Start Bootstrap Logo

Trends Sci. 2025; 22(11): 10372

Morpho-Physiology and Yield Alterations in the Four Chili Varieties (Capsicum annuum L.) in Various Soil Depth Media in Tropical Lowland


Endang Sulistyaningsih*, Sarlin Kusumaningrum and Rudi Hari Murti


Faculty of Agriculture, Gadjah Mada University, Yogyakarta 55281, Indonesia


(*Corresponding author’s e-mail: [email protected])


Received: 15 April 2025, Revised: 27 May 2025, Accepted: 15 June 2025, Published: 10 August 2025


Abstract

Chilies (Capsicum annuum L.) cultivated in lowland areas of Indonesia typically exhibit lower yields compared to those grown in highland regions. Chili growth and yield can be optimized by modifying the growing medium. This research aimed to determine the changing morpho-physiology and yield of four chili varieties in various soil depth media planted in tropical lowlands. The factorial treatments were arranged in a completely randomized design with 240 chili plants for 8 combination treatments. The first factor was the chili variety: Kencana, Lembang-1, Tanjung-2, and Ungara. The second factor was the soil depth media, consisting of 25- and 30-cm soil depth media. Data in morpho-physiology and yield were analyzed using factorial analysis of variance (ANOVA) based on a completely randomized design (CRD), followed by an Honestly Significant Difference (HSD) test at a 95% confidence interval. The results showed that the fruit yield in Lembang-1, Tanjung-2, and Ungara responded positively by 15.20%, 7.80%, and 8.11%, respectively, under 30 cm compared to the 25 cm soil depth media. However, the yield in Kencana responded negatively by 8.29%, due to new vegetative growth. In the responsive varieties, enhanced chili yield was related to the improvement of morpho-physiology through increased root length, root surface area, and root:shoot ratio, as well as shoot dry weight and leaf area, total chlorophyll content, net assimilation rate, and relative growth rate of the plant. It was concluded that soil media up to a 30 cm depth is recommended to improve yield in Lembang-1, Tanjung-2, and Ungara, in tropical lowland.


Keywords: Chili yield, Root morphology, Soil depth, Shoot morphology


Introduction

Chili (Capsicum annuum L.) is one of the important horticultural Indonesian crops for household and industrial consumption. However, the productivity of chili planted in lowlands (6.33 t ha−1) is lower than that in the highland (11.79 t ha−1) [1]. Chili varieties, such as Kencana, Lembang-1, Tanjung-2, and Ungara demonstrate shoot˗root morphological diversity and could adapt to lowlands [2]. Ungara and Tanjung-2 have extensive root systems, while Kencana and Lembang-1 exhibited more vigorous shoot growth. When the roots of Lembang-1, Ungara, and Kencana were cut at 8 weeks after transplanting (WAT), the root system was enhanced, which promoted a fresh weight increase of chili fruits by 33.76%, 31.74%, and 30.66%, respectively, compared to control. However, Tanjung-2


did not show such a response [2]. Therefore, root growth optimization could be related to an increment in chili yield, and root growth could be achieved with a suitable depth of soil media.

Topsoil quality plays a vital role in influencing agricultural productivity, as its degradation significantly diminishes the land's productive capacity. This uppermost soil layer typically ranges from 13 to 25 cm in depth. As the primary cultivation layer, deeper topsoil can enhance nutrient availability and support crop growth and development. Therefore, topsoil depth serves as a crucial indicator of soil fertility and plant productivity [3]. Soil management can enhance deeper soil penetration by plant roots [4]. Soil depth determines root penetration, water retention, nutrient availability, mineral reserves, and plant anchorage, which influence plant growth. Deep root systems contribute directly and indirectly to soil fauna, microbial activity, enhancing water uptake, minimizing nutrient leaching, and promoting soil carbon sequestration. More than 40% of the total nutrients are stored for cropping in the top 30 cm of soil [5]. Effective soil management should consider soil-specific characteristics, aiming to maximize the soil volume accessible to improve crop resilience [6]. Managing soil compaction through tillage is a widely adopted strategy in different agricultural systems. Grasso et al. [7] reported that multiple tillage approaches can significantly lower soil bulk density and reduce resistance to root penetration in the tilled horizon. The most beneficial techniques also facilitate greater water infiltration, thereby improving crop access to soil moisture. Deep tillage can serve as a practical solution to the physical and hydraulic limitations in soils with compacted subsurface layers. Deep tillage before sowing enables roots to explore a larger soil volume [6].

Crop growth depends on soil conditions for root extension [8]. Hirzel and Matus [9] emphasized that the depth of the soil and its moisture-holding capability are critical determinants of wheat (Triticum aestivum L.) yield. They observed that in mature winter wheat, around 15% of root biomass was present within the upper 1-meter soil layer, and that the spatial distribution of roots strongly influences the plant's capacity to absorb residual soil moisture. Zhang et al. [10] suggest that increasing topsoil depth was an effective strategy to enhance maize grain yield, which is closely associated with crop physiological changes induced by greater soil depth, enhancing root weight, length, and surface area, which contribute to yield improvement. Additionally, topsoil deepening enhances maize kernel number per ear, 1000-kernel weight, leaf area index, and net assimilation rate, which correlate with yield improvement. Bai et al. [11] found that the subsoil at a depth of 0.8 m in a citrus orchard has improved unsaturated hydraulic conductivity, thereby enhancing the fruit number and total orchard yield.

Spadotto and Mingoti [12] reported that many important attributes of soil in tropical lowland related to crop production, which occur mostly in the topsoil, and agricultural practices change the soil’s physical, chemical, and biological conditions. Soil tillage is one method to prepare the planting medium for plant cultivation. Banuwa et al. [13] reported that the ridge tillage was often used in tropical areas to protect soil from erosion and nutrient loss because of wind and rainfall erosion. Ridge tillage is an agronomic technique used to create raised seedbeds that are formed above the average field surface, generally constructed with a height ranging from 15.24 to 20.32 cm in depth (6 to 8 inches). The soil depth of 15 - 20 cm was suitable for leafy vegetables, which commonly have a fibrous root system. However, chili plants have a taproot system, and Kusumaningrum et al. [2] reported that chili plants planted in tropical lowland had total root length from 4,177 to 7,642 cm. Therefore, it is important to evaluate the increment of soil depth for chili plant cultivation up to 30 cm to facilitate root development of chili for enhancing chili fruit yield. No research has been conducted on the changing growth and yield of chili varieties caused by various soil depth media in lowlands. The chili varieties, including Kencana, Lembang-1, Tanjung-2, and Ungara, were used in this research to evaluate their morpho-physiology and yield of chili responses under different soil depth media.


Materials and methods

Experimental site and design

This research was conducted at the Sleman district, Yogyakarta, Indonesia. A lowland area with an altitude of 299 meters above sea level; latitude: 7 40’36”S, longitude: 110 23′51”E. The region experiences a tropical monsoon climate characterized by distinct wet and dry seasons. Average annual temperatures range from 23 to 31 C, with relative humidity typically between 70% and 85%. Annual rainfall averages around 1,800 to 2,200 mm, predominantly occurring between November and April during the wet season. These climatic conditions provide a warm and humid environment favorable for chili cultivation, with sufficient rainfall and temperature stability to support plant growth during the growing season.

