Start Bootstrap Logo

Trends Sci. 2025; 22(12): 10767

Synthesis and Characterization of Chitosan-Alginate Hydrogel Adsorbent for Paracetamol Removal from Wastewater


Hastuti Budi1, Asna Fikriana Arsyada1, Hadi Saptono2,

Koesnarpadi Soerja3 and Kamari Azlan4


1Departement of Chemistry Education, Faculty of Teacher Training and Educational Sciences,

Sebelas Maret University, Central Java, Indonesia

2Departement of Pharmacy, Faculty of Matematics and Natural Sciences, Sebelas Maret University,

Central Java, Indonesia

3Departement of Chemistry, Faculty of Matematics and Natural Sciences, Mulawarman University,

Kalimantan Timur, Indonesia

4Departement of Chemistry Education, Faculty of Teacher Training and Education,

Universiti Pendidikan Sultan Idris, Perak, Malaysia


(*Corresponding author e-mail: [email protected])


Received: 25 May 2025, Revised: 30 June 2025, Accepted: 7 July 2025, Published: 30 August 2025


Abstract

The extensive use of paracetamol has led to the increasing of paracetamol contamination in aquatic ecosystems, posing risks to both human health and the environment. Adsorption is an efficient and cost-effective strategy for addressing paracetamol contamination in the environment. The main target of this study is to develop an efficient and low-cost adsorbent from natural biopolymers derivate for paracetamol removal in wastewater. A Chitosan-Alginate (Chi/Alg) hydrogel was prepared using ionic gelation method by mixing the Alg and Chi solutions in a 4:1 volumetric ratio. The synthesized hydrogel was characterized using Fourier Transform Infrared (FTIR). x-ray diffraction (XRD), Scanning Electron Microscopy (SEM), and Differential Thermal-Thermogravimetric (DTA-TGA) analyzer. Batch adsorption tests were conducted to study the effects of pH, contact time, and adsorbate concentration. UV-Vis spectrophotometer was used to measure the concentration of paracetamol in solution. Adsorption isotherm study was also performed to investigate the kinetic and thermodynamic behavior of the adsorption process. The FTIR data showed the vibration of hydroxyl (O-H), carboxyl (C=O) and amine (N-H2) groups. The XRD data showed that Chi/Alg hydrogel has a semicrystalline structure. Analysis SEM showed that modification of Chi/Alg creates a larger pore size than the initial compound. Finally, DTA-TGA data showed that the beads have higher thermal stability.

The batch test showed that the optimum adsorption conditions were achieved at pH 6, contact time of 45 min, and adsorbate concentration of 80 mg/L. The kinetic studies revealed that the adsorption process followed pseudo-second order reaction kinetics model and the Freundlich isotherm model. It also indicated a robust adsorption of the membrane, with the reaction rate constant of 0.1368 g/mg.min and adsorption capacity of 67.58 mg/g. The adsorption mechanism occurs via both physical and chemical interactions, with physical interactions predominating. This demonstrates the efficacy of Chi/Alg hydrogel as an adsorbent for the removal of paracetamol from water.


Keywords: Chitosan, Alginate, Hydrogel, Adsorption, Paracetamol waste


Introduction

The aquatic environment is rapidly facing a rising of organic contaminants from diverse sources such as pharmaceuticals, personal care products, and industrial


byproducts. These emerging contaminants, often present at low concentrations, can have significant impacts on aquatic ecosystems and potentially pose human health risks through drinking water and the food chain [1,2]. These risks include decreased water quality, genotoxicity (damage to DNA), the development of drug-resistant bacteria, and endocrine disruption contamination of drug waste [3-5].

The discovery of paracetamol residues in aquatic environments has been reported in the last decade. Paracetamol was found in rivers in South Korea at a concentration of 33 ng/L with an incidence rate of 80%. Similarly, paracetamol was found in Lake Taihu and Jiulong River watershed in Fujian Province, China at the concentration level of 9.8 - 197 ng/L [6]. Paracetamol was detected in Germany at concentrations of 0.065 μg/L in Elbe river and 1.99 μg/L in Leine river. The presence of paracetamol was also reported in Colorado and New Jersey River, both in United States at 0.117 and 0.031 μg/L, respectively [7].

