Start Bootstrap Logo

Trends Sci. 2025; 22(11): 11023

Tailoring Strategy of Chitosan-based Hydrogel for Improving Wound Healing: A Systematic Review


Maria Diva Rossary, Jeniffer Kalyana Paramita Djunaedi,

Teresa Prinasti Riyantoro and Agustina Setiawati*


Faculty of Pharmacy, Sanata Dharma University, Paingan, Maguwoharjo, Depok, Sleman,

Yogyakarta 55281, Indonesia


(*Corresponding author’s e-mail: [email protected])


Received: 22 June 2025, Revised: 25 July 2025, Accepted: 4 August 2025, Published: 15 August 2025


Abstract

Chitosan-based hydrogels are promising wound dressing materials due to their biocompatibility, biodegradability, and ability to mimic the extracellular matrix. They have been known to promote moisture retention, prevent infection, and support cell proliferation. To enhance their properties, recent strategies include chemical and physical crosslinking, incorporation of bioactive agents, nanomaterials, and stimuli-responsive systems. Clinical studies have demonstrated the effectiveness of chitosan-based dressings in accelerating healing and reducing treatment costs, though regulatory challenges remain. Emerging innovations, by tunable their properties such as smart hydrogels and soft robotic systems, offer precise drug delivery and adaptability to wound environments. This review highlights recent advances and prospects for chitosan hydrogels as a cutting-edge technology for wound dressings with a systematic review.


Keywords: Wound, Hydrogel, Tunable, Precise medicine, Natural polymer, Biodegradable, Biocompatible


Introduction

Wound is a tissue damage either internally or externally, which is caused by cuts, burns, incisions, or punctures, etc. Chronic wounds are a syndrome that affects approximately 4% of the world’s population due to several pathologies [1]. Superficial wounds heal naturally; however, large and deep wounds need proper medication for accelerating the healing process and preventing infection [2]. Recently, wound care usually applies drugs, ointments, and wound dressing materials like gauze, collagen membrane, which have been applied at clinical levels [3]. Membrane, cotton gauze, and biosynthetic graft replacement during wound treatment cause healed tissue abrasion and induce scar formation [4]. Some of the present wound dressing materials have significant drawbacks, including poor antibacterial characteristics, poor mechanical performance, inability to protect the wound against infection by bacteria, and inability to deliver moisture to accelerate the wound healing process [5-9]. Researchers urgently need to develop an ideal wound dressing to heal wounds faster and protect them from infection.

Hydrogels made from biopolymers exhibit the majority of the characteristics that are lacking in some of the currently proposed wound dressings. Hydrogels are easy to apply and offer comfort during dressing changes, helping to reduce pain in the injured tissue. Hydrogel is a 3-dimensional (3D) network consisting of hydrophilic polymers retaining a large amount of water and undergoing degradation for a certain period [3,10,11]. The water uptake capacity of hydrogel overcomes the debridement problem and wound dryness, as well as provides humidity for better angiogenesis of wound healing [12]. Chitosan is one of the potential natural biodegradable polymers that have excellent biocompatibility, non-toxicity, ready availability, and non-comedogenicity [13]. In addition of chitosan hydrogel’s ability to absorb the exudate of the wound, it also prevents bacterial infection, maintain a moist environment of the wound, and conjugate biomolecules for promoting wound healing [13,14]. Due to the natural extracellular matrix (ECM) mimic, the hydrogel provides a cell adhesion site and then induces cell proliferation to enclose wound gaps [13].

There are abundant studies of chitosan-based hydrogels for wound treatment with excellent regeneration outcomes. To elevate the swelling behavior, mechanical integrity, and biological activity of chitosan hydrogels. The strategies include physical crosslinking (ionic interaction, hydrogen bonding), chemical crosslinking (using reagent such as glutaraldehyde or genipin), and radiation-induced gelation. These fabrication methods allow hydrogel qualities to be tailored to specific clinical needs, such as wound exudate management or long-term medication release. Recent innovations, such as the addition of nanoparticles, growth factors, and other natural polymers, have increased the adaptability and therapeutic efficacy of chitosan-based hydrogels [13,14]. As a result, the creation of well-designed chitosan hydrogel wound dressings is an important step toward generating improved, biocompatible, and efficient wound care solutions.

This review highlights some strategies to modify chitosan hydrogel as an advanced wound dressing material, focusing on enhancing its physicochemical, biological, and functional properties. These strategies include the administration of bioactive agents (e.g., antibiotics, growth factors, herbal extracts), the development of stimuli-responsive systems (e.g., pH-, temperature-, or enzyme-responsive hydrogels), and the incorporation of nanomaterials (e.g., silver nanoparticles, graphene oxide, or zinc oxide) to improve antibacterial activity, mechanical strength, and controlled drug release [10,15-18]. Furthermore, recent advances incorporating 3D bioprinting and electrospinning have enabled the fabrication of tunable chitosan hydrogel structures that more closely replicate the natural extracellular matrix and promote cell proliferation and tissue regeneration [19]. By analyzing these improvements, this work hopes to provide an adequate understanding of how functional alterations to chitosan-based hydrogels might transform them into next-generation wound dressings suited for clinical translation. Soft robotic hydrogels enable precise control of the bioactive release due to pH, temperature, light, and enzymes. For biomimicking the specific morphology of the wound, 3D printer-assisted hydrogel engineering is applicable to tailor the chitosan hydrogels. This review points out that tailored chitosan hydrogels are ideal wound dressings for better wound healing activity. Chitosan is a highly versatile biomaterial platform for wound healing applications due to its tunable structure, multifunctional properties, and capacity for bioactive molecule delivery.


Methodology

This systematic review was conducted following the PRISMA guidelines to ensure a transparent and reproducible research process. The objective was to collect, evaluate, and synthesize published studies on the modification and application of chitosan-based hydrogels for wound management, with a focus on their physicochemical properties, biological performance, and functional enhancements.


Literature search strategy

This article reviewed original research and reviewed articles that were published on Scopus and Google Scholar from the year of 2000 to 2025. The literature search was conducted from February to June 2025. The keyword combination to search for those articles was chitosan, wound healing, hydrogel, biofilm, crosslinking, crosslinker, ideal hydrogel, wound dressing, conjugating, antibacterial, biocompatibility, smart hydrogel, and responsive hydrogel. All full articles were written in English, then analyzed in detail to observe that all detailed information about chitosan hydrogel for wound healing from chitosan characteristics, chitosan hydrogel synthesis, molecules conjugated to chitosan hydrogel, chitosan hydrogel biocompatibility, and antibacterial hydrogel. Boolean operators (AND/OR) were used. To refine the search results, filters have been set up that display only peer-reviewed full-text papers written in English.


Inclusive and exclusive criteria

This review article focuses on chitosan-based hydrogels for wound healing. The inclusive criteria are: (1) Articles describing the biology of wound healing stages, wound dressing, and the ideal strategy for wound dressing. (2) Articles describing the synthesis, characterization, and modification of chitosan hydrogels. (3) Articles discussing antibacterial activity, biocompatibility, smart/responsive hydrogel behavior, or drug/bioactive molecule conjugation. Moreover, the following exclusion criteria were applied: (1) Non-English publications. (2) Pre-print article. (3) The article is an open-access thesis from a certain university which was not a part of a research article(s). (4) Articles not available in full text. (5) Studies not involving chitosan or not related to wound healing applications.


Article selection process

Relevant titles and abstracts were then further investigated for their appropriateness with the article topics. For those categorized as appropriate, articles were included in the reviews. The figures used in this study were modified, adapted from other references, and directly used from some journals with citation. After screening Scopus and or Google Scholar and applying inclusive and exclusive criteria, we found that the title related to our study was 417 articles, both research and review articles. After cleaning the references for duplication, there are 311 articles remaining, and reduced to 213 after abstracts eligibility. After screening with inclusive criteria, there are 186 articles employed in this study. However, there are 6 articles added, and 2 articles retrieved in the revision stage. The final version of the article applies 186 articles as references in this study (Figure 1).

Data extraction and analysis

Relevant data were extracted from the selected articles, including: (1) Wound healing process and ideal characteristics of wound dressing. (2) Hydrogel preparation method (physical, chemical, or radiation-induced crosslinking). (3) Properties of the hydrogel (e.g., swelling ratio, porosity, degradation). (4) Functional modifications (e.g., addition of nanoparticles, drugs, or growth factors). (5) Biological evaluations of chitosan hydrogel (e.g., antimicrobial activity, cytocompatibility, in vitro and in vivo studies). (6) Information from the selected studies was synthesized qualitatively to compare trends, highlight innovations, and identify research gaps in the development of tailored chitosan hydrogels for wound care.


Figure visualization

Figures exhibited in this review were either adapted, modified, or directly used from sources with appropriate citation. All visualizations were prepared to illustrate mechanisms, fabrication processes, and performance evaluations of chitosan-based hydrogels. The final figure was the conclusion of all content in this article to summarize all the topics discussed in this article. The drawing figures were prepared in BioRender.

Figure 1 PRISMA methodology for this systematic review.


Biological process of wound healing stages

Wound healing is a dynamic and complex overlapping process in response to tissue damage. When the skin is injured, multiple cell types orchestrate at certain levels to heal the wounded area. These steps include hemostasis, inflammation, angiogenesis, proliferation, re-epithelialization, and re-modelling, which overlap with each other to repair the skin [20,21]. The first response to an injury was blood vessel constriction, which happened within minutes. In this process, platelets are attracted to the wound site to aggregate and form a platelet plug (Figure 2(a)). Platelets degranulate and then release growth factors and cytokines such as epidermal growth factor (EGF), insulin growth factor (IGF), and transforming growth factor (TGF-β) [20,21]. Thus, thrombin is released and catalyzes the coagulation cascade, which starts with fibrin activation to form a network as a prominent extracellular matrix (ECM) to avoid excessive bleeding. Moreover, platelets recruit leukocytes (neutrophils and macrophages) to the wound site and initiate the inflammation stage (Figure 2(b)) [22].

During the inflammation phase, neutrophils and macrophages phagocytose damaged epithelial cells, bacteria, and any debris. In the prompt inflammation stage, the complement cascade is activated and leads to the migration of neutrophil granulocytes to the wound site within 24 to 48 h by some chemoattractant such as TGF-β, complement components, and ECM protein. The secreted growth factors further induce fibroblast migration and proliferation at the wound site. Fibroblasts release an ECM network, mainly collagen, to replace the prominent ECM and continue to proliferate, forming granulation tissue (Figure 2(c)) [21,22]. Afterwards, new blood vessels are regenerated to provide oxygen and nutrition to the newly formed granulation tissue. Thus, epithelial cells shift to the wound edge and then cover the defect to form the basement layer, a process known as epithelialization (Figure 2(d)) [21,22].

In the hemostasis phase, blood vessels constrict, and platelets are activated to form a blood clot, which prevents further bleeding and initiates leukocyte recruitment. This is followed by the inflammatory phase, where neutrophils and macrophages infiltrate to the wound and remove dead cells, bacteria, and debris, while fibroblasts begin to appear and contribute to the healing process. Fibroblasts proliferate and synthesize extracellular matrix components, while angiogenesis occurs to form new blood vessels and support the granulation tissue formation in proliferation phase. Finally, in the remodelling phase, the epidermis regenerates, the scab detaches, and the extracellular matrix is reorganized. Excess capillaries and fibroblasts disappear, leading mature scar tissue formation and restoration of skin structure and function [22].

Figure 2 A schematic representation of wound healing, illustrating its 4 continuous phases. The 4 sequential and intersecting phases of wound healing: (a) hemostasis, (b) inflammation, (c) proliferation, and (d) remodeling. This figure is modified from Tavakoli and Klar [22].


Chitosan

Basic structure

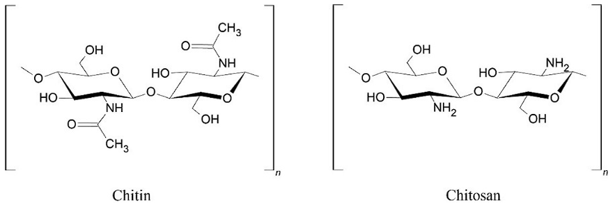
Derived from chitin, chitosan is a linear polysaccharide composed of β-(1→4)-linked D-glucosamine and N-acetyl-D-glucosamine units (Figure 3). The key difference between chitosan and chitin is their degree of acetylation. Chitin has a high degree of acetylation, making it insoluble in aqueous acidic media due to its rigid polymer structure. In contrast, chitosan, with a higher degree of deacetylation, becomes soluble in acidic solutions as its primary amine groups (-NH2) undergo protonation [24,25]. Chitosan contains 3 reactive functional groups: primary amino groups (-NH2), primary hydroxyl groups (-OH) at the C6 position, and secondary hydroxyl groups (-OH) at the C3 position [23,26].


Figure 3 Chemical structure of chitin and chitosan [23].

Degree of deacetylation

Chitosan’s degree of deacetylation (DD) significantly influences its solubility, charge density, and bioactivity. The combination of DD and molecular weight plays a crucial role in determining the polymer’s solubility [24,26]. A greater DD promotes antibacterial efficacy and biocompatibility, boosts positive charge density for better interaction with negatively charged molecules, and increases solubility in acidic conditions because of the availability of free amino groups [27,28]. The following formula is employed to characterize the degree of chitosan deacetylation:



where n(GlcN) is the average number of N-glucosamine units, n(GlcNAc) is the average number of N-acetylglucosamine units, and DD is the degree of deacetylation [17]. Depending on certain parameters and needs, like the type of cells utilized, the desired mechanical qualities of the scaffold, and the intended use, the ideal DD for articular cartilage tissue engineering. Nonetheless, it is generally accepted that a DD range of 50% to 95% is appropriate for articular cartilage tissue engineering [23].

Molecular weight variations

The molecular weight (MW) of chitosan plays a critical role in determining its mechanical strength and biological performance, significantly impacting its overall properties and applications. Based on its spectrum of molecular weights, chitosan is classified as low (50 - 90 kDa), medium (190 - 310 kDa), or high (310 - 375 kDa) [23]. Chitosan, with a low molecular weight has less mechanical strength and viscosity, but it may be more soluble and bioactive, which makes it appropriate for uses like medication distribution. Chitosan exhibits antimicrobial activity against both bacteria and fungi, with its efficacy influenced by molecular weight and degree of deacetylation [29,30]. High molecular weight chitosan, on the other hand, has superior mechanical integrity and viscosity, which makes it more suitable for structural uses such scaffolds and wound dressings [31,32]. Additionally, molecular weight changes as a result of the deacetylation process, which further impact chitosan’s solubility and mechanical properties [31,33]. The chemical modification to enhance its mechanical, solubility, and bioactive properties such as wound healing and antibacterial capacity which further be discussed in this review [16,34-39].