The experiment used four chili varieties, namely, Kencana, Lembang-1, Tanjung-2, and Ungara. The research materials were arranged using a completely randomized design with 2 factors: The 1st factor being varieties, namely Kencana, Lembang-1, Tanjung-2, and Ungara varieties. The second factor was the depth of planting media in polybags, which included 30 and 25 cm soil depth media. A total of 240 chili plants were used in the research. The selection of 2 soil depths (25 and 30 cm) was based on practical cultivation and prior evidence that roots were most active within the top 30 cm, where nutrient and water uptake were optimized. Deeper soil layers contribute less to root function in many vegetable crops, especially under tropical lowland conditions. The 25 cm soil depth represents a commonly used cultivation depth, while 30 cm was chosen to provide slightly more root space. The use of polybags enabled controlled environmental conditions and uniform soil composition. Although polybags may limit root expansion compared to open-field conditions, they are effective for applying soil depth treatments while minimizing external variability such as uneven rainfall and soil heterogeneity. Conducting the study in polybags provides to simulation of lowland conditions prior to field-scale validation. Therefore, this approach balances experimental control and provides validation under field conditions.


Experimental procedure

The planting medium comprised 1:1:1 of organic fertilizer, soil (sandy loam), and husk charcoal. It was placed in 50 g of nursery plastic, each containing a chili seed, which were arranged in a germination tray (30×30×15 cm3). After 7 days, chili seedlings with 4 fully opened leaves were ready to be transplanted. For transplanting, the planting medium was prepared using a mixture of soil, husk, and cow manure in a 3:1:1 ratio, placed into 35×35 cm2 polybags. These polybags were filled with soil as planting medium up to a height of 25 cm for 25 cm soil depth and 30 cm for 30 cm soil depth. Seedlings with 4 open leaves were transplanted into polybags at a depth of 5 cm. Each experimental unit consisted of 20 chili plants, resulting in a total of 240 chili plants.

According to the Indonesian Vegetable Research Institute [14] The fertilizer applied in this study was based on general agronomic recommendations for chili cultivation under tropical lowland conditions. Fertilization at 2 weeks after transplanting (WAT) included applying 300, 600, and 300 kg ha−1 of urea, SP-36, and KCl, respectively. These field-based application rates were converted to the polybag scale based on the soil weight (10 kg) and a bulk density (BD) of 1.5 g.cm³ per polybag, to ensure accurate and proportional nutrient delivery. The fertilizers were applied by top-dressing or mixing into the upper soil layer, allowing for efficient nutrient uptake during the growth stage. This standardized approach ensures that each polybag receives equivalent nutrient levels relative to field conditions, enabling an accurate comparison across treatments. Fertilizer treatments at 6 WAT involved the application of 3–5 g L⁻¹ of phosphorus (P₂O₅) and 3 g L⁻¹ of CaCO₃ with boron. Weed management during this period was carried out through manual removal. Pest control used a contact insecticide containing 135 and 18 g L−1 of pyridaben and abamectin, respectively, applied every 7 days. Yellow traps with 800 g L−1 of eugenol were used in the field. Every 3 - 4 days, watering was done until the field capacity in the polybag. The polybags were watered every 3 - 4 days until the field capacity was reached. Harvesting was gradual, starting when the chili reached 80% ripeness and continuing until the fruits were suitable for consumption.


Data observation and analysis

Root growth variables like diameter, total length, and surface area were evaluated at 5 and 10 WAT. Measurements of total root length (RL, cm) and root surface area (RSA, cm²) were analyzed through a video capture system interfaced with WinRHIZO software. The root diameter (RD) was determined with a caliper. To determine the dry weight, the roots were dried in an oven at 80 °C for 24 h until a constant weight. Shoot growth variables, leaf area, and shoot dry weight were evaluated at 5 and 10 WAT. The leaf area (cm2) (LA) was measured with a leaf area meter (Delta-T Devices, Cambridge, UK). The shoots were dried in an oven at 80 °C for 24 h until a constant weight. Partitioning of photoassimilate between belowground and aboveground organs is often interpreted as a physiological balance between root and shoot functions. The root:shoot ratio was assessed by comparing the dry biomass of roots with that of shoots. When root development was more active than shoot, a higher root:shoot ratio was obtained. Root:shoot ratio was calculated using Eq. (1).


Photosynthesis was essential for biomass production and was regulated by chlorophyll (Chl) pigments, including Chl a, Chl b, and carotenoids [15]. The total chlorophyll content was analyzed at 5 WAT and 10 WAT on composite leaf samples. The preparation was initiated by crushing 1 g sample using a mortar and then mixing it with 20 mL of 80% acetone. The mixture was filtered using filter paper. The total chlorophyll content was measured using a spectrophotometer, Genesys 10S UV-Vis λ 645 and λ 663 nm. The total chlorophyll content was calculated using Eq. (2) [16].


Net assimilation rate indicates the efficiency of a plant in producing dry matter per unit of leaf area through photosynthesis [17]. Net assimilation rate was calculated using Eq. (3).


Relative growth rate reflects an increase in dry weight over a given period. Relative growth rate was interpreted under the assumption that early-stage conditions played a role in determining the rate of biomass increase over time [17]. Relative growth rate was calculated using Eq. (4).


where R:S ratio = root:shoot ratio; NAR = net assimilation rate; RGR = relative growth rate; W2 = dry weight plant (g) at 10 WAT; W1 = dry weight plant (g) at 5 WAT; T2 = time at 10 WAT; T1 = time at 5 WAT; LA2 = leaf area at 10 WAT; LA1 = leaf area at 5 WAT.

The chili yield was based on the fruit weight of fruit per plant (FWF) and fruit number per plant at 15 WAT. The harvest index (HI) can be calculated utilizing Eq. (5).


where HI = Harvest index; DWF = dry weight of fruit per plant (g); DWP = dry weight of plant (g). The yield stability index (YSI) indicated the power of stability, representative of a good level of stress tolerance, by applying Eq. (6) [18].


where Yc and Ync refer to the mean FWFs at 30 and 25 cm soil depths. A YSI >1 indicated that plants showed tolerance in soil depth media treatment.


Data analysis was performed using factorial ANOVA under a completely randomized design (CRD), followed by post-hoc comparison using the Honestly Significant Difference (HSD) test at a 5% significance level. Principal component analysis (PCA) was conducted to evaluate the responses of chili varieties grown at soil depths of 25 and 30 cm, considering yield and morpho-physiological characteristics. Pearson correlation analysis was used to examine the associations between yield and morpho-physiological traits in chili variety responses to 30 cm soil depth. Multiple linear regression analysis was used to determine the influence of morpho-physiological traits on fruit fresh weight in 25 and 30 cm soil depth. Excel (Microsoft, CA, USA), OriginPro 2023 (https://www.originlab.com/2023), and SAS version 9 (SAS Institute Inc. 2002) software were employed for the analyses.


