Start Bootstrap Logo

Trends Sci. 2025; 22(12): 11099

Ultrasound-Assisted Extraction of Flavonoids from Erythrina crista-galli Twigs Using Natural Deep Eutectic Solvents: Process Optimization and Antioxidant Evaluation


Melati Sukma1, Abd. Wahid Rizaldi Akili1, Ari Hardianto1, Jalifah Latip2 and Tati Herlina1,*


1Department of Chemistry, Faculty of Mathematics and Natural Sciences, Universitas Padjadjaran,

Jatinangor, West Java 45363, Indonesia

2Department of Chemical Sciences, Faculty of Science & Technology, Universiti Kebangsaan Malaysia (U.K.M.), Bangi, Selangor 43600, Malaysia


(*Corresponding author’s e-mail: [email protected])


Received: 28 June 2025, Revised: 2 July 2025, Accepted: 9 July 2025, Published: 5 September 2025


Abstract

Natural Deep Eutectic Solvents (NADES) have emerged as promising, environmentally friendly alternatives to conventional organic solvents for the extraction of bioactive compounds. However, their application to Erythrina crista-galli, a species known for its rich flavonoid content and therapeutic potential, has not yet been systematically investigated. This study addresses this research gap by developing an ultrasound-assisted extraction (UAE) process using NADES, statistically optimized through Central Composite Design (CCD). Among thirteen NADES formulations tested, the NADES11 formulation, composed of lactic acid, citric acid, and glycerol in a molar ratio of 4.5:4.5:1, demonstrated the highest total flavonoid content (TFC) and was selected for further optimization using Response Surface Methodology (RSM). The optimal extraction conditions were established at 97 min, 64 °C, and a solvent-to-material ratio of 1:25. Under these optimized parameters, the antioxidant activities of NADES11 and ethanol extracts were evaluated using DPPH, ABTS, and FRAP assays. The NADES11 extract exhibited significantly higher antioxidant activities, with values of 0.3690 ± 0.0039, 0.2965 ± 0.0118 mmol Trolox/g, and 0.6095 ± 0.0059 mmol Fe²⁺/g, respectively, compared to the ethanol extract, which yielded 0.0532 ± 0.0022, 0.0439 ± 0.0009 mmol Trolox/g, and 0.1043 ± 0.0018 mmol Fe²⁺/g. These results confirm the superior capability of NADES11 not only in efficiently extracting flavonoid compounds but also in preserving their antioxidant properties.


Keywords: Flavonoids, Erythrina crista-galli, Natural deep eutectic solvent (NADES), Ultrasound-assisted extraction, Response surface methodology


Introduction

The genus Erythrina crista-galli, a member of the Fabaceae family [1,2], is known to contain a wide range of bioactive compounds distributed throughout various parts of the plant. Traditionally, this species has been utilized in ethnomedicine for its therapeutic properties in the treatment of rheumatism, hepatitis, and has demonstrated ethnopharmacological activities as an anticancer, phytoestrogenic, and antimalarial agent. Several studies attribute these biological effects to its high flavonoid content [3,4]. Flavonoids are a group of


polyphenolic compounds characterized by a benzo- -pyrone skeleton consisting of 15 carbon atoms arranged in a C6–C3–C6 structure [5,6]. The A ring (C6) originates from the acetate-malonate pathway, while the B ring (C6) is derived from the shikimate pathway, with both rings connected by a central heterocyclic C ring (C3) to form the core flavonoid structure. Structural variations, including different oxidation states and substitution patterns on the C ring, contribute to the formation of diverse flavonoid subclasses [6]. These compounds exhibit a broad spectrum of biological activities, particularly antioxidant properties, through their ability to neutralize free radicals that contribute to the initiation and progression of cancer cell proliferation [7,8]. Owing to their wide-ranging biological activities and multiple mechanisms of action, flavonoids have been considered promising candidates for the prevention and treatment of degenerative diseases [9]. However, in many studies, the extraction of flavonoids and other bioactives from plants still relies on the use of toxic organic solvents such as methanol, ethanol, and acetone [10]. These organic solvents, due to their lipophilic nature, are easily distributed into adipose tissue and tend to accumulate in the body, which can lead to long-term adverse effects if used in pharmaceutical preparations [11]. Consequently, despite the demonstrated biological potential of plant-derived compounds, the use of hazardous solvents poses significant regulatory challenges for clinical and commercial applications. This concern has been echoed by various industrial sectors, including the chemical, pharmaceutical, and petrochemical industries, which remain heavily reliant on solvents for formulation and synthesis processes [12]. Globally, millions of tons of solvents are consumed annually, with organic solvents accounting for 80% - 90% of usage, and contributing up to 80% - 85% of total industrial chemical waste [13,14]. Prolonged or repeated exposure to these solvents, either directly or indirectly via environmental routes, has been linked to carcinogenic and mutagenic effects [15], as well as reproductive toxicity, respiratory disorders, and skin and eye irritation [16,17].