Biocompatibility and biodegradability of chitosan

Cytotoxicity studies on human skin cells

For a biomaterial to be approved, it must be biocompatible, adhere effectively, resemble natural tissue, be bioinert, bacteriostatic, bactericidal, and most importantly, non-toxic to the surrounding cells [15,40]. Chitosan, a biodegradable and biocompatible biopolymer with inherent bactericidal and bacteriostatic properties, has been widely applied in tissue engineering to partially or fully replace tissues by regulating cell growth and releasing bioactive compounds [15,41].

The cytotoxicity of chitosan has been extensively studied in various human cell types, including gingival fibroblasts and human pulp cells, to evaluate its safety and effectiveness in biomedical applications [15,42]. According to the literature, chitosan exhibits dose-dependent cytotoxic effects, with concentrations above 0.19% significantly reducing cell viability [15]. Higher concentrations notably decrease the viability of human gingival fibroblasts, whereas lower amounts maintain cell health and exhibit anti-inflammatory properties.

This dual action suggests that chitosan may help regulate inflammation while promoting cell survival, which is crucial for skin health and wound healing. Therefore, careful concentration control is essential. Additionally, chitosan has shown promise in enhancing the biocompatibility and performance of scaffolds used in tissue engineering when combined with other biomaterials, further expanding its potential in regenerative medicine [15].


Biodegradation rate in physiological conditions

The mechanical properties and degradation rates of chitosan are carefully engineered to align with the intended duration of bone repair, reducing the risk of implant failure and enhancing the programmed release of growth factors and drugs [23,43]. Despite being insoluble in water and organic acids, chitosan readily dissolves in diluted acids with a pH below 6 [43]. Its degradation behavior is influenced by molecular structure while higher molecular weight also corresponds to reduced degradation rates [23,24]. Chitosan breaks down through multiple pathways, including enzymatic digestion by specific and non-specific enzymes, oxidative and reductive depolymerization, nitrous acid depolymerization, acid hydrolysis, and ultrasonic reaction [24,44]. Enzymatic reaction primarily occurs through lysozyme and chitinase, with lysozyme playing a crucial role in breaking down acetylated chitosan in human saliva, serum, and tears [45,46]. Chitosan is primarily broken down by lysozyme, acidic conditions, digestive enzymes, and the microbial flora of the colon in the human body [43,47]. In addition to enzymatic degradation, chitosan is highly susceptible to thermal cleavage. It cannot withstand temperatures above 200 - 220 °C. Thermal analysis reveals that chitosan degradation follows 2 distinct stages: An initial weight loss beginning at 220 °C, continuing until 320 °C, where 50% of its mass is lost, as measured by derivative thermal analysis equipment [48-50].


Antimicrobial and hemostatic properties

Antibacterial mechanism

Chitosan demonstrates significant potential in antibacterial applications due to its intrinsic antimicrobial properties, acting through multiple mechanisms [51,52]. These include the formation of thick coatings on microbial surfaces, disruption of the cell wall or membrane, interaction with microbial DNA, and nutrient chelation, all of which contribute to its bacteriostatic and bactericidal effects [51,52].

Chitosan’s amine groups are protonated in acidic conditions, leading to positively charged ammonium groups that engage in electrostatic interactions with the negatively charged surfaces of microbes. This interaction alters cell permeability, leading to membrane lysis and eventual cell death [52]. The dominant theory suggests that the positively charged amine groups (NH3+) in glucosamine engage with negatively charged bacterial surfaces, triggering the release of intracellular components and disrupting microbial integrity [53]. A similar process occurs in fungal and viral envelopes, as they also possess negatively charged components that interact with chitosan.

Chitosan’s chelating ability further amplifies its antibacterial properties by sequestering essential metal ions and nutrients necessary for bacterial survival. Due to its strong metal-binding capabilities, the amino groups of chitosan interact with divalent metal ions such as Ca2+ and Mg2+, inhibiting toxin synthesis and bacterial proliferation [51,53]. Additionally, chitosan adheres to microbial surfaces and forms a protective film, effectively preventing bacterial growth and colonization. This multi-faceted antimicrobial mechanism highlights chitosan’s versatility and effectiveness in controlling microbial infections [52,54].

Spectrum of antimicrobial activity

Chitosan demonstrates varied inhibitory efficacy against a wide range of bacteria and fungi. Chitosan’s antimicrobial mechanism is categorized as intracellular or extracellular, depending on where it acts within the cell of the bacteria. The intracellular effect arises when chitosan penetrates bacterial cells and binds to their DNA, altering transcription, translation, and mitochondrial activity. The extracellular effect is defined by chitosan’s capacity to adhere to the bacterial cell wall’s outer surface, resulting in a polymer membrane that blocks nutrient transport into the bacteria. This binding causes the leaking of intracellular contents, which eventually kills the bacteria [55].

The mechanism of antibacterial properties is an intricate process that varies between Gram-positive and Gram-negative bacteria due to variations in cell structure [52,53]. Gram-positive bacteria have thicker peptidoglycan layers than gram-negative bacteria, which have greater amounts of lipopolysaccharide (LPS) [56,57]. The cell wall of Gram-positive (G+) bacteria contains teichoic acids, which contribute to the overall negative surface charge. In contrast, Gram-negative (G) bacteria exhibit a negatively charged surface primarily due to the presence of lipopolysaccharides in their outer membrane [51]. Teichoic acids in Gram-positive bacteria carry a negative charge, primarily due to the phosphate groups within their structure [53]. Interestingly, the inhibition of teichoic acid biosynthesis in Staphylococcus aureus has been shown to increase resistance to chitosan. This finding implies that chitosan’s antibacterial mechanism involves more complex interactions beyond simple electrostatic attraction [52].

Furthermore, chitosan demonstrates strong antifungal properties, effective against a wide spectrum of fungal infections in both plants and humans. This action is mostly due to its ability to interact with and damage the integrity of the fungal cell wall and membrane [52,58-61]. However, the minimum inhibitory concentrations (MICs) of chitosan against fungal pathogens differ widely, depending on several key factors such as its degree of deacetylation (DD), molecular weight (MW), the particular fungal species being targeted the pH of the solvent used [61-63]. Beyond its antifungal action on the extracellular, low-MW chitosan capable of infiltrating the fungal cell wall and outer membrane, disrupting essential cellular processes. This interference leads to the impeding of DNA replication, DNA transcription, and translation, ultimately suppressing fungal growth and viability [53,57,64,65].

Electrostatic interaction takes place between the positively charged chitosan and the negatively charged surfaces of microorganisms. Since negative charges primarily found in lipopolysaccharides (LPS) in Gram-negative bacteria, while in Gram-positive bacteria, they are mainly associated with teichoic acids, also the phosphorylated mannosyl in fungi, chitosan effectively kills all of them. Additionally, the nutrients and ambient ions needed for bacterial viability are chelated by chitosan. When low-molecular-weight (MW) chitosan and oligo-chitosan enter the cytoplasm through the cell wall and membrane, they may have an impact on the production of proteins or DNA/RNA. Moreover, oligo-chitosan and low-MW chitosan suppress ATP synthesis and mitochondrial activity in fungi (Figure 4).



Figure 4 Antibacterial mechanisms of chitosan against (a) Gram-positive bacteria, (b) Gram-negative bacteria, and (c) fungi. The figure is modified from Ke et al. [52] using BioRender.


Hemostatic mechanism

The hemostatic process of chitosan is driven by its ability to interact with red blood cells and platelets, leading to cross-linking that forms a mucoadhesive physical barrier at the bleeding site [66,67]. This hemostatic effect is achieved through multiple mechanisms working in conjunction [67-69]. One key mechanism involves electrostatic interactions between erythrocytes and chitosan, where the positively charged glucosamine groups of chitosan bind to the negatively charged surface of red blood cells. This interaction induces agglutination, thereby facilitating coagulation [67,70,71].

The binding between chitosan and red blood cells is further influenced by chitosan’s molecular weight and degree of entanglement, which is attributed to specific intermolecular hydrogen bonding and electrostatic repulsion among polyelectrolyte chains [70,72]. Another significant mechanism involves the formation of a blood protein-membrane barrier at the place of hemorrhage. This barrier is established through covalent and hydrogen bonding, as well as chitosan and plasma proteins display reversible hydrophobic interactions, a process known as interpolymer complexation [73,74]. Unlike standard blood coagulation, this mechanism leads to initiation of independent coagulation, making it particularly suitable for individuals with coagulopathies [75,76].


Comparison with traditional wound-dressing

Conventional wound covers, such as gauzes and cotton-based composites, are mainly applied in the initial phase of wound care to facilitate hemostasis and to cleanse and dry wounds. While bandages and gauze are extremely absorbing and helpful in controlling dry to mildly exudating wounds, they must be changed frequently, which results in pain and discomfort once replaced. Additionally, they offer poor adhesion and inadequate wound drainage, limiting their overall effectiveness [77,78].

Although these dressings are cost-effective, they have several drawbacks, including low gas permeability and potential damage to newly formed epithelial tissue. Their fibers are able to adhere to granulation tissue, leading to pain during dressing changes, disruption of new tissue formation, and delayed healing [8,79].

Due to these limitations, traditional dressings have increasingly been replaced by advanced alternatives that provide better wound drainage, enhanced permeability, and superior healing support. Modern dressings promote the development of granulation tissue and aid the migration of epithelial cells from the wound’s periphery to the center, accelerating the healing process [78,80].

Among modern wound dressings, hydrogels are particularly effective due to their ability to copy the tissue’s native ECM. Owing to their soft texture and high-water content, they may preserve moist wounds, which is essential for the best potential healing [81]. Hydrogels offer excellent biocompatibility and anti-inflammatory properties while enhancing immune responses with minimal toxicity or allergenicity. Their ability to adhere to tissue creates a stable protective barrier while facilitating interactions with wound exudates and surrounding tissues [82-84]. Furthermore, hydrogels support essential healing mechanisms, including migration, adhesion, and proliferation of fibroblasts. They accelerate the healing process by promoting autolysis, which helps clear necrotic and granulation tissue, while also facilitating the transport of oxygen and nutrients necessary for tissue regeneration [82,84-86]. However, their high-water content creates an environment conducive to microbial colonization, posing a risk of infection.

The materials exhibiting ideal characteristics for hydrogel wound dressing are natural polymers, including dextran, agarose, hyaluronic acid, collagen, alginate, gelatin, cellulose, starch, chitosan, and xanthan [86]. Specific polymer combinations, such as chitosan with gelatin, have been shown to enhance hydrogel stability and resistance to enzymatic degradation, making them particularly advantageous for wound healing applications [82,85]. These innovative materials continue to advance wound care by providing a more effective alternative to traditional dressings, offering both antimicrobial and healing-promoting properties.


Chitosan-based hydrogels

Water absorption and swelling behaviour

Hydrogels consist of 3-dimensional polymeric networks formed by cross-linked polymers, either uniform or varied in composition, that are highly capable of absorbing and retaining substantial amounts of water [87,88]. The hydrogel’s characteristic to absorb water is largely due to the presence of hydrophilic functional groups, such as hydroxyl (-OH), amine (-NH2), amide (-CONH-, -CONH2), and sulfate (-SO3H), which promote water absorption and contribute to forming a 3-dimensional network structure [47,88]. The degree of swelling of hydrogels is determined by the polymer’s hydrophilic density and influenced by surrounding factors, including temperature, pH, chemicals, light, pressure, and electric charge [89,90].

Chitosan’s cationic nature, attributed to its amine groups, allows it to engage with mucosal glycoproteins that are negatively charged, making it an effective bioadhesive material [47]. As a bioadhesive polymer, chitosan enhances the residence time of drug-loaded systems, facilitating localized drug delivery. Additionally, it mediates paracellular drug transport, significantly impacting drug delivery efficiency [91-93]. With its biocompatibility, biodegradability, and structural versatility, chitosan is a promising drug carrier for various routes of administration. The following sections explore key chitosan-based drug delivery strategies [43,47].


Oxygen permeability

In wound healing stages like skin cell division, granulation, re-epithelialization, angiogenesis, and tissue regeneration, oxygen plays a crucial role [94,95]. Oxygenation techniques that successfully raise oxygen levels at the wound site are advantageous for improving wound healing. Numerous cellular functions, such as the synthesis of collagen, skin tissue regeneration, stimulation and migration of immune cells, and the formation of new blood vessels, are supported and maintained by an adequate oxygen supply. These processes are all fundamental for wound healing [95,96].

When the level of oxygen in tissues falls to 1% - 2%, it is recognized as hypoxia, or oxygen deficiency, and it triggers cellular damage and impaired function. Due to disturbed blood circulation and elevated oxygen need from inflammatory cells related in the healing process, the wound site is hypoxic during the early phases of wound healing [95,97]. These cells are found in low-oxygen environments and serve as vital factors for the granulation and proliferation of skin cells during tissue regeneration [94].


Synthesis and crosslinking strategies

Chitosan hydrogel may be synthesized through a physical or chemical crosslinking method [98]. Physical methods consist of electrostatic interaction, metal ion coordination, and hydrophobic interaction. The reaction in this method is reversible compared to the physical method. The chemical method consists of the application of a crosslinking agent, resulting in permanent interaction by the covalent bond [99].

Chitosan-based hydrogels exhibited excellent properties to promote wound healing. Chitosan has excellent biocompatibility, biodegradability, and antimicrobial activity. Furthermore, it has been demonstrated that chitosan promotes homeostatic activity [100]. Chitosan also stimulates fibroblast proliferation and collagen synthesis, resulting in accelerated wound healing. As a hydrogel, chitosan has the capacity to absorb exudate from wounds and retain a moist environment to accommodate tissue regeneration [101]. Moreover, hydrogels have good flexibility, thus conforming to the wound shape and producing a protective barrier [102].


Electrostatic interaction

Electrostatic crosslinking occurs when anionic and cationic polyelectrolytes interact. Chitosan’s amine group act as a cationic molecule, bonding with an anionic molecule shown in Figure 5 [103]. As such, there are many possible anionic molecules to be interrogated into chitosan hydrogels.


Figure 5 Hydrophobic interaction and electrostatic interaction of chitosan [103].


