Start Bootstrap Logo

Trends Sci. 2025; 22(11): 10557

Synthesis and Ameliorating the Morphological, Microstructure and Optical Features of PMMA-PEG/BaTiO3 Nanostructures for Flexible Photonics and Optics Devices


Ahmed Hashim1,*, Ghaith Ahmed2, Najah M. L. Al Maimuri3,

Hamed Ibrahim4, Aseel Hadi5 and Dinesh Uthra6


1Department of Physics, University of Babylon, College of Education for Pure Sciences, Babylon, Iraq

2Department of Anesthesia Techniques, Hilla University College, Babylon, Iraq

3Building and Construction Department, College of Engineering & Engineering Techniques, Al-Mustaqbal University, 51001, Babylon, Iraq

4Al-Zahraa University for Women, Kerbala, Iraq

5Department of Ceramic and Building Materials, College of Materials Engineering, University of Babylon,

Babylon, Iraq

6Department of Pure & Applied Physics, Guru Ghsaidas Vishwavidyalaya, Biaspur-Chhattisgarh, India


(*Corresponding author’s e-mail: [email protected])


Received: 5 May 2025, Revised: 4 June 2025, Accepted: 11 June 2025, Published: 1 August 2025


Abstract

The polymer nanocomposites are important materials for many optical and electronic applications. This research aims to fabricate of barium titanate (BaTiO3) NPs doped polyethylene glycol (PEG)-polymethyl methacrylate (PMMA) to apply in various photonics and optical approaches. The (PEG-PMMA/BaTiO3) films were coursed using the casting method. The microstructure and optical characteristics of (PEG-PMMA/BaTiO3) films were investigated. The optical features results showed when the BaTiO3 NPs content reached 5 wt.%, the transmission(T) was reduced whereas the absorption(A) was augmented. The energy gap (Eg) of the (PEG-PMMA) blend decreased from 2.5 to 1.9 eV with increasing BaTiO3 NPs concentration to reach of 5 wt.% making the (PEG-PMMA/BaTiO3) nanostructures are suitable for optical and optoelectronic nanodevices. The refractive index, real and imaginary dielectric constants, absorption coefficient, optical conductivity and extinction coefficient were improved with increasing BaTiO3 NPs concentration. Finally, the obtained findings indicated that the (PEG-PMMA/BaTiO3) nanostructures might be employed in a range of optical applications.


Keywords: Absorbance, BaTiO3, Energy gap, Optoelectronics, PMMA, PEG


Introduction

In recent years, nanocomposites composed of practically all polymer systems have been used to improve one or more properties, with varying degrees of success. Polymers have inspired substantial interest in device manufacture due to their remarkable inherent properties such as ease of processing, flexibility, extraordinary strength, and so on. It is widely known that the optical and electrical features of polymers could be enhanced to a favorite boundary with appropriate


doping [1]. Polymers and organic substances have attracted a lot of consideration for their exceptional properties, which promise to build lightweight, flexible, friendly for ecologically, and cost-effective electrical gadgets [2-4]. Nanotechnology delivers an appropriate platform to adjust the physicochemical features of varied substances in an evaluation to their bulk equivalents, which could be utilized for bioapplications [5]. Nanotechnology is thus a very promising issue, and it is anticipated to radically reconstruct the technical applications in semiconductors, inorganic and organic materials, energy storage, and biology
[6-8]. Polyethylene glycol is commonly used for solid dispersions due to its short melting point, quick rate for solidification, ability to produce solid medication solutions, few toxicity, and few cost [9]. As a result, it is employed in a variety of fields, including clothing, textiles, rubber, wood, metal, medicines, coatings, and cosmetics [10]. PEG is also available in a variety of geometric shapes [11]. PMMA (polymethylmethacrylate) is a linear thermoplastic polymer. The glass transition temperature is 85 °C, whereas the melting point is 160 °C. PMMA provides outstanding mechanical strength, hardness, stiffness, transparency, and insulation [12]. Its refractive index ranges between 1.3 and 1.7, making it an excellent optical material. PMMA is a common organic optical material because to its lightweight, high strength under pressure, and shatter-resistant qualities. A replacement for inorganic glass [13]. PMMA was utilized as a matrix of various nanocomposites to apply in many applications [14-19]. The piezoelectric materials were employed in several applications [20-23]. The ecologically friendly synthesis of BaTiO
3 at the nanoscale level remains a major concern. BaTiO3 is widely used in electrical devices because of its ferroelectric, and piezoelectric features in a tetragonal construction. Its optical features, predominantly the luminescence of the nanostructured substance, include attracted substantial interest. BaTiO3 material is widely used in various approaches, including piezoelectric devices, extraordinary density optical data storage, and capacitors, [24-26]. BaTiO3 was added into polymers to improve their optical and electrical properties [27-29]. The casting method was used to fabricate of nanocomposites [30-34]. The novelty of current work comprises production of (PEG-PMMA/BaTiO3) nanostructures films have best optical characteristics with few cost and excellent flexibility compared with other nanostructures types.




