnology 2005; 115(4), 333-343.

  66. VB Urlacher and KKoschorreck. Pecularities and applications of aryl-alcoholoxidases from fungi. Applied Microbiology and Biotechnology 2021; 105, 4111-4126.

  67. MMCHV Schie, TPD Almeida, G Laudadio, FTieves, E Fernández-Fueyo, T Noël, IWCE Arends and F Hollmann. Biocatalytic synthesis of the Green Note trans-2-hexenal in a continuous-flow microreactor. Beilstein Journal of Organic Chemistry 2018; 14(1), 697-703.

  68. S Sarkar, A Banerjee, U Halder, R Biswas and R Bandopadhyay. Degradation of synthetic azo dyes of textile industry: A sustainable approach using microbial enzymes. Water Conservation Science and Engineering 2017; 2, 121-131.

  69. JA Pino and J Mesa. Contribution of volatile compounds to mango (Mangiferaindica L.) aroma. Flavour and Fragrance Journal 2006; 21(2), 207-213.

  70. N Jankowski, K Koschorreck and VB Urlacher. Aryl‐alcohol‐oxidase‐mediated synthesis of piperonal and other valuable aldehydes. Advanced Synthesis and Catalysis 2022; 364(14), 2364-2372.

  71. N Jankowski, VB Urlacher and K Koschorreck. Two adjacent C-terminal mutations enable expression of aryl-alcohol oxidase from Pleurotus eryngiiinPichia pastoris. Applied Microbiology and Biotechnology 2021; 105, 7743-7755.

  72. A Karich, SB Kleeberg, R Ullrich and M Hofrichter. Enzymatic preparation of 2,5-furandicarboxylic acid (FDCA) - A substitute of terephthalic acid - by the joined action of three fungal enzymes. Microorganisms 2018; 6(1), 5.

  73. J Viña-Gonzalez, AT Martinez, VGuallar and M Alcalde. Sequential oxidation of5-hydroxymethylfurfural to furan-2,5-dicarboxylic acid by an evolved aryl-alcohol oxidase. Biochimica et Biophysica Acta -Proteins and Proteomics 2020; 1868(1), 140293.

  74. AM Abdel-Hamid, JO Solbiati and IKO Cann. Insights into lignin degradation and itspotential industrial applications. Advances in Applied Microbiology 2013;82,1-28.

  75. P Azadi, OR Inderwildi, R Farnood and DA King. Liquid fuels, hydrogen and chemicals from lignin: A critical review. Renewable and Sustainable Energy Reviews 2013; 21, 506-523.

  76. JM Barrasa, A Gutiérrez, VEscaso, F Guillén, MJ Martínez and AT Martínez. Electron and fluorescence microscopy of extracellular glucan and aryl-alcohol oxidase during wheat-straw degradation by Pleurotus eryngii. Applied and Environmental Microbiology 1998; 64(1), 325-332.

  77. M Bellardita, V Loddo, G Palmisano, IPibiri, L Palmisano and V Augugliaro. Photocatalytic green synthesis of piperonal in aqueous TiO2 suspension. Applied Catalysis B: Environmental 2014; 144, 607-613.

  78. M Bey, S Zhou, L Poidevin, B Henrissat, PM Coutinho, JG Berrin and JC Sigoillot. Cello-oligosaccharide oxidation reveals differences between two lytic polysaccharide monooxygenases (family GH61) from Podospora anserina. Applied and Environmental Microbiology 2013; 79(2), 488-496.

  79. M Brückmann, A Termonia, JM Pasteels and T Hartmann. Characterization of anextracellular salicyl alcohol oxidase from larval defensive secretions of Chrysomela populi andPhratoravitellinae (Chrysomelina). Insect Biochemistry and Molecular Biology 2002; 32(11), 1517-1523.

  80. W Cao, B Mahadevan, DL Crawford and RL Crawford. Characterization of an extracellular azo dye-oxidizing peroxidase from Flavobacterium sp. ATCC 39723.Enzyme and Microbial Technology 1993; 15(10), 810-817

  81. J Carro, P Ferreira, AT Martínez and G Gadda. Stepwise hydrogen atom and protontransfers in dioxygen reduction by aryl-alcohol oxidase. Biochemistry 2028; 57(11), 1790-1797.

