Start Bootstrap Logo

Trends Sci. 2025; 22(11): 10612

Tailoring and Boosting the Features of ZnO/GO Nanoparticles Doped PVA/PEG Polymer Blend for Optoelectronics Applications


Saad Abbas Jasim1, Najah M. L. Al Maimuri2, Ahmed Hashim1,*,

Mohammed H. Abbas1 and Aseel Hadi3


1Department of Physics, University of Babylon, College of Education for Pure Sciences, Babylon, Iraq

2Building and Construction Technologies Engineering Department, College of Engineering and Engineering Technologies, Al-Mustaqbal University, 51001, Babylon, Iraq

3Department of Ceramic and Building Materials, College of Materials Engineering, University of Babylon,

Babylon, Iraq


(*Corresponding author’s e-mail: [email protected])


Received: 9 May 2025, Revised: 4 June 2025, Accepted: 20 June 2025, Published: 5 August 2025


Abstract

The goal of the present study is to fabricate PVA/PEG/ZnO-GO nanocomposites and investigate their optical features. The PVA/PEG/ZnO-GO nanocomposites have been prepared by utilizing casting technique with various concentrations of (ZnO-GO) nanoparticles. The optical features have been investigated at a range of wavelengths from (220 - 820 nm). The analysis reveal that when (ZnO-GO) nanoparticles ratio has been increased, absorption value of PVA/PEG was boosted whereas the transmittance value was drop down. Whenever (ZnO-GO) nanocomposites ratio have been rise, the band gap was reduced from 4.7 to 3.9 eV for allowed transition from 4.3 to 3.2 eV for forbidden transition. The reduce of energy gap making PVA/PEG/ZnO-GO nanocomposites are suitable for many optoelectronics applications like sensors, diodes, solar cell, transistors and photovoltaic cell. The other optical features of PVA/PEG/ZnO-GO nanocomposites have been boosted. Finally, the outcomes of optical features reveal that the PVA/PEG/ZnO-GO nanocomposites are being possible to be utilized in many optoelectronics applications.


Keywords: Polymer blend, ZnO-GO, Nanoparticles, Optical features, Optoelectronics


Introduction

Polymer nanocomposites are important in the production and material development fields [1]. The most significant factor in it resulting from the interaction of filler nanoparticles with polymer which led to improvement of the features of nanocomposites [2]. Polymer nanocomposites got great interest because they possess a high potential for a big improvement in it features by adding a slight number of nanoparticles to the array of polymer [3].

The manufacturing and investigation of various polymers blend have a lot of interest in the recent year due to the enhancement of the feature of 2 polymer or more with a suitable dopant [4]. Polymer nanocomposites have garnered significant attention due to their enhanced mechanical, electrical, and thermal properties, which are attributed to the incorporation of nanofillers such as metal oxide nanoparticles and graphene derivatives. The blend of Polyvinyl Alcohol (PVA) and Polyethylene Glycol (PEG) serves as an effective matrix for these nanocomposites, offering a balance between flexibility and processability. The addition of Zinc Oxide (ZnO) nanoparticles and Graphene Oxide (GO) further augments the properties of these blends, making them suitable for various applications, including sensors, electronic devices, and biomedical fields [5,6].

In the field of advanced materials science, the development of polymer-based nanocomposites has emerged as a promising strategy to enhance the structural and functional properties of conventional polymers [7,8]. Among various polymeric systems, Polyvinyl Alcohol (PVA) and Polyethylene Glycol (PEG) have attracted significant attention due to their complementary properties. PVA is a water-soluble synthetic polymer known for its excellent film-forming ability, mechanical strength, biocompatibility, and thermal stability. On the other hand, PEG is a flexible, hydrophilic polymer that contributes to plasticity, flexibility, and improved chain mobility when blended with PVA [9,10].