Materials and methods

A casting procedure was used to create nanostructured films of barium titanate (BaTiO3) doped polyethylene glycol (PEG), and polymethyl methacrylate (PMMA). The casting method is straightforward, cost-effective, and easy to fabricate. BaTiO3 (50 nm, high purity (99.99%) was obtained as nanopowder form US Research Nanomaterials, Inc. To create a PEG-PMMA polymeric film, 1 g of PMMA and PEG were dissolving in the chloroform of 30 mL with 50 wt.% PMMA + 50 wt.% PEG by employing the magnetic stirrer for 1 h at room temperature. BaTiO3 NPs were added to a PEG/PMMA solution at concentrations of 2.5% and 5%. Nanostructured films of BaTiO3/PEG-PMMA made with thickness of 90 μm which was measured using digital micrometer. An optical microscope was used to analyze the distribution of BaTiO3 NPs in the PEG/PMMA matrix. FTIR analysis for PEG-PMMA/BaTiO3 films verified by FTIR (Bruker). The optical properties of BaTiO3/PEG-PMMA nanostructured films were evaluated via a spectrophotometer (Shimadzu). The optical characteristics of BaTiO3/PEG-PMMA nanostructures were investigated at wavelengths ranging from 280 - 880 nm. Figure 1 displays the experimental part diagram. The extinction coefficient (k) is defined by [35]:


where λ refers to the wavelength and (α) indicates to the coefficient of absorption. Coefficient of absorption is defined by [36]:



where A is absorbance and t is thickness. The refractive index(n) is given by[37]:


Figure 1 Diagram of experimental part.


Results and discussion

Figure 2 displays the analysis of FTIR for PEG-PMMA/BaTiO3 films. PEG-PMMA spectra revealed peaks about (2934.96) cm−1, showing stretching of asymmetric of the CH2 set linked with PMMA. Peak at (1722.55) cm−1 from the car-bonyl C=O stretching vibration demonstrates the overlap of PMMA and PEG. The peaks at (1424.74) cm−1 represent the
C-O sets in the blend matrix. Peaks at (1230.74) cm
−1 represent to the stretching of C-C-O in the set of ester. The CH2 sets at 1140.49 and 969.14 cm−1 denote the bending and stretching modes of CH2. The FTIR curves of BaTiO3 complexes reveal unique absorption peaks at (827.39 and 739.31) cm−1, which indicate the existence of BaTiO3 nanoparticles. Increased concentrations of BaTiO3 NPs resulted in a modest decrease in transmittance, most likely due to the rise density of films [41-43].


Figure 2 FT-IR spectra (PEG-PMMA/BaTiO3) nanocomposites.


Figure 3 displays the optical microscope image for (PEG-PMMA/BaTiO3) films at (100x) for all films. This Figure depicts the dispersion of BaTiO3 nanostructures inside a PEG-PMMA matrix. At low concentration, the nanoparticles form a clusters inside polymer matrix. With increasing the content of NPs provides a link of pathways inside the plastic matrix, permitting carriers of charges to travel across the nanocomposites films, resulting in a change in material characteristics [44-51].

Figure 3 Microscope images (10x) for (PEG-PMMA/BaTiO3) nanocomposites.


Figure 4 demonstrates the absorption spectra of PEG-PMMA/BaTiO3 films with photon wavelengths. The addition of BaTiO3 to the (PEG-PMMA) blend shifted the edge of absorption to greater wavelengths. The absorption of the PEG-PMMA mix rises with increased BaTiO3 NP content. Doping PEG-PMMA with BaTiO3 NPs improved its absorption and increased molecular interactions between cations and anions, producing defects during the polymer. The shift in UV absorption revealed exchange interactions inside the host polymeric blend matrix. Furthermore, a slight shift in the absorption edge toward the great wavelength region indicates a narrowing of the optical band gap. The absence of an absorption band in the visible spectrum also indicates that the samples are transparent. PEG-PMMA/BaTiO3 nanocomposites exhibit high absorptivity at high photon energies, as these energies are sufficient to transfer electrons to high levels. The rise of absorbance with growing BaTiO3 NPs ratio may be due to increase the charges carriers numbers [52-60].


Figure 4 Variation of absorbance for (PEG-PMMA/BaTiO3) films with λph.


Figure 5 shows the change in transmittance spectra of BaTiO3/PEG-PMMA films with varying photon wavelengths. The transmittance decreases with increasing BaTiO3 NPs content. BaTiO3 NPs absorb incident light photons, making electrons to transfer to higher levels of energy and occupy vacant regions in the energy bands. The reduce of transmittance with rising of BaTiO3 related to rise of charges carriers [61-64].


Figure 5 Variation of transmittance for (PEG-PMMA/BaTiO3) nanocomposites with wavelength.


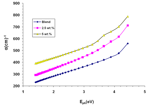
Figure 6 illustrates how the coefficient of absorption for (PEG-PMMA/BaTiO3) films varies with energy of photon. The absorption coefficient is low at low energy, suggesting that electron transmission is improbable due to insufficient energy from the input photon (hʋ<𝐸𝑔). Higher energy absorption means greater possibility of electrical transitions. The external photon has sufficient energy to transfer an electron from the valence to the conduction band, thus crossing the forbidden energy gap. The α of the (PEG-PMMA/BaTiO3) films is less than 104 cm−1 at all contents. The α of the nanocomposite rises with increasing concentration of (BaTiO3) nanoparticles. This is because the number of charge carriers has increased [65-68].


Figure 6 Variation of α for (PEG-PMMA/BaTiO3) films with Eph.