In Indonesia, recent research shows that the waters of Jakarta Bay are polluted by high levels of paracetamol. Residues were found in Angke Bay and Ancol Bay at 610 and 420 ng/L, respectively [8]. This is supported by research data conducted by Wulan Koaguow, 2021 which found that several waters in the Jakarta Bay area were contaminated with medicinal waste, one of which was paracetamol. The study found high paracetamol concentrations in the Angke River, namely 610 and 420 ng/L, were found in the Ancol River, both of which are located in Jakarta Bay [8]. The source of contamination of paracetamol residue in Jakarta Bay comes from the excretion of public consumption that does not comply with procedures, the pharmaceutical industry and hospitals whose waste treatment is not optimal. It is stated that 56% - 68% of the drug consumed is excreted by the human body [9]. Paracetamol which pollutes the environment has a serious impact on organisms, and indirectly causes health problems in humans. Paracetamol tends to accumulate in adipose tissue so have long-term toxic effects [10]. For this reason, efforts to remediate paracetamol waste in waters is an important issue.

Adsorption was an effective and low-cost method for the elimination of paracetamol from water. Natural biopolymer derivatives, such as chitosan (Chi) and alginate (Alg), serve as commonly utilized adsorbent materials. Chi is a natural polysaccharide consisting of the monomers N-acetylglucosamine and D-glucosamine obtained from the deacetylation of chitin found in shellfish. Chi is used as an adsorbent because it is non-toxic to remove pollutants because amino and hydroxyl functional groups are present in its structure with desirable properties and different biological functions such as solubility, pH sensitivity, diffusion enhancement and bio-adhesiveness [11]. Despite the beneficial properties of chi as an adsorbent, there are some drawbacks, including depolymerization in acidic media, low strength at pH 5.5, high swelling index, low surface area [12]

Polyelectrolytes such as Alg can be used as complexes with Chi. The advantages of using Alg include use efficiency, can be modified and is not toxic. Alg can produce biopolymers through electrostatic forces between Alg carboxylate polyanions and Chi amine polycations. Biopolymer used as an adsorbent is able to eliminate wastewater pollution. In this case, the application of Chi Alg composites can be done with beads [13].


Materials and methods

Materials

The materials used in this study were technical Chitosan, technical Alginate, paracetamol (Merck, Germany), acetic acid (Mallinckrodt, USA), NaOH (Merck, Germany), AgCl2 (Merck, Germany), ethanol (Merck, Germany), HCl (Merck, Germany), Distilled water.


Instrumentation

The tools used in this study were a set of paddle-type dissolution apparatus (Biobase RC-6 Dissolution Tester; Tianjin, China), UV-Vis spectrophotometer (Genesys 10s UV-Vis; California, USA), Fourier Transform InfraRed (FTIR) spectrophotometer (Shimadzu 8201PC; Kyoto, Japan), Scanning Electron Microscopy (SEM) (Hitachi SU-3500, Japan), X-Ray Diffractometer (XRD) ((XRD) (Bruker D2 Phaset 2nd Gen; Massachusetts, USA), Differential Thermal Analysis and Thermogravimetric Analysis (DTA-TGA) (Perkin-Elmer, USA), oven (Memmert: Schwabach, Germany), pH meter (Eutech pH 330; Illinois, USA), digital analytical balance (Sartorius, d=0.001; Gŏttingen, Germany), stirrer (Mtops MS300 Hs; Seoul, Korea), magnetic stirrer (Joanlab HS5Pro; Huzhou City, China), stopwatch, laboratory glassware (Pyrex; Corning, USA).

Methods

Preparation of Chi/Alg adsorbent

The Chi/Alg solution was prepared by combining the Alg and Chi solutions in a 4:1 volumetric ratio, followed by followed by stirring with a magnetic stirrer. Subsequently, three drops of 32% HCl were incorporated and stirred until a homogenous mixture was achieved. The solution is then dripped using a syringe into a beaker glass containing 3 M NaOH solution until Chi/Alg beads are generated. The beads were filtrated and rinsed with distilled water and subsequently dried in the oven at 50 °C for approximately 22 h. After drying, the beads were pulverized using a mortar and pestle until the sample resembled a fine powder.


Characterization of Chi/Alg adsorbent

FTIR spectra was were collected in the range of 4,000 - 400 cm−1 to analyze the functional groups contained in the Chi/Alg adsorbent [14]. The surface morphology of the samples and the presence of pores or cavities in the adsorbent was studied by scanning electron microscopy (SEM). Analysis using X-Ray Diffraction (XRD) is aimed to distinguish types of polymers based on their phases, including crystalline, semicrystalline and amorphous [15]. Thermo-Gravimetric Analysis (TGA) and Differential Thermal Analysis (DTA) are used to assess the thermal stability of the adsorbent [17]. Finally, Particle Size Analyzer (PSA) characterization is used to determine the average size distribution of the adsorbent.