A hydrogel consisting of gluten/ sodium lauryl sulfate (SDS)/chitosan (Figure 5) showed a change in zeta potential, the absolute potential difference value increase in pH 3.0 - 9.0 indicating an electrostatic repulsion and increase in pH 9.0 - 12.0 indicating electrostatic attraction between chitosan and SDS [103]. Within the synthesis, no harsh chemicals or extreme temperatures are required, making them ideal for sensitive biomolecules such as proteins, DNA, or cells [104,105]. Additionally, the protonation of chitosan also gives pH-responsive behavior such as swelling at a certain change of pH. Therefore, the hydrogel is applied to deliver the targeted drug in pH-sensitive environment like acidic pH of the stomach or basic pH of the intestines [106]. The positive charged chitosan also could interact with negatively charged molecules, such as cell membranes, tissues, negatively charged drugs, or biomolecules such as DNA and protein [104,105,107].


Hydrophobic interaction

Hydrophobic interactions occur as attractive forces between non-polar groups, causing these groups to aggregate into larger molecules within a solution and form a crosslinking network. To leverage this method, chitosan must be integrated with hydrophobic groups like alkyl chains or aromatic rings, or with hydrophobic polymers. The hydrophobic groups will cluster together to evade water, while the hydrophilic groups will remain on the surface, interacting with the water [99,108,109]. Hydrophobic interactions represent non-covalent bonds that may be reversed, enabling the development of stimuli-responsive behaviors in hydrogels. Additionally, hydrophobic groups have been shown to enhance the elasticity of the hydrogel to promote cell adhesion and growth. Importantly, this interaction avoids cytotoxicity, making it suitable for biomedical applications [110].


Metal ion coordination

Metal ion coordination utilizes chitosan as a ligand to bind various metal ions (e.g., Zn2+, Fe2+ and Cu+). Chitosan’s amino and hydroxyl groups are able to bind covalently with metal ions through the lone electron pairs on nitrogen and oxygen [111,112]. This coordination enhances mechanical properties and introduces new functional characteristics. Previous study has developed carboxymethyl chitosan (CMCS) and glycyrrhizic acid (GA) hydrogels (GA-CMCS-based hydrogel) that exhibit antibacterial activity by using Fe2+ and excellent quality of self-healing, swelling, and water retention [113]. While commonly used metals like Zn2+ are biocompatible (Figure 6), other metals like Cu2+ and Ag+ become toxic in high concentrations [114,115].

Figure 6 Polymerization and metal coordination between chitosan and Zn2+ [111].


Crosslinking agent

This method utilizes chemicals to interact with the amino and hydroxyl groups in chitosan and form a hydrogel with a gel structure that is more rigid and stable [116]. The most common crosslinker agents are glutaraldehyde, genipin, tripolyphosphate (TPP), dialdehydes (e.g., glyoxal), and derivatives of polyethylene glycol (PEG) [116-120]. Emani et al. Chitosan hydrogel synthesis using 1,3,5-benzene tricarboxylic acid (BTC) as a crosslinkera enhances the rheological properties of chitosan using [121]. The resulting hydrogel has good stability, exhibited by high storage modulus (G’ values) that imply a strong cross-linking, also confirming the elastic behavior. Tannic acid has been previously investigated by complexing with the hydrogen bond between the oxygen on the hydroxyl group of chitosan with tannic acid. Moreover, glyoxal added to form covalent bond between chitosan molecules in chitosan hydrogel (Figure 7) [119].


Figure 7 The cross-linking mechanism between chitosan and glyoxal [119].



Radiation

The radiation method employs free radicals to create a crosslinking network. Previous study applied this method to engineer carboxymethyl chitosan (CMCS) hydrogels through recombination of CMCS’s side methyl groups [101]. However, this results in a partial crosslinking network. In order to strengthen the hydrogel with controlled swelling, poly(ethylene glycol) diacrylate (PEGDA) is added. The double bond of PEGDA reacts with CMC macroradicals, creating an intramolecular bond. Another benefit of the radiation method is sterilisation of the materials.


Fabrication methods of chitosan-based films and membranes

Solvent casting

Solvent casting methods create a film by dissolving the chitosan into a solution, then pouring it into a mold. Afterwards, the solution needs to be dried to remove the solvent. As the solvent dries up, the chitosan network film is formed and can be peeled off (Figure 8). This method ensures that the chitosan biocompatibility is still intact and avoids thermal degradation. Moreover, the method doesn’t require harsh chemicals and is simple in its equipment as the mold commercially available in the market [31,122].


Figure 8 Schematic illustration of solvent casting method. This figure was adapted from Masi et al. [122] using BioRender.


Electrospinning

Electrospinning is a method to create fibrous material using a high electrostatic voltage field from a charged polymer solution. Initially, an electric force is created between the needle of the Taylor’s cone and the collecting plate. Then, the solution is put into the syringe then spun to create Taylor’s cone at the needle part (Figure 9). A charged droplet from Taylor’s cone is ejected from the tip and put in the collecting plate [40]


Figure 9 Schematic illustration of electro-spinning method. This figure was adapted from Chen et al. [40] using BioRender.


Freeze-drying

The freeze-drying method involves preparation steps, freezing, and drying. The process of freeze-drying consists of 3 steps, which are freezing, primary drying, and secondary drying [123]. The freezing step causes the solution to cool until there is a nucleation of ice and forming of ice crystals. The frozen water is then removed in the primary drying step using optimal temperature and pressure. Another drying step, or the secondary drying step, is added to remove residual water in products with amorphous characteristics. This process is applicable to porous hydrogel fabrication, illustrated by Figure 10


Figure 10 Schematic illustration of hydrogel fabrication using lyophilization process. This figure was created using BioRender.


This method is applied to synthesize porous chitosan hydrogel beads [124]. The chitosan hydrogel bead was frozen. In frozen temperatures below the point of water crystallization, chitosan molecules fill in the space of the ice crystal. Afterward, the chitosan hydrogel bead dried up and caused sublimation of the ice crystal. This created a sponge-like structure with large pores such as utilize the same concept of freeze-drying to create a 3D porous film of chitosan/pectin/ZnO nanoparticles (NPs) [18].


Chitosan functionalization for enhanced wound healing

Chemical modification for improved bioactivity

Chitosan biofilm retains the characteristics of chitosan, such as biocompatible, biodegradability, supporting cell regeneration, and antimicrobial activity [40]. Chitosan biofilm has enhanced mechanical strength, such as good tensile strength and elongation at break [18]. However, it has limited moisture retention. Therefore, chitosan biofilm is more suitable for dry or minimally exuding wounds [125].

Chitosan has been utilized extensively in biomedical research. The chemical modification of chitosan is possible due to the presence of hydroxyl and amino groups within its structure, which exhibit chemical activity (Figure 11). This property allows for the enhancement of the physical and chemical properties of chitosan through chemical modification. The chemical reaction has been shown to enhance the properties of chitosan while maintaining its sustainability.


Figure 11 Molecular structure of chitosan and its functional groups; Pink: Primary hydroxyl group; Yellow: Secondary hydroxyl group; Blue: Primary amine group; Green: acetamide group. This figure was adapted from Ojeda-Hernández et al. [126].


The chemical modifications of chitosan may be implemented in the functional groups of chitosan, such as the primary hydroxyl group (Figure 11), which is usually conjugated with melatonin [127] and TiO2 [128] The secondary hydroxyl group is usually conjugated with Ag+ [129], Zn2+ [130], and TiO2 [128]. In addition, the amino group of chitosan (Figure 11) is typically conjugated with various substances, including curcumin [131], gentamicin [132], simvastatin [133], Ag+ [129], Zn2+ [130], TiO2 [128], and has also been observed with growth factors [134].


Incorporation of bioactive agents

Growth factors

Growth factors were secreted by fibroblasts, inflammatory cells, endothelial cells, epithelial cells, and platelets, which are synthesized peptides. Growth factors that are frequently used for wound healing are EGF, FGF, TGF-β, PDGF, and VEGF. Growth factors were divided into several families based on their characteristics [135]. Hydrogels are frequently incorporated with growth factors or cytokines to enhance wound healing effectiveness [136]. The growth factors or cytokines that were added to the hydrogels include:


Epidermal Growth Factor (EGF)

EGF is a protein that may stimulate the synthesis of extracellular matrix (ECM), granulation tissue, and the growth and motility of fibroblasts and keratinocytes. However, EGF’s loading capacity in a hydrogel is extremely limited [136]. It has been developed that incorporating EGF accelerates fibroblast migration, which in turn encourages the proliferation phase. In the initial phases of wound healing, EGF expression increases [137]. According to preliminary investigations, encapsulated epidermal growth factor (EGF) in nanocomposites could boost angiogenesis, which might render wound healing more efficient.

Additionally, the in vitro study proved that incorporating EGF into hydrogels promoted the best possible proliferation of L929 fibroblast cells. In particular, hydrogels containing EGF were compared to samples that did not contain it to treat skin wounds. These compositions were found to be promising substitutes for the development of medicine and the study of wound healing [138].


Fibroblast Growth Factor (FGF)

It has been demonstrated that fibroblast growth factors (FGFs) enhance the proliferation and migration of most cell types implicated in the process of wound healing. These cell types encompass such entities as capillary, vascular, and fibroblast cells, as well as keratinocytes and epithelial cells. This stimulation occurs within experimental settings in vitro, in addition to in vivo settings. In experimental models, FGF-2, known as FGF, has been revealed to induce a series of biological responses, including epithelialization, neovascularization, collagen synthesis, and granulation tissue formation [139]. Also, FGF stimulates vascularization through the activation of capillary endothelial cells and fibroblasts.

Incorporating FGF into chitosan-based hydrogels was a critical step in ensuring the controlled release of FGF at the wound site and maintaining its stability there. A series of studies have indicated that the incorporation of fibroblast growth factors (FGFs) and basic fibroblast growth factors (bFGFs) into chitosan-based hydrogels effectively enhances the healing of chronic wounds [135].


Vascular Endothelial Growth Factor (VEGF)

Vascular endothelial growth factor (VEGF) is secreted by many different kinds of cells, including platelets, macrophages, fibroblasts, and keratinocytes, during the wound-healing process. The process of wound angiogenesis, or the development of new blood vessels in the wound area, depends heavily on this growth hormone. It has been established that VEGF acts on endothelial cells, promoting vascular growth and aiding in the healing process.

Vascular permeability, basement membrane degradation, endothelial migration, and vascular cell proliferation within the wound bed have all been demonstrated to be accelerated by VEGF. It has been shown that providing exogenous growth factors accelerates up the healing process of wounds. However, these aspects need to be used locally consistently for this intervention to be successful. The short half-life of growth factors, their quick dilution in the body, and the occurrence of unfavorable effects at high systemic levels are the reasons for this requirement [139].


Antibacterial agents

Bacterial inhibitors are mostly used in hydrogels to promote their antimicrobial capability, while in the hydrogel materials presence chitosan which inherently possess bacteriostatic properties [136]. One of the most frequently used in hydrogels is Ag+. Ag+ is a potent antimicrobial agent and has been used on various antimicroorganisms, including bacteria, viruses, and fungi. Ag+ has bacteriostatic activity [136]. Besides that, Ag+ has been demonstrated to possess bactericidal properties. However, its effectiveness is subject to bacterial type, with Gram-negative bacteria displaying a greater response to Ag+ at equivalent doses when compared with Gram-positive bacteria. Ag+ has a multi-targeted mechanism of action within the bacterial cell, which is typically divided into 2 stages, one occurring externally and the other occurring internally. The initial phase entails the immobilization of Ag+ on the bacterial membrane’s surface, is to facilitate binding to the membranes of bacterial proteins, thereby inducing damage to the bacterial cell wall. The result of this interaction facilitates the leakage of potassium ions from the bacterial cell, leading to its demise.

Another antibacterial agent is gentamicin sulphate, a broad-spectrum aminoglycoside antibiotic which works by inhibiting bacterial protein synthesis through electrostatic binding [85]. Specifically, gentamicin has been observed to promote healing in purulent wounds infected with Escherichia coli and Staphylococcus aureus. There is also a synergy exhibited between gentamicin sulphate and chitosan that is crosslinked by quaternary ammonium salt. This effect is demonstrated by the increase of antibacterial activities in the cross-linked chitosan quaternary ammonium salt (CTMCSG) hydrogel films, which suggests that these films have potential use as antibacterial wound dressing. Another study by Yan and colleagues [140] has shown a good response for repairing skin scald using chitosan-gentamicin hydrogels. The hydrogels have an improved healing rate compared to wet burn ointment. It also has higher collagen fiber content than the blank group. These studies indicated a high degree of promise for chitosan-gentamicin combination as a research material in the medical field.


Hormones

Other antioxidant molecules such as endogenous hormone melatonin (MLT; 5-methoxy-N-acetyl-tryptamine) which is a powerful antioxidant used for treating skin burns and improving the proliferation and differentiation of skin cells [141]. MLT also increases antioxidative enzyme activity. This enhances the first line of defense against oxidative damage to cells by increasing the endogenous antioxidant defense capacity and inducing upregulation of gene expression. Because of these properties, it has been proposed as a potential treatment for wound healing, being more effective than vitamins C and E. Aside from the anti-inflammatory effect, it also has some benefits over other antioxidants, such as being endogenous and being able to enter cells etc.


Drug molecules

Drug-loaded hydrogels hold considerable promise in bioengineering research with tunability of the chemical structure of hydrogels allows a wide variety of encapsulated pharmaceutical products, including antibiotics, anticancer drugs, and macromolecular drugs with adjustable release properties [142]. Here is a drug that is loaded in hydrogels such as:


Simvastatin

Simvastatin is a pharmaceutical agent employed in the treatment of dyslipidemia. It functions by acting as a competitive inhibitor of HMG-CoA reductase, the enzyme responsible for the conversion of HMG-CoA to mevalonate. Reports indicate that simvastatin enhanced VEGF production, thereby stimulating angiogenesis. Simvastatin has also been reported to stimulate microvascular function, impede oxidative stress, and enhance endothelial function, thus enhancing wound healing effectiveness. The substance has been demonstrated to manifest anti-inflammatory properties, manifesting in 2 distinct forms of wounds, acute and chronic. This phenomenon is achieved through the upregulation of pro-inflammatory cytokines such as IL-1, IL-6, and IL-8, as well as TNFα. The substance has also been shown to inhibit the migration of transendothelial cells, including leukocytes. This effect occurs by reducing the expression of adhesion molecules, such as intercellular adhesion molecule ICAM-1, thereby leading to a reduction in inflammation [143].