Results and discussion

Root morphology at 5WAT (root diameter, root:shoot ratio, and total root length at 5 WAT)

The structural characteristics of the root system, including diameter, length, and surface area, were considered essential for effective soil resource acquisition [19]. Variations in root diameter influenced the plant’s capacity to absorb water and nutrients. Based on the research findings, it was shown that the 4 varieties had the largest root diameter compared to other soil solum (Figure 1). Moreover, Kencana and Ungara had larger root diameters in the 0 - 5 cm soil solum at 30 cm soil depth media than in 25 cm soil depth media. Conversely, Lembang-1 and Tanjung-2 had smaller root diameters in the 0 - 5 cm soil solum at 30 cm soil depth than at 25 cm soil depth. At the 6 to 25 cm soil solum, no significant difference in root diameter between Tanjung-2 and Ungara at 30 cm soil depth compared to 25 cm soil depth. Lembang-1 had a larger root diameter at the 6 - 10 cm soil solum in the 30 cm soil depth than in 25 cm soil depth, then at 11 - 25 cm soil solum the root diameter was smaller or similar in 30 cm soil depth compared to in 25 cm soil depth. Ungara had a more extensive root diameter in 30 cm soil depth media than in 25 cm. These results indicated that at 5 weeks after transplanting (WAT), Kencana, Lembang-1, and Tanjung-2 had smaller root diameters in the 30 cm soil depth compared to 25 cm soil depth, while the opposite trend was observed in Ungara. Interestingly, the 4 varieties could grow roots up to 30 cm in soil solum with root diameters of 0.10 to 0.13 cm. According to Schneider et al. [20], larger root diameters promoted deeper penetration into compact soils and supported greater assimilate accumulation in the roots [21]. However, reduced root diameter was shown to hinder root penetration and overall development. In cucumbers, smaller root diameters enabled more efficient resource use with minimal assimilate demand by the root system [22]. According to Rieger and Litvin [23], further demonstrated that reduced root diameter in soybean improved root conductivity, contributing to more effective absorption of water and nutrients.

Note: The numbers presented are the means ± standard error.

Figure 1 Root diameter (cm) of 4 chili varieties at 5 WAT.

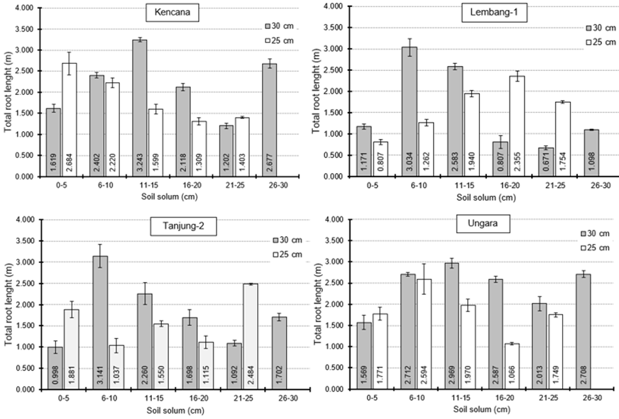
Note: The numbers presented are the means ± standard error.

Figure 2 Total root length (m) distribution of 4 chili varieties at 5 WAT.


Root length affects nutrient and mineral absorption optimization, enabling the roots to reach essential nutrients. However, shorter roots can minimize the nutrient transport pathway, making nutrients more readily available. Root elongation is a response mechanism to water and nutrient availability in the growth medium. The 4 varieties (Kencana, Lembang-1, Tanjung-2, and Ungara) showed similar responses in total root length (Figure 2). When the plants grew in 30 cm soil depth media, the roots could penetrate to 26 - 30 cm soil solum with a total root length greater than in 21 - 25 cm soil solum. The distribution of total root length showed that Kencana and Tanjung-2 had similar total root length distribution patterns. In the 0 - 5 soil solum, Kencana and Tanjung had shorter total root length in the 30 cm soil depth compared to the 25 cm soil depth. In contrast, total root length at 6 - 20 cm soil solum was longer in 30 cm soil depth than in 25 cm soil depth. Meanwhile, total root length at 21 - 25 cm soil solum was shorter in the 30 cm soil depth treatment than 25 cm soil depth treatment. Total root length accumulated at 26 - 30 cm soil solum on Kencana and Tanjung-2 by 2.67 m and 1.70 m, respectively (Figure 2). In Lembang-1, the total root length at 0 - 15 cm soil solum under the 30 cm soil depth treatment was greater than 25 cm soil depth. However, in 16 - 25 cm soil solum under 30 cm soil depth treatment resulted in shorter total root length compared to 25 cm soil depth. The accumulated total root length in Lembang-1 at 26 - 30 cm soil solum under 30 cm soil depth media was 1.09 m (Figure 2). In Ungara, total root length at 0 - 25 cm soil solum was longer under 30 cm soil depth media compared to 25 cm soil depth media. Total root length of Ungara at 26 - 30 cm soil solum under 30 cm soil depth treatment reached 2.70 m (Figure 2). A long-rooted plant can reach distant resources [24]. Plants exhibited root elongation as a response mechanism to environmental uncertainty. Variations such as drought and increased evaporation stimulated root systems to enhance water acquisition for continued shoot development [25].



Note: The numbers presented are the means ± standard error, when followed same letters, indicate no significant difference between combination varieties and soil depth media treatment by the Honestly Significant Difference test at 95% confidence interval.

Figure 3 Total root length (m) (A), Root:shoot ratio (B) of 4 chili varieties at 5 WAT.


An extended root system indicated improved water acquisition from deeper layers, a trait closely associated with enhanced root penetrability [26]. Based on the research findings, the total root length at 5 WAT in Kencana, Lembang-1, Tanjung-2, and Ungara under the 30 cm soil depth was longer by 30.54%, 13.25%, 25.89%, and 37.16%, respectively, compared to the 25 cm soil depth (Figure 3(A)). These results indicated that the 30 cm soil depth produced a longer total root length than the 25 cm soil depth at 5 WAT. Kulkarni & Phalke [26] reported that an increase in root length showed that better root growth affects biomass translocated to roots. Biomass partitioning reflected through the root-to-shoot ratio was recognized as an adaptive mechanism by which plants responded to environmental constraints limiting growth. In nutrient-rich conditions, where competition for light in the canopy was intense, plants tended to allocate more biomass to stems and leaves. Conversely, in nutrient-deficient environments characterized by stronger belowground competition, a greater proportion of biomass was directed toward root development [25]. Biomass partitioning did not exhibit a linear response to the type of competition, as aboveground interactions were typically highly asymmetric, whereas belowground competition tended to be more symmetric or only slightly asymmetric [27]. Our results indicate that root:shoot ratio at 5 WAT in Kencana, Lembang-1, Tanjung-2, and Ungara under the 30 cm soil depth was higher by 30.09%, 34.15%, 50.00%, and 24.39%, respectively, compared to the 25 cm soil depth (Figure 3(B)). Our data showed a consistent pattern of increased root:shoot ratio in the 30 cm soil depth compared to the 25 cm soil depth. Sathiyavani et al. [28] reported that roots become more competitive for photosynthates than shoots, which leads to higher export of carbohydrates to roots


Root morphology at 10 WAT (root dry weight, length, root:shoot ratio, and surface area at 10 WAT)

The root system was essential for acquiring water and nutrients, both of which significantly affected crop yield. Moreover, roots contributed to increasing soil organic matter and promoting microbial activity in the rhizosphere. Among various root traits, root length and root dry weight were commonly assessed in numerous studies, primarily due to the relative ease with which they could be measured compared to more complex root characteristics [28]. Our results indicate Ungara variety exhibited the longest roots under the 30 cm soil depth (18.88 m), significantly outperforming all other varieties (p < 0.05). Significant differences in root length were observed between the soil solum for both Tanjung-2 and Ungara varieties. Root length at 10 WAT in Tanjung-2 and Ungara in 30 cm soil depth media treatment was markedly elevated by 25.80% and 29.50%, respectively, compared to 25 cm soil depth (Figure 4(A)). These findings suggest that both varieties exhibit enhanced root development under deeper soil conditions, with Ungara indicating particularly high responsiveness. At the 25 cm soil depth, no significant difference was observed in root length between Kencana and Lembang-1 compared to in 30 cm soil depth. However, Root length at 10 WAT in Kencana and Lembang-1 in 30 cm soil depth media treatment was markedly declined by 16.35% and 9.10%, respectively, compared to 25 cm soil depth (Figure 4(A)). This suggests that under shallow soil conditions, both varieties exhibited comparable root development. These contrasting responses suggest that the varieties differ in their ability to adapt to increased soil depth, likely due to genetic variation in root system architecture and plasticity. Varieties such as Tanjung-2 and Ungara may possess a greater inherent capacity for deep root development and are more responsive to expanded rooting zones. Conversely, Kencana and Lembang-1 may be genetically predisposed to shallower rooting or exhibit limited plasticity in root elongation under deeper soil conditions.