  82. J Carro, P Ferreira, L Rodríguez, A Prieto, A Serrano, BBalcells, A Ardá, J Jiménez-Barbero, A Gutiérrez, RUllrich, M Hofrichter and AT Martínez. 5‐hydroxymethylfurfural conversion by fungal aryl‐alcohol oxidase and unspecificperoxygenase. The FEBS Journal 2015; 282(16), 3218-3229.

  83. J Carro, M Martínez-Júlvez, M Medina, AT Martínez and P Ferreira. Proteindynamics promote hydride tunnelling in substrate oxidation by aryl-alcohol oxidase. Physical Chemistry Chemical Physics 2017; 19(42), 28666-28675.

  84. DR Cavener. GMC oxidoreductases: A newly defined family of homologous proteins with diverse catalytic activities. Journal of Molecular Biology 1992; 223(3), 811-814.

  85. P Chaiyen, MWFraaije and A Mattevi. The enigmatic reaction of flavins with oxygen. Trends in Biochemical Sciences 2012; 37(9), 373-380.

  86. G Daniel, J Volc, L Filonova, O Plíhal, E Kubátová and P Halada. Characteristicsof Gloeophyllumtrabeum alcohol oxidase, an extracellular source of H2O2 in brown rot decayof wood. Applied and Environmental Microbiology 2007; 73(19), 6241-6253.

  87. TPD Almeida, MMCHV Schie, A Ma, FTieves, SHH Younes, E Fernández‐Fueyo, IWCE Arends, JARiul and F Hollmann. Efficient aerobic oxidation of trans‐2‐hexen‐1‐ol using the aryl alcohol oxidase from Pleurotus eryngii. Advanced Synthesis and Catalysis 2019; 361(11), 2668-2672.

  88. GD Gonzalo, DI Colpa, MH Habib and MWFraaije. Bacterial enzymes involved in lignin degradation. Journal of Biotechnology 2016; 236, 110-119.

  89. EDJong, FPDVries, JA Field, RPVDZwan and JAD Bont. Isolation and screening of basidiomycetes with high peroxidative activity. Mycological Research 1992; 96(12), 1098-1104.

  90. JDOC Brum, DCF Neto, JSFD Almeida, JA Lima, K Kuca, TCC França and JD Figueroa-Villar. Synthesis of new quinoline-piperonal hybrids as potentialdrugs against Alzheimer’s disease. International Journal of Molecular Sciences 2019; 20(16), 3944.

  91. DD Gioia, FLuziatelli, A Negroni, AG Ficca, F Fava and M Ruzzi. Metabolic engineering of Pseudomonas fluorescens for the production of vanillin from ferulic acid. Journal of Biotechnology 2011; 156(4), 309-316.

  92. FM Dickinson and C Wadforth.Purification and some properties of alcohol oxidasefrom alkane-grown Candida tropicalis. Biochemical Journal 1992; 282(2), 325-331.

  93. WP Dijkman and MW Fraaije.Discovery and characterization of a 5-hydroxymethylfurfural oxidase from Methylovorus sp. strain MP688. Applied and Environmental Microbiology 2014; 80(3), 1082-1090.

  94. RD Draper and LL Ingraham.A potentiometric study of the flavin semiquinone equilibrium. Archives of Biochemistry and Biophysics 1968; 125(3), 802-808.

  95. AM Edwards. Structure and general properties of flavins. Methods in Molecular Biology 2014; 1146, 3-13.

  96. I Eichlerová, L Homolka and F Nerud.Ability of industrial dyes decolorization and ligninolytic enzymes production by different Pleurotus species with special attention on Pleurotus calyptratus, strain CCBAS 461. Process Biochemistry 2006; 41(4), 941-946.

  97. ME Jazi, G Narayanan, FAghabozorgi, BFarajidizaji, A Aghaei, MA Kamyabi and TE Mlsna. Structure, chemistry and physicochemistry of lignin for material functionalization. SN Applied Sciences 2019; 1, 1094.

  98. P Ferreira, J Carro, B Balcells, AT Martínez and A Serrano. Expanding the physiological role of aryl-alcohol flavooxidases as quinone reductases. Applied and Environmental Microbiology 2023; 89(5), e0184422.