Curcumin

Curcumin has several pharmaceutical activities, including anti-inflammatory, antibacterial, antifungal, antiviral, antioxidant, and anticancer [144-148]. Curcumin’s antioxidant, anti-infectious, antibacterial, anti-inflammatory, and analgesic activities have been attributed to its contribution in wound healing. It is effective in modulating the inflammation and proliferation phases in the healing process, while also inducing and promoting angiogenesis [147]. Curcumin has also been shown to significantly protect keratinocytes and dermal fibroblasts of humans from hydrogen peroxide damage [149-151].

Another reported mechanism of curcumin’s activity is by decreasing the level of lipid peroxides (LPs) and increasing the activity of catalase and glutathione peroxidase (GPx), which are responsible in accelerating the rate of wound healing. Its mechanism behind the antioxidant activity is electron transfer or hydrogen atom donation from 2 methoxyphenol groups. The various functional groups of curcumin, such as diketone, are also responsible for its antioxidant activity by an electron transfer mechanism. The diketone serves as a functional group that makes curcumin bind to metals. The phenolic hydroxyl groups contained in curcumin are the responsible functional group behind curcumin’s ROS-scavenging ability [150,151].


Stimuli-responsive chitosan material

pH responsive

These hydrogels, which exhibit sensitivity to pH, are frequently employed in targeted and controlled drug delivery across a range of pH values, considering the varying pH levels present within the human body’s internal bodily fluids and organs [152]. pH-responsive polymers are polyelectrolytes that have weak acidic or basic groups in their structure that accept or release protons in response to a change in the environmental pH. pH-responsive polymers, polymers that have acid or basic groups like carboxyl, pyridine, sulfonic, phosphate, and tertiary amines, which undergo ionization of the groups with pH change, resulting in a change in the structure (Table 1) [153].

Typically, normal skin has a pH below 5, however, when the skin surface is damaged, the underlying tissue becomes exposed, which has a pH of 7.4. Chitosan is one of the pH-responsive natural polymers that are suitable for chemical modifications and provide better materials for drug delivery systems. The strategy for pH-responsive polymers is grafting onto the polysaccharide backbone. Chitosan, which has a pH of approximately 6.5, exhibits responsiveness to these changes in environmental pH. When the chitosan hydrogel is applied to the wound, in the initial phases of wound healing, chitosan hydrogels induce expansion of the hydrogels within the acidic environment of the wound, thereby promoting cellular infiltration, proliferation, and oxygen permeation. This hydrogel demonstrates promise in facilitating the release of anti-inflammatory agents during the primary phase of wound healing (Tabel 1) [153,154].

In addition, to influence the solubility of chitosan, pH also affects the electrical charges of the chitosan molecules [155,156]. This property allows the chitosan molecules to bind via electrostatic interactions. pH-responsive hydrogels are divided into:

Anionic hydrogels

Anionic hydrogels contain carboxylic acid or sulfonic acid chains with negative electric charges, and cationic hydrogels contain amine chains. When the surrounding medium is higher than its pKa, the ionized structure increases the electrostatic repulsion between the chains and the hydrophilicity of the hydrogel’s network (a network of water-attracting parts of the gel). Under these conditions, the hydrogel will be able to absorb a large amount of water and will form a very loose structure.

Cationic hydrogels  

In cationic hydrogels, the amino group changes from NH2 to NH3+ because the electrostatic repulsion is enhanced when the pH is lower than pKb, thus increasing the hydrophilicity and swelling rate. Chitosan exhibits low solubility in organic solvents and water at its physiological pH, thereby limiting its applications. However, due to its high abundance, biocompatibility, and antibacterial activity, the use of chitosan to make chitosan in biomedical applications is particularly advantageous. The presence of a wide range of functional groups on the backbone of the chitosan renders it suitable for modification to suit a variety of needs and applications. The protonation of the high-density amino groups (-NH3+) of the chitosan molecules results in the conversion of the quaternary form, thereby imparting a positive charge to the polymer. This, in turn, increases the intermolecular electric repulsion, resulting in a polycationic macromolecule. The protonation of the high-density amino groups (-NH3+) of the chitosan molecules results in the conversion of the quaternary form, thereby imparting a positive charge to the polymer. This, in turn, increases the intermolecular electric repulsion, resulting in a polycationic macromolecule. Chitosan displays polycationic characteristics under acidic conditions, with an optimal pH range below 6. These characteristics facilitate solubility in water. Conversely, as the pH declines, there is a concurrent enhancement in the degree of adsorption of chitosan on bacterial surfaces. This is an essential requirement for interacting with negatively charged substances, including proteins, fatty acids, and phospholipids, that are some components of the bacterial cell [157,158].


Temperature responsive

Hydrogels exhibit a temperature-dependent phase transition, known as the sol-gel transition, at physiological temperatures [156,158]. This phenomenon is characterized by the presence of a UCST (upper critical solution temperature) and LCST (lower critical solution temperature) that offers significant advantages, such as enhancing the efficiency of drug mixtures and facilitating the targeted delivery. In the present study, stem cells, growth factors, pharmaceuticals, and peptides are to be mixed homogeneously with the polymer solution in a liquid phase. In the following step, the mixture is administered to the wound via injection or spray. The blend undergoes a phase transition to a gelatinous state in response to fluctuations in temperature, thereby facilitating a regulated release and the process of wound repair. Chitosan is converted into a temperature-sensitive material using thermo-reversible chemical agents, such as N-isopropyl acrylamide (NIPAAm), via a grafting method. NIPAAm is hydrophilic below its LCST of 32 °C and hydrophobic above it. This is due to hydrophobic interactions and collapsing hydrogen bonds between NIPAAm functional groups and water molecules (Table 1).

Thermosensitive hydrogels have been demonstrated to change in size in response to alterations in temperature. While research on the critical temperature has demonstrated that hydrogels show transition between phases or volumes when the temperature changes, the design of hydrogels is predominantly informed by the lower critical solution temperature (LCST). It has been established that when the ambient temperature exceeds the LCST, the strength of the hydrophobic interaction between the non-polar groups in the hydrogel polymer chain increases, which leads to a reduction in the size of the polymer chain and increase in the density of the polymer matrix. Nevertheless, in circumstances where the ambient temperature is lower than the LCST, the strength of a hydrophobic interaction between the hydrogel polymer chains is observed. This interaction leads to a weakening of the interaction. The result of this weakening is an expansion in network structure, which creates a more open structure [145]. As mentioned above, NIPAAm as a thermo-reversible chemical agent, undergo chemical modification to modify its LCST. Chitosan is able to shrink and release the bioactive substance into the surrounding environment at the hydrophobic state [158].

It is suggested that the thermo-sensitive hydrogels have the potential to be utilized as an alternative to conventional wound dressings. Thermosensitive chitosan-based hydrogels show potential as therapeutic drug delivery systems to promote skin tissue repair and regeneration of the skin, and engineered as micro nanoparticles, self-assembled micelles, and in situ hydrogels as a platform. In vivo delivery of drug-structures is facilitated through these systems as a platform. This method ensures the controlled and sustained release of loaded drugs. Additionally, their injectability affords superior adaptability to a range of irregular skin wounds, thereby enhancing their efficacy in addressing diverse clinical presentations (Table 1) [154,158].


Enzyme responsive

Enzyme reaction systems have been shown to possess excellent sensitivity and distinct selectivity in tissues or cells in vivo when compared with other stimulation systems. In optimum conditions, the enzyme system may be more effective than other conventional stimuli (e.g., pH, temperature, and light) [155].

According to Chandrawati [159], to successfully obtain enzyme-responsive materials, 3 fundamental principles are required, there are: (1) The materials must have been recognized by the enzymes. This is achieved as long as the materials contain recognized elements or are able to mimic the original substrate. (2) Substrates anchored in material must be accessible to enzymes. This factor significantly influences the rate of enzyme-catalyzed reactions. (3) Enzyme-substrate reactions must be converted to alterations in material properties. This intends to compromise the internal factors of material, such as the degradation or transformation in morphology properties of biomaterials. (4) The benefit of enzyme-responsive stimuli is the excellent sensitivity and distinct selectivity in tissue or cells with overexpressed enzyme. The enzyme has the capacity to transform the synthesized amphiphilic biocarriers into non-synthetic structures, allowing for the subsequent disassembly of these structures, and then the drug is released.

For example, enzyme-sensitive chitosan removes the time-consuming requirement in wound infection tests, because it is due to its ability to detect the presence of enzymes in wound infections in real time. Therefore, releasing the drug immediately upon the onset of bacterial infection. Besides that, enzymatic hydrogels are primarily used in drug delivery to the colon. The major advantage of using enzyme-reactive hydrogels is their ability to reduce proteolytic activity in the colon compared to the small intestine. The development of enzyme-responsive hydrogel nanoparticles, magnetic hydrogels, drug-responsive hydrogels, and hydrogels for dual protein delivery is among the smart hydrogel delivery systems. So, it was important to further develop the enzyme-responsive chitosan hydrogels as a potential mechanism in smart wound dressing (Table 1) [155,158].


Light responsive

Light-responsive hydrogels were once a tempting option for drug delivery because of their abilities to provide a non-invasive, controlled, remote, and instant delivery method [160]. Light-responsive hydrogels exhibit structural and conformational changes in response to light irradiation [161]. According to Tian and Liu [155], the development of light-responsive hydrogels involves the utilization of photonic waves that have an appropriate wavelength and an adequate intensity. Some examples of typical light sources employed in such applications are near-infrared (NIR), visible light (Vis), and ultraviolet light (UV) (Table 1).

Photo-responsive hydrogels are a class of materials that demonstrate the capacity to undergo changes in their properties when exposed to light. To modify the hydrogel into photo-responsive is achieved through 3 mechanisms. In the initial stage, the hydrogel was modified with photosensitive functional [155]. The photosensitive functional groups, known as photosensitizers, are applied for developing stimuli-responsive systems in hydrogels. These photosensitizers link their functional groups to chitosan physically or chemically. But the photosensitizers have a toxic characteristic, so the photosensitizers have been limited to application in clinical stages [158]. After the photosensitive functional groups are incorporated into chitosan hydrogel, the hydrogel absorbs selective energy photons then the response is induced by the phase transition. The most common response is light responsive (Table 1) [155].

The second mechanism, hydrogel catalyzed by the photoactive molecules to produce ions, which subsequently interface within the hydrogel structure, affecting a modification in osmotic pressure, and leading to hydrogel expansion. After this second mechanism, the photoactive compound contained within the hydrogel exhibited the capacity to modify the hydrogel’s characteristics, employing photon energy absorption in response to alterations in the environment. The hydrogel structure is characterized by the presence of macromolecular pores, which facilitate high permeability for nutrients, oxygen, and cellular [155]. The light-responsive has some potential advantages, most notably including smart drug-delivery systems, simultaneous cancer imaging, and efficient tumor growth inhibition [162].

Hydrogel physical properties are modified through various methods, altering the soft tissue’s mechanical properties in the process. The application of photo-stimuli is possible via direct delivery, then the delivery of light stimuli is metered with a high degree of precision. This suggests that photo-responsive hydrogels might offer significant therapeutic benefits over the available products [155]. Nanocarriers for the light-responsive materials have been applied for drug release include photo-induced-thermal effect, photo-isomerization, or photo-cleavage of chemical bonds in the nanocarriers matrix [162]. One example, the capacity of sol-gel stimuli to be delivered in real-time, emphasizes the significance of photo responsive hydrogels in various applications, like ophthalmic drug (Table 1) [155,162].

There are some light sources that are commonly used for light-responsive hydrogels are:

(1) Ultraviolet (UV): The utilization of UV as a light source is frequently observed due to the abundance of UV-responsive photosensitizers, but usually used for in vitro experiments, because it causes cytotoxic, and due to its low tissue penetration. Under UV radiation, hydrogels expand discontinuously and shrink after the removal of UV light [155,161].

(2) Near-infrared (NIR): NIR has been demonstrated to be a more viable option for in vivo studies, with the capacity to induce drug release within deep tissues. Material science has recently witnessed a proliferation of novel photosensitizers, which demonstrate responsiveness to near-infrared (NIR) light [155,161].

(3) Visible (Vis): Visible light is a readily attainable form of illumination that is characterized by its safety, cleanliness, affordability, and ease of operation. Although the effect of light stimulation is immediate, the response of hydrogels to this effect is still slow. In most cases, the conversion of light into heat must occur before the reorganization of the polymer chains due to the temperature change [155,161].


Table 1 Stimuli-responsive chitosan-based hydrogels.

Stimulus

Mechanism

Applications

Limitations

pH-responsive

  • Consist of weak acidic/basic groups (e.g., -COOH, -NH2) that ionize with pH change [153].

  • Chitosan becomes protonated in acidic environments, leading to elevate swelling and positive charge [155,156].

  • Electrostatic repulsion leads to expansion and improved water absorption [155,156].

  • Classified into anionic (acid groups) and cationic (amine groups) hydrogels [155,156].

  • Targeted drug delivery [152].

  • Wound healing: Swelling in acidic pH promotes cellular permeation and drug release [155,156].

  • Limited solubility at physiological pH [152].

  • Swelling behavior mainly dependent on narrow pH range [155,156].

  • Electrostatic interactions may show unstable in mixed biological fluids [157,158].

Temperature-responsive

  • Chitosan grafted with thermo-reversible agents (e.g., NIPAAm) [156,158].

  • Exhibits sol-gel transition around LCST (~32 °C) [156,158].

  • Hydrophobic and shrinks above LCST, releasing encapsulated drugs [158].

  • Gel state forms at body temperature, allowing localized, sustained delivery [154,158].

  • Injectable wound dressing [156,158].

  • Skin regeneration and tissue engineering [154,158].

  • Prolonged drug delivery systems [154,158].

  • Mechanical strength is frequently low [144].

  • May require chemical modification to optimize LCST [158].

  • Deep tissues present a slower thermoresponse [154,158].

Enzyme-responsive

  • Recognition of enzyme substrates integrated in the hydrogel [155].

  • Enzyme-catalyzed cleavage modify hydrogel morphology (e.g., degradation or disassembly) [159].

  • Triggered release happens where enzymes are overexpressed (e.g., infection or colon tissues) [155,158].

  • Site-specific drug delivery (e.g., colon) [155,158].

  • Responsive wound dressings (infection real-time) [155,158].

  • Dual protein delivery systems [155,158].

  • Requires presence of specific enzymes [155].