These health and environmental risks have prompted growing interest in identifying safer and more sustainable alternatives, in line with the principles of green chemistry. Among the most promising developments in this area is the emergence of Natural Deep Eutectic Solvents (NADES) [18,19]. NADES are composed of biodegradable, non-toxic, and renewable natural constituents such as organic acids, bases, sugars, and amino acids. They are typically formed by mixing hydrogen bond donors (HBDs) and acceptors (HBAs), which are usually primary plant metabolites [20]. Their physicochemical properties, including polarity, viscosity, pH, and molar ratios, can be customized to optimize solubility and improve extraction efficiency [21]. Water can be incorporated as a co-component to modulate viscosity; however, it must remain within 10% - 50% to preserve the eutectic nature of the solvent. Excessive water disrupts the hydrogen bonding network, reducing solvent effectiveness [10]. To further improve extraction performance, NADES are often integrated with ultrasound-assisted extraction (UAE), a technique that utilizes acoustic cavitation to disrupt plant cell walls and accelerate the release of intracellular compounds. This combination significantly reduces both solvent usage and extraction time, making it a highly efficient method for isolating bioactive metabolites [24]. The effectiveness of the UAE is strongly influenced by several process parameters, including particle size, solvent composition, extraction temperature, time, pH, and sample-to-solvent ratio. These factors must be carefully optimized to avoid the degradation of sensitive flavonoid molecules and to maximize yield and extract quality. [22,23]. Optimization is commonly achieved using Response Surface Methodology (RSM) based on a Central Composite Design (CCD). This statistical modeling technique enables the evaluation of nonlinear relationships and interactions among variables while minimizing the number of experimental runs [24,25]. The model provides predictive insights into the influence of each variable on the extraction outcomes, facilitating data-driven decision-making for process refinement.

The use of NADES-UAE has demonstrated remarkable potential as an alternative green extraction strategy, particularly for flavonoid compounds [26]. For instance, in Rose damascene Mill flower extraction using a NADES composed of lactic acid as the HBA and a combination of citric acid and glycerol as HBDs in a molar ratio of 3:1:2, the total flavonoid content reached 86.12 ± 0.15 mg CE/g. Under identical extraction conditions, methanol and ethanol yielded significantly lower values, at 25.34 ± 0.12 mg CE/g and 19.78 ± 0.11 mg CE/g, respectively, with optimal parameters being a 60-min extraction time, 1:30 solid-to-solvent ratio, room temperature, and 30% water content [27]. Similarly, in Pluchea indica (L.), a NADES system comprising choline chloride (HBA) and urea (HBD) in a 1:2 molar ratio resulted in a total flavonoid content of 41.863 mg QE/g, whereas methanol and ethanol extracted only 6.343 ± 1.030 mg QE/g and 7.486 ± 0.187 mg QE/g, respectively, under comparable conditions (60 min, room temperature, 40% water content) [28,29]. In another study involving Moringa oleifera Lam., a NADES composed of choline chloride and citric acid in a 1:1 molar ratio achieved a total flavonoid yield of 49.73 ± 0.85 mg QE/g. In contrast, 70% ethanol yielded only 23.09 ± 1.47 mg QE/g under optimized conditions of 30 min extraction time, 1:20 sample-to-solvent ratio, 20% water content, and 50 °C temperature [28]. These findings emphasize the superior performance of NADES-UAE systems in enhancing flavonoid recovery compared to conventional organic solvents, thereby offering a sustainable and efficient green alternative for plant-based extractions [30].

Although many reports have demonstrated the superiority of NADES for extracting bioactive compounds from various medicinal plants, no previous studies have systematically investigated its application to Erythrina crista-galli, a species known for its rich flavonoid profile and ethnopharmacological potential. Moreover, no research on NADES-UAE extraction from Erythrina crista-galli has employed a statistically optimized process using a central composite design. These gaps limit the broader adoption of NADES-based extraction in pharmaceutical and nutraceutical applications, where reproducibility and efficiency are critical. Therefore, this work aims to establish the first comprehensive, statistically optimized NADES-UAE protocol for flavonoid extraction from E. crista-galli twigs using Response Surface Methodology (RSM). By rigorously evaluating process parameters and comparing antioxidant activity to that of conventional solvents, this study contributes not only to green chemistry by reducing dependence on harmful organic solvents but also to the development of scalable and sustainable extraction technologies for bioactive plant compounds. This novelty is particularly important for enabling standardized, reproducible green extraction methods that can support industrial-scale production of high-value bioactive ingredients. As far as we are aware, this is the first study to use NADES-UAE to provide a statistically optimized, reproducible green extraction process specifically for Erythrina crista-galli


