Start Bootstrap Logo

Trends Sci. 2025; 22(10): 10534

Fabrication and Enhancing the Features of Chitosan/SnO2-ZnO Nanocomposites Films for Optoelectronics and Biological Applications


Saad Abbas Jasim1, Najah M. L. Al Maimuri2, Ahmed Hashim1,*,

Mohammed H. Abbas1, Aseel Hadi3 and Hamed Ibrahim4


1Department of Physics, University of Babylon, College of Education for Pure Sciences, Babylon, Iraq

2Building and Construction Technologies Engineering Department, College of Engineering and Engineering Technologies, Al-Mustaqbal University, 51001, Babylon, Iraq

3Department of Ceramic and Building Materials, College of Materials Engineering, University of Babylon,

Babylon, Iraq

4Al-Zahraa University for Women, Kerbala, Iraq


(*Corresponding authors e-mail: ahmed_taay@yahoo.com)


Received: 1 May 2025, Revised: 10 May 2025, Accepted: 20 May 2025, Published: 15 July 2025


Abstract

The present work aims to fabricate of chitosan doped with SnO2-ZnO nanoparticles to employ in various optical and electronics applications. The study included the compact of (SnO2/ZnO) nanocomposites on optical features of chitosan to be used in variety of optics and electronics applications. The chitosan-SnO2/ZnO nanocomposites have been prepared by utilizing casting technique with various concentrations of (SnO2/ZnO) nanoparticles and chitosan. The optical features have been investigated at a range of wavelengths from (320 - 920 nm). The analysis reveal that when (SnO2/ZnO) nanoparticles ratio has been increased, absorption value of chitosan-(SnO2/ZnO) nanocomposites was boosted whereas the transmittance value was drop down. Whenever (SnO2/ZnO) nanocomposites ratio have been rise, the band gap was reduced from 3.33 to 2.9 eV for allowed transition and from 3.13 to 2.51 eV for forbidden transition. The other optical features of chitosan-SnO2/ZnO nanocomposites have been boosted. Finally, the outcomes of optical features reveal that the chitosan-SnO2/ZnO nanocomposites are being possible to be utilized in a variety of applications.


Keywords: Chitosan, SnO2, ZnO, Nanocomposites, Optical properties, Optoelectronics, Nanoparticles