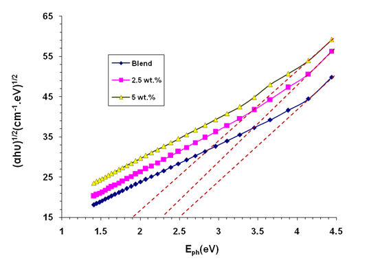
Figures 7 and 8 illustrate the band gap values ​​for the PEG-PEG/BaTiO3 films for the allowed and forbidden transitions, respectively. The band gap for the allowed and forbidden transitions was determined at r = 2 and r = 3, respectively. Increasing the concentration of BaTiO3 nanoparticles reduces the optical band gap. With higher BaTiO3 NPs loading, the formation of on-site levels in the band gap causes electrons to move from the valence band to the localized levels to the conduction band in 2 stages. Increasing the barium titanate NPs provides electron channels in the polymer, allowing electrons to pass from the valence band to the conduction band, leading to a reduction in the optical band gap. The values of the energy gap for (PEG-PMMA/BaTiO3) films are reduced with a rise in the BaTiO3 nanoparticles ratio owing to form of charges transfer complexes between the functional groups of polymer and the atoms of nanoparticles. The embedded BaTiO3 nanoparticles form an intermediate band among the polymer structure and thus decrease the energy gap of nanostructure films. The reduction of the values of the (Eg) is assumed to rise with a degree of disturbance to generate the localized state in the nanostructures, as the BaTiO3 nanoparticles produce energy levels in the band gap in the polymer matrix, leading to decline of the energy gap (Eg) [69-80]. These results are agree with [81-85].



Figure 7 Behavior of (αhv)1/2 for (PEG-PMMA/BaTiO3) films with Eph.


Figure 8 Behavior of (αhʋ)1/3 for (PEG-PMMA/BaTiO3) films with Eph.


The extinction coefficient of (PEG-PMMA/BaTiO3) films as a function of wavelength is represented in Figure 9. The k is a measure of the amount of absorption loss produced by electromagnetic waves dispersing as they travel through material. As photon energy rises, the extinction coefficient falls, suggesting that more light is lost by scattering and absorption. Furthermore, when the Eph rises, the factor of loss reduces. Because BaTiO3 NPS absorbs photons. Nanocomposites with larger concentrations of BaTiO3 nanoparticles display better attenuation coefficients because of amended absorption and dispersion of photon in the matrix of polymer [86-88].






Figure 9 Variation of k for (PEG-PMMA/BaTiO3) films with λph.


Figure 10 depicts the difference of refractive index with wavelength for (PEG-PMMA/BaTiO3) nanocomposites. The n values of PEG-PMMA blend are rise with growing BaTiO3 nanoparticles concentration. The n for (PEG-PMMA/BaTiO3) films reduced with increasing wavelength. The increase of BaTiO3 concentration leads to increase the density in nanocomposites, which explains the observed effect. At high photon energy, the absorbance for (PEG-PEG/BaTiO3) nanocomposites is higher, hence the reflectance is low leads to lower values of n. The concentration of 5 wt.% has high reflectance at VIS and NIR regions, hence its included higher values of n. The increase demonstrates faster radiation of electromagnetic transitory during the substance at low photon energy levels [89-95].


Figure 10 Variation of n for (PEG-PMMA/BaTiO3) films with λph.


Figures 11 and 12 illustrate the performance of the real and imaginary dielectric constant with wavelength for PEG-PMMA/BaTiO3 nanocomposites. As the content of BaTiO3 NPs increases, both the ε1 and ε2 of PEG-PMMA increase. The addition of BaTiO3 NPs increases the electric polarization, resulting in a higher dielectric constant of the PEG-PMMA blend and a partial increase in the polymer charges. The figures also illustrate how the dielectric constant of the PEG-PMMA/BaTiO3 nanocomposite changes with rising wavelength. This is due to the effect of the n values on the ε1. The k affects the ε2, especially at wavelengths (380 - 880 nm), where the n values remains constant but k increases with wavelength [96-101].


Figure 11 Performance of ε1 for (PEG-PMMA/BaTiO3) films with λph.


Figure 12 Behavior of ε2 for (PEG-PMMA/BaTiO3) films with λph.


Figure 13 shows the variation of the photoconductivity of the PEG-PMMA/BaTiO3 nanocomposites with photon wavelength. The figure shows a decrease in the photoconductivity of the PEG-PMMA/BaTiO3 nanocomposites with increasing wavelength. The nanocomposite samples exhibit better photoconductivity at lower photon wavelengths, due to increased absorption resulting from excitation charge transfer. The addition of BaTiO3 nanoparticles improved the photoconductivity by producing localized levels in the energy gap, resulting in an increased concentration of BaTiO3 NPs. The number of nanoparticles increases the density of localized states within the band structure [102-106].



Figure 13 Variation of optical conductivity for (PEG-PMMA/BaTiO3) nanocomposites with wavelength.