Materials and methods

Material

The plant material used in this study, consisting of twigs of Erythrina crista-galli, was collected from Jalan Sarsen Bajuri, West Java, Indonesia. The plant was taxonomically identified by a botanist from the Department of Agricultural Production Technology and Services, Department of Agronomy, Faculty of Agriculture, Universitas Padjadjaran. A voucher specimen was deposited under the number 1020. The dried twigs were ground into a fine powder, and 500 g of the powdered material were used as the stock sample for this study


Chemicals and reagents

Chemical substances of high purity (≥99%) are used. Methanol, aluminium chloride, lactic acid, citric acid, glycero (spesifikasi pharmaceutical grade), and aluminum chloride. Total Antioxidant Capacity Assay kit with a Rapid 2,2-diphenyl-1-picrylhydrazyl (DPPH), 2,2-binamine-di-3-ethylbenzothiazolin-6-sulfonic acid (ABTS), Total Antioxidant Capacity Assay kit with ferric reducing antioxidant power (FRAP) method, FeSO4 as control positive, were obtained from Beyotime Biotechnology Co., LTD (Shanghai, China).


Preparation of NADES

The NADES was prepared according to [27]. The HBA (lactic acid) and HBD (citric acid) were combined at a molar ratio, followed by the addition of 30% distilled water. Afterwards, the mixture is heated at 80 °C to obtain a homogenized liquid as NADE





Table 1 Design a sustainable NADES component solvent.

No

HBA

HBD

Molar ratio

Density

(mg/mL)

Viscosity

(mPa.s)

pH

NADES1



3:1:2

1.2870

36.5

1.10

NADES2



1:2.5:1.5

1.2182

25.7

1.49

NADES3



5:4:1

1.2817

30.9

0.86

NADES4



4:5:1

1.2829

50.0

0.57

NADES5



2:1:3

1.2324

30.4

1.31

NADES6

Lactic acid

Citric acid-Glycerol

1:1.5:2.5

1.2606

28.9

1.30

NADES7



1:2:2

1.2919

64.40

0.78

NADES8



2.3:1.6:1

1.2950

32.9

0.72

NADES9



2.5:1:2.5

1.2304

22.9

1.04

NADES10



1.5:2.5:1

1.3197

59.4

0.63

NADES11



4.5:4.5:1

1.2690

74.5

0.58

NADES12



1:1:2

1.1908

11.9

1.17

NADES13



1:1:1

1.2704

34.3

0.82


NADES physicochemical analysis

The NADES prepared were analyzed for their physicochemical properties. For this purpose, the density, viscosity, and pH of NADES determination [31]. Density was measured with a 10 mL pycnometer at 25 °C by using the following

The viscosity of all the prepared NNADES was measured by Ostwald’s viscometer at room temperature by the following

where η1 = Viscosity of water, η2 = Viscosity of NADES, t1 = Meantime of flow of water from A to B, t2 = Meantime of flow of NADES from A to B, ρ1 = Density of water (g/mL), and ρ2 = Density of NADES (g/mL).


Preparation of Erythrina crista-galli extract with ultrasound treatments

Erythrina crista-galli twigs were extracted ultrasonically assisted in a digital ultrasonic bath according to the procedure of [32] With some modifications. Ethanol, NADES11 with different compositions (1:20, 0.5 g mixture with 10 mL solvent), were placed in a beaker, covered with aluminum foil, and then put into a digital ultrasonic bath for up to 1 h. After ultrasonic treatment, the extracts were centrifuged at 4,000 rpm for 8 min. The supernatant was filtered and stored in vials for further analysis.


Optimization of extraction variables using central composite design

The extraction conditions for Erythrina crista-galli twigs using Natural Deep Eutectic Solvents (NADES) in combination with Ultrasound-Assisted Extraction (UAE) were optimized based on three independent variables: Extraction time (X₁), temperature (X₂), and solvent-to-material ratio (X₃) to evaluate extraction efficiency, with total flavonoid content (TFC) as the response variable. These variables were systematically analyzed using a Central Composite Design (CCD) under the Response Surface Methodology (RSM) framework, implemented in R software version 4.5.1. The CCD approach enabled a comprehensive exploration of the factors influencing the extraction process, which were further visualized through response surface plots. The resulting data were subjected to statistical analysis, including regression modeling and surface response analysis, to determine the optimal extraction conditions. Additionally, analysis of variance (ANOVA) was performed to evaluate the statistical significance of each factor, with p-values < 0.05 considered significant. Overall, CCD facilitated a structured and reliable optimization of the extraction parameters, while ANOVA helped identify the key variables that significantly affected the extraction yield of flavonoids from E. crista-galli twigs. In this study, each factor was investigated at three levels (‒1, 0, and +1), with actual values set at 30, 60, and 90 min for extraction time (X₁); 30, 60, and 90 °C for temperature (X₂); and 1:50, 1:28, and 1:20 g/mL for solvent-to-material ratio (X₃). The experimental design comprised 22 runs, including six central points to ensure model reliability and reproducibility. Each experimental condition was conducted in six replicates, and the mean values were used for subsequent model development. CCD design with each response can be seen in Table 2.