Ungara showed the highest root dry weight, which was not significantly different from Kencana and Tanjung-2 (Figure 4(B)). In contrast, Lembang-1 displayed the lowest root dry weight, suggesting a lower root biomass accumulation capacity. In terms of soil solum, plants grown in 30 cm soil depth enhanced root dry weight by 23.53% compared to 25 cm soil depth (Figure 4(B)). This result confirmed the positive influence of deeper soil depth on root biomass development. Kamran et al. [29] indicated that improved root dry mass was closely related to a higher proportion of assimilates being directed toward root development, leading to enhanced root architecture and overall root biomass.

Our results indicate that the Ungara variety showed the highest root surface area under 30 cm soil depth (Figure 4(C)). This finding aligns with root length; Ungara had adaptability to deeper soil profiles. Notably, the root surface area of Ungara increased by 24.41% at 30 cm compared to 25 cm soil depth (Figure 4(C)). In contrast, Kencana showed an 11.05% reduction in root surface area at 30 cm compared to 25 coil depth, although this difference was not statistically significant. Lembang-1 and Tanjung-2 showed the lowest root surface area at both depths, suggesting a limited capacity for root expansion response in root expansion. Root growth variation was associated with the structural composition of the soil profile. Soils with well-defined layers exhibited greater efficiency in water retention and storage [30]. Maize plants grown in shallow solum encountered water limitations, while those in deeper solum conditions benefited from consistent water supply, which improved their tolerance to drought through maintained transpiration and photosynthesis [31].

As shown in Figure 4(D), significant variation in root-to-shoot ratio was observed among chili varieties and soil depths. Ungara, Kencana, and Lembang-1 had a higher root:shoot ratio compared to Tanjug-2, indicating strong root biomass allocation relative to shoot biomass (Figure 4(D)). The 30 cm soil depth increased root:shoot ratio by 35.00% compared to 25 cm soil depth. This finding highlights the positive influence of deeper soil profiles on root biomass allocation and dry matter partitioning. This indicates that biomass allocation in below- and aboveground components varies with chili varieties and soil depth treatment. Sathiyavani et al. [28] demonstrated that plant species differed in the mechanisms regulating transport and distribution of assimilates to shoot and root systems. The coordination between roots and shoots was crucial for overall growth, with roots as the source of water and nutrient acquisition, while shoots acted as the primary providers of carbon assimilates necessary for root development. Root:shoot biomass ratio typically declined throughout plant ontogeny, particularly as the plant neared its flowering stage, after which the ratio tended to stabilize. A reduction in this ratio reflected a preferential allocation of photoassimilate to the shoots rather than the roots. This shift often resulted in enhanced photosynthetic surface area due to increased leaf development, although it concurrently reduced the plant’s capacity for water and nutrient absorption.


Note: The numbers presented are the means ± standard error, when followed same letters, indicate no significant difference between combination varieties and soil depth media treatment by the Honestly Significant Difference test at 95% confidence interval.

Figure 4 Total root length (m) (A), Root dry weight (g) (B), Root surface area (dm2) (C), Root:shoot ratio (D) of 4 chili varieties at 10 WAT.


Shoot morphology and physiology (shoot dry weight, leaf area, net assimilation rate, relative growth rate)

At the early generative phase (7 WAT), the 4-chili varieties developed young chili fruits (Figure 5). The 3 chili varieties (Kencana, Lembang-1, and Ungara) had vigorous plant habitus compared to Tanjung-2, both planted in 25 and 30 cm soil depth media. At 5 WAT, Kencana, Lembang-1, and Ungara had higher shoot dry weights by 14.90%, 10.09%, and 35.40% in the 30 cm compared to the 25 cm soil depth media (Figure 6(A)), conversely, shoot dry weight in Tanjung-2 14.14% lower in the 30 cm compared to the 25 cm soil depth. These findings suggest that deeper soil profiles (30 cm soil depth) generally promote greater shoot biomass accumulation through improved root development. In case of Tanjung-2, the root surface area in the 30 cm soil depth was lower than in 25 cm soil depth (Figure 4), which might have decreased shoot dry weight (r = 0.38) (Figure 10(A)). The increase in shoot dry weight was consistent with that in leaf area. The leaf area in Kencana, Lembang-1, and Ungara was enhanced by 18.11%, 45.01%, and 25.78%, respectively, in 30 cm soil depth compared to the 25 cm soil depth media (Figure 7(A)). In contrast, the shoot dry weight and leaf area of Tanjung-2 were lower by 14.14% and 20.15%, respectively, under 30 cm soil depth compared to the 25 cm soil depth at 5 WAT. Tanjung-2 showed a slow response to the deeper soil media. However, chlorophyll content in Kencana, Lembang-1, and Tanjung-2 was higher than in Ungara. However, the chlorophyll content of Tanjung-2 at 5 WAT was similar to that in Kencana and Lembang-1. At 30 cm soil depth, the chlorophyll content was significantly higher (11.46%) than at 25 cm soil depth. The finding of chlorophyll content suggested that deeper soil solum supports enhanced physiological function through improved photosynthetic pigment accumulation. Therefore, net assimilation rate and relative growth rate of Tanjung-2 were elevated under 30 cm soil depth (Figures 7(E) - 7(F)). Good vegetative growth can support an increase in shoot dry weight and leaf area [32]. The accumulation of dry matter reflected the quantity of photoassimilate generated, as it was closely influenced by the photosynthetic rate and the efficiency of the photosynthetic apparatus [33]. An increased number of leaves facilitated more efficient photosynthesis, resulting in elevated production of carbohydrates and proteins, which in turn supported higher dry weight accumulation. The photosynthates generated were subsequently distributed throughout the plant, enhancing its biomass [32].



Figure 5 Shoot morphology of 4 chili varieties at 7 WAT, Kencana (A), Lembang-1 (B), Tanjung-2, (C), Ungara (D) planted in 30 cm soil depth media.



Note: The numbers presented are the means ± standard error, when followed same letters, indicate no significant difference between combination varieties and soil depth media treatment by the Honestly Significant Difference test at 95% confidence interval.

Figure 6 Shoot dry weight (g) of 4 lowland chili varieties at 5 WAT (A), 10 WAT (B).



Note: The numbers presented are the means ± standard error, when followed same letters, indicate no significant difference between combination varieties and soil depth media treatment by the Honestly Significant Difference test at 95% confidence interval.

Figure 7 Leaf area (cm2) at 5 WAT (A), Leaf area (cm2) at 10 WAT (B); Total chlorophyll at 5 WAT (C), Total chlorophyll at 10 WAT (D); Net assimilation rate (mg.cm–2.weeks–1) (E); Relative growth rate (g.g–1.weeks–1) (F) of 4 chili varieties.