Introduction

Nanotechnology provides the ability to engineer the materials properties by controlling their size. It producing major advances in energy, including high-performance batteries and economic solar cells; electronics, with single atom transistors and ultrahigh density data storage; food and agriculture, increased screening for contaminants and offering smart delivery of nutrients. The composites have been widely used in the various fields such as military equipments, safety, protective garments, automotive, aerospace, electronics, and optical devices. However, these application areas continuously demand additional properties and functions such as high mechanical properties, flame retardation, chemical resistance, UV resistance, electric conductivity, environmental stability, water repellency, magnetic field resistance, radar absorption, etc [1-3]. Due to the widespread use of polymer materials in a variety of applications, composite materials with specialized uses have been developed [4]. Chitosan, a biopolymer derived from chitin, has garnered significant attention in various fields due to its biodegradability, biocompatibility, and antimicrobial properties. Its potential applications span across medicine, agriculture, and environmental sectors. Recent advancements have focused on enhancing chitosans properties by integrating it with metal oxide nanoparticles, particularly tin oxide (SnO2) and zinc oxide (ZnO). These composites leverage the unique characteristics of both chitosan and metal oxides to create materials with superior functionalities [5,6]. Chitosan is a natural polymer obtained through the deacetylation of chitin, primarily sourced from crustacean shells. It is characterized by its positive charge, which facilitates interactions with negatively charged bacterial cell membranes, leading to antimicrobial effects. Additionally, chitosan is known for its wound-healing properties, making it suitable for biomedical applications. Its biodegradability and non-toxicity further enhance its appeal in various industrial applications, including food packaging, water treatment, and drug delivery systems [7,8]. It is a natural polysaccharide derived from chitin, the second most abundant biopolymer after cellulose. Chitin is commonly found in the exoskeletons of crustaceans such as crabs, shrimp, and lobsters, as well as in the cell walls of fungi [9]. Through a process called deacetylation, where acetyl groups are removed using alkaline treatment, chitin is converted into chitosan. The extent of this deacetylation greatly affects the physicochemical and biological properties of chitosan, particularly its solubility and bioactivity. Structurally, chitosan is composed of β-(14)-linked D-glucosamine and N-acetyl-D-glucosamine units. Unlike cellulose, which is insoluble in water, chitosan becomes soluble in slightly acidic solutions due to the protonation of its amine groups, allowing for its wide range of uses in aqueous environments [10,11]. Chitosans key properties include: Biodegradability: Naturally degraded by enzymes such as lysozyme into non-toxic, environmentally friendly components. Biocompatibility: Compatible with human tissues and cells, making it a prime candidate for biomedical applications. Antimicrobial Activity: Exhibits inherent antibacterial and antifungal properties, mainly due to its polycationic nature, which disrupts microbial cell membranes. Film-Forming Ability: Chitosan can form transparent, flexible films, useful in coatings and packaging. Non-Toxicity: Safe for both pharmaceutical and food-grade applications. Its positive charge in acidic environments also enables mucoadhesion - a crucial property in drug delivery systems, especially for mucosal surfaces like the nose, mouth, and gastrointestinal tract [12,13]. Tin oxide (SnO2) and zinc oxide (ZnO) are wide-bandgap semiconductors with distinct properties that contribute to their effectiveness in composite materials. SnO2 is known for its high surface area and photocatalytic activity, making it suitable for environmental applications such as pollutant degradation. ZnO, on the other hand, exhibits strong antimicrobial properties and photocatalytic activity, which can be harnessed in various applications, including wound healing and water purification [13,14]. Experimental research has shown that as the mean grain size of ZnO sensors increases, their gas sensitivity reduces. In addition, Due to its high exciton binding energy, zinc oxide is also a skilled material for short-wavelength optoelectronics [15]. When integrated with chitosan, SnO2 and ZnO nanoparticles can enhance the composites mechanical strength, antimicrobial activity, and photocatalytic efficiency. The combination of chitosans biopolymer matrix with the functional properties of metal oxides results in nanocomposites that are not only effective in antimicrobial applications but also in environmental remediation and energy conversion processes [16,17]. Chitosan-based nanocomposites incorporating SnO2 and ZnO nanoparticles exhibit enhanced mechanical, antibacterial, and photocatalytic properties. The inclusion of SnO2 improves the chemical stability of ZnO in acidic environments, while ZnO contributes to antibacterial activity and photocatalytic efficiency. These nanocomposites have applications in antifouling coatings, antimicrobial wound dressings, and environmental remediation. Studies have demonstrated their effectiveness in degrading pollutants and inhibiting bacterial growth, making them promising materials for various biomedical and environmental applications [17,18]. The addition of oxides nanostructure into polymers aims to improve their optical and dielectric properties [19-25]. This study involves the fabrication of CS/SnO2/ZnO films and the examination of their optical and morphological properties for potential usage in various optical applications.


Materials and methods

The used materials in the present work are chitosan as host matrix and SnO2-ZnO nanoparticles as a fillers. The CS/SnO2/ZnO films were prepared by dissolving of 1 g of chitosan in 50 mL of deionized water with 0.2 % of acetic acid using magnetic stirrer for 3 h at room temperature. The mixing procedure was repeated 4 times until the mixture was homogeneous. The solution was poured into a Petri dish (9 cm in diameter) and left at room temperature for a week to dry using the traditional casting method. In the method of fabrication of CS/SnO2/ZnO nanocomposite films, different weight percentage of (0, 1.5 and 3 wt%) were added to chitosan pure films separately to the above blend for 3 h, and the mixtures were cast and dried for a week by the same previous procedure. The samplesthickness was measured using a micrometer and found to be within 30 μm. The (UV-18000AShimadzu) spectrophotometer was used to test the optical characters of CS/SnO2/ZnO nanocomposites. The optical microscope was utilized to observe the distribution of nanoparticles inside the polymer medium at 100 X. The coefficient of absorption (α) is given by Henaish and Abouhaswa [26]:


Results and discussion

Morphological investigations

Figure 1 shows the surface morphology images of chitosan doped with (0, 1.5 and 3 wt %) of (SnO2:ZnO), respectively. Its clearly appear from the optical microscopy image that the polymer blend was homogeneously and perfectly dissolved in the solution, as shown in Figure 1(a). Figures 1(b) and 1(c) show that SnO2 and ZnO was well distributed on the surface of chitosan with uniform density. These results indicate that the molecules of dopant material tend to form well dispersed groups and may indicate the occurrence of a homogeneous growth mechanism. With grow NPs content, the NPs propagated as a clusters structure. At high concentration, the NPs shape a network of pathways inside the matrix of polymer material [32-38].