Table 2 Central composite design (CCD) optimization of total flavonoid content in E. crista-galli twigs extracts with NADESs: Observed and predicted values for 22 trials with 3 factors.


Factor 1

Factor 2

Factor 3

Response


Time

Temperature

Mass to Rasio Solvent (MRS)

Total Flavonoid content (TFC)

Run

Min

°C

g/mL

mg QE/ g dry weight

1

2

3

4

5

6

7

8

9

10

11

12

13

14

15

16

17

18

19

20

21

22

90

30

30

90

60

30

90

30

60

60

60

110

60

60

60

60

9.5

60

60

60

60

60

70

40

70

40

40

55

70

70

40

55

55

55

55

55

55

55

55

55

55

55

29.7

80

0.02

0.05

0.05

0.02

0.05

0.035

0.02

0.05

0.02

0.035

0.035

0.035

0.035

0.035

0.035

0.035

0.009

0.035

0.06

0.035

0.035

0.035

575.8

793.4

230.2857

207.5

799.2

886.4

126.3333

917

53.7142

941.8

923.6

997.3333

995.8

823

988.4

971.6666

105

459

719.3333

932

511.6666

845.4


Determination of total flavonoid content

The method of determining total flavonoid content by aluminum chloride colorimetric assay was slightly modified [33,34]. Quercetin was used as a standard with a known concentration as a stock solution (6 mg/mL). Quercetin was made by dissolving 6 mg of quercetin in 25 mL of methanol so that the concentration became 24 ppm. Briefly, the sample solution was pipetted 200 uL with a 5 times dilution and put into 6 test tubes that would be added with a variation of quercetin concentration of 0 - 500 uL. Then, AlCl3 was added as much as 1.5 mL to each concentration variation and incubated for 30 min. The yellow color indicates the presence of flavonoids. Analysis of total flavonoid content was measured using UV-VIS at a wavelength of 430 nm. Total flavonoid levels were expressed as quercetin equivalents using a linear equation based on the calibration curve.


DPPH assay

The free radical scavenging activity of the samples was evaluated using the DPPH (2,2-diphenyl-1-picrylhydrazyl) assay with slight modifications, using quercetin as the reference standard. A DPPH stock solution was prepared by dissolving 0.5 mg of DPPH in 5 mL of methanol, and the mixture was kept in a dark bottle for 30 min to ensure stabilization. After incubation, the absorbance of the DPPH solution was measured at 515 nm using a UV-Visible spectrophotometer. A standard curve was constructed using Trolox at five different concentrations (0.5, 1, 2, 4, and 8 ppm). For the assay, dark bottles containing ethanolic and NADES-based extracts of Erythrina crista-galli were prepared at five different concentrations. Each bottle received 1.5 mL of DPPH solution and an appropriate volume of extract solution. The mixtures were incubated in the dark for 30 min, followed by measurement of absorbance at 515 nm. All experiments were conducted in triplicate, and the average values were used for analysis. The percentage of DPPH radical scavenging activity for each extract and standard was calculated using the following formula, as described by Nazir et al. [35].

ABTS assay

The ABTS assay was performed based on the method described by [36], with slight modifications. The ABTS radical cation solution was prepared by dissolving 7.68 mg of ABTS in 2 mL of distilled water and 1.3 mg of potassium persulfate (K₂S₂O₈) in another 2 mL of distilled water. The two solutions were mixed thoroughly and incubated in a dark bottle at room temperature for 12 - 16 h to allow for the formation of ABTS.+ radicals. The resulting radical solution was then diluted with 500 μL of ethanol and 1.5 mL of the ABTS.+ solution to achieve an absorbance of 0.700 ± 0.005 at 734 nm. The antioxidant activity of ethanolic and NADES-based extracts from Erythrina crista-galli twigs was determined by mixing 1.5 mL of the ABTS.+ solution with each extract at various concentrations. The mixtures were incubated in the dark for 6 min, after which the absorbance was measured at 734 nm using a UV-Visible spectrophotometer. All measurements were conducted in triplicate, and the mean values were used for analysis. Trolox was used to construct the standard calibration curve, and antioxidant activity was expressed in Trolox equivalents. The scavenging percentage was calculated similarly to the DPPH assay.