  • Response rate relies on enzyme activity and substrate accessibility [159].

  • Enzyme levels vary between individuals [155,158].

Light-responsive

  • Modified with photosensitive groups (e.g., UV/NIR/Vis-activated moieties) [155,161].

  • Light exposure induces phase transitions or bond cleavage [162].

  • Produce ions to differ in osmotic pressure or trigger thermal effect for drug release [155].

  • Responsive to UV (rapid, in vitro), Vis (safe), NIR (deep tissue) [155,161].

  • Remote, precise drug delivery [160].

  • Imaging and cancer treatment [162].

  • Ophthalmic medications [155,162].

  • UV light is cytotoxic and has low penetration (mainly in vitro) [155,161].

  • NIR systems require advanced sensitizers [155,161].

  • Photosensitizers are potentially toxic [158].

  • Response delayed due to heat conversion requirement [155,161].


In vitro and in vivo evaluation

Cell compatibility and proliferation assays

A chitosan hydrogel appears to be great for cutaneous wound healing because it looks like tissue structures and controls the release of loaded substances [72,163]. However, some studies have shown that modified hydrogels induce self-healing of wounds without adding any other substances [72,74]. When evaluated in vitro, chitosan-based hydrogels exhibit great hemocompatibility, biocompatibility, also exhibit immunomodulatory properties via inducing immunological and epithelial cell activation. Proliferative cellular signals, including growth factors and interleukins, and the activation of matching cells, are examples of how wound healing is stimulated [72,163].

In addition to maintaining its biocompatibility, the chitosan derivative, in addition to maintaining its biocompatibility, the chitosan derivative developed enhanced anticoagulant activity and the capacity to bind TGF-β and IL-6. To promote inflammation, IL-6 has been shown to induce megakaryopoiesis and aid in regulating the human myeloid cell line, whereas TGF-ß carries out crucial mitotic and chemotactic actions that are necessary for granulation tissue throughout the process of wound healing [164]. Hydrogels based on chitosan have been shown to possess antibacterial and anti-inflammatory properties. TNF and IL-1 family cytokines are among the many cytokines and substances that contribute to the inflammatory response [164,165]. Hydrogels composed of chitosan possess the capacity for self-healing, which means that they regain their original shape following mechanical manipulation. The suppression of pro-inflammatory cytokines expression, including TNF-α, IL-6, and IL-8, self-healing hydrogels help patients experience less severe inflammation [165,166].


Figure 12 Chitosan biomaterial activities on skin injury. This figure was adapted from Kim et al. [164] using BioRender.

Chitosan has been demonstrated to play a significant role in the process of skin wound healing through various biological mechanisms. Chitosan is applied in various forms including cell cultures, porous scaffolds, and sponges depending on the wound site and healing needs. After application, chitosan provides anti-inflammatory effects by decreasing pro-inflammatory cytokines such as IL-6, IL-8, TNF-α, and IL-1β, and increasing the expression of TGF-β and the M2 phenotype of macrophages. These phenomena contribute to tissue healing. In addition, chitosan supports cellular activities that are important in tissue regeneration, including increased collagen and elastin production, stimulation of angiogenesis (formation of new blood vessels), fibroblast proliferation, and the re-epithelialization process, which is the re-formation of damaged skin layers. Chitosan also has antibacterial properties that are effective against various pathogens such as methicillin-resistant Staphylococcus aureus (MRSA), E. coli, and several bacteria from the Enterobacteriaceae and Muribaculaceae families, thereby preventing wound infection. In addition, chitosan interacts well with the wound microenvironment, helps maintain a stable pH, allows gradual release of active substances when combined with drug molecules, and has high biocompatibility so it is safe to use in wound therapy. With these properties, chitosan is a very potential biomaterial to accelerate the repair process of wounds while ensuring safety and efficacy (Figure 12).


Cell adhesion and proliferation

Cells’ passive attachment to static substrates, include culture flasks and Petri dishes, has been demonstrated to be caused by spesific membrane integrin-binding interactions that form a mechanical link between intracellular actin and the extracellular matrix [167,168]. Recent research has investigated the role of charge-dependent interactions in mediating the interaction of chitosan with cell membranes, that regulates cell adhesion behavior. The adhesion of hyaluronic acid-chitosan films was improved using PC-3 prostate cancer cell line, within the pH range of 3.0 to 5.0 [41,167].

Bovine chondrocytes exhibited better attachment to sodium hydroxide-neutralized chitosan films, which affected cell proliferation and adhesion on scaffolds. The extent of acetylation in chitosan has been demonstrated to modulate a significant influence on its effects on cell adhesion and proliferation. This phenomenon is attributed to alterations in both hydrophobicity and its protonated groups availability for cell adhesion [167,169]. The increased levels of acetylation of the chitosan utilized in the films resulted in increased hydrophobicity and reduced surface charge, which decreased the adhesion of fibroblasts and chondrocytic cells [41].


In vivo biocompatibility

Ideal hydrogels must be biocompatible in order to exhibit the function properly, preventing cellular damage and immune responses [7,38,170]. After days of in vivo injection, the subcutaneous tissue shows no signs of irritation, indicating that the newly developed hydrogel is suitable as an innovative injectable platform for drug administration and tissue engineering [38,171]. A study in rats employing an infected full-thickness skin wound model showed that the versatile hydrogels were remarkably successful in healing infected wounds [38,172,173]. The in vivo animal tests demonstrated that the hydrogel dressing facilitated angiogenesis and collagen matrix deposition, resulting in enhanced wound healing and regeneration [38,174].

Nonetheless, the newly formed tissue is not invariably like healthy cartilage, potentially due to cell modification during the in vivo culturing phase and requires an extended recovery period for complete tissue formation [23]. In vitro and in vivo studies further confirmed that the hydrogel possesses enhanced antibacterial properties and minimal cytotoxicity, making it a viable choice for obstetric wound care [16,34].


Challenges and future directions

Chitosan-based wound dressings have been extensively evaluated for their effectiveness in managing chronic refractory wounds. Chitosan-based gauze demonstrated significant advantages, including enhanced wound healing, reduced pain and itching, decreased wound size, and lower frequency and overall cost of dressing changes clinically [175-178]. Another study has identified over 100 clinical studies assessing the safety and efficacy of chitosan-based products and nanoparticles, with approximately 95% being interventional, while the remaining 5% are observational [179]. Regulatory approval for Chitosan-based products varies globally. While the FDA has authorized chitosan for specific medical device applications, its pharmaceutical approval remains limited due to concerns regarding supply consistency, purification methods, and potential immunological responses [179].

Chitosan-based hydrogels have been developed to have excellent and tunable properties for accelerating and improving wound healing. Chitosan hydrogel is designed to respond to internal and external stimuli as a biocompatible, biodegradable, and sustainable polymer. Smart hydrogels are designed to enhance wound care quality and have a significant therapeutic effect. Responsive stimulus chitosan-based hydrogels also face significant challenges for translational research from experimental to clinical applications. Since the pH of chronic wounds is slightly higher than that of normal skin, pH-stimulated response chitosan hydrogels are a feasible strategy to deliver drugs to the wound site [155].

Recently, soft robotic chitosan-based hydrogel for wound dressings has arisen as a smart strategy for specific medical cases for precise and convenient applications. For instance, a magnetic chitosan hydrogel robot has controlled precise medication by magnetic-driving deformation [180]. Moreover, chitosan/PVA hydrogel provides a smart wearable application at joints and breathing [180]. Bio-inspired soft robotic hydrogel offers smart design with intelligent behaviors, including perception, motion, and response to specific environmental changes [107]. The future direction of hydrogel for excellent wound dressing must exhibit flexibility, convenient application, and antibacterial activity with adaptive characteristics in the wound environment.

To be applied for clinical purposes, hydrogels have to be biocompatible, have sufficient mechanical properties, and be biodegradable without activating unwanted immune responses. Most of the clinically approved injectable hydrogels are applied for joint or skin regeneration, as well as drug delivery. However, hydrogels for cell therapy have not yet been approved by the United States Food and Drug Administration (FDA), except cell-laden applications for wound healing [181]. Apligraf® is a bovine collagen-I hydrogel scaffold filled with neonatal fibroblasts and topped with a layer of neonatal keratinocytes. It is approved for the treatment of chronic wounds such as diabetic foot ulcers and venous leg ulcers and is applied to wound sites for several weeks before being reapplied as needed. Despite studies showing minimal cell DNA detection after 4 weeks and no engraftment, Apligraf® remains effective, most likely due to the secretion of pro-healing cytokines [181-186].


Conclusions

A promising emerging field in advanced wound care is chitosan-based hydrogels, which combine biocompatibility, biodegradability, and adjustable physicochemical characteristics. Their potential as next-generation wound dressings is highlighted by their capacity to support tissue regeneration, preserve a moist wound environment, and share therapeutic agents in a controlled manner. With continuous advancements like pH-responsive systems and soft robotic applications improving their therapeutic accuracy and flexibility, clinical investigations have increasingly confirmed their effectiveness in treating chronic and refractory wounds. The incorporation of smart characteristics, like robotic actuation and stimuli-responsiveness, places chitosan-based hydrogels at the forefront of biomedical materials, overcoming regulatory and translational obstacles. To fully achieve their clinical promise, future research should concentrate on resolving regulatory obstacles, guaranteeing reproducible purity, and overcoming scale-up restrictions. Chitosan-based hydrogels have the potential to revolutionize wound healing techniques, moving toward more individualized, effective, and efficient care through sustained interdisciplinary efforts.

Tailored chitosan hydrogels are designed to be ideal wound dressings for better wound healing activity. Chitosan is a highly versatile biomaterial platform for wound healing applications due to its tunable structure, multifunctional properties, and capacity for bioactive molecule delivery. As illustrated, tailored chitosan hydrogels are engineered through various structure modifications such as carboxylation, crosslinking, and graft copolymerization, which enhance their mechanical strength, mimic the extracellular matrix (ECM), and improve biocompatibility and antimicrobial activity. These modifications allow chitosan hydrogels to be bioactive, soluble, and effective in supporting tissue regeneration (Figure 13).

Furthermore, chitosan hydrogels are capable of being conjugated with a wide range of bioactive molecules, including growth factors (EGF, FGF and VEGF), antibacterial agents, hormones, and drug molecules, enabling targeted and sustained therapeutic delivery at the wound site. The incorporation of smart hydrogel design features, such as responsiveness to light, temperature, pH, and enzymes, further enhances their adaptability to dynamic wound environments and enables controlled release of therapeutic agents. These combined characteristics facilitate the support of all key phases of the wound healing process, such as hemostasis, inflammation, proliferation, and remodeling. Thus, tailored chitosan hydrogels offer significant promises for advanced wound care, providing a multifunctional platform that addresses the complex requirements of tissue repair and regeneration (Figure 13).


Figure 13 Schematic overview of tailored chitosan hydrogel design, characteristics, and bioactive modifications for enhanced wound healing applications. This figure was drawn with BioRender.

Ak

Acknowledgement

This study was supported by the Fundamental Sustainable Development Goals (SDGs) scheme of the Internal Research Grant at Sanata Dharma University, grant number No.016/Penel /LPPM-USD/II/2025.


Declaration of Generative AI in Scientific Writing

This manuscript preparation did not use any generative AI tools. No content or data interpretation was executed by generative AI. All authors are responsible for the content and conclusion of this work.


CRediT Author Statement

Maria Diva Rossary: formal analysis, data curation, visualization, draw conclusion, validation, and writing original draft.

Jeniffer Kalyana Paramita Djunaedi: formal analysis, visualization, writing original draft

Teresa Prinasti Riyantoro: formal analysis, visualization, writing original draft

Agustina Setiawati: conceptualization, methodology, supervision, validation, investigation, funding acquisition, review whole manuscript, writing original draft.

References

  1. J Secco, E Spinazzola, M Pittarello, E Ricci and F Pareschi. Clinically validated classification of chronic wounds method with memristor-based cellular neural network. Scientific Reports 2024; 14(1), 30839.

  2. I Aukhil. Biology of wound healing. Periodontology 2000; 22(1), 44-50.

  3. M Kumari and A Dhasmana. Hydrogel as a prospective substance for wound healing and sealing. Advances in Tissue Engineering & Regenerative Medicine 2020; 6(1), 20-24.

  4. P Kolimi, S Narala, D Nyavanandi, AAA Youssef and N Dudhipala. Innovative treatment strategies to accelerate wound healing: Trajectory and recent advancements. Cells 2022; 11(15), 2439.

  5. R Colenci and LPF Abbade. Fundamental aspects of the local approach to cutaneous ulcers. Anais Brasileiros de Dermatologia 2018; 93(6), 859-870.

  6. L Su, Y Jia, L Fu, K Guo and S Xie. The emerging progress on wound dressings and their application in clinic wound management. Heliyon 2023; 9(12), e22520.

  7. P Li, J Hu, J Wang, J Zhang, L Wang and C Zhang. The role of hydrogel in cardiac repair and regeneration for myocardial infarction: Recent advances and future perspectives. Bioengineering 2023; 10(2), 165.

  8. HM Nguyen, TT Ngoc Le, AT Nguyen, HN Thien Le and TT Pham. Biomedical materials for wound dressing: Recent advances and applications. RSC Advances 2023; 13(8), 5509-5528.

  9. G Papa, F Mosella, G Meshini, GB Sidoti, A Zaffiro, U Rega, G Marchi, M D’Andrea, P Turco, G Polverino, V Ramella, L Spazzapan and F D’Andrea. Improvement of scar quality in split-thickness skin graft donor sites: A single blind randomized clinical trial comparing Rigenase® and polyhexanide versus hyaluronic acid and silver sulphadiazine based dressings. Plastic Reconstructive & Regenerative Surgery 2023; 2(1-2), 40-48.

  10. Z Ahmadian, A Correia, M Hasany, P Figueiredo, F Dobakhti, MR Eskandari, SH Hosseini, R Abiri, S Khorshid, J Hirvonen, HA Santos and MA Shahbazi. A hydrogen-bonded extracellular matrix-mimicking bactericidal hydrogel with radical scavenging and hemostatic function for pH-responsive wound healing acceleration. Advanced Healthcare Materials 2021; 10(3), 2001122.

  11. Z Pan, H Ye and D Wu. Recent advances on polymeric hydrogels as wound dressings. APL Bioengineering 2021; 5(1), 011504.