Determination of optimum pH

A 20 ppm paracetamol solution was prepared in a 100 mL beaker glass with pH variations of 2 - 10, adjusted using 0.1 N NaOH and 0.1 N HCl, and subsequently buffered with a buffer solution. 40 mg of the Chi/Alg adsorbent were contacted in paracetamol solution at each pH variation and agitated in shaker for 60 min at a speed of 150 rpm. The paracetamol solution was taken, filtered, and its absorbance was measured at the maximum wavelength of 234 nm using UV-Vis spectrophotometer.


Determination of optimum contact time

A 20 ppm paracetamol solution was prepared in a 100 mL beaker glass, adjusted to the optimal pH, and 40 mg of Chi/Alg powder was added. The solution was then agitated in a shaker at a speed of 150 rpm. The contact time were set at 5, 10, 30, 45, 60, 75, and 90 min. At each contact time, the solution was taken, filtered, and measured at the at the maximum wavelength of 234 nm using a UV-Vis spectrophotometer.


Determination of optimum adsorbate concentration

10 mL of paracetamol solution at concentrations of 20, 40, 60, 80, and 100 mg/L were prepared in a 100 mL beaker glass, adjusted to the optimal pH, and contacted with 40 mg of Chi/Alg adsorbent. Subsequently, the solution was agitated with a shaker at a speed of 150 rpm for the optimum contact time. The paracetamol solution was taken, filtered, and its absorbance was measured at the maximum wavelength of 234 nm using UV-Vis spectrophotometer.


Determination of adsorption capacity

The adsorption capacity of was determined by the Langmuir, Freundlich and Temkin isotherm equations. The appropriate isotherm model can be observed from the level of linearity of the equation. The Langmuir

Freundlich, and Temkin equation, respectively are given as follow:


where Ce denote residual concentration (mol/L), qe is adsorbed concentration at equilibrium (mol/g), Xm is maximum adsorption capacity (mol/g), and k is equilibrium constant.


where Ce denote residual concentration (mol/L), qe is adsorbed concentration at equilibrium (mol/g), K is Freundlich constant, and k is equilibrium constant.


where T is the absolute temperature, R is the gas constant, BT is a constant related to the heat of the adsorbent, AT is the equilibrium bond constant (L/min) which depends on the maximum binding energy of the adsorbate and adsorbent, and Ce is residual concentration (mol/L).


Thermodynamics studies

The thermodynamic study of the adsorption system can be calculated using the Vanʼt Hoff equation. The change in free energy (∆G◦) value obtained can indicate the nature of the adsorption. The equation is given as follow:



In this equation, R is the ideal gas constant, T is T is the absolute temperature, and K is the equilibrium constant. This equation helps determine the spontaneity and feasibility of adsorption based on the equilibrium constant.


Kinetics studies

The rate of adsorption is illustrated through the reaction kinetics model. Studies pertaining to adsorption kinetics were performed using pseudo-first-order and pseudo-second-order models of adsorption. Linear representation of the pseudo-first-order kinetic model is given as follow:


where qe denote the amount of adsorbate adsorbed at equilibrium (mg/g), qt is the amount of adsorbate adsorbed at any time t (mg/g), kad is the pseudo-first-order rate constant (1/time), and T is the time.


Pseudo-second-order kinetic expression in the linear format is equated as follows:


The initial sorption rate at t→0 is indicated by h = kqe2 (mg.g-1.min-1) where the rate constant is denoted by k (g/mg.min).


Results and discussion

Chi/Alg beads synthesis

The synthesis of Chi/Alg beads were performed with volumetric ratio of 4:1 [18]. The resulting material is in the form of beads which have been refined so that they become a whitish brown powder.


Chi/Alg beads characterization

The broad absorption band observed at wave number 3,447 cm−1 which is indicative of the stretching vibration of the -OH group which overlaps with the stretching absorption of -NH and hydrogen bonding occurs because it enters the range 3,500 - 3,200 cm−1. At wave number 2,887 cm−1 there is presence of a C-H bond, to be precise Csp3 - H bending methyl as evidenced by the peak at 1,414 cm−1. At wave number 1,586 cm−1, there are N-H bending or amine groups (-NH2), this is because amine bending has a range of 1,640 - 1,550 cm−1. Another absorption is the stretching vibration of -C-O at wave number 1,056 cm−1 and ether groups -R-O-R [19].