The combination of these 2 polymers results in a blend that maintains a desirable balance between strength and flexibility, making it suitable for a wide range of applications including biomedical devices, packaging, and sensors [11,12]. However, the intrinsic properties of polymer blends can be further tailored through the incorporation of nanofillers. Among the most widely used nanofillers, Zinc Oxide (ZnO) nanoparticles and Graphene Oxide (GO) have shown particular promise. ZnO nanoparticles are known for their high surface area, antimicrobial properties, wide band gap (3.37 eV), and excellent UV-blocking capabilities [13]. Their addition to polymer matrices can significantly enhance the mechanical strength, thermal stability, and optical transparency of the composite. Meanwhile, GO, a 2-dimensional carbon-based material rich in oxygen-containing functional groups, offers outstanding mechanical properties, electrical conductivity, and large surface area [14]. It also interacts well with hydrophilic polymers like PVA and PEG through hydrogen bonding and electrostatic interactions, ensuring good dispersion within the matrix [15]. Together, they significantly improve the physicochemical performance of the base polymer blend. Moreover, this multi-component nanocomposite system provides a highly tunable platform for designing functional materials for a variety of advanced applications ranging from flexible electronics and optoelectronic devices to antibacterial coatings and smart packaging [16-18]. Recent research efforts have focused on optimizing the synthesis routes (e.g., solution casting, in-situ polymerization), controlling nanofiller dispersion, and characterizing the resulting materials to understand the complex interplay between composition, structure, and properties [19]. The properties of nanocomposites were investigated to employ in various fields [20-24]. This paper involves the fabrication of PVA/PEG blend doped with ZnO-GO nanoparticles. The optical and morphological features for PVA/PEG/ZnO-GO nanocomposites were investigated. The PVA/PEG/ZnO-GO nanocomposites have good optical parameters compared with other nanocomposites films which making them are suitable for various optoelectronics applications.


Materials and methods

Materials

Polyvinyl alcohol (PVA), with a molecular weight of approximately 160,000 g/mol and partially hydrolyzed, along with polyethylene glycol (PEG), characterized by a high degree of hydrolysis (99 %) and a molecular weight of 20,000 g/mol, were utilized in their granular, water-soluble synthetic polymer forms. Both polymers were procured from Central Drug House Ltd. (CDH), India. As for the nanomaterial additives, zinc oxide (ZnO) and graphene oxide (GO) nanoparticles were employed. The GO was synthesized using a modified Hummer’s method to ensure high oxidation efficiency and uniformity in structure.


Methods

A polymer blend was prepared using polyvinyl alcohol (PVA) and polyethylene glycol (PEG) in a weight ratio of 9:1 (PVA:PEG). Both polymers were dissolved in distilled water under constant magnetic stirring at 80 °C until complete dissolution was achieved, resulting in a homogeneous polymer solution. To this base polymer blend, nanofillers were added in the form of zinc oxide (ZnO) nanoparticles and graphene oxide (GO), each at varying concentrations of 1, 2 and 3 wt% relative to the total weight of the polymer. The nanomaterials were initially dispersed in a small amount of distilled water using ultrasonic treatment for 30 min to ensure uniform dispersion before being added to the polymer matrix. After thorough mixing, the resulting nanocomposite solutions were cast into clean, leveled glass Petri dishes using the solution casting method. The films were allowed to dry at room temperature for several days under dust-free conditions to enable slow evaporation of the solvent and to form uniform films. The dried films were then carefully peeled off and stored in a desiccator for further characterization.


Results and discussion

Figure 1 shows the surface morphology images of polymer blend doped with (1, 2 and 3 wt%) of (ZnO:GO) nanoparticles respectively. It’s clearly appear from the optical microscopy image that the polymer blend was homogeneously and perfectly dissolved in the solution, as shown in Figures 1(a) - 1(d) the dispersion and distribution of (GO/ZnO) within the polymer blend matrix, highlighting the influence of polymer molecular weight on the nanocomposite’s morphology. The presence of (GO/ZnO) was observed to affect the uniformity and texture of the films, indicating its role in modifying the film’s structural properties [25]. Also, Figure 1 shows the distribution of ZnO-GO NPs inside the PVA/PEG matrix. At low concentration, the nanoparticles form a clusters inside polymer matrix. With increasing the content of NPs provides a link of pathways inside the plastic matrix, permitting carriers of charges to travel across the films, resulting in a change in material properties [26-29].



Picture 2


Figure 1 Optical microscopy images for PVA/PEG/ZnO-GO nanocomposites.