  12. D Stan, C Tanase, M Avram, R Apetrei, NB Mincu, AL Mateescu and D Stan. Wound healing applications of creams and “smart” hydrogels. Experimental Dermatology 2021; 30(9), 1218-1232.

  13. S Alven and BA Aderibigbe. Chitosan and cellulose-based hydrogels for wound management. International Journal of Molecular Sciences 2020; 21(24), 9656.

  14. VO Fasiku, CA Omolo, N Devnarain, UH Ibrahim, S Rambharose, M Faya, C Mocktar, SD Singh and T Govender. Chitosan-based hydrogel for the dual delivery of antimicrobial agents against bacterial methicillin-resistant Staphylococcus aureus biofilm-infected wounds. ACS Omega 2021; 6(34), 21994-22010.

  15. JJ Narvaez-Flores, G Vilar-Pineda, LS Acosta-Torres and R Garcia-Contreras. Cytotoxic and anti-inflammatory effects of chitosan and hemostatic gelatin in oral cell culture. Acta Odontoloógica Latinoamericana 2021; 34(2), 98.

  16. M Yadav, B Kaushik, GK Rao, CM Srivastava and D Vaya. Advances and challenges in the use of chitosan and its derivatives in biomedical fields: A review. Carbohydrate Polymer Technologies and Applications 2023; 5, 100323.

  17. MA Shamekhi, H Mirzadeh, H Mahdavi, A Rabiee, D Mohebbi-Kalhori and MB Eslaminejad. Graphene oxide containing chitosan scaffolds for cartilage tissue engineering. International Journal of Biological Macromolecules 2019; 127, 396-405.

  18. AS Soubhagya, A Moorthi and M Prabaharan. Preparation and characterization of chitosan/pectin/ZnO porous films for wound healing. International Journal of Biological Macromolecules 2020; 157, 135-145.

  19. X Zhao, H Wu, B Guo, R Dong, Y Qiu and PX Ma. Antibacterial anti-oxidant electroactive injectable hydrogel as self-healing wound dressing with hemostasis and adhesiveness for cutaneous wound healing. Biomaterials 2017; 122, 34-47.

  20. M Rodrigues, N Kosaric, CA Bonham and GC Gurtner. Wound healing: A cellular perspective. Physiological Reviews 2019; 99(1), 665-706.

  21. S Enoch and DJ Leaper. Basic science of wound healing. Surgery 2007; 26(2), 31-37.

  22. S Tavakoli and AS Klar. Advanced hydrogels as wound dressings. Biomolecules 2020; 10(8), 1169.

  23. AA Sudarta, PAP Sari, TC Halim and A Setiawati. Advances of chitosan-based hydrogel scaffolds for cartilage tissue engineering: Preparation, modification, and future perspective. Polymers 2024; 13(23), 4199.

  24. I Aranaz, AR Alcántara, MC Civera, C Arias, B Elorza, AH Caballero and N Acosta. Chitosan: An overview of its properties and applications. Polymers 2021; 13(19), 3256.

  25. P Mohite, SR Shah, S Singh, T Rajput, S Munde, N Ade, BG Prajapati, H Paliwal, DD Mori and AV Dudhrejiya. Chitosan and chito-oligosaccharide: A versatile biopolymer with endless grafting possibilities for multifarious applications. Frontiers in Bioengineering and Biotechnology 2023; 11, 1190879.

  26. A Pellis, GM Guebitz and GS Nyanhongo. Chitosan: Sources, processing and modification techniques. Gels 2022; 8(7), 393.

  27. HL Loo, BH Goh, LH Lee and LH Chuah. Application of chitosan-based nanoparticles in skin wound healing. Asian Journal of Pharmaceutical Sciences 2022; 17(3), 299-332.

  28. P Kesharwani, K Halwai, SK Jha, MH Al Mughram, SS Almujri, WH Almalki and A Saheb­kar. Folate-engineered chitosan nanoparticles: next-generation anticancer nanocarriers. Molecu­lar Cancer 2024; 23(1), 244.

  29. W Wang, C Xue and X Mao. Chitosan: Structural modification, biological activity and application. International Journal of Biological Macromole­cules 2020; 164, 4532-4546.

  30. R Román-Doval, SP Torres-Arellanes, AY Teno­rio-Barajas, A Gómez-Sánchez and AA Valencia-Lazcano. Chitosan: Properties and its application in agriculture in context of molecular weight. Polymers 2023; 15(13), 2867.

  31. J Li, L Li, J Lv, C Wang and Y Liu. Preparation of thiolated chitosan/silver nanowire composite hydrogels with antimicrobial activity for obstetric wound care. Materials Letters 2020; 280, 128497.

  32. S Pramanik, A Aggarwal, A Kadi, M Alhomrani, AS Alamri, WF Alsanie, K Koul, A Deepak and S Bellucci. Chitosan alchemy: Transforming tissue engineering and wound healing. RSC Advances 2024; 14(27), 19219-19256.

  33. C Casadidio, DV Peregrina, MR Gigliobianco, S Deng, R Censi and P Di Martino. Chitin and chitosans: Characteristics, eco-friendly processes, and applications in cosmetic science. Marine Drugs 2019; 17(6), 369.

  34. B Li, J Elango and W Wu. Recent advancement of molecular structure and biomaterial function of chitosan from marine organisms for pharmaceutical and nutraceutical application. Applied Sciences 2020; 10(14), 4719.

  35. B Li, J Wang, Q Gui and H Yang. Drug-loaded chitosan film prepared via facile solution casting and air-drying of plain water-based chitosan solution for ocular drug delivery. Bioactive Materials 2020; 5(3), 577-583.

  36. RA Lusiana, WP Protoningtyas, AR Wijaya, D Siswanta, Mudasir and SJ Santosa. Chitosan-tripoly phosphate (CS-TPP) synthesis through cross-linking process: The effect of concentration towards membrane mechanical characteristic and urea permeation. Oriental Journal of Chemistry 2017; 33(6), 2913-2919.

  37. D Žigrayová, V Mikušová and P Mikuš. Advances in chitosan derivatives: Preparation, properties and applications in pharmacy and medicine. Gels 2024; 10(11), 701.

  38. MUA Khan, MA Aslam, MF Abdullah Bin, WS Al-Arjan, GM Stojanovic and A Hasan. Hydro­gels: Classifications, fundamental properties, ap­plications, and scopes in recent advances in tissue engineering and regenerative medicine - A comprehensive review. Arabian Journal of Chemistry 2024; 17(10), 105968.

  39. S Verma, PK Sharma and R Malviya. Chitosan-chitosan derivative for cartilage associated disor­ders: Protein interaction and biodegradability. Carbohydrate Polymer Technologies and Applica­tions 2024; 7, 100506.

  40. S Chen, H Tian, J Mao, F Ma, M Zhang, F Chen and P Yang. Preparation and application of chi­tosan-based medical electrospun nanofibers. International Journal of Biological Macromolecules 2023; 226, 410-422.

  41. D Yadav, R Malviya, WY Rizg and MH Warsi. Potential of chitosan for targeted mitochondrial delivery of therapeutic agents. Carbohydrate Polymer Technologies and Applications 2025; 9, 100634.

  42. R Mascarenhas, S Hegde and N Manaktala. Chitosan nanoparticle applications in dentistry: A sustainable biopolymer. Frontiers in Chemistry 2024; 12, 1362482.

  43. N Desai, D Rana, S Salave, R Gupta, P Patel, B Karunakaran, A Sharma, J Giri, D Benival and N Kommineni. Chitosan: A potential biopolymer in drug delivery and biomedical applications. Pharmaceutics 2023; 15(4), 1313.

  44. K Piekarska, M Sikora, M Owczarek, J Jóźwik-Pruska and M Wiśniewska-Wrona. Chitin and chitosan as polymers of the future - obtaining, modification, life cycle assessment and main directions of application. Polymers 2023; 15(4), 793.

  45. SV Gohil, A Padmanabhan, HM Kan, M Khanal and LS Nair. Degradation-dependent protein release from enzyme sensitive injectable glycol chitosan hydrogel. Tissue Engineering Part A 2021; 27(13-14), 867-880.

  46. A Lončarević, M Ivanković and A Rogina. Lysozyme-induced degradation of chitosan: The characterisation of degraded chitosan scaffolds. Journal of Tissue Repair and Regeneration 2017; 1(1), 12-22.

  47. SM Samani, F Ahmadi, Z Oveisi and Z Amoozgar. Chitosan based hydrogels: Characteristics and pharmaceutical applications. Research in Pharmaceutical Sciences 2015; 10(1), 1-16.

  48. RA Ilyas, HA Aisyah, AH Nordin, N Ngadi, MYM Zuhri, MRM Asyraf, SM Sapuan, ES Zainudin, S Sharma, H Abral, M Asrofi, E Syafri, NH Sari, M Rafidah, SZS Zakaria, MR Razman, NA Majid, Z Ramli, A Azmi and SP Bangar. Natural-fiber-reinforced chitosan, chitosan blends and their nanocomposites for various advanced applications. Polymers 2022; 14(5), 874.

  49. R Jamre, M Maheshwarkar and KK Gadgey. Thermogravimetric analysis of chitosan: A conceptual review. International Journal of Modern Engineering and Research Technology 2019; 6, 105-114.

  50. H Moussout, H Ahlafi, M Aazza and M Bourakhouadar. Kinetics and mechanism of the thermal degradation of biopolymers chitin and chitosan using thermogravimetric analysis. Polymer Degradation and Stability 2016; 130, 1-9.

  51. X Wang, R Song, M Johnson, SA, P Shen, N Zhang, I Lara‐Sáez, Q Xu and W Wang. Chitosan-based hydrogels for infected wound treatment. Macromolecular Bioscience 2023; 23(9), 2300094.

  52. CL Ke, FS Deng, CY Chuang and CH Lin. Antimicrobial actions and applications of Chitosan. Polymers 2021; 13(6), 904.

  53. G Kravanja, M Primožič, Ž Knez and M Leitgeb. Chitosan-based (nano)materials for novel biomedical applications. Molecules 2019; 24(10), 1960.

  54. SM Mawazi, M Kumar, N Ahmad, Y Ge and S Mahmood. Recent applications of chitosan and its derivatives in antibacterial, anticancer, wound healing, and tissue engineering fields. Polymers 2024; 24(10), 1960.

  55. J Su, C Liu, A Sun, J Yan, F Sang, Y Xin, Y Zhao, S Wang and Q Dang. Hemostatic and antimicrobial properties of chitosan-based wound healing dressings: A review. International Journal of Biological Macromolecules 2025; 306(2), 141570.

  56. L Pasquina-Lemonche, J Burns, RD Turner, S Kumar, R Tank, N Mullin, JS Wilson, B Chakrabarti, PA Bullough, SJ Foster and JK Hobbs. The architecture of the Gram-positive bacterial cell wall. Nature 2020; 582, 294-297.

  57. M Rohde. The gram-positive bacterial cell wall. Microbiology Spectrum 2019; 7(3), 10-1128.

  58. P Poznanski, A Hameed and W Orczyk. Chitosan and chitosan nanoparticles: Parameters enhancing antifungal activity. Molecules 2023; 28(7), 2996.

  59. BT Iber, NA Kasan, D Torsabo and JW Omuwa. A review of various sources of chitin and chitosan in nature. Journal of Renewable Materials 2022; 10(4), 1097.

  60. I Muzzalupo, G Badolati, A Chiappetta, N Picci and R Muzzalupo. In vitro antifungal activity of olive (Olea europaea) leaf extracts loaded in chitosan nanoparticles. Frontiers in Bioengineering and Biotechnology 2020; 8, 151.

  61. LGS Garcia, GM de M Guedes, MLQ da Silva, DSCM Castelo-Branco, JJC Sidrim, R de A Cordeiro, MFG Rocha, RS Vieira and RSN Brilhante. Effect of the molecular weight of chitosan on its antifungal activity against Candida spp. in planktonic cells and biofilm. Carbohydrate Polymers 2018; 195, 662-669.

  62. F Lopez-Moya, M Suarez-Fernandez and LV Lopez-Llorca. Molecular mechanisms of chitosan interactions with fungi and plants. International Journal of Molecular Sciences 2019; 20(2), 332.

  63. Z Atai, M Atai, J Amini and N Salehi. In vivo study of antifungal effects of low-molecular-weight chitosan against Candida albicans. Journal of Oral Science 2017; 59(3), 425-430.

  64. RCF Cheung, TB Ng, JH Wong and WY Chan. Chitosan: An update on potential biomedical and pharmaceutical applications. Marine Drugs 2015; 13(8), 5156-5186.

  65. D Yan, Y Li, Y Liu, N Li, X Zhang and C Yan. Antimicrobial properties of chitosan and chitosan derivatives in the treatment of enteric infections. Molecules 2021; 26(23), 7136.

  66. KY Chen, YC Chen, TH Lin, CY Yang, YW Kuo and U Lei. Hemostatic enhancement via chitosan is independent of classical clotting pathways - a quantitative study. Polymers 2020; 12(10), 2391.

  67. R Cassano, P Perri, E Scarcello, P Piro, R Sole, F Curcio and S Trombino. Chitosan hemostatic dressings: Properties and surgical applications. Polymers 2024; 16(13), 1770.

  68. YW Wang, CC Liu, JH Cherng, CS Lin, SJ Chang, ZJ Hong, CC Liu, YK Chiu, SD Hsu and H Chang. Biological effects of chitosan-based dressing on hemostasis mechanism. Polymers 2019; 11(11), 1906.

  69. Z Hu, DY Zhang, ST Lu, PW Li and SD Li. Chitosan-based composite materials for prospective hemostatic applications. Marine Drugs 2018; 16(8), 273.

  70. S Cao, G Xu, Q Li, S Zhang, Y Yang and J Chen. Double crosslinking chitosan sponge with antibacterial and hemostatic properties for accelerating wound repair. Composites Part B: Engineering 2022; 234, 109746.

  71. D Gheorghiță, H Moldovan, A Robu, AI Bița, E Grosu, A Antoniac, I Corneschi, I Antoniac, AD Bodog and CI Băcilă. Chitosan-based biomaterials for hemostatic applications: A review of recent advances. International Journal of Molecular Sciences 2023; 24(13), 10540.

  72. H Zhang, S Su, S Liu, C Qiao, E Wang, H Chen, C Zhang, X Yang and T Li. Effects of chitosan and cellulose derivatives on sodium carboxymethyl cellulose-based films: A study of rheological properties of film-forming solutions. Molecules 2023; 28(13), 5211.