Figure 1 Optical microscopy images at 100 X: (a) pure Chitosan, (b) 1.5 wt. % and (c) 3 wt %.

Optical properties investigations

In this section, the optical properties of chitosan films were systemically examined and studied. Figure 2 shows the variation of the optical absorbance spectra of chitosan and chitosan-SnO2/ZnO films against photon wavelength for different concentrations of SnO2 and ZnO nanoparticles. All the results show that films have high absorbance in the ultraviolet region and become have low values in the NIR and visible regions. This behavior can be explained by the addition of SnO2 and ZnO nanoparticles to chitosan films enhances their absorbance by modifying the electronic structure, introducing defect states, and improving charge transfer efficiency, making them suitable for different applications [39-45].


Picture 2

Figure 2 The absorbance versus wavelength for Chitosan-SnO2/ZnO films.

Figure 3 shows the transmittance spectra of Chitosan (CS) and Chitosan-SnO2/ZnO films as a function of wavelength. The transmittance increases with rising photon wavelength but its decreases with rising NPs content. The reduction in transmittance of chitosan films with the addition of SnO2 and ZnO nanoparticles is primarily due to increased light scattering by the (SnO2/ZnO) NPs and rising the numbers of charges carriers inside nanocomposites [46-50].

Figure 4 shows the optical conductivity as a function of the wavelength for Chitosan (CS) and chitosan-SnO2/ZnO films. The optical conductivity increases with rising SnO2/ZnO NPs content. It was observed from the figure that the optical conductivity at high photon energy (low wavelength) increased and vice versa at high wavelength. This may be due to enhancing free carrier density and modifying the band structure. These nanoparticles improve charge transport and light absorption through interfacial and crystallinity effects. Together, they enable more efficient photon-induced carrier excitation and mobility [51-54].

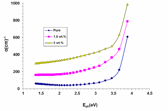
Figure 5 obtains the absorption coefficient of Chitosan (CS) and Chitosan (SnO2/ZnO) films nanocomposite. The α give information on the nature of the transition. It is observed that the α <104 cm1 therefore the happened indirect transition. Chitosan modified with SnO2 and ZnO nanoparticles shows increased absorption coefficient due to enhanced light scattering, charge transfer, and bandgap tuning. These effects improve photon interaction and broaden spectral absorption, especially in the UV-visible range [55,56].

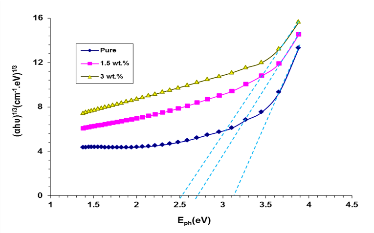
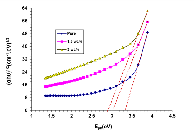
The value of allowed &forbidden energy gap of Chitosan (CS) and Chitosan-SnO2/ZnO films is illustrate in Figures 6 and 7, respectively. The addition of SnO2 and ZnO to chitosan introduces defect states and facilitates orbital hybridization, leading to the formation of new energy levels within the band gap. This results in a reduced energy gap from 3.33 to 2.9 eV for allowed transition &from 3.13 to 2.51 eV for forbidden transition due to easier electron transitions and modified electronic structure. the value of Eg reduce with increase of (SnO2/ZnO) nanoparticles [57-65].


Figure 3 The transmittance versus wavelength for Chitosan-SnO2/ZnO films.



Figure 4 The optical conductivity variation with wavelength for Chitosan-SnO2/ZnO films.


Picture 4

Figure 5 Absorption coefficient for Chitosan-SnO2/ZnO films.



Figure 6 Allowed Eg values for Chitosan-SnO2/ZnO films.


Figure 7 Forbidden Eg values for Chitosan-SnO2/ZnO films.

Figures 8 and 9 show the performances of n and k of Chitosan (CS) and Chitosan-SnO2/ZnO films. The n values reduce with rising photon wavelength. The k values reduce, then rise with rising photon wavelength. ​The refractive index (n) and extinction coefficient (k) of chitosan increase with rising SnO2-ZnO due to the rising absorption and scattering within the composite material. Also, the rising of n values related to increase of composite density [66-71].