During the generative phase (10 WAT), shoot dry weight varied significantly among chili varieties. Kencana had the highest shoot dry weight, indicating more efficient resource allocation under favorable root conditions. In contrast, Tanjung-2 had the lowest shoot dry weight, suggesting limited shoot growth capacity. Furthermore, plants grown in 30 cm soil depth produced higher shoot dry weight by 23.34% compared to 25 cm soil depth (Figure 6(B)). This increase in shoot dry weight was consistent with the increase in leaf area at 10 WAT (Figure 7(B)). Leaf area is important for crop light interception and therefore has a large influence on growth. The expansion of leaf area played a vital role in facilitating energy capture and promoting dry matter accumulation within the crop canopy [34]. Leaf area was significantly different between the two varieties and soil depth (Figure 7(B)). Deeper soil depth (30 cm) generally supported greater leaf area than 25 cm soil depth. The leaf area of Lembang-1, Kencana, Tanjung-2, and Ungara increased by 24.69%, 18.11%, 8.99%, and 8.13%, respectively, in 30 cm soil depth media than in 25 cm soil depth media (Figure 7(B)).

The expansion of leaf area was driven by an elevation in the net assimilation rate (NAR). NAR, often referred to as the unit leaf rate, described the gain in plant dry mass per unit of leaf surface and served as a composite physiological indicator linked to both photosynthetic activity and respiratory expenditure. It represented the net dry matter accumulation per leaf area, effectively reflecting the surplus of carbon gain through photosynthesis over carbon loss via respiration [35]. The NAR of Kencana, Lembang-1, Tanjung-2, and Ungara was elevated by 14.38%, 23.81%, 31.60%, and 32.64%, respectively, in 30 cm soil depth media than in 25 cm soil depth (Figure 7(E)). An increase in the net assimilation rate (NAR) was often associated with enhanced photosynthetic efficiency, potentially resulting from greater allocation to photosynthetic structures [35]. NAR reflected plant productivity relative to its biomass and served as a useful metric to assess photosynthetic efficiency. It indicated the net balance between photosynthetic carbon gain, respiratory losses, and tissue degradation rates. The increase in net assimilation rate was supported by chlorophyll content, which was similar both in varieties and soil depth treatment (Figure 7(D)). Chlorophyll in leaf tissues functions as a photosynthetic antenna that accumulates light in the leaf. The light energy that falls on the leaves is used in the photolysis process, is beneficial in the conversion of light to organic compounds, and is thereafter harvested as glucose [36]. The increment in net assimilation rate resulted in a higher relative growth rate (RGR) of Kencana, Lembang-1, Tanjung-2, and Ungara, elevated by 17.94%, 19.35%, 21.74%, and 14.71%, respectively, in 30 cm soil depth media than in 25 cm soil depth (Figure 7(F)). The relative growth rate (RGR) represented an integrative measure influenced by physiological activity, plant morphology, and the distribution of biomass. To quantify the individual roles of these factors, RGR was commonly partitioned into its fundamental components: net assimilation rate (NAR), specific leaf area (SLA), and leaf mass ratio (LMR). Among these, the allocation of biomass to foliar structures, rather than to non-photosynthetic organs, played a dominant role in formation of RGR [37]. A high dry matter generally indicates that the plant exhibited enhanced adaptability and yield performance [31]. Chen et al. [31] reported that the high number of leaves maximized photosynthesis, producing more carbohydrates, which are transported to the leaves, stems, and roots to increase generative growth. A similar phenomenon also occurred in maize grown at a 40-cm depth, which holds more usable water from deeper layers. The expansion of leaf area and enhancement of photosynthetic activity in maize cultivated in deeper soil profiles required greater water uptake to support transpiration demands. Consequently, plants required access to water at deeper soil layers to support this increased consumption. The study also demonstrated that maize grown in shallower solum exhibited reduced leaf area compared to those in thicker profiles, likely as an adaptive response to limit transpirational water loss through minimized evaporative surface.

Tanjung-2 was less responsive than other varieties during the generative phase (10 WAT), particularly when grown in deeper soil (30 cm soil depth), as evidenced by its relatively lower increases in key growth parameters. The shoot dry weight of Tanjung-2 only increased by 12.95%, which was substantially lower than in Kencana (40.80%), Ungara (17.14%), and Lembang-1 (13.62%). This indicated that Tanjung-2 was less effective in utilizing water and nutrients available in deeper soil to enhance biomass production. Similarly, its leaf area increased by 8.99%, compared to increases in Kencana (18.11%) and Lembang-1 (24.69%) in 30 cm compared to 25 cm soil depth. Leaf area was crucial for light interception and photosynthesis; this limited development suggested a reduced capacity for energy capture and growth in Tanjung-2. Interestingly, Tanjung-2 exhibited a high increase in net assimilation rate (NAR) in 30 cm soil depth, higher than in Kencana and Lembang-1. However, physiological enhancement did not lead to an increase in shoot dry matter and leaf area, suggesting that photosynthetic improvement was not effectively allocated to vegetative growth. This discrepancy indicates potential limitations in other factors, such as leaf expansion or root activity.


Fruit yield characters (fresh weight, number of fruits, harvest index, yield stability index)

Fruit yield is closely related to natural factors and human activities, particularly soil management. Bindraban et al. [38] stated that several factors, such as the soil depth, available water content, and soil nutrient levels, strongly determined plant performance. The essential composition of the soil was a type of porous medium, which was arranged efficiently and orderly according to a specific sequence and size [39]. The increase in yield can occur due to an enhancement in sink demand, which promotes assimilate-translocation to the fruits [40].


Note: The numbers presented are the means ± standard error, when followed same letters, indicate no significant difference between combination varieties and soil depth media treatment by the Honestly Significant Difference test at 95% confidence interval.

Figure 8 Fresh weight fruit (g) (A), Number of fruit (B), Harvest index (C), Yield stability index (D) of 4 chili varieties at 15 WAT.


The results demonstrated that soil depth and variety significantly affected the fresh weight of fruit per plant (Figure 8(A)). The fresh weight fruit per plant in Lembang-1, Tanjung-2, and Ungara increased by 15.20%, 7.82%, and 8.12%, respectively, in 30 cm soil depth media compared to 25 cm (Figure 8(A)). Conversely, in Kencana, it decreased by 8.29%. Moreover, Lembang-1 produced the highest number of fruits (Figure 8(B)). The effect of planting depth was also significantly different. Plants grown at 30 cm soil depth increased the number of fruits by 11.23% compared to 25 cm soil depth media (Figure 8(B)). The increase in fresh fruit weight elevated the harvest index. Lembang-1, Tanjung-2, and Ungara produced yield stability index (YSI) >1 in 30 cm soil depth media, indicating that these 3 varieties responded more to the deeper soil solum conditions (Figure 8(D)). These findings aligned with Kavut and Avcioglu [41], who stated that soil characteristics influencing root growth and development, consequently impacting crop yield, could be categorized as nutritional, biological, or physical factors, including soil temperature, aeration, and root penetration resistance. Kavut and Avcioglu [41] reported that economic yield increased due to enhanced photosynthate translocation to the fruits. Soil thickness significantly influenced hydrological dynamics and ecological functions at the global scale. The depth of the topsoil layer enriched with organic matter, nutrients, and biological activity regulated plant development, determined agricultural productivity, contributed to carbon sequestration, and regulated key biogeochemical processes. This is similar to the study on maize, where shallow soil solum had less water available, but thicker soil solum due to the access to stable deeper water, thereby maintaining transpiration and photosynthesis [31]. This effect is because, in addition to nutrients and water in sufficient quantities, the deep soil allows the roots to develop optimally, thereby enhancing yields than the shallow soil solum. A solum depth of 30 to 60 cm enhanced the yield to >6 tons per hectare, as it provided a longer retention period for water within soil micropores. Additionally, maize roots, which do not penetrate too deeply, efficiently utilize the available water, optimizing maize productivity [42].