  73. IS Bayer. Recent advances in mucoadhesive inter­face materials, mucoadhesion characterization, and technologies. Advanced Materials Interfaces 2022; 9(18), 2200211.

  74. VK Anupama Devi, R Shyam, A Palaniappan, AK Jaiswal, TH Oh and AJ Nathanael. Self-healing hydrogels: Preparation, mechanism and advance­ment in biomedical applications. Polymers 2021; 13(21), 3782.

  75. K Kim, JH Ryu, MY Koh, SP Yun, S Kim, JP Park, CW Jung, MS Lee, HI Seo, JH Kim and H Lee. Coagulopathy-independent, bioinspired he­mostatic materials: A full research story from pre­clinical models to a human clinical trial. Science Advances 2021; 7, 9992-10016.

  76. VK Lee, T Lee, A Ghosh, T Saha, MV Bais, KK Bharani, M Chag, K Parikh, P Bhat, B Namgung, G Venkataramanan, A Agrawal, K Sonaje, L Mavely, S Sengupta, RA Mashelkar and HL Jang. An architecturally rational hemostat for rapid stopping of massive bleeding on anticoagulation therapy. Proceedings of the National Academy of Sciences 2024; 21(5), e2316170121.

  77. MP Mani, AA Mohd Faudzi, S Ramakrishna, AF Ismail, SK Jaganathan, N Tucker and R Rathanasamy. Sustainable electrospun materials with enhanced blood compatibility for wound healing applications - A mini review. Current Opinion in Biomedical Engineering 2023; 27, 100457.

  78. V Brumberg, T Astrelina, T Malivanova and A Samoilov. Modern wound dressings: Hydrogel dressings. Biomedicines 2021; 9(9), 1235.

  79. SP Ndlovu, K Ngece, S Alven and BA Aderibigbe. Gelatin-based hybrid scaffolds: Promising wound dressings. Polymers 2021; 13(17), 2959.

  80. JM Silva, CV Pereira, F Mano, E Silva, VIB Castro, I Sá-Nogueira, RL Reis, A Paiva, AA Matias and ARC Duarte. Therapeutic role of deep eutectic solvents based on menthol and saturated fatty acids on wound healing. ACS Applied Bio Materials 2019; 2(10), 4346-4355.

  81. A Revete, A Aparicio, BA Cisterna, J Revete, L Luis, E Ibarra, EA Segura González, J Molino and D Reginensi. Advancements in the use of hydrogels for regenerative medicine: Properties and biomedical applications. International Journal of Biomaterials 2022; 2022(1), 3606765.

  82. I Firlar, M Altunbek, C McCarthy, M Ramalingam and G Camci-Unal. Functional hydrogels for treatment of chronic wounds. Gels 2022; 8(2), 127.

  83. X Zhang, M Qin, M Xu, F Miao, C Merzougui, X Zhang, Y Wei, W Chen and D Huang. The fabrication of antibacterial hydrogels for wound healing. European Polymer Journal 2021; 146, 110268.

  84. D Zeng, S Shen and D Fan. Molecular design, synthesis strategies and recent advances of hydrogels for wound dressing applications. Chinese Journal of Chemical Engineering 2021; 30, 308-320.

  85. J Zhang, W Tan, Q Li, X Liu and Z Guo. Preparation of cross-linked chitosan quaternary ammonium salt hydrogel films loading drug of gentamicin sulfate for antibacterial wound dressing. Marine Drugs 2021; 19(9), 479.

  86. A Alves, SP Miguel, ARTS Araujo, MJ de J Valle, AS Navarro, IJ Correia, MP Ribeiro and P Coutinho. Xanthan gum-konjac glucomannan blend hydrogel for wound healing. Polymers 2020; 12(1), 99.

  87. P Mehta, M Sharma and M Devi. Hydrogels: An overview of its classifications, properties, and applications. Journal of the Mechanical Behavior of Biomedical Materials 2023; 47, 106145.

  88. S Bashir, M Hina, J Iqbal, AH Rajpar, MA Mujtaba, NA Alghamdi, SW Ramesh and S Ramesh. Fundamental concepts of hydrogels: Synthesis, properties, and their applications. Polymers 2020; 12(11), 2702.

  89. Z Ahmad, S Salman, SA Khan, A Amin, ZU Rahman, YO Al-Ghamdi, K Akhtar, EM Bakhsh and SB Khan. Versatility of hydrogels: From synthetic strategies, classification, and properties to biomedical applications. Gels 2022; 8(3), 167.

  90. TC Ho, CC Chang, HP Chan, TW Chung, CW Shu, KP Chuang, TH Duh, MH Yang and YC Tyan. Hydrogels: Properties and applications in biomedicine. Molecules 2022; 27(9), 2902.

  91. WZ Jiang, Y Cai and HY Li. Chitosan-based spray-dried mucoadhesive microspheres for sustained oromucosal drug delivery. Powder Technology 2017; 312, 124-132.

  92. S Vanukuru, F Steele, NN Porfiryeva, A Sosnik and VV Khutoryanskiy. Functionalisation of chitosan with methacryloyl and crotonoyl groups as a strategy to enhance its mucoadhesive properties. European Journal of Pharmaceutics and Biopharmaceutics 2024; 205, 114575.

  93. P Mura, F Maestrelli, M Cirri and N Mennini. Multiple roles of chitosan in mucosal drug delivery: An updated review. Marine Drugs 2022; 20(5), 335.

  94. G Wang, F Yang, W Zhou, N Xiao, M Luo and Z Tang. The initiation of oxidative stress and therapeutic strategies in wound healing. Biomedicine and Pharmacotherapy 2023; 157, 114004.

  95. X Han, LS Ju and J Irudayaraj. Oxygenated wound dressings for hypoxia mitigation and enhanced wound healing. Molecular Pharmaceutics 2023; 20(7), 3338-3355.

  96. S Gupta, P Mujawdiya, G Maheshwari and S Sagar. Dynamic role of oxygen in wound healing: A microbial, immunological, and biochemical perspective. Archives of Razi Institute 2022; 77(2), 513.

  97. Y He, Q Chang and F Lu. Oxygen-releasing biomaterials for chronic wounds breathing: From theoretical mechanism to application prospect. Materials Today Bio 2023; 20, 100687.

  98. F Hong, P Qiu, Y Wang, P Ren, J Liu, J Zhao and D Gou. Chitosan-based hydrogels: From preparation to applications, a review. Food Chemistry X 2024; 21, 101095.

  99. MS Ahmed, M Islam, MK Hasan and KW Nam. A comprehensive review of radiation-induced hydrogels: synthesis, properties, and multidimensional applications. Gels 2024; 10(6), 381.

  100. X Chen, J Zhou, Y Qian and LZ Zhao. Antibacterial coatings on orthopedic implants. Materials Today Bio 2023; 19, 100586.

  101. KK Kłosiński, RA Wach, W Kruczkowska, Ł Duda, D Kołat, Ż Kałuzińska-Kołat, PT Arkuszewski and ZW Pasieka. Carboxymethyl chitosan hydrogels for effective wound healing - an animal study. Journal of Functional Biomaterials 2023; 14(9), 473.

  102. J Yin, S Wang, L Cui, D Li, S Yang, J Wu, G Meng, X Tian, Z Liu, Y Tai and J Liu. Withdrawal: Conductive hydrogel dressing with high mechanical strength for joint wound healing. Macromolecular Bioscience 2024; 24(8), e2300528.

  103. G Li, N Lan, Y Huang, C Mo, Q Wang, C Wu and Y Wang. Preparation and characterization of gluten/SDS/chitosan composite hydrogel based on hydrophobic and electrostatic interactions. Journal of Functional Biomaterials 2023; 14(4), 222.

  104. YA Ben, A Feki, I Amara Ben, S Li, M Nasri and R Nasri. Controlled release of phycocyanin from chitosan/protein isolate hydrogel for effectively accelerating wound healing. Cellulose 2023; 30(15), 9543-9561.

  105. F Chen, Y He, Z Li, B Xu, Q Ye, X Li, Z Ma, W Song and Y Zhang. A novel tunable, highly biocompatible and injectable DNA-chitosan hybrid hydrogel fabricated by electrostatic interaction between chitosan and DNA backbone. International Journal of Pharmaceutics 2021; 606, 120938.

  106. S Sánchez-Serrano, DJ González-Méndez, JA Olivas-Valdez, N Millán-Aguiñaga, V Evangelista, OE Contreras and MN Cardoza-Contreras. pH-responsive chitosan-doped ZnO hybrid hydrogels for the encapsulation of bioactive compounds in aquaculture. Polymers 2023; 15(20), 4105.

  107. Y Chen, Y Zhang, H Li, J Shen, F Zhang, J He, J Lin, B Wang, S Niu, Z Han and Z Guo. Bioinspired hydrogel actuator for soft robotics: Opportunity and challenges. Nano Today 2023; 49, 101764.

  108. AC Enache, C Cojocaru, P Samoila, A Bele, AC Bostanaru, M Mares and V Harabagiu. Evaluation of physically and/or chemically modified chitosan hydrogels for proficient release of insoluble nystatin in simulated fluids. Gels 2022; 8(8), 495.

  109. N Mati-Baouche, C Delattre, H De Baynast, M Grédiac, JD Mathias, AV Ursu, J Desbrières and P Michaud. Alkyl-chitosan-based adhesive: Water resistance improvement. Molecules 2019; 24(10), 1987.

  110. G Fletes-Vargas, H Espinosa-Andrews, JM Cervantes-Uc, I Limón-Rocha, G Luna-Bárcenas, M Vázquez-Lepe, N Morales-Hernández, JA Jiménez-Ávalos, DG Mejía-Torres, P Ramos-Martínez and R Rodríguez-Rodríguez. Porous chitosan hydrogels produced by physical crosslinking: Physicochemical, structural, and cytotoxic properties. Polymers 2023; 15(9), 2203.

  111. L Zeng, M Song, J Gu, Z Xu, B Xue, Y Li and Y Cao. A highly stretchable, tough, fast self-healing hydrogel based on peptide-metal ion coordination. Biomimetics 2019; 4(2), 36.

  112. H Lee, SB Kang, H Yoo, HR Lee and JY Sun. Reversible crosslinking of polymer/metal-ion complexes for a microfluidic switch. ACS Omega 2021; 6(51), 35297-35306.

  113. Y Wu, Z Gu, T Chen, D Zu, Y Gan, H Chen, J Yang, X Yu, H Cai, P Sun, J Ning, H Zhou and J Zheng. Effect of different crosslinking agents on carboxymethyl chitosan-glycyrrhizic acid hydrogel: Characterization and biological activities comparison. International Journal of Biological Macromolecules 2025; 298, 139977.

  114. A Rogina, A Lončarević, M Antunović, I Marijanović, M Ivanković and H Ivanković. Tuning physicochemical and biological properties of chitosan through complexation with transition metal ions. International Journal of Biological Macromolecules 2019; 129, 645-652.

  115. FO Ohiagu, PC Chikezie, CC Ahaneku and CM Chikezie. Human exposure to heavy metals: Toxicity mechanisms and health implications. Material Science & Engineering International Journal 2022; 6(2), 78-87.

  116. K Enoch and AA Somasundaram. Improved mechanical properties of chitosan/PVA hydrogel - a detailed rheological study. Surfaces and Interfaces 2023; 41, 103178.

  117. AADN Pomari, TLDA Montanheiro, CP de Siqueira, RS Silva, DB Tada and AP Lemes. Chitosan hydrogels crosslinked by genipin and reinforced with cellulose nanocrystals: Production and characterization. Journal of Composites Science 2019; 3(3), 84.

  118. T Fischetti, N Celikkin, N Contessi Negrini, S Farè and W Swieszkowski. Tripolyphosphate-crosslinked chitosan/gelatin biocomposite ink for 3D printing of uniaxial scaffolds. Frontiers in Bioengineering and Biotechnology 2020; 8, 400.

  119. B Kaczmarek-Szczepańska, O Mazur, M Michalska-Sionkowska, K Łukowicz and AM Osyczka. The preparation and characterization of chitosan-based hydrogels cross-linked by glyoxal. Materials 2021; 14(9), 2449.

  120. B Yang, B Liu, Y Gao, J Wei, G Li, H Zhang, L Wang and Z Hou. PEG-crosslinked O-carboxymethyl chitosan films with degradability and antibacterial activity for food packaging. Scientific Reports volume 2024; 14, 10825.

  121. S Emani, A Vangala, F Buonocore, N Yarandi and G Calabrese. Chitosan hydrogels cross-linked with trimesic acid for the delivery of 5-fluorouracil in cancer therapy. Pharmaceutics 2023; 15(4), 1084.

  122. A De Masi, I Tonazzini, C Masciullo, R Mezzena, F Chiellini, D Puppi and M Cecchini. Chitosan films for regenerative medicine: Fabrication methods and mechanical characterization of nanostructured chitosan films. Biophysical Reviews 2019; 11(5), 807-815.

  123. N Kommineni, A Butreddy, VGSS Jyothi and P Angsantikul. Freeze-drying for the preservation of immunoengineering products. IScience 2022; 25(10), 105127.

  124. W Song, J Xu, L Gao, Q Zhang, J Tong and L Ren. Preparation of freeze-dried porous chitosan microspheres for the removal of hexavalent chromium. Applied Sciences 2021; 11(9), 4217.

  125. Kusmono, MW Wildan and FI Lubis. Fabrication and characterization of chitosan/cellulose nanocrystal/glycerol bio-composite films. Polymers 2021; 13(7), 1096.

  126. DD Ojeda-Hernández, AA Canales-Aguirre, JA Matias-Guiu, J Matias-Guiu, U Gómez-Pinedo and JC Mateos-Díaz. Chitosan-hydroxycinnamic acids conjugates: Emerging biomaterials with rising applications in biomedicine. International Journal of Molecular Sciences 2022; 23(20), 12473.

  127. M Mirza-Aghazadeh-Attari, A Mihanfar, B Yousefi and M Majidinia. Nanotechnology-based advances in the efficient delivery of melatonin. Cancer Cell International 2022; 22(1), 43.

  128. AS Abdulhameed, AT Mohammad and AH Jawad. Modeling and mechanism of reactive orange 16 dye adsorption by chitosan-glyoxal/TiO2 nanocomposite: Application of response surface methodology. Desalination Water Treat 2019; 164, 346-360.

  129. CJ Yao, SJ Yang, MJ Shieh and TH Young. Development of a chitosan-silver nanocomposite/β-1,3-glucan/hyaluronic acid composite as an antimicrobial system for wound healing. Polymers 2025; 17(3), 350.