Figure 8 Performance of n with wavelength for Chitosan-SnO2/ZnO films.


Figure 9 Extinction coefficient behavior for Chitosan-SnO2/ZnO films.

The real and imaginary dielectrics constants of Chitosan (CS) and Chitosan-SnO2/ZnO films are shown in Figures 10 and 11. The real dielectric constant decreases with rising photon wavelength. The ε2 values are reduce, then rise with rising photon wavelength. The addition of SnO2-ZnO into chitosan rises both the real (ε1) and imaginary (ε2) parts of the dielectric constant. It is concluded that the imaginary part (ε2) essentially depends on the values of the (k), which are connected to the variation of coefficients of absorption, while the variation of the real part (ε1) mainly depends on the values of the (n2) due to small values of (k2) [72-77].



Figure 10 ε1 behavior for Chitosan-SnO2/ZnO films.

Figure 11 ε2 variation with wavelength for Chitosan-SnO2/ZnO films.



Conclusions

The chitosan-SnO2/ZnO nanocomposites films were successfully prepared by the traditional casting technique. The Optical microscopy images showed that the (SnO2/ZnO) were homogeneously diffused within the matrix of polymer. It was observed from the study of optical properties that the increase of (SnO2/ZnO) nanocomposite lead to enhance of all optical coefficients such as absorbance, optical conductivity, refractive index, and energy gap. The energy gap decreased from 3.33 to 2.9 eV for allowed transition & from 3.13 to 2.51 eV for forbidden transition. The optical characters showed that the chitosan-SnO2/ZnO nanocomposite can be used in different optical devices.


Acknowledgements

Acknowledgment to the University of Babylon, Iraq.


References

  1. A Hashim and N Hamid. Fabrication and properties of biopolymer-ceramics nanocomposites as UV-shielding for bionanoscience application. Journal of Bionanoscience 2018; 12(6), 788-791.

  2. A Hashim, IR Agool and KJ Kadhim. Modern developments in polymer nanocomposites for antibacterial and antimicrobial applications: A review. Journal of Bionanoscience 2018; 12(5), 608-613.

  3. AJ Kadham, D Hassan, N Mohammad and AH Ah-yasari. Fabrication of (polymer blend-magnesium oxide) nanoparticle and studying their optical properties for optoelectronic applications. Bulletin of Electrical Engineering and Informatics 2018; 7(1), 28-34.

  4. S Anandhavelu and S Thambidurai. Effect of annealing temperature on optical and electrochemical properties of chitosan-ZnO nanostructure. Ionics 2013; 19, 903-909.

  5. A Aouadi, D Hamada Saud, A Rebiai, A Achouri, S Benabdesselam, FM Abd El-Mordy, P Pohl, SF Ahmad, SM Attia, HS Abulkhair, A Ararem and M Messaoudi. Introducing the antibacterial and photocatalytic degradation potentials of biosynthesized chitosan, chitosan-ZnO, and chitosan-ZnO/PVP nanoparticles. Scientific Reports 2024; 14, 14753.

  6. VKH Bui, D Park and YC Lee. Chitosan combined with ZnO, TiO2 and Ag nanoparticles for antimicrobial wound healing applications: A mini review of the research trends. Polymers 2017; 9(1), 21.

  7. M Dash, F Chiellini, RM Ottenbrite and E Chiellini. Chitosan - A versatile semi-synthetic polymer in biomedical applications. Progress in Polymer Science 2011; 36(8), 981-1014.

  8. RD Bharathi, B Ranjithkumar, V Chandarshekar and B Bhuvaneshwari. Preparation of chitosan coated zinc oxide nanocomposite for enhanced antibacterial and photocatalytic activity: As a bionanocomposite. International Journal of Biological Macromolecules 2019; 129, 989-996.

  9. E Džunuzović, K Jeremić and JM Nedeljković. In situ radical polymerization of methyl methacrylate in a solution of surface modified TiO2 and nanoparticles. European Polymer Journal 2007; 43(9), 3719-3726.

  10. S Fatullayeva, D Tagiyev, N Zeynalov, S Mammadova and E Aliyeva. Recent advances of chitosan-based polymers in biomedical applications and environmental protection. Journal of Polymer Research 2022; 29(7), 259.