FRAP assay

The ferric reducing antioxidant power (FRAP) assay was conducted following the method described by [37], with slight modifications. The FRAP reagent was freshly prepared by mixing three solutions in a 10:1:1 (v/v/v) ratio: (1) 30 mM acetate buffer (prepared by dissolving 775 mg of sodium acetate in 4 mL of acetic acid and diluting with distilled water to a final volume of 250 mL, adjusted to pH 3.6), (2) 10 mM TPTZ solution in 40 mM HCl, and (3) 20 mM FeCl₃·6H₂O solution (prepared by dissolving 540.6 mg in 10 mL distilled water). The final FRAP reagent mixture was incubated at room temperature for 10 min before use. For the assay, 3 mL of the FRAP reagent was mixed with 0.1 mL of each sample solution, which included ethanolic and NADES-based extracts of Erythrina crista-galli twigs. The mixture was incubated for 10 min at room temperature, and the absorbance was measured at 595 nm using a UV-Visible spectrophotometer. All experiments were performed in triplicate. A calibration curve was constructed using ferrous sulfate (FeSO₄) at concentrations ranging from 0.1 to 1 mg/L, and the antioxidant capacity of the samples was expressed as Fe²⁺ equivalents.


Results and discussion

Selection of the best NADES as an extraction solvent

Natural Deep Eutectic Solvents (NADES) are strongly governed by the molar ratio between the hydrogen bond acceptor (HBA) and hydrogen bond donor (HBD). In the present study, lactic acid was utilized as the HBA, while citric acid and glycerol served as HBDs due to their high density of hydroxyl groups, which facilitate extensive hydrogen bonding interactions and confer polar characteristics. These properties align with the “like dissolves like” principle, supporting the effective solubilization of polar phytochemicals such as flavonoids and phenolic compounds. Thirteen different NADES formulations were evaluated and compared with conventional solvents commonly employed in plant extraction. Among them, NADES11, composed of lactic acid: citric acid: glycerol in a molar ratio of 4.5:4.5:1, yielded the highest total flavonoid content from Erythrina crista-galli twig extracts as shown in Figure 1. The lowest flavonoid yields were observed with NADES3 (5:4:1) and NADES5 (2:1:3), indicating that glycerol, as the HBD, was less effective in these proportions. Additionally, an imbalance in the ratio of lactic acid to citric acid may have negatively influenced the solvent’s polarity, viscosity, and hydrogen bonding network, thereby reducing extraction efficiency. These findings underscore the critical importance of optimizing the compositional balance of NADES to achieve maximal extraction of bioactive compounds.


Figure 1 The effect of natural deep eutectic solvent (NADES) extraction on the total flavonoid content (TFC).



The extraction efficiency using NADES is strongly influenced by the physicochemical characteristics of NADES, such as density, viscosity, and pH. [27] Intermolecular interaction is one of the main factors in the density of a NADES mixture. The more the number of OH groups in HBD, the more hydrogen bonds will form will resulting in the number of hydrogen bonds formed. So that the expected target compound, in this case, flavonoids, will be extracted effectively. Viscosity is a key factor influencing the performance of NADES; formulations with higher viscosity, typically 200 - 500 cP (equivalent to 200 - 500 mPa·s), often hinder solvent penetration and solute diffusion, thereby reducing extraction yield [38]. However, an ideal viscosity threshold has yet to be established, as extraction performance remains highly dependent on the solvent’s composition and the physicochemical nature of the target analytes. Viscosity can be modulated by altering the molar ratios of NADES components and by incorporating water as a diluent. Water contents in the range of 10% - 50% have been reported to reduce viscosity and improve extraction efficiency. Nevertheless, exceeding 50% water content typically transforms the system into an aqueous or conventional solvent, disrupting the eutectic structure and diminishing the unique advantages of NADES [10]. As shown in Table 1, NADES11 exhibited the highest viscosity (74.5 mPa·s), which was accompanied by the highest total flavonoid content (TFC) among all the formulations tested. In contrast, NADES12, with a much lower viscosity of 11.9 mPa·s and a molar ratio of 1:1:2, produced only moderate levels of TFC. Although lower viscosity usually enhances molecular diffusion and facilitates better penetration into the plant matrix, it appears that the increased mass transfer was not sufficient to overcome the weaker hydrogen-bonding capacity and less-than-optimal polarity associated with this formulation. A similar trend was observed with NADES3, which had a moderate viscosity (30.9 mPa·s) but produced the lowest TFC, likely due to its unbalanced component ratio (5:4:1) that may have interfered with the formation of an effective hydrogen-bonding network and reduced its solvation capacity. These observations suggest that viscosity alone is not a reliable primary factor for predicting extraction efficiency. In the case of NADES11, despite exhibiting the highest viscosity in this study (74.5 mPa·s), this value is still well below the 200 - 500 mPa·s range identified by Grillo et al. [38], which typically hinders the extraction process of target compounds.