The Alginate IR spectrum shows a broadened absorption peak at wave number 3,465 cm−1. This absorption is a stretching vibration of the -OH group which occurs in hydrogen bonds because it enters the range of 3,500 - 3,200 cm−1. At a wavelength of 2,904 cm−1, the stretching vibration of the O-CH3 group and the presence of C-H bonds, to be precise Csp3 - H bending methyl, is evidenced by a peak at 1,419 cm−1. In the range of 1,800 - 1,500 cm−1 it can be observed the stretching vibration of the carbonyl group precisely in the band at 1,623 cm−1. Another absorption is C-O at wave number 1,056 cm−1 which shows stretching vibration –C-O and ether group –R-O-R- [20].

The IR spectrum of chitosan-alginate shows an abroad absorption peak at wave number 3,441 cm−1 that indicate of a stretching vibration of -OH groups which overlaps with absorption of NH stretching vibrations and hydrogen bonding occurs because it is in the wavelength range of 3,500 - 3,200 cm−1. At wave number 2,916 cm−1 is a stretching vibration of the O-CH3 group. At wave number 2,898 cm−1 there is a C-H bond, to be precise Csp3 - H bending methyl as evidenced by the peak at 1,414 cm−1. At wavelength 1,634 cm−1 shows of presence the covalent bond of C=O and NH2 groups in the formation of the C=N imine bond. This indicates of formation of electrolyte complex between chitosan and alginate. Another absorption is C-O at wavelength 1,026 cm−1 which shows –C-O stretching vibrations and –R-O-R- ether groups. The shift in wavelength, reduced intensity and broadening of the bands shown in the image indicate the existence of covalent and non-covalent interactions in chitosan and alginate [21].


Figure 1 FTIR spectra of (A) chitosan, (B) alginate, and (C) chitosan-alginate.


Figure 2 XRD patterns of chitosan, alginate, and chitosan-alginate beads.


Based on the results of the XRD characterization, pure Chi is semicrystalline because it has relatively sharp peaks and is present at 2 peaks (10.31° and 20.0°) with a crystalline percentage of 45%, pure Alg is amorphous because it has a broad hump pattern and is present at 2 (19.85°) peaks with a crystalline percentage of 35% and Chi/Alg beads are semicrystalline and are present at 2 peaks (9.93° and 19.83°) with a crystalline percentage of 37.7%. The percentage of crystallinity in chitosan-alginate decreased when compared to pure chitosan, this was due to the formation of a polyelectrolyte complex between the NH3+ ion from chitosan and the CO32− ion from alginate forming a stable complex, namely the chitosan-alginate polyelectrolyte complex. The decreased degree of crystallinity has the goal that the adsorption system can be achieved properly, because this will affect the solubility level and the release of the active compound will be better when compared to pure Chi which is hydrophobic with high crystallinity [22].


Figure 3 SEM images of (A) chitosan, (B) alginate, and (C) chitosan–alginate composite beads at 200x magnification.


In Figures 3(A) - 3(B) are samples of Chi and Alg which show a surface that has small pores. Whereas in Figure 3(C) it shows the presence of a rougher, wavy and hollow adsorbent surface. Based on the analysis using the ImageJ application, the average pore size in the Chi samples was 0.334 µm, Alg was 0.453 µm, and Chi/Alg powder was 0.555 µm. the results obtained indicate that the modification between Chi and Alg can make the pore size larger. The surface of the beads has coarser and more hollow pores which makes it more adsorption power [23]. and when applied as an adsorbent it will absorb more paracetamol.


Figure 4 TGA-DTA thermal analysis of (A) chitosan, (B) alginate, and (C) chitosan-alginate.



Based on the TGA-DTA data from pure Chi, it displays 3 stages of thermal degradation at the TGA of the hybrid beads. The first step (25 - 185 °C) with a weight loss of 0.51% corresponds to the water molecules trapped in the layer, this is an endothermic reaction due to water elimination which is adsorbed physically to the Chi. The second weight loss (185 - 360 °C) with a weight of 1.47% is due to polymer decomposition. The last stage of thermal degradation of Chi beads (360 - 800 °C) with a weight of 0.60% which is the further degradation of other groups into smaller molecules, like water, CO2 and other gases [24].

In the pure Alg, it can be seen that there are 3 stages of thermal degradation, namely the first step (25 - 185 °C) with a weight loss of 1.08% according to the water molecules trapped in the layer. The second weight loss (185 - 360 °C) with a weight of 1.96% is due to polymer decomposition. The last stage of thermal degradation of Alg beads (360 - 800 °C) with a weight of 1.15% which is the further degradation of other groups into smaller molecules like water, CO2 and other gases [25].