  11. AG Madhan, LA Begam, RV Varsha, RR Ranjithkumar and RD Bharathi. Facile synthesis and characterization of chitosan/zinc oxide nanocomposite for enhanced antibacterial and photocatalytic activity. International Journal of Biological Macromolecules 2021; 190, 259-269.

  12. A Hadi, A Hashim and Y Al-Khafaji. Structural, optical and electrical properties of PVA/PEO/SnO2 new nanocomposites for flexible devices. Transactions on Electrical and Electronic Materials 2020; 21, 283-292.

  13. AMES Hassen, AM El Sayed, WM Morsi and S El-Sayed. Influence of Cr2O3 nanoparticles on the physical properties of polyvinyl alcohol. Journal of Applied Physics 2012; 112(9), 093525.

  14. KS Hemalatha, K Rukmani, N Suriyamurthy and BM Nagabhushana. Synthesis, characterization and optical properties of hybrid PVA-ZnO nanocomposite: A composition dependent study. Materials Research Bulletin 2014; 51, 438-446.

  15. KS Hemalatha, G Sriprakash, MVN Ambika Prasad, R Damle and K Rukmani. Temperature dependent dielectric and conductivity studies of polyvinyl alcohol-ZnO nanocomposite films by impedance spectroscopy. Journal of Applied Physics 2015; 118(15), 154102.

  16. S Heydari and M Moradi. Green synthesis of nanochitosan/bentonite/SnO2-ZnO bionanocomposite for removal of heavy metal ions and photocatalytic degradation of organic dye. Journal of Polymers and the Environment 2024; 32, 3698-3717.

  17. HH Ibrahim, AM Abdelghany, MH Gaber and SA Ali. Optical and physical characteristics of chitosan/silver vanadate nanocomposites. Optical and Quantum Electronics 2024; 56, 435.

  18. SA Jasim, HAJ Banimuslem, FH Alsultany, E Al-Bermany and RM Mohammed. Ammonia and nitrogen dioxide detection using ZnO/CNT nanocomposite synthesized by sol-gel technique. Journal of Sol-Gel Science and Technology 2023; 108(1), 734-741.

  19. AF Kadhim and A Hashim. Fabrication and tuning the structural and dielectric characteristics of PS/SiO2/SrTiO3 hybrid nanostructures for nanoelectronics and energy storage devices. Silicon 2023; 15(11), 4613-4621.

  20. A Hashim, A Hadi and MH Abbas. Synthesis and unraveling the morphological and optical features of PVP-Si3N4-Al2O3 nanostructures for optical and renewable energies fields. Silicon 2023; 15(15), 6431-6438.

  21. A Hashim, B Mohammed, A Hadi and H Ibrahim. Synthesis and augment structural and optical characteristics of PVA/SiO2/BaTiO3 nanostructures films for futuristic optical and nanoelectronics applications. Journal of Inorganic and Organometallic Polymers and Materials 2024; 34, 611-621.

  22. HS Abdulsalam, A Hashim and MK Mohammed. Fabrication and ameliorating the performance of PS/SiO2-Sb2O3 futuristic films for high energy storage capacitors and biomedical applications. Transactions on Electrical and Electronic Materials 2025; 26, 395-404.

  23. HS Abdulsalam, A Hashim and MK Mohammed. Synthesis and tuning the morphological and optical features of PS/SiO2-Sb2O3 promising hybrid nanomaterials for radiation shielding and futuristic optoelectronics applications. Journal of Materials Science: Materials in Electronics 2025; 36(8), 480.

  24. HS Abdulsalam, A Hashim and MK Mohammed. Manufacturing and enhancing the features of PS/SiO2-CeO2 nanostructures for energy storage and antimicrobials applications. Journal of Inorganic and Organometallic Polymers and Materials 2025. https://doi.org/10.1007/s10904-025-03651-5

  25. HS Abdulsalam, A Hashim and MK Mohammed. Production and tailoring the morphological and optical features of PS/SiO2-In2O3 futuristic films for optoelectronics and radiation shielding applications. Ceramics International 2025; 51(11), 14328-14336.

  26. AAA Ahmed, AM Al-Hussam, AM Abdulwahab and ANAA Ahmed. The impact of sodium chloride as dopant on optical and electrical properties of polyvinyl alcohol. AIMS Materials Science 2018; 5(3), 533-542.