Therefore, this viscosity can be considered to be within an effective range for the extraction process, where moderate viscosity does not hinder performance but may instead be compensated by strong and specific solute-solvent interactions. These strong interactions arise from the composition of NADES, which includes lactic acid, citric acid, and glycerol as sources of hydroxyl (–OH) and carboxylate (–COOH) groups that act as both hydrogen bond donors (HBD) and acceptors (HBA), forming a stable hydrogen-bonding network within the solvent. Hydrogen bonds occur through partial electrostatic interactions between electronegative atoms and hydrogen atoms bound to other electronegative centers, creating strong and directional associations. In addition, van der Waals forces and other electrostatic interactions, such as ionic or dipole-dipole interactions, further contribute to the formation of a supramolecular structure. This supramolecular network can effectively interact with flavonoid molecules, which contain multiple hydroxyl (–OH) groups and carbonyl (=O) functionalities. The hydroxyl groups on flavonoids can act as both donors and acceptors of hydrogen bonds, while the carbonyl groups primarily serve as strong hydrogen bond acceptors, receiving hydrogen bonds from NADES –OH groups. These interactions form a stable and complex hydrogen-bonding network that significantly enhances the solubility of flavonoids due to their matching polarity with the NADES system.

In addition to the evaluation of NADES11, a comparison of total flavonoid content (TFC) was also conducted using the organic solvent ethanol. The results revealed a significant difference, with ethanol showing notably lower extraction efficiency compared to NADES11. This indicates that organic solvents such as ethanol are less effective in converting flavonoid compounds optimally. In contrast, NADES demonstrated the ability to extract both major and minor flavonoid constituents within a single extraction system. These findings highlight the superior performance of NADES11 as a green solvent, capable of extracting a higher yield of flavonoids from Erythrina crista-galli twigs than conventional organic solvents like ethanol. This is also demonstrated in the extraction of Rosa damascena, where a NADES with a composition of lactic acid: citric acid: glycerol (3:1:2) yielded a TFC of 86.12 ± 0.15 mg CE/g, while ethanol only produced 19.78 ± 0.11 mg CE/g [27]. The NADES11 used in this study also employs lactic acid, citric acid, and glycerol, but with a different molar ratio (4.5:4.5:1). This difference in molar ratio is estimated to provide a balance of acidity and polarity that is more suitable for the diverse flavonoid structures in Erythrina crista-galli.


Optimization of total flavonoid contents used the Central Composite Design (CCD)

A total of 22 experimental runs were carried out based on a Central Composite Design (CCD) to investigate the ultrasonic-assisted extraction of flavonoids using NADES from Erythrina crista-galli twigs, with total flavonoid content (TFC) as the response variable under varying extraction conditions Table 2. The independent variables extraction time (X₁), temperature (X₂), and solvent-to-material ratio (X₃) had a significant effect on TFC, with increased values of each factor generally corresponding to higher flavonoid yields. Model adequacy was evaluated through analysis of curvature, which revealed that a linear model was inadequate (p-value < 0.05), indicating a significant lack of fit. However, this deviation supported the necessity for a more complex model capable of capturing nonlinear relationships among the variables. Subsequent optimization of the extraction parameters was performed using response surface methodology (RSM). The resulting quadratic model exhibited a non-significant lack of fit (p = 0.059544), suggesting a good agreement between predicted and experimental values. This statistical alignment confirms the modelʼs suitability for accurately describing and predicting the influence of extraction variables on the total flavonoid content of E. crista-galli extracts.


Table 3 Contributions of variation sources, F-values, and p-values calculated by the ANOVA based on RSM and CCD design experiment for total flavonoid content of Erythrina crista-galli twigs extracts with NADES.