Chi/Alg beads display 3 stages of thermal degradation of the hybrid beads. The first step (50 - 270 °C) with a weight loss of 1.32% corresponds to the water molecules trapped in the tissue. The second weight loss (270 - 320 °C) with a weight of 4.8% is due to the decomposition of the polymer. The last stage of thermal degradation of Chi/Alg beads (320 - 800 °C) with a weight of 1.78% indicating high stability compared to pure Chi and Alg.


Table 1 Particle size analyzer characterization data.

Formula

Average particle size (µm)

Particle Size (µm)

Polydispersity Index (PI)

D10

D50

D90

Chi

90.407

72.815

92.023

115.811

0.467

Alg

77.788

53.091

82.665

128.629

0.914

Chi/Alg

75.459

54.876

78.562

112.212

0.729



Based on the data above, the particle size of Chi was 90.407 µm, Alg was 77.788 µm and Chi/Alg adsorbent was 75.459 µm. This proves that the formula includes microparticles because it has a range of 1 - 1,000 µm [26]. In addition, a polydispersity index (PI) value was obtained for Chi/Alg of 0.729 which indicates that the adsorbent has a very wide size distribution (polydisperse) because it is in the range > 0.7 [27].



Optimization of adsorption parameters

In the pure Chi beads, the optimum pH to adsorb paracetamol was pH 6. Meanwhile, in Chi/Alg beads, the optimum pH was found at pH 5. At pH 2 - 5, the adsorption capacity of the adsorbent increased and then the adsorption decreased at pH 6 and rose again at pH 7. This trend is thought to be due to acidic pH where there is competition between positively charged paracetamol and OH- ions in solution to interact with the active sites of Chi/Alg beads.




Figure 5 Effect of pH on paracetamol adsorption: (A) Percent adsorption of paracetamol on chitosan-alginate beads,

(B) Adsorption capacity of chitosan and chitosan-alginate beads.


In the pure Chi beads, the optimum pH to adsorb paracetamol was pH 6. Meanwhile, in Chi/Alg beads, the optimum pH was found at pH 5. At pH 2 - 5, the adsorption capacity of the adsorbent increased and then the adsorption decreased at pH 6 and rose again at pH 7. This trend is thought to be due to acidic pH where there is competition between positively charged paracetamol and OH- ions in solution to interact with the active sites of Chi/Alg beads.




Optimimization of contact time

The maximum adsorption of paracetamol on pure Chi beads occurred at 45 min of contact with a total adsorption power of 30.09 mg/g and an adsorption effect of 75.39%. Maximum paracetamol adsorption on Chi/Alg beads occurred at 60 min of contact with a total adsorption capacity of 33.45 mg/g and an adsorption effectiveness of 82.55%. The increase in adsorption capacity can be attributed to the porous nature of the Chi/Alg and over time the pores become saturated so that they do not show a further increase in the adsorption rate.



Figure 6 Effect of contact time on paracetamol adsorption: (A) Percent adsorption of paracetamol on chitosan-alginate beads, (B) Adsorption capacity of chitosan and chitosan-alginate beads.


Optimization of adsorbate concentration

The adsorption capacity of Chi and Chi/Alg on paracetamol increased with increasing paracetamol concentration as shown in Figure 7. The results showed that 30.28 mg/g paracetamol adsorbed at a concentration of 80 mg/L which had an adsorption effectiveness of 75.4%. Then it decreased at a concentration of 100 mg/L which indicated that the adsorbent surface of the pure Chi beads was saturated. Whereas in Chi/Alg it can be seen that paracetamol adsorbed the most, namely 33.31 mg/g at a concentration of 80 mg/L which has an adsorption effectiveness of 82.90%.



Figure 7 Effect of initial paracetamol concentration on the adsorption capacity of chitosan and chitosan-alginate beads.