Regarding root and shoot growth in Kencana, when planted in 30-cm soil, it demonstrated the maximal shoot growth at 10 WAT compared to the other 3 varieties. The shoot dry weight was 2.3 - 3.1fold higher than the other 3 chili varieties. However, the ability of Kencana to translocate photosynthates to fruits as a sink decreased, which was expressed in the lowest harvest index compared to that of 25 cm soil depth media (from 0.529 to 0.402) (Figure 8(C)). This phenomenon caused the fresh weight of fruit in Kencana to be lower in the 30 cm soil media than in the 25 cm soil depth media. The fresh weight of fruit did not increase in 30 cm soil depth because fruits number was decreased significantly. High shoot dry weight in Kencana during the generative phase (10 WAT) was negatively correlated to fresh weight of fruit (r = –0.59) (Figure 10(B)), suggesting that the plant shifted resources toward new vegetative growth. Kusumasari et al. [43] also reported that the number of fruits did not increase in Kencana, although high fertilizer input enhanced canopy growth. Moreover, Azmi et al. [44] described that Kencana had a low fruit yield compared to Lembang-1 and Tanjung-2. This might be because Kencana had a low sink capacity to store photosynthetic products. Qidway et al. [45] observed that the net rate of carbon assimilation per unit leaf area increased progressively over several days when the demand from sink organs intensified, but declined when sink demand weakened. The suppression of photosynthesis was more pronounced in species that predominantly stored starch instead of sucrose during the day under conditions of low sink demand.

Responses of chili variety for 25 and 30 cm soil depth were analyzed through principal component analysis based on yield and morpho-physiology. By Principal Component Analysis (PCA) identification of the major traits contributing to varietal differentiation under different soil depths could be determined (Figures 9(A) and 9(B)). The analysis showed distinct responses among the 4 chili varieties, indicating genotype-specific adaptability and morpho-physiological traits to soil depth variation.


Principal component analysis

PCA in 25 cm soil depth displayed that the first 2 principal components accounted for 83.01% of the total variance, with PC1 and PC2 explaining 55.25% and 27.76% of the variability, respectively (Figure 9(A)). Traits such as leaf area (LA), net assimilation rate (NAR), relative growth rate (RGR), root length (RL), and root surface area (RSA) were positively loaded on PC1, indicating that this axis represented overall plant vigor and below-ground development. In contrast, traits such as chlorophyll content (Chl), harvest index (HI), and root-to-shoot ratio (RSR) were negatively associated with PC1, highlighting contrasting strategies in resource allocation. Under 25 cm soil depth, Kencana showed divergence from Tanjung-2, Lembang-1, and Ungara. In the biplot, Kencana was positioned far along the positive axis of PC1 association with traits related to root development (RL, RSA), growth efficiency (RGR, NAR) (Figure 9(A)). Additionally, Kencana was linked to a higher harvest index (HI), suggesting that this variety did not only develop a robust root system and grows efficiently but also allocated more biomass towards the fruit. This pattern highlights that Kencana growth strategy at 25 cm soil depth focused on effective root development, efficient biomass accumulation, and better partitioning of resources to yield. Conversely, at 25 soil depth, Ungara and Lembang-1 were positioned closer to the positive side of PC2, and were strongly associated with leaf area (LA) (Figure 9(A)). Tanjung-2 did not show strong root growth. However, it was more associated with fresh fruit weight (FWF), root:shoot ratio (RSR), and root dry weight (RDW) (Figure 9(A)). This suggested that Tanjung-2 might not have the most vigorous root, and maintains a balance between root and shoot biomass.

Under 30 cm soil depth, the first 2 principal components cumulatively explained 83.85% of the total variation, with PC1 accounting for 62.08% and PC2 contributing 21.77%. Positive PC1 was heavily associated with fresh weight fruit per plant (FWF), harvest index (HI), root:shoot ratio (RSR), leaf area (LA), net assimilation rate (NAR), and relative growth rate (RGR). In contrast, traits such as root dry weight (RDW), shoot dry weight (SDW), chlorophyll (Chl), root surface area (RSA) were negatively associated with PC1. In the biplot, Tanjung-2, Lembang-1, and Ungara were positioned far along the positive axis of PC1 association with traits fresh weight fruit per plant (FWF), harvest index (HI), root:shoot ratio (RSR), leaf area (LA), net assimilation rate (NAR), relative growth rate (RGR) (Figure 9(B)). The grouping of these varieties at 30 soil depth, such as FWF and HI, indicated efficient resource partitioning toward fruit production. Simultaneously, their association with RSR, NAR, and RGR highlighted their robust photosynthetic capacity and balanced root-shoot development, contributing to plant growth. Conversely, at 30 cm soil depth, Kencana was positioned closer to the negative side of PC1, and was strongly associated with root dry weight (RDW), shoot dry weight (SDW), chlorophyll (Chl), and root surface area (RSA) (Figure 9(B)). This positioning suggests that Kencana might rely more on structural biomass accumulation rather than on traits linked to chili yield.



Note: FWF = fresh weight of fruit per plant, NF = number of fruits, HI = harvest index, RSR = root:shoot ratio, RL = total root length, RSA = root surface area, RDW = root dry weight, LA = leaf area, SDW = shoot dry weight, NAR = net assimilation rate, RGR = relative growth rate, Chl = Chlorophyll.

Figure 9 Principal component analysis in 25 cm soil depth (A), and 30 cm soil depth (B).






Correlation analysis

Lembang-1, Tanjung-2, and Ungara were responsive chili varieties to 30 cm soil depth media showed a correlation between fresh weight of fruit and number of fruits (r = 0.76*), or harvest index (r = 0.55*) (Figure 10(A)). Uzair et al. [46] reported that the number of fruits per plant in tomato and the weight of each fruit are key factors that determine tomato plant yield. In the responsive plants, the shoot and physiological characters were positively correlated with the fresh fruit weight. The fresh fruits had a correlation with relative growth rate (r = 0.86), net assimilation rate (r = 0.58), leaf area (r = 0.48), and shoot dry weight (r = 0.48). Moreover, the root dry weight (r = 0.41*), root length (r = 0.54*), root surface area (r = 0.43*), and root:shoot ratio (r = 0.64*) also correlated with the fresh fruit weight. These findings indicated that yield improvement in chili varieties, responsive to soil depth, was associated with root system development and the physiological improvement of chili plants. Therefore, the fresh weight of fruit increased in Lembang-1, Tanjung-2, and Ungara was influenced by yield components as well as the root and shoot morpho-physiology. Enhanced shoot growth influenced the development of branches, which increased the number of fruits by providing more space for flower formation and subsequent fruit set. The increased number of fruits resulted in a higher fresh weight of chili fruits [47].

In the variety Kencana, nonresponsive to soil depth, the fresh fruit weight correlated with the fruit number (r = 0.41*), and harvest index (r = 0.50*). These results suggested that an increase in fresh fruit weight was related to a higher number of fruits and harvest index. However, the fresh fruit weight was negatively correlated with the root system. Thus, root system enhancement influenced the yield decrement in Kencana. Moreover, the fresh weight of fruit correlated negatively with the shoot dry weight (r = -0.59*) (Figure 10(B)). Therefore, excessive shoot growth in Kencana reduced yield, as a large portion of assimilates in net assimilation rate (r = 0.66*) and relative growth rate (r = 0.60*) was allocated to leaf area (r = 0.47*) rather than fruit yield.