Source

Sum of squares

Df

Mean square

F-value

p-Value

Notes

Model

2.160

9

240.066

22.43

<0.0001

significant

X1-Time

160.985

3

318.235

29.74

<0.0001

significant

X2-Temperature

40.7767

3

72.796

6.80

<0.0001

significant

X3-MRS

205.737

3

329.167

30.76

<0.0001

significant

Residual

128.418

12

10.702




Lack of Fit

105.277

5

21.055

6.369

0.154

Non-significant

R2

0.9439






Adjusted R2

0.9018






Predicted R2

0.9562






Adeq Precision

9.1653






C.V. %

4.9%






Pure Error

23.141

7

3.306




Cor total

2,289.013

21






The significance of the developed model was confirmed by an F-value of 4.0377, indicating that the variation observed in total flavonoid content (TFC) was primarily attributable to the selected extraction parameters, rather than to random or uncontrolled factors. The model demonstrated strong predictive performance, as evidenced by the close agreement between the predicted R² (0.9562) and experimental R² (0.9018) values. This strong correlation reflects a high degree of fit between the model and the actual experimental data. Additionally, the small difference of 0.0399 between the adjusted R² and predicted R² highlights the model’s robustness and reliability for predictive applications. The coefficient of variation (CV) was calculated to be 4.9%, suggesting minimal dispersion between the predicted and observed values and further supporting the modelʼs precision. Analysis of variance (ANOVA) identified the optimal extraction conditions as follows: extraction time (X₁) of 97 min, temperature (X₂) of 64 °C and solvent-to-material ratio (X₃) of 1:25. These optimized conditions differ from those reported for Rosa damascena, which used NADES and CCD under room temperature with extraction times ranging from 30 to 90 min and an optimum around 60 min. That study clearly highlighted that prolonged extraction times can lead to the degradation of phenolic compounds [27]. However, such comparisons need to consider differences in the plant matrix. Rosa damascena flowers represent a soft matrix with delicate tissue that facilitates faster solvent penetration, while roots, stems, and woody tissues, including Erythrina crista-galli twigs, are more lignified, containing greater fibrous structures and matrix rigidity. This lignification can impede mass transfer and typically requires longer extraction times to effectively disrupt cell walls and achieve efficient solubilization of target compounds [39,40]. This general understanding supports the longer optimal extraction time observed in this study for Erythrina crista-galli. Furthermore, considering the stability of the target compounds is crucial, as flavonoids are thermolabile and require careful evaluation of extraction temperature. In this study, an optimum temperature of 64 °C was identified, which relates to the physicochemical properties of the NADES solvent system and the effect of ultrasound-assisted extraction (UAE). Elevated temperatures can significantly reduce solvent viscosity [41,42]. Additionally, extraction temperature influences the distribution constant and solubility of the compounds and facilitates the disruption of non-covalent interactions between flavonoids and cell wall macromolecules such as lignin or proteins [43], important to note that the UAE method generates ultrasonic waves that can increase the local temperature during extraction. For this reason, UAE is often combined with optimization strategies to evaluate multiple factors affecting the extraction process. Therefore, the optimal temperature of 64 °C identified in this study was determined through response surface methodology (RSM), which demonstrated that these conditions produced high TFC yields. Similarly, in the extraction of Fagopyrum tataricum bran using UAE, optimization studies have reported an even higher optimum temperature of 76 °C still supporting effective extraction processes [21].

Under these optimized conditions, the experimentally obtained TFC was 1098.536 ± 13.5867 mg QE/g dry weight, while the model predicted a TFC of 1085.35 mg QE/g dry weight. This close agreement confirms both the accuracy of the experimental measurements and the effectiveness of the model in capturing the extraction process. To statistically validate the difference between predicted and experimental values, a one-sample t-test was performed using triplicate experimental data (1082.667, 1089.40, and 1106.2 mg QE/g dry weight). The test resulted in a p-value of 0.4584, which exceeds the commonly accepted significance threshold of α = 0.05, indicating that there was no statistically significant difference between the experimental and predicted TFC values. Furthermore, the predicted value lies within the 95% confidence interval of the experimental results. Although the mean experimental TFC was slightly higher than the predicted value, the difference was not statistically significant. Hence, the model is considered to be highly reliable, accurate, and suitable for practical application in predicting TFC under the defined conditions.


Figure 2 The surface and contour plots of total flavonoid content of E. crista-galli twigs extract for NADES 11.



The interactive effects of extraction parameters on the total flavonoid content (TFC) of NADES-based extracts from Erythrina crista-galli twigs were evaluated through two-dimensional contour plots and three-dimensional response surface plots, as illustrated in Figure 2. These visualizations highlight the influence of pairwise interactions among the three independent variables, while the third variable is held constant. The contour plots in Figures 2(A) - 2(C) reveal significant synergistic and antagonistic effects between the variables, aiding in the rapid identification of optimal extraction conditions. Color gradients represent TFC levels, where lighter shades correspond to higher flavonoid concentrations, while green to yellow areas indicate reduced TFC.

Specifically, the interaction between extraction time and temperature Figure 2(A), as well as time and solvent-to-material ratio Figure 2(B), showed that suboptimal combinations of these variables could result in a 50% - 60% reduction in TFC compared to the maximum value. Notably, the interaction between temperature and solvent-to-material ratio in Figure 2(C) exhibited the most pronounced effect, with potential TFC losses reaching 70% - 80% under unfavorable conditions. This finding indicates that these two parameters exert a more variable influence on extraction efficiency than extraction time alone. Three-dimensional response surface plots Figures 2(D) - 2(F) further elucidate the optimal parameter ranges by providing a spatial view of TFC distribution across the experimental domain. These models serve as a practical tool for identifying stable and efficient operating conditions to maximize TFC yield in the NADES UAE system.


Antioxidant activity

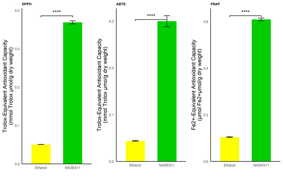
The antioxidant activity of the extracts was evaluated using multiple in vitro assays, including 2,2-diphenyl-1-picrylhydrazyl (DPPH), 2,2′-azino-bis (3-ethylbenzothiazoline-6-sulfonic acid) (ABTS), and ferric reducing antioxidant power (FRAP), with Trolox used as a positive control. Each assay reflects a different aspect of antioxidant capacity and is based on distinct chemical mechanisms. The FRAP assay measures the ability of antioxidants in the sample to reduce ferric ions (Fe³⁺) to ferrous ions (Fe²⁺), forming a colored Fe²-TPTZ complex. The intensity of absorbance is directly proportional to the reducing power of the sample. The antioxidant activities determined by all three methods are summarized in Figure 3, providing a comparative overview of the efficacy of the NADES and ethanolic extracts of Erythrina crista-galli twigs.