Figure 2 shows the variation of the optical absorbance spectra of polymer blend and PVA/PEG/ZnO-GO nanocomposites films against photon wavelengths for different concentrations of (ZnO-GO) nanoparticles in the wavelength range of 220 - 820 nm. All the results show that films have 1 absorbance peak in the ultraviolet region (λ ~280 nm) and become steady in the visible regions. This is attributed to enhanced light scattering, reduced optical bandgap, and improved interfacial interactions. ZnO nanoparticles, with their wide band gap (~3.2 eV), can narrow the effective band gap of the composite, leading to increased absorption in the UV-visible range. GO’s oxygenated functional groups and sp2 carbon domains introduce additional energy states, further facilitating photon absorption. Moreover, the presence of GO can improve the dispersion and distribution of ZnO nanoparticles within the polymer matrix, enhancing the overall optical properties of the nanocomposite [30].



Figure 2 The absorbance versus wavelength for PVA/PEG/ZnO-GO nanocomposites films.


Figure 3 shows the transmittance spectra for PVA/PEG/ZnO-GO nanocomposites films as a function of wavelength. The transmittance (T) was calculated below [31]:


The reduction in transmittance of PVA/PEG blends doped with ZnO-GO nanoparticles is primarily attributed to increased light scattering and absorption by the nanoparticles. These effects arise from the nanoparticles’ high surface area and crystallinity, which enhance UV absorption and decrease transparency [32].


Figure 3 The transmittance versus wavelength for PVA/PEG/ZnO-GO nanocomposites.


Figure 4 shows the optical conductivity as a function of the wavelength for PVA/PEG Polymer blend and PVA/PEG/ZnO-GO nanocomposites films. It was observed from the figure that the optical conductivity at high photon energy (low wavelength) increased and vice versa at high wavelength, optical conductivity increases at high photon energy (low wavelengths) due to more active electronic transitions, and decreases at lower photon energy (high wavelengths), These properties are important for optoelectronic and photonic applications [33].


Figure 4 The optical conductivity versus wavelength for PVA/PEG/ZnO-GO nanocomposites films.


Figure 5 obtain the absorption coefficient of PVA/PEG polymer blend and PVA/PEG/ZnO-GO nanocomposites films. The α give the information on the the transition’s nature. It is spotted that the α < 104 cm−1, therefore indirect transition is happened. Both PVA/PEG polymer blend and PVA/PEG/ZnO-GO nanocomposites exhibit high absorption coefficients (α < 10⁴ cm⁻¹), indicative of strong absorption in the UV region. The nature of the electronic transitions in these materials is primarily indirect allowed transitions. The incorporation of PEG-PVA blends and GO-ZnO nanocomposites introduces structural disorder and localized states within the band gap, facilitating these indirect transitions [34].



Figure 5 Absorption coefficient for PVA/PEG/ZnO-GO nanocomposites.



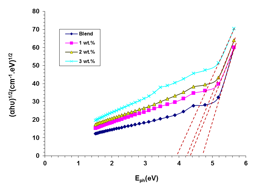
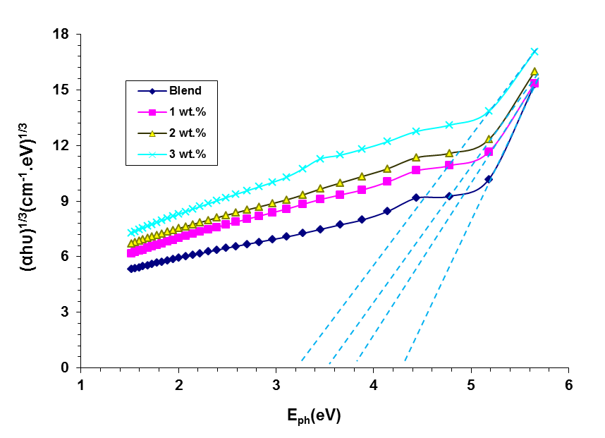
The value of allowed &forbidden energy gap of PVA/PEG polymer blend and PVA/PEG/ZnO-GO nanocomposites is illustrate in Figures 6 and 7, respectively. The band gap reduction in PVA/PEG blends doped with ZnO-GO nanoparticles illustrated in the figures is due to structural disorder, defect states, and mid-gap energy levels introduced by the nanoparticles. These factors enhance electron delocalization and create localized states, allowing indirect transitions at lower photon energies. This results in a reduced energy gap from 4.7 to 3.9 eV for allowed transition from 4.3 to 3.2 eV for forbidden transition due to easier electron transitions and modified electronic structure. The reduce in the Eg is due to grow with a trouble degree to create the localized stages in the structures of nanocomposites causes to shrink of the Eg [35-42]. The reduce of energy gap making PVA/PEG/ZnO-GO nanocomposites are suitable for many optoelectronics applications like sensors, diodes, solar cell, transistors and photovoltaic cell.