Conclusions

This study included fabrication of BaTiO3/PEG/PMMA nanostructures for nanoelectronics and photonics applications including photovoltaic cells, optical devices, sensors, and electrical gates. The morphology and optical properties of BaTiO3/PEG/PMMA nanostructures were investigated. The results showed that the raising of (BaTiO3) NPs ratio to 5 wt.% leads to improve of (PEG-PMMA) absorption while transmission reduces with increasing BaTiO3 content. The PEG-PMMA/BaTiO3 nanostructures exhibit excellent photon energy absorption at UV-spectra making them appropriate for use in optoelectronic nanodevices. The energy gap (Eg) of the (PEG-PMMA) blend decreased from 2.5 to 1.9 eV with increasing BaTiO3 NPs concentration to reach of 5 wt.% making the (PEG-PMMA/BaTiO3) nanostructures important for optical and optoelectronic nanodevices. The other optical parameters increased with increasing BaTiO3 NPs concentration. Finally, the obtained results indicated that the (PEG-PMMA/BaTiO3) nanostructures might be employed in a range of nanoelectronics applications.


Acknowledgements

Acknowledgment to the University of Babylon, Iraq.




References

[1] HM Mohssin. Investigation of optical properties for (PVA-PEG-Ag) polymer nanocomposites films. International Journal of Engineering Research & Technology (IJERT) 2017; 6(7), 164-170.

[2] A Hashim, IR Agool and KJ Kadhim. Novel of (polymer blend-Fe3O4) magnetic nanocomposites: Preparation and characterization for thermal energy storage and release, gamma ray shielding, antibacterial activity and humidity sensors applications. Journal of Materials Science: Materials in Electronics 2018; 29(12), 10369-10394.

[3] FL Rashid, A Hadi, NH Al-Garah and A Hashim. Novel phase change materials, MgO nanoparticles, and water based nanofluids for thermal energy storage and biomedical applications. International Journal of Pharmaceutical and Phytopharmacological Research 2018; 8(1), 46-56.

[4] A Hashim and A Hadi. Synthesis and characterization of novel piezoelectric and energy storage nanocomposites: Biodegradable materials-magnesium oxide nanoparticles. Ukrainian Journal of Physics 2017; 62(12), 1050-1056.

[5] R Singh, MS Smitha and SP Singh. The role of nanotechnology in combating multi-drug resistant bacteria. Journal for Nanoscience and Nanotechnology 2014; 14(7), 4745-4756.

[6] CC Okpala. Nanocomposites—an overview. International Journal of Engineering Research and Development 2013; 8(11), 17-23.

[7] FL Rashid, SM Talib, A Hadi and A Hashim. Novel of thermal energy storage and release: Water/(SnO2 -TaC) and water/(SnO2-SiC) nanofluids for environmental applications. IOP Conference Series: Materials Science and Engineering 2018; 454, 012113.

[8] A Hadi, FL Rashid, HQ Hussein and A Hashim. Novel of water with (CeO2-WC) and (SiC-WC) nanoparticles systems for energy storage and release applications. IOP Conference Series: Materials Science and Engineering 2019; 518(3), 032059.

[9] H Bley, B Fussnegger and R Bodmeier. Characterization and stability of solid dispersions based on PEG / polymer blends. International Journal of Pharmaceutics 2010; 390(2), 165-173.

[10] ZK Heiba, MB Mohamed and SI Ahmed. Exploring the physical properties of PVA/PEG polymeric material upon doping with nano gadolinium oxide: Exploring the physical properties of PVA/PEG polymeric material. Alexandria Engineering Journal 2022; 61(5), 3375-3383.

[11] MS Zafar. Prosthodontic applications of polymethyl methacrylate (PMMA): An update. Polymers 2020; 12(10), 2299.

[12] VK Thakur, D Vennerberg, SA Madbouly and MR Kessler. Bio-inspired green surface functionalization of PMMA for multifunctional capacitors. RSC Advances 2014; 4(13), 6677-6684.

[13] G Ahmed and A Hashim. Development of nanometal nitride doped PMMA blend for biomedicine and industrial fields: Recent review. World Journal of Advanced Research and Reviews 2023; 17(3), 424-436.

[14] A Hazim, HM Abduljalil and A Hashim. Structural, spectroscopic, electronic and optical properties of novel platinum doped (PMMA/ZrO2) and (PMMA/Al2O3) nanocomposites for electronics devices. Transactions on Electrical and Electronic Materials 2020; 21, 550-563.

[15] A Hazim, HM Abduljalil and A Hashim. First principles calculations of electronic, structural and optical properties of (PMMA-ZrO2-Au) and (PMMA-Al2O3-Au) nanocomposites for optoelectronics applications. Transactions on Electrical and Electronic Materials 2021; 22, 185-203.

[16] A Hazim, A Hashim and H Abduljalil. Fabrication of novel (PMMA-Al2O3/Ag) nanocomposites and its structural and optical properties for lightweight and low cost electronics applications. Egyptian Journal of Chemistry 2021; 64(1), 359-374.

[17] Z Sattar and A Hashim. Quaternary PMMA-PEG/SnO₂-SiC nanocomposite films for flexible nanodielectric and energy storage applications. Silicon 2025; 17, 1681-1692.

[18] G Ahmed, AF Kadhim, A Hashim and H Ibrahim. Fabrication and exploring the structural and optical features of Si3N4/SiO2 hybrid nanomaterials doped PMMA for promising optoelectronics fields. Optical and Quantum Electronics 2024; 56, 1308.