  27. AMA Henaish and AS Abouhaswa. Effect of WO3 nanoparticle doping on the physical properties of PVC polymer. Bulletin of Materials Science 2020; 43(1), 149.

  28. K Mahalakshmi, V Lakshmi, SDC Anitha and R MaryJenila. Optical, structural and morphological analysis of rGO decorated CoSe2 nanocomposites. International Journal of Innovative Science Engineering & Technology 2021; 8(2), 180-192.

  29. G Santhosh, GP Nayaka, BS Madhukar and Siddaramaiah. Optical properties of PVP/Li3GaO3 nanocomposites. Materials Today: Proceedings 2017; 4, 12061-12069.

  30. PO Amin, KA Ketuly, SR Saeed, FF Muhammadsharif, MD Symes, A Paul and K Sulaiman. Synthesis, spectroscopic, electrochemical and photophysical properties of high band gap polymers for potential applications in semi-transparent solar cells. BMC Chemistry 2021; 15, 25.

  31. AO Salohub, AA Voznyi, OV Klymov, NV Safryuk, DI Kurbatov and AS Opanasyuk. Determination of fundamental optical constants of Zn2SnO4 films. Semiconductor Physics, Quantum Electronics & Optoelectronics 2017; 20(1), 79-84.

  32. S Kumar, F Ye, B Mazinani, S Dobretsov and J Dutta. Chitosan nanocomposite coatings containing chemically resistant ZnO-SnO2 core-shell nanoparticles for photocatalytic antifouling. International Journal of Molecular Sciences 2021; 22(9), 4513.

  33. Z Sattar and A Hashim. Quaternary PMMA-PEG/SnO2-sic nanocomposite films for flexible nanodielectric and energy storage applications. Silicon 2025; 17, 1681-1692.

  34. Z Sattar and A Hashim. Synthesis of PMMA/PEG/SiO2/SiC multifunctional nanostructures and exploring the microstructure and dielectric features for flexible nanodielectric applications. Silicon 2024; 16, 6181-6192.

  35. G Ahmed and A Hashim. Synthesis of PMMA/PEG/Si3N4 nanostructures and exploring the structural and dielectric characteristics for flexible nanoelectronics applications. Silicon 2023; 15, 3977-3985.

  36. H Jaafar, A Hashim and BH Rabee. Tailoring the influence of hybrid SiC/SrTiO3 nanomaterials doped PMMA/PEO for promising nanodielectric and nanoelectronic applications. Silicon 2023; 16(5), 1905-1915.

  37. HK Jaafar, A Hashim and BH Rabee. Fabrication and unraveling the morphological, structural, and dielectric features of PMMA-PEO-SiC-BaTiO3 promising quaternary nanocomposites for multifunctional nanoelectronics applications. Journal of Materials Science: Materials in Electronics 2024; 35(2), 128.

  38. A Kareem, A Hashim and HB Hassan. Ameliorating and tailoring the morphological, structural, and dielectric features of Si3N4/CeO2 futuristic nanocomposites doped PEO for nanoelectronic and nanodielectric applications. Journal of Materials Science: Materials in Electronics 2024; 35(7), 461.

  39. MMH Lin, YH Wang, CH Kuo, SF Ou, PZ Huang, TY Song, YC Chen, ST Chen, CH Wu, YH Hsueh and FY Fan. Hybrid ZnO/chitosan antimicrobial coatings with enhanced mechanical and bioactive properties for titanium implants. Carbohydrate Polymers 2021; 257, 117639.

  40. MH Abbas, H Ibrahim, A Hashim and A Hadi. Ameliorating and tailoring the features of silica-silicon carbide nanoceramic doped polyethylene oxide for promising optoelectronics applications. Silicon 2025; 17, 697-707.

  41. A Hashim, G Ahmed, H Ibrahim and A Hadi. Ameliorating the features of TiN/SiO2 promising nanoceramic doped optical polymer for multifunctional optoelectronics applications. Silicon 2025; 17, 585-598.

  42. AF Kadhim, G Ahmed and A Hashim. Fabrication and tuning the structural and optical features of SiO2/ Si3N4 nanomaterials doped PS for promising optoelectronics applications. Journal of Inorganic and Organometallic Polymers and Materials 2024; 34(9), 4267-4276.