Adsorption thermodynamic

Based on Figure 8. It can be seen that the adsorption of paracetamol by pure Chi powder tends to follow the Langmuir isothermal equation model [28]. It can be seen from the value of the relation coefficient for the Langmuir isothermal (R2 = 0.9689) is more linear than the Freundlich isothermal (R2 = 0.9158) and the Temkin isothermal (R2 = 0.7454). The adsorption of paracetamol by Chi/Alg beads tends to follow the Langmuir isothermal equation. It can be seen from the value of the relation coefficient for the Langmuir isothermal (R2 = 0.9659) is more linear than the Freundlich isothermal (R2 = 0.9243) and the Temkin isothermal (R2 = 0.8196). The isotherm adsorption of Chi/Alg was dominated Langmuir model. Adsorption isotherm of Chi/Alg adsorbent in absorbing paracetamol was dominated by the Langmuir model, besides the Temkin model, this shows that paracetamol is adsorbed by Chi Alg adsorbent through a chemical process. Chemical adsorption (chemisorption) occurs due to the interaction between the active site of the adsorbent and the adsorbed substance and the interaction only occurs in the single absorption layer (monolayer adsorption) of the adsorbent surface.



Figure 8 Adsorption isotherm models of chitosan and chitosan-alginate beads: (A) Langmuir, (B) Freundlich, and (C) Temkin.



Thermodynamic studies ( G)

The value ( G) of pure Chi beads was −26.2833 kJ/mol and that of Chi/Alg beads was −25.3659 kJ/mol. This indicates that chemical adsorption occurred in the adsorption process of paracetamol waste using Chi and Chi/Alg beads [29].


Adsorption kinetics

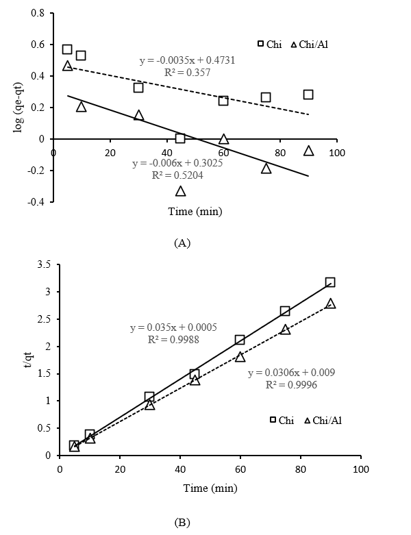
The adsorption kinetics of Chi and Chi/Alg adsorbents on paracetamol are shown in Figure 9. It can be seen that Chi and Chi/Alg in adsorbing paracetamol follow pseudo 2nd-order kinetics which can be seen from the higher magnitude of R2 compared to 1st and 2nd-order kinetics. Based on the research results of paracetamol adsorption by Chi and Chi/Alg beads, both of them tend to follow a pseudo-second-order kinetics model with linearity values ​​for pure Chi having an R2 value of 0.9988 and Chi/Alg of 0.9996. Thus, it shows that adsorption occurs chemically.



Figure 9 Adsorption kinetics of chitosan powder and chitosan-alginate beads: (A) Pseudo-first order and (B) Pseudo-second order.



Based on the data of paracetamol adsorption by Chi and Chi/Alg beads, both of them tend to follow a pseudo second order kinetics model with linearity ​​for pure Chi having an R2 value of 0.9988 and Chi/Alg of 0.9996. It shows that the adsorption mechanism of Chi/Alg adsorbent in absorbing paracetamol follows a chemical process.



Binding patterns of Chi/Alg beads to paracetamol

The chemical structure model of the binding of the Chi/Alg adsorbent to paracetamol is shown in Figure 10. The adsorption of paracetamol molecules on Chi/Alg beads occurs due to the binding hydrogen between the hydroxy molecules of Chi and Alg towards the O atoms in paracetamol [30]

Figure 10 Proposed adsorption mechanism of paracetamol on chitosan-alginate beads.



Conclusions

Chi/Alg hydrogel was successfully synthesized based on the results of FTIR, XRD, SEM, TGA and DTA characterization. Based on the FTIR data, Chi/Alg hydrogels form a stable complex and have high thermal stability. The stability of the adsorbent is a consequence of the formation of bonds between amine groups (-NH2) of chitosan and carbonyl groups (C=O) of alginate. The increase of adsorbent porosity results from the ionic gelation process, which induces the aggregation of Chi molecules to form microparticles. Chi/Alg hydrogel has a micro-sized pore structure with an average pore diameter of 75.459 µm.

The optimal adsorption of paracetamol onto Chi/Alg occurs at pH 5, a contact duration of 60 min, and an initial concentration of 80 mg/L, resulting in an adsorption efficiency of 82.90% and an adsorption capacity of 33.30 mg/g. The results demonstrate that Chi/Alg outperforms unmodified Chi beads, which attain an adsorption effectiveness of 74.40% and an adsorption capacity of 30.28 mg/g. Chi/Alg hidrogels follow the Langmuir isotherm model and exhibit pseudo-second order kinetics in terms of adsorption isotherm and kinetics. This suggests that adsorption occurs chemically, with a Gibbs free energy (∆G) of −26.28 kJ/mol, signifying that the reaction is spontaneous. Chi/Alg hydrogel possess significant potential as an effective adsorbent for paracetamol in aqueous environments, as they exhibit excellent absorption capabilities and are readily biodegradable.