[19] A Hashim, HH Abed and SM Alshrefi. Ameliorating and tuning the structural, morphological, and optical characteristics of chromium Oxide/Silicon carbide promising hybrid nanocomposites doped PMMA for futuristic nanoelectronics and photonics applications. Silicon 2024; 16, 5087-5095.

[20] E Pakizeh. Optical response and structural properties of Fe-doped Pb(Zr0.52Ti0.48)O3 nanopowders. Journal of Materials Science: Materials in Electronics 2020; 31, 4872-4881.

[21] E Pakizeh and M Moradi. Kramers-Kronig method for determination of optical properties of PZT nanotubes fabricated by sol-gel method and porous anodic alumina with high aspect ratio. International Journal of Modern Physics B 2018; 32(8), 1850096.

[22] E Pakizeh and M Moradi. Effect of particle size on the optical properties of lead zirconate titanate nanopowders. Journal of the American Ceramic Society 2018; 101(12), 5335-5345.

[23] E Pakizeh, M Moradi and A Ahmadi. Effect of sol-gel pH on XRD peak broadening, lattice strain, ferroelectric domain orientation, and optical bandgap of nanocrystalline Pb1.1(Zr0.52Ti0.48)O3. Journal of Physics and Chemistry of Solids 2014; 75(2), 174-181.

[24] WS Cho. Structural evolution and characterization of BaTiO3 nanoparticles synthesized from polymeric precursor. Journal of Physics and Chemistry of Solids 1998; 59(5), 659-666.

[25] AK Jha and K Prasad. Ferroelectric BaTiO3 nanoparticles: Biosynthesis and characterization. Colloids and surfaces B: Biointerfaces 2010; 75(1), 330-334.

[26] ML Moreira, GP Mambrini, DP Volanti, ER Leite, MO Orlandi, PS Pizani, VR Mastelaro, CO Paiva-Santos, E Longo and JA Varela. Hydrothermal microwave: A new route to obtain photoluminescent crystalline BaTiO3 nanoparticles. Chemistry of Materials 2008; 20(16), 5381-5387.

[27] HK Jaafar, A Hashim and BH Rabee. Fabrication and unraveling the morphological, structural, and dielectric features of PMMA-PEO-SiC-BaTiO3 promising quaternary nanocomposites for multifunctional nanoelectronics applications. Journal of Materials Science: Materials in Electronics 2024; 35, 128.

[28] A Hashim, B Mohammed, A Hadi and H Ibrahim. Synthesis and augment structural and optical characteristics of PVA/SiO2/BaTiO3 nanostructures films for futuristic optical and nanoelectronics applications. Journal of Inorganic and Organometallic Polymers and Materials 2023; 34, 611-621.

[29] HK Jaafar, A Hashim and BH Rabee. Fabrication and tuning the morphological and optical characteristics of PMMA/PEO/SiC/BaTiO3 newly quaternary nanostructures for optical and quantum electronics fields. Optical and Quantum Electronics 2023; 55(11), 989.

[30] HM Shanshool, M Yahaya, WMM Yunus and IY Abdullah. Investigation of energy band gap in polymer/ZnO nanocomposites. Journal of Materials Science: Materials in Electronics 2016; 27, 9804-9811.

[31] A Hashim, H Ibrahim and A Hadi. Fabrication of PS/Si3N4/SrTiO3 multifunctional nanocomposites and boosting their microstructure and optical and dielectric features for energy storage and nanodielectric applications. Journal of Materials Science: Materials in Electronics 2025; 36, 312.

[32] AF Kadhim and A Hashim. Fabrication and tuning the structural and dielectric characteristics of PS/SiO2/SrTiO3 hybrid nanostructures for nanoelectronics and energy storage devices. Silicon 2023; 15, 4613-4621.

[33] MH Meteab, A Hashim and BH Rabee. Synthesis and characteristics of SiC/MnO2/PS/PC quaternarynanostructures for advanced nanodielectrics fields. Silicon 2023; 15, 1609-1620.

[34] Hk Jaafar, A Hashim and BH Rabee. Tailoring the influence of hybrid SiC/SrTiO3 nanomaterials doped PMMA/PEO for promising nanodielectric and nanoelectronic applications. Silicon 2024; 16, 1905-1915.

[35] TS Soliman and SA Vshivkov. Effect of Fe nanoparticles on the structure and optical properties of polyvinyl alcohol nanocomposite films. Journal of Non-Crystalline Solids 2019; 519, 119452.

[36] RM Yas. Gamma radiation induced changes in the optical properties of CdTe thin films for dosimetric purposes. Iraqi Journal of Physics 2012; 10(17), 71-76.

[37] S Agarwal, YK Saraswat and V Saraswat. Study of optical constants of ZnO dispersed PC/PMMA blend nanocomposites. Open Physics Journal 2016; 3(1), 63-72.

[38] S Mohamed and N Kareem. Optical properties for prepared polyvinyl alcohol/ polyaniline/ ZnO nanocomposites. Iraqi Journal of Physics 2018; 16(36), 181-189.

[39] AMA Henaish and AS Abouhaswa. Effect of WO3 nanoparticle doping on the physical properties of PVC polymer. Bulletin of Materials Science 2020; 43(1), 149.

[40] TA Taha. Optical properties of PVC/Al2O3 nanocomposite films. Polymer Bulletin 2019; 76(2), 903-918.