  43. Z Sattar and A Hashim. Fabrication and characteristics of PMMA-PEG/SiO2-SiC quaternary nanocomposites for gamma ray shielding and flexible optoelectronics applications. Journal of Materials Science: Materials in Electronics 2024; 35(24), 1660.

  44. HK Jaafar, A Hashim and BH Rabee. Fabrication and tuning the morphological and optical characteristics of PMMA/PEO/SiC/BaTiO3 newly quaternary nanostructures for optical and quantum electronics fields. Optical and Quantum Electronics 2023; 55(11), 989.

  45. HK Jaafar, A Hashim and BH Rabee. Synthesis and boosting the morphological and optical characteristics of SiC/SrTiO3 nanomaterials doped PMMA/PEO for tailored optoelectronics fields. Silicon 12024; 6, 603-614.

  46. A Hassen, S El-Sayed, WM Morsi and AM El Sayed. Preparation, dielectric and optical properties of Cr2O3/PVC nanocomposite films. Journal of Advances in Physics 2024; 4(3), 571-584.

  47. Z Sattar and A Hashim. Fabrication of PMMA/PEG/SnO2/SiC quaternary multifunctional nanostructures and exploring the microstructure and optical features for radiation attenuation and flexible photonics applications. Journal of Materials Science: Materials in Electronics 2015; 35(31), 2015.

  48. A Kareem, A Hashim and HB Hassan. Synthesis and boosting the morphological, structural and optical features of PEO/Si3N4/CeO2 promising nanocomposites films for futuristic nanoelectronics applications. Silicon 2024; 16, 2827-2838.

  49. A Hazim, A Hashim and H Abduljalil. Fabrication of novel (PMMA-Al2O3/Ag) nanocomposites and its structural and optical properties for lightweight and low cost electronics applications. Egyptian Journal of Chemistry 2021; 64(1), 359-374.

  50. A Hashim, H Ibrahim and A Hadi. Fabrication and augmentation of optical and structural characteristics of PVA/SiC/CoFe2O4 hybrid nanocomposites for tailored optical and quantum electronics applications. Optical and Quantum Electronics 2024; 56, 1177.

  51. A Atta, MM Abdelhamied, AM Abdelreheem and MR Berber. Flexible methyl cellulose/polyaniline/silver composite films with enhanced linear and nonlinear optical properties. Polymers 2021; 13(8), 1225.

  52. A Hashim, H Ibrahim, FL Rashid and A Hadi. Synthesis and augmented morphological and optical properties of Si3N4-TiN inorganic nanostructures doped PVP for promising optoelectronics applications. Journal of Inorganic and Organometallic Polymers and Materials 2025; 35(2), 827-837.

  53. A Hashim, SM Alshrefi, HH Abed and A Hadi. Synthesis and boosting the structural and optical characteristics of PMMA/SiC/CdS hybrid nanomaterials for future optical and nanoelectronics applications. Journal of Inorganic and Organometallic Polymers and Materials 2024; 34(2), 703-711.

  54. A Hashim, A Kareem and H Ibrahim. Production and ameliorating the characteristics of (SiO2-CdS) futuristic nanoceramic doped optical material for flexible nanoelectronics applications. Silicon 2025; 17, 517-530.

  55. S Salman, N Bakr and MH Mahmood. Preparation and study of some optical properties of (PVA-Ni (CH3COO)2) composites. International Journal of Current Research 2014; 6(11), 9638-9643.

  56. AA Muhmood, IA Zgair, MA Hussein, LH Mahdi, BS Jabbar and AHO Alkhayatt. Preparation and optical characterizations of PVA: Ag nano composite. Journal of Physics: Conference Series 2021; 1879(3), 032083.

  57. H Ahmed and A Hashim. Design and tailoring the structural and spectroscopic characteristics of Sb2S3 nanostructures doped PMMA for flexible nanoelectronics and optical fields. Optical and Quantum Electronics 2023; 55(3), 280.

  58. A Hazim, HM Abduljalil and A Hashim. Design of PMMA doped with inorganic materials as promising structures for optoelectronics applications. Transactions on Electrical and Electronic Materials 2021; 22, 851-868.

  59. H Ahmed and A Hashim. Design and exploring the structure, optical and electronic characteristics of silicon doped PS/MoS2 structures for electronics Nanodevices. Optical and Quantum Electronics 2022; 54(7), 403.