Figure 6 Eg values for PVA/PEG/ZnO-GO nanocomposites films for allowed transition.


Figure 7 Eg values for PVA/PEG/ZnO-GO nanocomposites films for forbidden transition.





Figures 8 and 9 show the performances of n and k of PVA/PEG blend and PVA/PEG/ZnO-GO nanocomposites films. The n values reduce with photon wavelength rising and then take steady values. The k values reduce, then rise with rising photon wavelength at low wavelengths. The reduction in the refractive index (n) and extinction coefficient (k) due to the interplay between electronic polarizability, structural disorder, and the material’s electronic band structure. These factors collectively influence how the material interacts with light across different wavelengths. The n values of PVA/PEG blend rise with rising ZnO-GO NPs content which is due to the increase of films density [43-49].


Figure 8 Performance of n for PVA/PEG/ZnO-GO nanocomposites films.

Figure 9 Extinction coefficient for PVA/PEG/ZnO-GO nanocomposites films.

The real and imaginary dielectrics constants of PVA/PEG blend and PVA/PEG/ZnO-GO nanocomposites films are illustrated in Figures 10 and 11. Both of the constant increase with rising photon wavelength and then decrease till reaching steady value. This is primarily due to reduced interfacial polarization at higher frequencies and nanoparticle agglomeration. PVA/PEG-induced amorphousness also lowers dipolar alignment, further decreasing dielectric response. These effects are strongly frequency-dependent and limit polarization at higher frequencies [50,51].


Figure 10 Real part of dielectrics constant for PVA/PEG/ZnO-GO nanocomposites films.


Figure 11 Imaginary part of dielectrics constant for PVA/PEG/ZnO-GO nanocomposites films.



Conclusions

The PVA/PEG polymer blend and PVA/PEG/ZnO-GO nanocomposites films were successfully prepared by casting method. The Optical microscopy images showed that both of (ZnO-GO) nanoparticles were homogeneously diffused within the matrix of polymer blend. It was observed from the study of optical properties that the increase of (ZnO-GO) nanoparticles led to enhancement of all optical coefficients such as absorbance, transmittance, optical conductivity, refractive index, and energy gap. The energy gap decreased from 4.7 to 3.9 eV for allowed transition & from 4.3 to 3.2 eV for forbidden transition. The optical characters showed that the PVA/PEG/ZnO-GO nanocomposites can be used in different optical devices.


Acknowledgements

Acknowledgment to the University of Babylon, Iraq.



References

  1. A Ismardi, I Fathona, D Sugiarto, M Yusril, AK Ningtyas and MNI Hakim. GCE modified by graphene-doped ZnO/PVA nanocomposites for highly sensitive Pb detection. Journal of Physics: Conference Series 2025; 2942(1), 012018.

  2. P Molaei and I Kazeminezhad. One-step in situ synthesis of antimony sulfide/reduced graphene oxide composite as an absorber layer with enhanced photocurrent performances for solar cells. Journal of Nanoparticle Research 2019; 21(3), 54.

  3. NR Aldulaimi and E Al-Bermany. Tuning the bandgap and absorption behaviour of the newly-fabricated ultrahigh molecular weight polyethylene oxide-polyvinyl alcohol/graphene oxide hybrid nanocomposites. Polymers and Polymer Composites 2022; 30, 1-14.

  4. HH Jassim and FS Hashim. Synthesis of (PVA/PEG: ZnO and Co3O4) nanocomposites: Characterization and antibacterial studies. AIP Conference Proceedings 2022; 2398(1), 020033.

  5. S Al-Shehri, S Alshehri, HE Ali, EH Ibrahim, AOM Alzahrani, AM Abdel-Daim, JE Alassafi and MS Aida. Synthesis of multifunctional flexible polymeric PVA/PEG blend nanocomposite films filled with AZO nanoparticles. Polymer Bulletin 2024; 81, 14561-14585.