[41] G Ahmed and A Hashim. Synthesis of PMMA/PEG/Si3N4 nanostructures and exploring the structural and dielectric characteristics for flexible nanoelectronics applications. Silicon 2023; 15, 3977-3985.

[42] SB Balakrishnan, M Alam, N Ahmad, M Govindasamy, S Kuppua and S Thambusamy. Electrospinning nanofibrous graft preparation and wound healing studies using ZnO nanoparticles and glucosamine loaded with poly(methyl methacrylate)/polyethylene glycol. New Journal of Chemistry 2021; 45(18), 7987-7998.

[43] A Hashim, SM Alshrefi, HH Abed and A Hadi. Synthesis and boosting the structural and optical characteristics of pmma/sic/cds hybrid nanomaterials for future optical and nanoelectronics applications. Journal of Inorganic and Organometallic Polymers and Materials 2024; 34, 703-711.

[44] A Kareem, A Hashim and HB Hassan. Ameliorating and tailoring the morphological, structural, and dielectric features of Si3N4/CeO2 futuristic nanocomposites doped PEO for nanoelectronic and nanodielectric applications. Journal of Materials Science: Materials in Electronics 2024; 35, 461.

[45] MH Abbas, H Ibrahim, A Hashim and A Hadi. Ameliorating and tailoring the features of silica-silicon carbide nanoceramic doped polyethylene oxide for promising optoelectronics applications. Silicon 2025; 17, 697-707.

[46] AHA Darwesh, PA Mohammed, SM Mamand, SA Hussen, SB Aziz, MA Brza, RM Abdullah and WO Karim. Investigation of structural and optical characteristics of biopolymer composites based on polyvinyl alcohol inserted with PbS nanoparticles. Coatings 2023; 13(3), 578.

[47] IR Agool, FS Mohammed and A Hashim. The effect of magnesium oxide nanoparticles on the optical and dielectric properties of (PVA-PAA-PVP) blend. Advances in Environmental Biology 2015; 9(11), 1-10.

[48] A Hashim and A Jassim. Novel of biodegradable polymers-inorganic nanoparticles: Structural, optical and electrical properties as humidity sensors and gamma radiation shielding for biological applications. Journal of Bionanoscience 2018; 12(2), 170-176.

[49] H Ahmed, A Hashim and HM Abduljalil. Analysis of structural, electrical and electronic properties of (Polymer Nanocomposites/ Silicon Carbide) for antibacterial application. Egyptian Journal of Chemistry 2019; 62(4), 1167-1176.

[50] IR Agool, KJ Kadhim and A Hashim. Fabrication of new nanocomposites: (PVA-PEG-PVP) blend-zirconium oxide nanoparticles) for humidity sensors. International Journal of Plastics Technology 2017; 21, 397-403.

[51] A Hashim and MA Habeeb. Synthesis and characterization of polymer Blend-CoFe2O4 nanoparticles as a humidity sensors for different temperatures. Transactions on Electrical and Electronic Materials 2019; 20, 107-112.

[52] AD Acharya, B Sarwan, IA Malik, YA Bhat, K Silwal and MK Rathore. Optical properties of NiO: PVA thin films. AIP Conference Proceedings 2019; 2100(1), 020006.

[53] FL Rashid, A Hashim, MA Habeeb, SR Salman and H Ahmed. Preparation of PS-PMMA copolymer and study the effect of sodium fluoride on its optical properties. Journal of Engineering and Applied Sciences 2013; 8(5), 137-139.

[54] A Hashim and A Hadi. Synthesis and characterization of (MgO-Y2O3-CuO) nanocomposites for novel humidity sensor application. Sensor Letters 2017; 15(10), 858-861.

[55] A Hashim, H Ibrahim and A Hadi. Fabrication and augmentation of optical and structural characteristics of PVA/SiC/CoFe2O4 hybrid nanocomposites for tailored optical and quantum electronics applications. Optical and Quantum Electronics 2024; 56, 1177.

[56] H Ahmed and A Hashim. Structure, optical, electronic and chemical characteristics of novel (PVA-CoO) structure doped with silicon carbide. Silicon 2021; 13, 4331-4344.

[57] A Hashim and ZS Hamad. Fabrication and characterization of polymer blend doped with metal carbide nanoparticles for humidity sensors. Journal of Nanostructures 2019; 9(2), 340-348.

[58] H Ahmed and A Hashim. Design and characteristics of novel PVA/PEG/Y2O3 structure for optoelectronics devices. Journal of Molecular Modeling 2020; 26, 210.

[59] H Ahmed and A Hashim. Structural, optical and electronic properties of silicon carbide doped PVA/NiO for low cost electronics applications. Silicon 2021; 13, 1509-1518.

[60] H Ahmed and A Hashim. Geometry optimization, optical and electronic characteristics of novel PVA/PEO/SiC structure for electronics applications. Silicon 2021; 13, 2639-2644.

[61] H Neama and N Al-khegani. The effect of ferrous chloride (FeCl2) on some optical properties of polystyrene. Academic Research International 2014; 5(2), 161-166.

[62] MH Meteab, A Hashim and BH Rabee. Synthesis and tailoring the morphological, optical, electronic and photodegradation characteristics of PS-PC/MnO2-SiC quaternary nanostructures. Optical and Quantum Electronics 2023; 55, 187.