Note: FWF = fresh weight of fruit per plant, NF = number of fruits, HI = harvest index, RSR = root:shoot ratio, RL = total root length, RSA = root surface area, RDW = root dry weight, LA = leaf area, SDW = shoot dry weight, NAR = net assimilation rate, RGR = relative growth rate, Chl = Chlorophyll. *p < 0.05.

Figure 10 Yield and morphology relationship in Lembang-1, Tanjung-2, Ungara (A), and Kencana (B) at 30 cm soil depth.




Multiple linear regression analysis was conducted to quantify the influence of selected morpho-physiological traits on fresh weight of fruit per plant (FWF) at 30 cm soil depth. The resulting model was explained in Eq. (7):


The positive coefficients for all independent variables indicated that an increase in each trait contributed positively to fresh weight fruit per plant (FWF). Among the predictors, relative growth rate (RGR) and root:shoot ratio (RSR) had the largest coefficients, suggesting that growth efficiency and balanced biomass allocation between root and shoot systems were the most influential factors in determining fruit yield. This implied that varieties with higher RGR and RSR were more likely to accumulate greater fruit biomass. Additionally, net assimilation rate (NAR) was important for photosynthetic efficiency in supporting yield. This model highlighted the combined contribution of morpho-physiological parameters in predicting fruit yield, particularly in responsive varieties at 30 cm soil depth.

The effect of morpho-physiological to fresh weight fruit per plant at 25 cm soil depth could be formulated using multiple linear regression Eq. (8).

The results revealed both positive and negative predictors of FWF. Positive coefficients for NF, LA, and NAR indicated that higher fruit number, expanded leaf area, and improved photosynthetic efficiency contributed positively to fruit yield. Conversely, RSA and SDW had negative coefficients, indicating that greater biomass allocation to roots and shoots was associated with reduced fruit yield. This result suggested a trade-off in assimilate distribution, where excessive vegetative growth may divert resources from reproductive organs.


Conclusions

The responses of the chili varieties planted in the tropical lowland under 30 cm soil depth media were classified into 2 groups. Lembang-1, Tanjung-2, and Ungara were response varieties at 30 cm soil depth with increasing fresh weight of fruit per plant, unlike in Kencana. The varieties in which the yield improved in response to 30 cm soil depth were related to the root morphological traits, including root diameter, root length, and root surface area. Improved root morphological traits in 30 cm soil depth increased the shoot morpho-physiology traits, including shoot dry weight, leaf area, total chlorophyll content, net assimilation rate, and relative growth rate compared to 25 cm soil depth. It can be concluded that the 30-cm soil depth could be employed for managing some chili varieties and enhancing yield in tropical lowland


Acknowledgements

The authors would like to thank to Department of Agronomy, Faculty of Agriculture, Gadjah Mada University, Indonesia for funding this research based on project number 3033/PN/TU/2018 and the Research Directory of Gadjah Mada University, Indonesia for supporting proofreading of the manuscript.


Declaration of Generative AI in Scientific Writing

The authors acknowledge the use of generative AI tools (e.g., QuillBot and ChatGPT by OpenAI) in the preparation of this manuscript, specifically language translation. No content generation or data interpretation was performed by AI. The authors take full responsibility for the content and conclusions of this work

CRediT author statement

Endang Sulistyaningsih: Conceptualization, Resources, Methodology, Project administration, Supervision, Validation, Funding acquisition, Writing – original draft, review and editing.

Sarlin Kusumaningrum: Data curation, Formal analysis, Investigation, Validation, Visualization, Writing – original draft and editing.

Rudi Hari Murti: Conceptualization, Methodology, Investigation, Validation, Review, and Editing.


References

[1] AD Irjayanti, AS Wibowo, H Stiyaningsih, IM Putri, OP Gitaningtyas, SK Areka, W Suprapti and Z Nurfalah. Statistics of Horticulture 2022. BPS Statistics Indonesia, Jakarta, Indonesia, 2023.

[2] S Kusumaningrum, E Sulistyaningsih, R Harimurti and K Dewi. Identification of chili varieties (Capsicum annum) tolerance to root cutting based on stress selection indices and morphological traits planted in lowland area. Biodiversitas 2024; 25(5), 2063-2073.

[3] X Zhang, Y Kong, Y Lv, F Yao, Y Cao, X Shao, Y Geng, L Wang and Y Wang. Increased topsoil depth required to support increased grain yield production in high density maize. Field Crops Research 2024; 308(4), 109282.

[4] RFD Silva, EC Severiano, GCD Oliveira, SM Barbosa, DS Peixoto, D Tassinari, BM Silva, SHG Silva, MS Júnior and TAFR Figueiredo. Changes in soil profile hydraulic properties and porosity as affected by deep tillage soil preparation and Brachiaria grass intercropping in a recent coffee plantation on a naturally dense Inceptisol. Soil Tillage Research 2021; 213, 105127.

[5] JL Yost and AE Hartemink. How deep is the soil studied - an analysis of four soil. Plant Soil 2020; 452, 5-18.

[6] RP Azevedo, LM Corinto, DS Peixoto, T De Figueiredo, GCD. Silveira, PM Peche, PS Pio, PH Pagliari, N Curi and BM Silva. Deep tillage strategies in perennial crop installation: Structural changes in contrasting soil classes. Plants 2022; 11(17), 2255.

[7] R Grasso, MT Peña-Fleitas, M Gallardo, RB Thompson and FM Padilla. Tillage effects on soil properties, crop responses and root density of sweet pepper (Capsicum annuum). Spanish Journal of Agricultural Research 2021; 19(2), e0902.

[8] M Yoshimura, K Maezuka and Y Toma. Using surface soil layer depth for determining soil quality index for evaluating productivity of potato (Solanum tuberosum L.) in Hokkaido, Japan. Soil Science Plant Nutrition 2023; 69(1), 1-12.

[9] J Hirzel and I Matus. Effect of soil depth and increasing fertilization rate on yield and its components of two durum wheat varieties. Chillean Journal Agriculture Research 2013; 73(1), 55-59.

[10] X Zhang, Y Kong, YF Yao, Y Cao, X Shao, Y Geng, L Wang and Y Wang. Increased topsoil depth required to support increased grain yield production in high density maize. Field Crops Research 2024; 308(4), 109282.

[11] X Bai, SJ Smidt, Y Fan, T Brophy, YG Her, N Manirakiza, Y Li and JH Bhadha. Farming shallow soils: impacts of soil depth on crop growth in the everglades agricultural area of Florida, USA. Field Crops Research 2024; 316(1), 109523.

[12] CA Spadotto and R Mingoti. Climates, soils, and agriculture in the tropical region. Meio ambiente: Agricultura, desenvolvimento e sustentabilidade 2023. https://doi.org/10.22533/at.ed.3912322062

[13] IS Banuwa, KF Hidayat, I Zulkarnain, P Sanjaya, Afandi and A Rahmat. Soil loss and cassava yield under ridge tillage in humid tropical climate of Sumatra, Indonesia. International Journal of GEOMATE 2020; 18(67), 1-7.

[14] Indonesian Vegetable Research Institute. Standard operational procedure for chili cultivation. Ministry of Agriculture Indonesia, Indonesia, 2014.

[15] N Iftikhar, S Perveen, B Ali, MH Saleem and MK Al-Sadoon. Physiological and biochemical responses of maize (Zea mays L.) cultivars under salinity stress. Turkish Journal of Agriculture and Forestry 2024; 48(3), 1-13.

[16] DL Arnon. Copper enzymes in isolated chloroplasts polyphenoloxidase in Beta vulgaris. Plant Physiology 1949; 24(1), 1-15.