  60. H Ahmed and A Hashim. Tunable spectroscopic, electronic and thermal characteristics of PS/Nb5Si3/ZnS nanostructures for optics and potential nanodevices. Optical and Quantum Electronics 2023; 55(1), 9.

  61. H Ahmed and A Hashim. Tuning the characteristics of novel (PVA-Li-Si3N4) structures for renewable and electronics fields. Silicon 2022; 14(8), 4079-4086.

  62. NAH Al-Aaraji, A Hashim, HM Abduljalil and A Hadi. Tailoring the design, structure and spectroscopic characteristics of SiC/CuO doped transparent polymer for photonics and quantum nanoelectronics fields. Optical and Quantum Electronics 2023; 55(8), 743.

  63. H Ahmed and A Hashim. Design and tailoring the optical and electronic characteristics of PS/ZnS/SiBr4 new structures for electronics nanodevices. Silicon 2023; 15(1), 83-91.

  64. HM Gayitri, M Al-Gunaid and APG Prakash. Optical, structural and thermal properties of hybrid PVA/CaAl2ZrO6 nanocomposite films. Indian Journal of Engineering & Materials Sciences 2020; 27, 320-332.

  65. NS Alghunaim. Spectroscopic analysis of PMMA/PVC blends containing CoCl2. Results in Physics 2015; 5, 331-336.

  66. S Sabbah, M Hasan, B Yehiaa and Z Satar. The effect of metal powder on the optical properties of polyvinyl acetate. Journal of Advance Research in Applied Science 2016; 3(1), 1-6.

  67. HB Hassan, A Hashim and HM Abduljalil. Synthesis, structural and optical characteristics of PEO/NiO/In2O3 hybrid nanomaterials for photodegradation of pollutants from wastewater. Optical and Quantum Electronics 2023; 55, 556.

  68. HB Hassan, A Hashim and HM Abduljalil. Tailoring structural, optical characteristics of CuO/In2O3 nanoparticles-doped organic material for photodegradation of dyes pollutants. Polymer Bulletin 2023; 80, 9059-9075.

  69. HAJ Hussien, RG Kadhim and A Hashim. Investigating the low cost photodegradation performance against organic Pollutants using CeO2/MnO2/ polymer blend nanostructures. Optical and Quantum Electronics 2022; 54(11), 704.

  70. FA Jasim, A Hashim, AG Hadi, F Lafta, SR Salman and H Ahmed. Preparation of (pomegranate peel-polystyrene) composites and study their optical properties. Research Journal of Applied Sciences 2013; 8(9), 439-441.

  71. YM Jawad, MFH Al-Kadhemy and JAS Salman. Synthesis structural and optical properties of CMC/MgO nanocomposites. Materials Science Forum 2021; 1039, 104-114.

  72. HAJ Hussien and A Hashim. Fabrication and analysis of PVA/TiC/SiC hybrid nanostructures for nanoelectronics and optics applications. Journal of Inorganic and Organometallic Polymers and Materials 2024; 34, 2716-2727.

  73. A Hashim, A Hadi, H Ibrahim and FL Rashid. Fabrication and boosting the morphological and optical properties of PVP/SiC/Ti nanosystems for tailored renewable energies and nanoelectronics fields. Journal of Inorganic and Organometallic Polymers and Materials 2024; 34(4), 1678-1688.

  74. MH Abbas, H Ibrahim, A Hashim and A Hadi. Fabrication and tailoring structural, optical, and dielectric properties of PS/CoFe2O4 nanocomposites films for nanoelectronics and optics applications. Transactions on Electrical and Electronic Materials 2024; 25, 449-457.

  75. A Hashim, HH Abed and SM Alshrefi. Ameliorating and tuning the structural, morphological, and optical characteristics of chromium oxide/silicon carbide promising hybrid nanocomposites doped PMMA for futuristic nanoelectronics and photonics applications. Silicon 2024; 16(12), 5087-5095.

  76. V Sangawar and M Golchha. Evolution of the optical properties of polystyrene thin films filled with zinc oxide nanoparticles. International Journal of Scientific & Engineering Research 2013; 4(6), 2700-2705.

  77. S Agarwal and VK Saraswat. Structural and optical characterization of ZnO doped PC/PS blend nanocomposites. Optical Materials 2015; 42, 335-339.