[63] A Hashim, G Ahmed, H Ibrahim and A Hadi. Ameliorating the features of TiN/SiO2 promising nanoceramic doped optical polymer for multifunctional optoelectronics applications. Silicon 2025; 17, 585-598.

[64] A Hashim, A Kareem and H Ibrahim. Production and ameliorating the characteristics of (SiO2-CdS) futuristic nanoceramic doped optical material for flexible nanoelectronics applications. Silicon 2025; 17, 517-530.

[65] M Matamoros-Ambrocio, E Sanchez-Mora, E Gomez-Barojas and JA Luna-Lopez. Synthesis and study of the optical properties of pmma microspheres and opals. Polymers (Basel) 2021; 13(13), 2171.

[66] A Hashim, H Ibrahim and A Hadi. Fabrication of SiC-Al2O3 nanoceramic doped organic polymer for flexible nanoelectronics and optical applications. Silicon 2024; 16, 6575-6587.

[67] HS Abdulsalam, A Hashim and MK Mohammed. Manufacturing and enhancing the features of PS/SiO2–CeO2 nanostructures for energy storage and antimicrobials applications. Journal of Inorganic and Organometallic Polymers and Materials 2025. https://doi.org/10.1007/s10904-025-03651-5

[68] A Hashim, A Hadi and MH Abbas. Synthesis and unraveling the morphological and optical features of PVP-Si3N4-Al2O3 nanostructures for optical and renewable energies fields. Silicon 2023; 15, 6431-6438.

[69] LH Gaabour. Analysis of spectroscopic, optical and magnetic behaviour of PVDF/PMMA blend embedded by magnetite (Fe3O4) nanoparticles. Optics and Photonics Journal 2020; 10, 197-209.

[70] H Ahmed and A Hashim. Design of polymer/lithium fluoride new structure for renewable and electronics applications. Transactions on Electrical and Electronic Materials 2022; 23, 237-246.

[71] H Ahmed and A Hashim. Design and tailoring the optical and electronic characteristics of silicon doped PS/SnS2 new composites for nano-semiconductors devices. Silicon 2022; 14, 6637-6643.

[72] H Ahmed and A Hashim. Design and tailoring the optical and electronic characteristics of PS/ZnS/SiBr4 new structures for electronics nanodevices. Silicon 2023; 15, 83-91.

[73] H Ahmed and A Hashim. Design and tailoring the structural and spectroscopic characteristics of Sb2S3 nanostructures doped PMMA for flexible nanoelectronics and optical fields. Optical and Quantum Electronics 2023; 55, 280.

[74] H Ahmed and A Hashim. Tunable spectroscopic, electronic and thermal characteristics of PS/Nb5Si3/ZnS nanostructures for optics and potential nanodevices. Optical and Quantum Electronics 2023; 55, 9.

[75] H Ahmed and A Hashim. Tuning the characteristics of novel (PVA-Li-Si3N4) structures for renewable and electronics fields. Silicon 2022; 14, 4079-4086.

[76] A Hadi and A Hashim. Development of a new humidity sensor based on (Carboxymethyl Cellulose-Starch) blend with copper oxide nanoparticles. Ukrainian Journal of Physics 2017; 62(12), 1044-1049.

[77] H Ahmed and A Hashim. Exploring the design, optical and electronic characteristics of silicon doped (PS-B) new structures for electronics and renewable approaches. Silicon 2022; 14, 7025-7032.

[78] H Ahmed and A Hashim. Exploring the characteristics of new structure based on silicon doped organic blend for photonics and electronics applications. Silicon 2022; 14, 7025-7032.

[79] H Ahmed and A Hashim. Design and exploring the structure, optical and electronic characteristics of silicon doped PS/MoS2 structures for electronics Nanodevices. Optical and Quantum Electronics 2022; 54, 403.

[80] H Ahmed and A Hashim. Tuning the spectroscopic and electronic characteristics of ZnS/SiC nanostructures doped organic material for optical and nanoelectronics fields. Silicon 2023; 15, 2339-2348.

[81] HM Shanshool, M Yahaya, WMM Yunus and IY Abdullah. Investigation of energy band gap in Polymer/ZnO nanocomposites. Journal of Materials Science: Materials in Electronics 2016; 27, 9804-9811.

[82] H Naser, SM Mohammad, HM Shanshool, Z Hassan, AMA Abbas and S Rajamanickam. Bimetallic impact on the energy band gap of the polymers PS, PMMA, and PVA nanocomposites. Optical and Quantum Electronics 2024; 56, 897.

[83] H Naser, SM Mohammad, HM Shanshool, Z Hassan, AMA Abbas and S Rajamanickam. Evaluation and analyzing the linear optical properties of Polymer/Al-Ag-ZnO nanocomposites. Plasmonics 2024; 19, 3043-3058.

[84] H Naser, HM Shanshool, SM Mohammad, Z Hassan, AMA Abbas, SM Abed and AA Sifawa. The Role of the polymer matrix on the energy band gap of nanocomposites of aluminium, silver and zinc oxide. Plasmonics 2025; 20, 543-557.

[85] H Naser, HM Shanshool, SM Mohammad, Z Hassan, AMA Abbas, SM Abed and AA Sifawa. Optical properties of polymers mixed with zinc oxide, silver, and aluminum nanoparticles. Journal of Materials Science: Materials in Electronics 2024; 35, 1582.