Acknowledgements

The authors express gratitude to the Indonesian Ministry of Research and Technology Directorate of Higher Education, Indonesia. and LPPM Universitas Sebelas Maret for funding this research.


Declaration of Generative AI in Scientific Writing

The authors acknowledge the use of generative AI tools (QuillBot) in the preparation of this manuscript, specifically for language editing and grammar correction. No content generation or data interpretation was performed by AI. The authors take full responsibility for the content and conclusions of this work


CRediT author statement

Hastuti Budi: Conceptualization, Methodology, Supervision, Validation, Funding acquisition and Writing –original draft.

Asna Fikriana Arsyada: Data curation, Methodology, Formal analysis, Investigation, Resources and and Writing –original draft

Hadi Saptono: Data curation, Methodology, Formal analysis, Investigation, Validation, Supervision

Koesnarpadi Soerja: Data curation, Validation, and Visualization and Validation

Kamari Azlan: Data curation, Validation, and Visualization, Validation and review original draft


References

[1] M Vera, DM Juela, C Cruzat and E Vanegas. Modeling and computational fluid dynamic simulation of acetaminophen adsorption using sugarcane bagasse. Journal of Environmental Chemical Engineering 2021; 9(2), 105056.

[2] M Kumar, S Jaiswal, KK Sodhi, P Shree, DK Singh, PK Agrawal and P Shukla. Antibiotics Bioremediation: Perspectives on its ecotoxicity and resistance. Environment International 2019; 124, 448-461.

[3] M Patel, R Kumar, K Kishor, T Mlsna, CU Pittman, P Jr and D Mohan. Pharmaceuticals of emerging concern in aquatic systems: Chemistry, occurrence, effects, and removal methods. Chemical Reviews 2019; 119, 3453-4470.

[4] EZ MD, D Calamari, MN MSC and R Fanelli. Presence of therapeutic drugs in the environment. The Lancet 2000; 355(9217), 1789-1790.

[5] WC Li. Occurrence, sources, and fate of pharmaceuticals in aquatic environment and soil. Environmental Pollution 2014; 187, 193-201.

[6] HNP Vo, GK Le, TMH Nguyen, XT Bui, KH Nguyen, ER Rene, TDH Vo, NDT Cao and R Mohan. Acetaminophen micropollutant: Historical and current occurrences, toxicity, removal strategies and transformation pathways in different environments. Chemosphere 2019; 236, 124391.

[7] A Al-Kaf, KM Naji, QM Abdullah and WH Edrees. Occurrence of paracetamol in aquatic environments and transformation by microorganisms: A review. Chronicles of Pharmaceutical Science 2017; 1(6), 341-355.

[8] W Koagouw, NA Stewart and C Ciocan. Long-Term exposure of marine mussels to paracetamol: Is time a healer or A Killer? Environmental Science and Pollution Research 2021; 28(35), 48823-48836.

[9] W Koagouw, Z Arifin, GWJ Olivier and C Ciocan. High concentrations of paracetamol in effluent dominated waters of Jakarta Bay, Indonesia. Marine Pollution Bulletin 2021; 169, 112558.

[10] KG Akpomie and J Conradie. Efficient adsorptive removal of paracetamol and thiazolyl blue from polluted water onto biosynthesized copper oxide nanoparticles. Scientific Reports 2023; 13, 859.

[11] S Ahmadzadeh and M Dolatabadi. Removal of acetaminophen from hospital wastewater using electro-fenton process. Environmental Earth Sciences 2018; 77(2), 53.

[12] H Zeng, F Wang, K Xu, J Zhang and D Li. Optimization and regeneration of Chi/Alg hybrid adsorbent embedding iron-manganese sludge for arsenic removal. Colloids and Surfaces A: Physicochemical and Engineering Aspects 2020; 607, 125500.

[13] M Sonmez, A Ficai, D Ficai, R Trusca and E Andronescu. Alg/Cellulose composite beads for environmental applications. Materiale Plastice 2016; 78(2), 165-176.