  6. SA Jasim, HAJ Banimuslem, FH Alsultany, E Al-Bermany and RM Mohammed. Ammonia and nitrogen dioxide detection using ZnO/CNT nanocomposite synthesized by sol-gel technique. Journal of Sol-Gel Science and Technology 2023; 108, 734-741.

  7. FH Falqi, OA Bin-Dahman, M Hussain and MA Al-Harthi. Preparation of miscible PVA/PEG blends and effect of graphene concentration on thermal, crystallization, morphological, and mechanical properties of PVA/PEG (10 wt%) blend. International Journal of Polymer Science 2018; 2018(1), 8527693.

  8. MK Salman, MM Karhib, KA Mohammed, MH Mezher, SA Jasim and AJ AlRubaie. Preparing and studying some physical properties of TiO2-PVA hybrid nanocomposite material for possible environmental applications. AIP Conference Proceedings 2023; 2839(1), 050014.

  9. RA Ghazi, KH Al-Mayalee, E Al-Bermany, FS Hashim and AKJ Albermany. Impact of polymer molecular weights and graphene nanosheets on fabricated PVA-PEG/GO nanocomposites: Morphology, sorption behavior and shielding application. AIMS Materials Science 2022; 9(4), 584-603.

  10. SA Jasim, E Ahmed, SM Al-Ghazaly, MA Al-Seady and HM Abduljalil. Study adsorption ability of pure single-walled carbon nanotube to detection of some toxic gases using DFT calculation. AIP Conference Proceedings 2022; 2398(1), 020012.

  11. M Khan, B Ahmad, K Hayat, F Ullah, N Sfina, M Elhadi, AA Khan, M Husaing and N Rahman. Synthesis of ZnO and PEG-ZnO nanoparticles (NPs) with controlled size for biological evaluation. RSC Advances 2023; 14(4), 2402-2409.

  12. Q Jebur, A Hashim and MA Habeeb. Fabrication, structural and optical properties for (polyvinyl alcohol-polyethylene oxide–iron oxide) nanocomposites. Egyptian Journal of Chemistry 2020; 63(2), 611-623.

  13. M Sadiq, MMH Raza, M Zulfequar and J Ali. Facile synthesis of highly flexible sodium ion conducting polyvinyl alcohol (PVA)-polyethylene glycol (PEG) blend incorporating reduced graphene-oxide (rGO) composites for electrochemical devices application. Journal of Polymer Research 2022; 29(4), 107.

  14. HS Rasheed. Study and synthesis of polymer-blend PVA-PEG doped with 5wt% MgO and different wt% of Co₃O₄ thin film. Egyptian Journal of Chemistry 2021; 64(9), 5093-5099.

  15. IR Agool, KJ Kadhim and A Hashim. Preparation of (polyvinyl alcohol-polyethylene glycol-polyvinyl pyrrolidinone-titanium oxide nanoparticles) nanocomposites: Electrical properties for energy storage and release. International Journal of Plastics Technology 2016; 20(1), 121-127.

  16. Z Khodaee, S Mazinani and F Sharif. Reduced graphene oxide-modified polyvinyl alcohol hydrogel with potential application as skin wound dressings. Journal of Polymer Research 2023; 30(1), 5.

  17. G Singh, S Shanmugam, R Chawla, N Goel, G Talwar, SK Mishra and MK Chatli. Impact of zinc oxide nanoparticles, polyvinyl alcohol, and natural polymers on quality characteristics of nanocomposite film. Coatings 2023; 13(2), 420.

  18. S Mohammadi and A Babaei. Poly (vinyl alcohol)/chitosan/polyethylene glycol-assembled graphene oxide bio-nanocomposites as a prosperous candidate for biomedical applications and drug/food packaging industry. International Journal of Biological Macromolecules 2022; 201, 528-538.

  19. Y Liu, L Wang, D Wen, Z Deng, Z Wu, S Li and Y Li. Preparation and characterization of nano-silver/graphene oxide antibacterial skin dressing. Scientific Reports 2025; 15, 12490.