[86] PP Sahay, RK Nath and S Tewari. Optical properties of thermally evaporated CdS thin films. Crystal Research and Technology 2007; 42(3), 275-280.

[87] A Hashim, KHH Al-Attiyah and S Fadhil. Fabrication of novel (Biopolymer Blend-Lead Oxide Nanoparticles) nanocomposites: Structural and optical properties for low cost nuclear radiation shielding. Ukrainian Journal of Physics 2019; 64(2), 157-163.

[88] HB Hassan, A Hashim and HM Abduljalil. Tailoring structural, optical characteristics of CuO/In2O3 nanoparticles-doped organic material for photodegradation of dyes pollutants. Polymer Bulletin 2023; 80, 9059-9075.

[89] TS Soliman and SA Vshivkov. Effect of Fe nanoparticles on the structure and optical properties of polyvinyl alcohol nanocomposite films. Journal of Non-Crystalline Solids 2019; 519, 119452.

[90] A Hashim, A Hadi, H Ibrahim and FL Rashid. Fabrication and boosting the morphological and optical properties of PVP/SiC/Ti nanosystems for tailored renewable energies and nanoelectronics fields. Journal of Inorganic and Organometallic Polymers and Materials 2024; 34, 1678-1688.

[91] HAJ Hussien and A Hashim. Fabrication and analysis of PVA/TiC/SiC hybrid nanostructures for nanoelectronics and optics applications. Journal of Inorganic and Organometallic Polymers and Materials 2024; 34, 2716-2727.

[92] A Hashim. Synthesis of SiO2/CoFe2O4 nanoparticles doped CMC: Exploring the morphology and optical characteristics for photodegradation of organic dyes. Journal of Inorganic and Organometallic Polymers and Materials 2021; 31, 2483-2491.

[93] A Hashim, H Ibrahim, FL Rashid and A Hadi. Synthesis and augmented morphological and optical properties of Si3N4-TiN inorganic nanostructures doped PVP for promising optoelectronics applications. Journal of Inorganic and Organometallic Polymers and Materials 2025; 35, 827-837.

[94] A Hashim and A Jassim. Novel of (PVA-ST-PbO2) bio nanocomposites: Preparation and properties for humidity sensors and radiation shielding applications. Sensor Letters 2017; 15(12), 1003-1009.

[95] Q Aljubouri, A Hashim and MA Habeeb. Fabrication, structural and optical properties for (Polyvinyl Alcohol-Polyethylene Oxide-Iron Oxide) nanocomposites. Egyptian Journal of Chemistry 2020; 63(2), 611-623.

[96] OG Abdullah, SB Aziz, KM Omer and YM Salih. Reducing the optical band gap of polyvinyl alcohol (PVA) based nanocomposite. Journal of Materials Science: Materials in Electronics 2015; 26, 5303-5309.

[97] MJ Deka, U Baruah and D Chowdhury. Insight into electrical conductivity of graphene and functionalized graphene: Role of lateral dimension of graphene sheet. Materials Chemistry and Physics 2015; 163, 236e244.

[98] HAJ Hussien, RG Kadhim and A Hashim. Investigating the low cost photodegradation performance against organic Pollutants using CeO2/MnO2/ polymer blend nanostructures. Optical and Quantum Electronics 2022; 54, 704.

[99] HAJ Hussien, RG Kadhim and A Hashim. Tuning the optical characteristics of SiO2/MnO2 nanostructures doped organic blend for photodegradation of organic dyes. Optical and Quantum Electronics 2021; 53, 501.

[100] HB Hassan, A Hashim and HM Abduljalil. Synthesis, structural and optical characteristics of PEO/NiO/In2O3 hybrid nanomaterials for photodegradation of pollutants from wastewater. Optical and Quantum Electronics 2023; 55, 556.

[101] HAJ Hussien, RG Kadhim and A Hashim. Augmented structural and optical characteristics of SnO2/MnO2-doped PEO/PVP blend for photodegradation against organic pollutants. Polymer Bulletin 2022; 79, 5219-5234.

[102] A Kareem, A Hashim and HB Hassan. Synthesis and boosting the morphological, structural and optical features of PEO/Si3N4/CeO2 promising nanocomposites films for futuristic nanoelectronics applications. Silicon 2024; 16, 2827-2838.

[103] H Ahmed, HM Abduljalil and A Hashim. Analysis of structural, optical and electronic properties of polymeric Nanocomposites/Silicon carbide for humidity sensors. Transactions on Electrical and Electronic Materials 2019; 20, 206-217.

[104] D Hassan and A Hashim. Preparation and studying the structural and optical properties of (Poly-Methyl Methacrylate-Lead Oxide) nanocomposites for bioenvironmental applications. Journal of Bionanoscience 2018; 12(3), 346-349.

[105] Z Sattar and A Hashim. Fabrication and characteristics of PMMA-PEG/SiO2-SiC quaternary nanocomposites for gamma ray shielding and flexible optoelectronics applications. Journal of Materials Science: Materials in Electronics 2024; 35, 1660.

[106] EA Okoronkwo, PE Imoisili and SOO Olusunle. Extraction and characterization of amorphous silica from Corn Cob Ash by Sol-Gel method. Chemistry and Materials Research 2013; 3(4), 2225-2956.