[14] S Gokila, T Gomathi, PN Sudha and S Anil. Removal of the heavy metal ion chromium (VI) using chi and alg nanocomposites. International Journal of Biological Macromolecules 2017; 104, 1459-1468.

[15] HB Quesada, TPD Araujo, DT Vareschini, MASDD Barros, RG Gomes and R Bergamasco. Chitosan, alginate and other macromolecules as activated carbon immobilizing agents: A review on composite adsorbents for the removal of water contaminants. International Journal of Biological Macromolecules 2020; 164, 2535-2549.

[16] TN Batugedara and CS Rajapakse. Chitosan beads as a natural adsorbent for the removal of Cd(II) from aqueous solutions. International Journal of Science, Environment 2017; 6(1), 606-619.

[17] BA Riyandari, S Suherman and D Siswanta. The physico-mechanical properties and release kinetics of eugenol in Chi/Alg polyelectrolyte complex films as active food packaging. Indonesian Journal of Chemistry 2018; 18(1), 82-91.

[18] X Chen, M Fan, H Tan, B Ren, G Yuan, Y Jia, J Li, D Xiong, Xiaodong Xing, X Niu and X Hu. Magnetic and self-healing Chi/Alg hydrogel encapsulated gelatin microspheres via covalent cross-linking for drug delivery. Materials Science and Engineering: C 2019; 101, 619-629.

[19] C Qiao, X Ma, X Wang and L Liu. Structure and properties of chi films: Effect of the type of solvent acid. LWT 2021; 135, 109984.

[20] A Djelad, A Mokhtar, A Khelifa, A Bengueddach and M Sassi. Alginate-whey an effective and green adsorbent for crystal violet removal: Kinetic, thermodynamic and mechanism studies. International Journal of Biological Macromolecules 2019; 139, 944-954.

[21] P Karthikeyan, HAT Banu and S Meenakshi. Synthesis and characterization of metal loaded Chi/Alg biopolymeric hybrid beads for the efficient removal of phosphate and nitrate ions from aqueous solution. International Journal of Biological Macromolecules 2019; 130, 407-418.

[22] AS Shoubagya, A Moorthi and M Prabaharan. Reparation and characterization of Chi/Pectin/ZnO porous films for wound healing. International Journal of Biological Macromolecules 2020; 157, 135-145.

[23] V Nurmayanti and E Hastuti. Karakterisasi sifat fisis membran Polimer Matrik Komposit (PMC) dari karbon aktif tempurung kelapa untuk adsorbsi logam berat pada minyak goreng bekas. Jurnal Neutrino: Jurnal Fisika dan Aplikasinya 2014; 6(2), 119-128.

[24] GA Dakroury, EAA El-Shazly and HS Hassan. Preparation and characterization of ZnO/Chi nanocomposite for Cs(I) and Sr(II) sorption from aqueous solutions. Journal of Radioanalytical and Nuclear Chemistry 2021; 330, 159-174.

[25] A El-Houssaine, Z Hanani, N Eladlani, M Rhazi and M Taourirte. Chitosan microspheres/sodium alginate hybrid beads: An efficient green adsorbent for heavy metals removal from aqueous solutions. Sustainable Environment Research 2019; 29(1), 5.

[26] R Kumar, D Varandani, BR Mehta, VN Singh, Z Wen, X Feng and K Mullen. Fast response and recovery of hydrogen sensing in Pd–Pt Nanoparticle–Graphene composite layers. Nanotechnology 2011; 22(27), 275719.

[27] YA Prasetyo, T Rusdiana and M Abdassah. Preparation and characterization of glucosamine nanoparticle by ionic gelation method using chitosan and alginate. Indonesian Journal of Pharmaceutics 2019; 1(1), 1-10.

[28] TPD Arajo, HB Quesada, DFD Santos, BCDS Fonseca, JZ Barbieri, R Bergamasco and MASDD Barros. Acetaminophen removal by calcium alginate/activated hydrochar composite beads: Batch and fixed-bed studies. International Journal of Biological Macromolecules 2022; 203, 553-562.

[29] N Rahman and M Nasir. Effective removal of acetaminophen from aqueous solution using Ca (II)-doped chitosan/β-cyclodextrin composite. Journal of Molecular Liquids 2020; 301, 112454.

[30] S Daikh, D Ouis, A Benyoucef and B Mouffok. Equilibrium, kinetic and thermodynamic studies for evaluation of adsorption capacity of a new potential hybrid adsorbent based on polyaniline and chi for acetaminophen. Chemical Physics Letters 2022; 789, 139565.