  130. S Mekahlia and T Douadi. Chitosan-ZnO nanocomposite from a circular economy perspective: in situ cotton-used fabric recycling and the nanocomposite recovering. Polymer Bulletin 2022; 79(9), 7491-7529.

  131. S Wijayawardana, C Thambiliyagodage and M Jayanetti. Kinetic study of in vitro release of curcumin from chitosan biopolymer and the evaluation of biological efficacy. Arabian Journal of Chemistry 2024; 17(9), 105896.

  132. F Khan, DTN Pham and M Kim. Alternative strategies for the application of aminoglycoside antibiotics against the biofilm-forming human pathogenic bacteria. Applied Microbiology and Biotechnology 2020; 104(5), 1955-1976.

  133. N Mozafari, F Farjadian, S Mohammadi Samani, S Azadi and A Azadi. Simvastatin-chitosan-citicoline conjugates nanoparticles as the co-delivery system in Alzheimer susceptible patients. International Journal of Biological Macromolecule 2020; 156, 1396-1407.

  134. J Kim, B Lin, S Kim, B Choi, D Evseenko and M Lee. TGF-β1 conjugated chitosan collagen hydrogels induce chondrogenic differentiation of human synovium-derived stem cells. Journal of Biological Engineering 2015; 9(1), 1.

  135. H Liu, C Wang, C Li, Y Qin, Z Wang, F Yang, Z Li and J Wang. A functional chitosan-based hydrogel as a wound dressing and drug delivery system in the treatment of wound healing. RSC Advances 2018; 8(14), 7533-7549.

  136. YH Lee, YL Hong and TL Wu. Novel silver and nanoparticle-encapsulated growth factor co-loaded chitosan composite hydrogel with sustained antimicrobility and promoted biological properties for diabetic wound healing. Materials Science and Engineering C 2021; 118, 111385.

  137. S Hashemi, E Mihandoost and S Khaleghi. Preparation of chitosan-embedded recombinant human epidermal growth factor nanoparticles as accelerating compounds for skin remodelling in chronic lesions. Micro & Nano Letters 2023; 18(7), e12171.

  138. K Mariia, M Arif, J Shi, F Song, Z Chi and C Liu. Novel chitosan-ulvan hydrogel reinforcement by cellulose nanocrystals with epidermal growth factor for enhanced wound healing: In vitro and in vivo analysis. International Journal of Biological Macromolecules 2021; 183, 435-446.

  139. A Vijayan, A Sabareeswaran and GSV Kumar. PEG grafted chitosan scaffold for dual growth factor delivery for enhanced wound healing. Scientific Reports 2019; 9(1), 19165.

  140. T Yan, S Kong, Q Ouyang, C Li, T Hou, Y Chen and S Li. Chitosan-gentamicin conjugate hydrogel promoting skin scald repair. Marine Drugs 2020; 18(5), 233.

  141. JL Soriano, AC Calpena, MJ Rodríguez-Lagunas, Ò Domènech, NB De Febrer, ML Garduño-Ramírez and B Clares. Endogenous antioxidant cocktail loaded hydrogel for topical wound healing of burns. Pharmaceutics 2021; 13(1), 8.

  142. F Zhang, C Hu, Q Kong, R Luo and Y Wang. Peptide-/drug-directed self-assembly of hybrid polyurethane hydrogels for wound healing. ACS Applied Materials & Interfaces 2019; 11(40), 37147-37155.

  143. S Yasasvini, RS Anusa, BN VedhaHari, PC Prabhu and DR Devi. Topical hydrogel matrix loaded with Simvastatin microparticles for enhanced wound healing activity. Materials Science and Engineering C 2017; 72, 160-167.

  144. T Nicoliche, CS Bartolomeo, RMR Lemes, GC Pereira, TA Nunes, RB Oliveira, ALM Nicastro, ÉN Soares, BF da Cunha Lima, BM Rodrigues, JT Maricato, LH Okuda, MI de Sairre, CM Prado, RP Ureshino and RS Stilhano. Antiviral, anti-inflammatory and antioxidant effects of curcumin and curcuminoids in SH-SY5Y cells infected by SARS-CoV-2. Science Reports 2024; 14, 10696

  145. A Adamczak, M Ożarowski and TM Karpiński. Curcumin, a natural antimicrobial agent with strain-specific activity. Pharmaceuticals 2020; 13(7), 153.

  146. K Hossein, K Keyvan, MO Saeid, H Akbar, J Jalal, AA Reza, J Mohammad, B Soghra and TA Mojtaba. Evaluating the antifungal activity of nano-curcumin against candida species isolated from otomycosis patients. Journal of Advanced Biomedical Sciences 2023; 13(4), 271-278.

  147. M Sharma, K Sahu, SP Singh and B Jain. Wound healing activity of curcumin conjugated to hyaluronic acid: In vitro and in vivo evaluation. Artificial Cells, Nanomedicine, and Biotechnology 2018; 46(5), 1009-1017.

  148. H Wang, K Zhang, J Liu, J Yang, Y Tian, C Yang, Y Li, M Shao, W Su and N Song. Curcumin regulates cancer progression: Focus on ncRNAs and molecular signaling pathways. Frontiers in Oncology 2021; 11, 660712.

  149. H Zhang, H Li, H Wang, S Lei and L Yan. Overexpression of TRPM7 promotes the therapeutic effect of curcumin in wound healing through the STAT3/SMAD3 signaling pathway in human fibroblasts. Burns 2023; 49(4), 889-900.

  150. SA Sideek, HB El-Nassan, AR Fares, NA Elkasabgy and AN ElMeshad. Cross-linked alginate dialdehyde/chitosan hydrogel encompassing curcumin-loaded bilosomes for enhanced wound healing activity. Pharmaceutics 2024; 16(1), 90.

  151. SK Sandhu, S Kumar, J Raut, M Singh, S Kaur, G Sharma, TL Roldan, S Trehan, J Holloway, G Wahler, JD Laskin, PJ Sinko, F Berthiaume, B Michniak-Kohn, P Rishi, N Ganesh and IP Kaur. Systematic development and characterization of novel, high drug-loaded, photostable, curcumin solid lipid nanoparticle hydrogel for wound healing. Antioxidants 2021; 10(5), 725.

  152. MUA Khan, I Iqbal, MNM Ansari, SIA Razak, MA Raza, A Sajjad, F Jabeen, MR Mohamad and N Jusoh. Development of antibacterial, degradable and pH-responsive chitosan/guar gum/polyvinyl alcohol blended hydrogels for wound dressing. Molecules 2021; 26(19), 5937.

  153. G Kocak, C Tuncer and V Bütün. PH-Responsive polymers. Polymer Chemistry 2017; 8(1), 144-176.

  154. X Che, T Zhao, J Hu, K Yang, N Ma, A Li, Q Sun, C Ding and Q Ding. Application of chitosan-based hydrogel in promoting wound healing: A review. Polymers 2024; 16(3), 344.

  155. B Tian and J Liu. Smart stimuli-responsive chitosan hydrogel for drug delivery: A review. International Journal of Biological Macromolecules 2023; 235, 123902.

  156. H Xin, DSA Maruf Al, F Akin-Ige and S Amin. Stimuli-responsive hydrogels for skin wound healing and regeneration. Emergent Materials 2024; 8, 1339-1356.

  157. C Ardean, CM Davidescu, NS Nemeş, A Negrea, M Ciopec, N Duteanu, P Negrea, D Duda-Seiman and V Musta. Factors influencing the antibacterial activity of chitosan and chitosan modified by functionalization. International Journal of Molecular Sciences 2021; 22(14), 7449.

  158. P Sabourian, M Tavakolian, H Yazdani, M Frounchi, TGM van de Ven, D Maysinger and
    A Kakkar
    . Stimuli-responsive chitosan as an advantageous platform for efficient delivery of bioactive agents. Journal of Controlled Release 2020; 317, 216-231.

  159. R Chandrawati. Enzyme-responsive polymer hydrogels for therapeutic delivery. Experimental Biology and Medicine 2016; 241(9), 972-979.

  160. X Dong, C Wei, J Liang, T Liu, D Kong and F Lv. Thermosensitive hydrogel loaded with chitosan-carbon nanotubes for near infrared light triggered drug delivery. Colloids and Surfaces B: Biointerfaces 2017; 154, 253-262.

  161. Y Xing, B Zeng and W Yang. Light responsive hydrogels for controlled drug delivery. Frontiers in Bioengineering and Biotechnology 2022; 10, 1075670.

  162. M Fathi, PS Zangabad, S Majidi, J Barar, H Erfan-Niya and Y Omidi. Stimuli-responsive chitosan-based nanocarriers for cancer therapy. BioImpacts: BI 2017; 7(4), 269.

  163. J Movaffagh, M Azizzadeh, N Amiri and A Moradi. Wound healing and antimicrobial effects of chitosan-hydrogel/honey compounds in a rat full-thickness wound model. Wounds: A Compendium of Clinical Research and Practice 2019; 31(9), 228-235.

  164. Y Kim, Z Zharkinbekov, K Raziyeva, L Tabyldiyeva, K Berikova, D Zhumagul, K Temirkhanova and A Saparov. Chitosan-based biomaterials for tissue regeneration. Pharmaceutics 2023; 15(3), 807.

  165. A Mantovani, CA Dinarello, M Molgora and C Garlanda. Interleukin-1 and related cytokines in the regulation of inflammation and immunity. Immunity 2019; 50(4), 778-795.

  166. M Gao, H Guo, X Dong, Z Wang, Z Yang, Q Shang and Q Wang. Regulation of inflammation during wound healing: The function of mesenchymal stem cells and strategies for therapeutic enhancement. Frontiers in Pharmacology 2024; 15, 1345779.

  167. N Aibani, R Rai, P Patel, G Cuddihy and EK Wasan. Chitosan nanoparticles at the biological interface: Implications for drug delivery. Pharmaceutics 2021; 13(10), 1686.

  168. A Shinde, K Illath, P Gupta, P Shinde, KT Lim, M Nagai and TS Santra. A review of single‐cell adhesion force kinetics and applications. Cells 2021; 10(3), 577.

  169. PH Azueta-Aguayo, MG Chuc-Gamboa, FJ Aguilar-Pérez, FJ Aguilar-Ayala, BA Rodas-Junco, RF Vargas-Coronado and JV Cauich-Rodríguez. Effects of neutralization on the physicochemical, mechanical, and biological properties of ammonium-hydroxide-crosslinked chitosan scaffolds. International Journal of Molecular Sciences 2022; 23(23), 14822.

  170. M Gulfam, SH Jo, TT Vu, I Ali, A Rizwan, SB Joo, SH Park and KT Lim. NIR-degradable and biocompatible hydrogels derived from hyaluronic acid and coumarin for drug delivery and bio-imaging. Carbohydrate Polymers 2023; 303, 120457.

  171. M Ding, L Jing, H Yang, CE Machnicki, X Fu, K Li, IY Wong and PY Chen. Multifunctional soft machines based on stimuli-responsive hydrogels: from freestanding hydrogels to smart integrated systems. Materials Today Advances 2020; 8, 100088.

  172. B Zhang, J He, M Shi, Y Liang and B Guo. Injectable self-healing supramolecular hydrogels with conductivity and photo-thermal antibacterial activity to enhance complete skin regeneration. Chemical Engineering Journal 2020; 400, 125994.

  173. Y Liang, Z Li, Y Huang, R Yu and B Guo. Dual-dynamic-bond cross-linked antibacterial adhesive hydrogel sealants with on-demand removability for post-wound-closure and infected wound healing. ACS Nano 2021; 15(4), 7078-7093.

  174. J Wan, Y Liang, X Wei, H Liang and XL Chen. Chitosan-based double network hydrogel loading herbal small molecule for accelerating wound healing. International Journal of Biological Macromolecules 2023; 246, 125610.

  175. BS Rajinikanth, DSR Rajkumar, K Keerthika and V Vijayaragavan. Chitosan-based biomaterial in wound healing: A review. Cureus 2024; 16(2), e55193.

  176. J Liu and H Shen. Clinical efficacy of chitosan-based hydrocolloid dressing in the treatment of chronic refractory wounds. International Wound Journal 2022; 19(8), 2012-2018.

  177. H Zhang, X Lin, X Cao, Y Wang, J Wang and Y Zhao. Developing natural polymers for skin wound healing. Bioactive Materials 2024; 33, 355-376.

  178. C de Maria Aguiar Carvalho, BB da Silva, SFS Brianezi, RC Sanfelice, DT Balogh, L Assis, L Assis, CR Tim and A Pavinatto. Chitosan-based structures for skin repair: A literature review. International Journal of Biological Macromolecules 2025; 306(2), 141426.

  179. MN Kantak and SS Bharate. Analysis of clinical trials on biomaterial and therapeutic applications of chitosan: A review. Carbohydrate Polymers 2022; 278, 118999.

  180. T Wang, B Xu, T Yu, Y Yu, J Fu, Y Wang, X Gao, Z Xue, R Li and G Chang. PVA/chitosan-based multifunctional hydrogels constructed through multi-bonding synergies and their application in flexible sensors. Carbohydrate Polymers 2025; 350, 123034.

  181. GD Gentzkow, SD Iwasaki, KS Hershon, M Mengel, JJ Prendergast, JJ Ricotta, DP Steed and S Lipkin. Use of dermagraft, a cultured human dermis, to treat diabetic foot ulcers. Diabetes Care 1996; 19(4), 350-354.

  182. L Alrubay and KK Al-Rubay. Skin substitutes: A brief review of types and clinical applications. 2009; 24(1), 4.

  183. W Koenen, M Felcht, S Goerdt and J Faulhaber. Skin substitutes in dermatosurgery. Giornale Italiano di Dermatologia e Venereologia: Organo Ufficiale, Societa Italiana di Dermatologia e Sifilografia 2010; 145(5), 637-649.

  184. L Zaulyanov and RS Kirsner. A review of a bi-layered living cell treatment (Apligraf®) in the treatment of venous leg ulcers and diabetic foot ulcers. Clinical Interventions in Aging 2007; 2(1), 93-98.

  185. M Griffiths, N Ojeh, R Livingstone, R Price and H Navsaria. Survival of apligraf in acute human wounds. Tissue Engineering 2004; 10(7-8), 1180-1195.

  186. M Edmonds. Apligraf in the treatment of neuropathic diabetic foot ulcers. International Journal of Lower Extremity Wounds 2009; 8(1), 11-18.