  20. A Hashim and A Jassim. Novel of biodegradable polymers-inorganic nanoparticles: Structural, optical and electrical properties as humidity sensors and gamma radiation shielding for biological applications. Journal of Bionanoscience 2018; 12(2), 170-178.

  21. D Bonardo, N Darsono, S Humaidi, A Imaduddin and NS Silalahi. Effect of calcination frequency on the thermoelectric properties of Ti doped CuCrO2 by solid state method. Journal of Metals, Materials and Minerals 2023; 33(4), 1785-1785.

  22. A Hashim, H Abduljalil and H Ahmed. Analysis of optical, electronic and spectroscopic properties of (biopolymer-sic) nanocomposites for electronics applications. Egyptian Journal of Chemistry 2019; 62(9), 1659-1672.

  23. H Ahmed, A Hashim and HM Abduljalil. Analysis of structural, electrical and electronic properties of (polymer nanocomposites/ silicon carbide) for antibacterial application. Egyptian Journal of Chemistry 2019; 62(4), 767-776.

  24. A Hashim and A Jassim. Novel of (PVA-ST-PbO2) bio nanocomposites: Preparation and properties for humidity sensors and radiation shielding applications. Sensor Letters 2017; 15(12), 1003-1009.

  25. S Hammani, S Daikhi, M Bechelany and A Barhoum. Role of ZnO nanoparticles loading in modifying the morphological, optical, and thermal properties of immiscible polymer (PMMA/PEG) blends. Materials 2022; 15(23), 8453.

  26. A Hashim and Q Hadi. Novel of (niobium carbide/polymer blend) nanocomposites: fabrication and characterization for pressure sensor. Sensor Letters 2017; 15(11), 951-953.

  27. A Hashim, SM Alshrefi, HH Abed and A Hadi. Synthesis and boosting the structural and optical characteristics of PMMA/SiC/CdS hybrid nanomaterials for future optical and nanoelectronics applications. Journal of Inorganic and Organometallic Polymers and Materials 2024; 34, 703-711.

  28. A Hashim, H Ibrahim and A Hadi. Fabrication of PS/Si3N4/SrTiO3 multifunctional nanocomposites and boosting their microstructure and optical and dielectric features for energy storage and nanodielectric applications. Journal of Materials Science: Materials in Electronics 2025; 36, 312.

  29. A Hashim, B Mohammed, A Hadi and H Ibrahim. Synthesis and augment structural and optical characteristics of PVA/SiO2/BaTiO3 nanostructures films for futuristic optical and nanoelectronics applications. Journal of Inorganic and Organometallic Polymers and Materials 2024; 34, 611-621.

  30. R Ambrosio, A Carrillo, ML Mota, K De la Torre, R Torrealba, M Moreno, H Vazquez, J Flores and I Vivaldo. Polymeric nanocomposites membranes with high permittivity based on PVA-ZnO nanoparticles for potential applications in flexible electronics. Polymers 2018; 10(12), 1370.

  31. MH Lin, YH Wang, CH Kuo, SF Ou, PZ Huang, TY Song, YC Chen, ST Chen, CH Wu, YH Hsueh and FY Fan. Hybrid ZnO/chitosan antimicrobial coatings with enhanced mechanical and bioactive properties for titanium implants. Carbohydrate Polymers 2021; 257, 117639.

  32. G Singh, S Shanmugam, R Chawla, N Goel, G Talwar, SK Mishra and MK Chatli. Impact of zinc oxide nanoparticles, polyvinyl alcohol, and natural polymers on quality characteristics of nanocomposite film. Coatings 2023; 13(2), 420.

  33. I Boukhoubza, M Khenfouch, M Achehboune, L Leontie, AC Galca, M Enculescu, A Carlescu, M Guerboub, BM Mothudi, A Jorio and I Zorkani. Graphene oxide concentration effect on the optoelectronic properties of ZnO-GO nanocomposites. Nanomaterials 2020; 10(8), 1532.

  34. A Ejbarah, R Khudhur Mohammed, M Mohammed and AJ Hashim. Studying the optical properties of nanocomposite PVA-PEG-ZrC. Journal of Nanostructures 2024; 14(2), 427-436.