  99. P Ferreira, A Hernández‐Ortega, F Lucas, J Carro, B Herguedas, KW Borrelli and M Medina. Aromatic stacking interactions govern catalysis in aryl‐alcohol oxidase. The FEBS Journal 2015; 282(16), 3091-3106.

  100. P Ferreira, FJ Ruiz‐Dueñas, MJ Martínez, WJV Berkel and ÁT Martínez. Site‐directed mutagenesis of selected residues at the active site of aryl‐alcohol oxidase, an H2O2‐producing ligninolytic enzyme. The FEBS Journal 2006; 273(21), 4878-4888.

  101. D Floudas, M Binder, R Riley, K Barry, RA Blanchette, B Henrissat, AT Martínez, ROtillar, JW Spatafora, JS Yadav, AAerts, I Benoit, A Boyd, A Carlson, A Copeland, PM Coutinho, RPD Vries, P Ferreira, KFindley, B Foster and DS Hibbett. The paleozoic origin of enzymatic lignin decompositionreconstructed from 31 fungal genomes. Science 2012; 336(6089), 1715-1719.

  102. MW Fraaije and A Mattevi.Flavoenzymes: Diverse catalysts with recurrentfeatures. Trends in Biochemical Sciences 2000; 25(3), 126-132.

  103. MW Fraaije, RHVD Heuvel, WJV Berkel and A Mattevi. Covalent flavinylation is essential for efficient redox catalysis in vanillyl-alcohol oxidase. Journal of Biological Chemistry 1999; 274(50), 35514-35520.

  104. MW Fraaije, C Veeger and WJV Berkel. Substrate specificity of flavin‐dependent vanillyl‐alcohol oxidase fromPenicillium simplicissimum: Evidence for the production of 4‐hydroxycinnamyl alcohols from 4‐allylphenols. European Journal of Biochemistry 1995; 234(1), 271-277.

  105. G Gadda. Hydride transfer made easy in the reaction of alcohol oxidation catalyzed by flavin-dependent oxidases. Biochemistry 2008; 47(52), 13745-13753.

  106. J Galbán, I Sanz-Vicente, J Navarro and SD Marcos. The intrinsic fluorescence of FAD and its application in analytical chemistry: A review. Methods and Applications in Fluorescence 2016; 4(4),42005.

  107. P Goswami, SSR Chinnadayyala, M Chakraborty, AK Kumar and A Kakoti. An overview on alcohol oxidases and their potential applications. Applied Microbiology and Biotechnology 2013; 97, 4259-4275.

  108. F Guillén, AT Martínez and MJ Martínez. Substrate specificity and propertiesof the aryl‐alcohol oxidase from the ligninolytic fungus Pleurotus eryngii. European Journal of Biochemistry 1992; 209(2), 603-611.

  109. A Gutierrez, L Caramelo, A Prieto, MJ Martínez and AT Martinez. Anisaldehydeproduction and aryl-alcohol oxidase and dehydrogenase activities in ligninolytic fungi of thegenus Pleurotus. Applied and Environmental Microbiology 1994; 60(6), 1783-1788.

  110. DP Heuts, NS Scrutton, WS McIntire and MWFraaije. What’s in a covalent bond? On the role and formation of covalently bound flavin cofactors.The FEBS Journal2009; 276(13), 3405-3427.

  111. K Isobe, A Kato, J Ogawa, M Kataoka, AIwasaki, J Hasegawa and S Shimizu. Characterization of alcohol oxidase from Aspergillus ochraceus AIU 031. The Journal of General and Applied Microbiology 2007; 53(3), 177-183.

  112. K Isobe, T Takahashi, J Ogawa, M Kataoka and S Shimizu. Production andcharacterization of alcohol oxidase from Penicillium purpurescens AIU 063. Journal of Bioscience and Bioengineering 2009; 107(2), 108-112.

  113. N Jankowski, K Koschorreck and VB Urlacher. Aryl‐alcohol‐oxidase‐mediated synthesis of piperonal and other valuable aldehydes. Advanced Synthesis and Catalysis 2022; 364(14), 2364-2372.