[17] FC Wulansari, E Purwanto, M Rahayu and AT Sakya. The rate of net assimilation and the rate of relative growth of amaranth (Amaranthus tricolor L.) varieties on urea fertilizer application. IOP Conference Series: Earth and Environmental Science 2024; 1362, 012056.

[18] RA Fischer and R Maurerac. Drought resistance in spring wheat cultivars grain yield responses. Australia Journal Agriculture Research 1978; 29(5), 897-912.

[19] AT Sakya, E Sulistyaningsih, BH Purwanto and D Indradewa. Evaluation of zinc efficiency and some of nutritional and physiological responses of tomatoes cultivars. Journal of Plant Nutrition 2023; 46(18), 4420-4437.

[20] HM Schneider, CF Strock, MT Hanlon, DJ Vanhees, AC Perkins, IB Ajmera, JS Sidhu, SJ Mooney, KM Brown and JP Lynch. Multiseriate cortical sclerenchyma enhance root penetration in compacted soils. Proceedings of the National Academy of Sciences of the United States of America 2021; 118(6), e2012087118.

[21] DW Jing, FC Liu, MY Wang, HL Ma, ZY Du, BY Ma and YF Dong. Effects of root pruning on the physicochemical properties and microbial activities of poplar rhizosphere soil. Plos One 2017; 12(11), e0187685.

[22] HW Jeong, HR Lee, JY Kim, GG Kim, CI Na and SJ Hwang. Assessment of growing media and fertigation for production of root pruning splice-grafted cucumber seedlings. Korean Journal of Horticultural Science and Technology 2021; 39(3), 294-304.

[23] M Rieger and P Litvin. Root system hydraulic conductivity in species with contrasting root anatomy. Journal Experiment Botany 1999; 50(331), 201-209.

[24] OA Valdés-Rodríguez and A Pérez-Vázquez. Seedling characteristics of three oily species before and after root pruning and transplant. Plants 2019; 8(8), 258.

[25] RA Sheridan and AS Davis. Characterizing the utility of the root-to-shoot ratio in douglas-fir seedling production. Forests 2021; 12(12), 1745.

[26] M Kulkarni and S Phalke. Evaluating variability of root size system and its constitutive traits in hot pepper (Capsicum annuum L.) under water stress. Scientia Horticulturae 2009; 120(2), 159-166.

[27] T Mašková and T Herben. Root: shoot ratio in developing seedlings: how seedlings change their allocation in response to seed mass and ambient nutrient supply. Ecology and Evolution 2018; 8(14), 7143-7150.

[28] E Sathiyavani, NK Prabaharan and KK Surendar. Role of mineral nutrition on root growth of crop plants - a review. International Journal of Current Microbiology and Applied Sciences 2017; 6(4), 2810-2837.

[29] M Kamran, S Wennan, I Ahmad, M Xiangping, C Wenwen, Z Xudong, M Siwei, A Khan, H Qingfang and L Tiening. Application of paclobutrazol affect maize grain yield by regulating root morphological and physiological characteristics under a semi-arid region. Scientific Reports 2018; 8(1), 4818.

[30] C Wu, Y Bi, W Zhu, C Xue and P Christie. Optimizing water use strategies in arid coal mining areas: the synergistic effects of layered soil profiles and arbuscular mycorrhizal fungi on plant growth and water use efficiency. Environment Experimental Botany 2024; 221, 105722

[31] L Chen, Y Luo, J Tang, X Zhang, H Liu, J Cui, J Zheng and X Dong. Determination of optimum solum thickness of sloping cropland for maize plantation in an entisol based on water use strategy and plant traits. Agriculture Water Management 2024; 299(8), 108867.

[32] HY Dasgan and K Abak. Effects of plant density and number of shoots on yield and fruit characteristics of peppers grown in glasshouses. Turkish Journal of Agriculture and Forestry 2003; 27(1), 29-35.

[33] N Witariadi and K NNC. Productivity of Asystasia gangetica (L) subsp. Micrantha planted in different soil types and levels of shade. International Journal of Fauna and Biological Studies 2024; 11(3), 04-07.

[34] U Musa, U Tanko and H Taiwo. Leaf area determination for maize (Zea mays L), okra (Abelmoschus esculentus L) and cowpea (Vigna unguiculata L) crops using linear measurements. Journal of Biology, Agriculture and Healthcare 2016; 6(4), 103-111.

[35] IZ Kiri, FBJ Sawa, SD Abdul and AM Gani. Effects of phosphorus and zinc on net assimilation rate of cowpea (Vigna unguiculata (L.) Walp) varieties grown in Bauchi, Nigeria. Dutse Journal of Pure and Applied Sciences 2023; 9(2), 209-222.

[36] HB Jumin, M Muslim, I Vebionita and Jekinda. Net assimilation rate and mean relative growth rate of horticulture plants on swamp land under control of organic compounds. Current Journal of Applied Science and Technology 2025; 25(4), e0259673.

[37] B Shipley. Net assimilation rate, specific leaf area and leaf mass ratio: which is most closely correlated with relative growth rate? A meta-analysis. Functional Ecology 2006; 20(4), 565-574.

[38] PS Bindraban, JJ Stoorvogel, DM Jansen, J Vlaming and JJR Groot. Land quality indicators for sustainable land management: Proposed method for yield gap and soil nutrient balance. Agriculture, Ecosystems & Environment 2000; 81(2), 103-112.

[39] J Li, Z Guo and Y Xu. Soil structure and stability features under rotation tillage. IOP Conference Series Earth and Environmental Science 2019; 384(1), 012213.

[40] Y Huang, P Ciais, M Santoro, D Makowski, J Chave, D Schepaschenko, RZ Abramoff, DS Goll, H Yang, Y Chen, W Wei and S Piao. A global map of root biomass across the world’s forests. Earth System Science Data 2021; 13(9), 4263-4274.

[41] M Umar, S Ahmad, ST Haider and S Naz. Effect of pruning to improve yield and fruit quality of ‘Kinnow’ Mandarin plants under high density plantation. Journal of Horticultural Science & Technology 2019; 2(3), 85-89.

[42] I Mado. Analysis of productivity of sloping land with solum shallow for maize plant development. International Journal Current Research Bioscience Plant Biology 2019; 6(1), 29-36.

[43] AC Kusumasari, S Sutoyo, S Jauhari, W Hariyanto, S Sarjana, D Sihombing, W Handayati and B Winarto. Growth-yield performances of two chilli varieties under different agronomical components applied and their partial economic analysis. Agronomy Research 2022; 20(S1), 999-1013.

[44] C Azmi, A Sembiring and H Kurniawan. Yield components and seed attribute of nine varieties of open-pollinated chili. Jurnal Agro 2024; 11(1), 1-15.

[45] Q Sidra, P Chandra, V Aparna and C Rashav. Chapter-15 transport and partitioning of photosynthates. In: Priyanka, SB Naik, CS Choudhary and D Katiyar (Eds.). Text book of agriculture & agroforestry. AkiNik Publications, New Delhi, India, 2023, p. 163-171.

[46] M Uzair, R Kalsoom, KA Attia, I Ali, T Hussain, AM Abushady, H Ali, S Fiaz, S Jameel, MU Hameed, R Iqbal and MR Khan. Understanding the role of thermal stress in modulating growth, yield, and quality attributes of tomato at two locations. Turkish Journal of Agriculture and Forestry 2025; 49(1), 153-168.

[47] S Aryal, P Thapa, S Panth, A Bhatt, B Thapa and B Khanal. Effect of pinching on the growth and yield of chili (Capsicum annuum). Turkish Journal of Food and Agriculture Sciences 2023; 5(2), 106-112.