  35. TV Khai, LN Long, NHT Khoi and NH Thang. Effects of hydrothermal reaction time on the structure and optical properties of ZnO/graphene oxide nanocomposites. Crystals 2022; 12(12), 1825.

  36. MI Mohammed and F El-Sayed. PEG’s impact as a plasticizer on the PVA polymer’s structural, thermal, mechanical, optical, and dielectric characteristics. Optical and Quantum Electronics 2023; 55(13), 1141.

  37. H Ahmed and A Hashim. Design and tailoring the structural and spectroscopic characteristics of Sb2S3 nanostructures doped PMMA for flexible nanoelectronics and optical fields. Optical and Quantum Electronics 2023; 55(3), 280.

  38. H Ahmed and A Hashim. Design and exploring the structure, optical and electronic characteristics of silicon doped PS/MoS2 structures for electronics Nanodevices. Optical and Quantum Electronics 2022; 54(7), 403.

  39. H Ahmed and A Hashim. Tunable spectroscopic, electronic and thermal characteristics of PS/Nb5Si3/ZnS nanostructures for optics and potential nanodevices. Optical and Quantum 2023; 55(1), 9.

  40. H Ahmed and A Hashim. Tuning the characteristics of novel (PVA-Li-Si3N4) structures for renewable and electronics fields. Silicon 2022; 14(8), 4079-4086.

  41. NAH Al-Aaraji, A Hashim, HM Abduljalil and A Hadi. Tailoring the design, structure and spectroscopic characteristics of SiC/CuO doped transparent polymer for photonics and quantum nanoelectronics fields. Optical and Quantum Electronics 2023; 55(8), 743.

  42. H Ahmed and A Hashim. Design and tailoring the optical and electronic characteristics of PS/ZnS/SiBr4 new structures for electronics nanodevices. Silicon 2023; 15(1), 83-91.

  43. YA Alibwaini, OM Hemeda, R El-Shater, T Sharshar, AH Ashour, AW Ajlouni, EA Arrasheed and AMA Henaish. Synthesis, characterizations, optical and photoluminescence properties of polymer blend PVA/PEG films doped with eosin Y (EY) dye. Optical Materials 2021; 111, 110600.

  44. HK Jaafar, A Hashim and BH Rabee. Fabrication and tuning the morphological and optical characteristics of PMMA/PEO/SiC/BaTiO3 newly quaternary nanostructures for optical and quantum electronics fields. Optical and Quantum Electronics 2023; 55, 989.

  45. HK Jaafar, A Hashim and BH Rabee. Synthesis and boosting the morphological and optical characteristics of SiC/SrTiO3 nanomaterials doped PMMA/PEO for tailored optoelectronics fields. Silicon 2024; 16, 603-614.

  46. HB Hassan, A Hashim and HM Abduljalil. Synthesis, structural and optical characteristics of PEO/NiO/In2O3 hybrid nanomaterials for photodegradation of pollutants from wastewater. Optical and Quantum Electronics 2023; 55(6), 556.

  47. FA Jasim, A Hashim, AG Hadi, F Lafta, SR Salman and H Ahmed. Preparation of (pomegranate peel-polystyrene) composites and study their optical properties. Research Journal of Applied Sciences 2013; 8(9), 439-441.

  48. HS Abdulsalam, A Hashim and MK Mohammed. Synthesis and tuning the morphological and optical features of PS/SiO2-Sb2O3 promising hybrid nanomaterials for radiation shielding and futuristic optoelectronics applications. Journal of Materials Science: Materials in Electronics 2025; 36(8), 480.

  49. MH Abbas, H Ibrahim, A Hashim and A Hadi. Ameliorating and tailoring the features of silica-silicon carbide nanoceramic doped polyethylene oxide for promising optoelectronics applications. Silicon 2025; 17(3), 697-707.

  50. G Sahu, M Das, M Yadav, BP Sahoo and J Tripathy. Dielectric relaxation behavior of silver nanoparticles and graphene oxide embedded poly(vinyl alcohol) nanocomposite film: An effect of ionic liquid and temperature. Polymers 2020; 12(2), 374.

  51. S Verma, S Mohanty and SK Nayak. Preparation of hydrophobic epoxy-polydimethylsiloxane–graphene oxide nanocomposite coatings for antifouling application. Soft Matter 2020; 16(5), 1211-1226.