Figure 3 Comparing the antioxidant activity of E. crista-galli extracts with NADES11 and ethanol solvents using three antioxidant methods.


In this study, antioxidant activity was assessed using three complementary assays: DPPH, ABTS, and FRAP. The extract obtained with the NADES-11 formulation showed significantly higher antioxidant capacity than the ethanol extract (p < 0.0001), with measured values of 0.3690 ± 0.0039 mmol TE/g (DPPH), 0.2965 ± 0.0118 mmol TE/g (ABTS), and 0.6095 ± 0.0059 mmol Fe²⁺/g dry weight (FRAP). When compared to NADES-based extractions from other plant species, these results suggest, relatively good antioxidant capacity. For instance, Pluchea indica extracted using choline chloride: urea reported a DPPH value of 123.861 μmol QE/g dry weight [28]. Although these studies employed different antioxidant standards and units, the activity observed here appears comparatively higher when expressed in Trolox equivalents. Additionally, the DPPH value obtained in this study falls within or slightly above the range of 0.282 -0.447 mmol TE/g reported for lignin fractions extracted from bamboo [44], indicating antioxidant capacity considered good in similar natural matrices despite differences in composition. The ABTS and FRAP values observed (0.2965 ± 0.0118 mmol TE/g and 0.6095 ± 0.0059 mmol Fe²⁺/g dry weight, respectively) also exceed other reported values for comparable NADES-based plant extractions, such as 261.237 μmol TE/g and 198.147 μmol TE/g dry weight, suggesting relatively good radical-scavenging and reducing capacity. Furthermore, compared to the study by Hu et al. (2023), which reported DPPH, FRAP, and ABTS values of 0.1555 ± 0.0098, 0.1132 ± 0.0049, and 0.0894 ± 0.0027 mmol Trolox/g dry weight, respectively and interpreted those results as demonstrating good antioxidant potential—the present values are clearly higher within the same unit system. Overall, this relatively good antioxidant capacity aligns with the high total flavonoid content obtained under optimized extraction conditions, supporting the role of flavonoids as important contributors to the observed radical-scavenging and reducing activities. These findings collectively highlight the enhanced efficiency of NADES-11 not only in extracting a higher yield of antioxidant compounds, such as flavonoids and phenolics, but also in preserving their functional stability during extraction. The superior performance of NADES-11 is likely attributed to its polarity, hydrogen-bonding capacity, and the affinity of polyphenolic compounds for the eutectic solvent matrix, which together support the effective recovery of bioactive constituents.


Conclusions

In this study, a Natural Deep Eutectic Solvent (NADES) system was systematically evaluated as an eco-friendly alternative to conventional solvents for extracting flavonoids from Erythrina crista-galli twigs. Among thirteen NADES formulations tested, NADES11 (lactic acid: citric acid: glycerol, 4.5:4.5:1) showed the highest total flavonoid content and exhibited significantly stronger antioxidant activity compared to ethanol, as confirmed by DPPH, ABTS, and FRAP assays. The extraction process, assisted by ultrasound (UAE), was influenced by three main factors: extraction time, temperature, and solvent-to-material ratio. These variables were optimized using Central Composite Design (CCD) under Response Surface Methodology (RSM), resulting in optimal conditions of 97 min, 64 °C, and a solvent-to-material ratio of 1:25, with 30% water content maintained in the NADES mixture. The developed model showed a strong fit (R² = 0.9018, p < 0.0001), confirming its robustness for predicting flavonoid yield. The antioxidant activity of the NADES11 extract reached 0.3690 ± 0.0039, 0.2965 ± 0.0118 mmol Trolox/g, and 0.6095 ± 0.0059 mmol Fe²⁺/g in the DPPH, ABTS, and FRAP assays, respectively, significantly higher than that of the ethanol extract. The enhanced extraction efficiency was attributed to the tailored physicochemical properties of NADES and the cavitation effect of UAE, which facilitated cell wall disruption and improved mass transfer. Overall, the combination of NADES and UAE, optimized through RSM-CCD, proved effective in increasing the yield and preserving the stability of flavonoid compounds. This green extraction approach demonstrates promising potential for application in the pharmaceutical and natural product industries as a sustainable and efficient method for recovering bioactive metabolites. This work represents the first comprehensive, statistically optimized NADES-UAE protocol specifically developed for Erythrina crista-galli, highlighting its novelty and potential to replace conventional organic solvents in sustainable extraction processes. However, structural characterization of the flavonoid compounds extracted using NADES and additional bioactivity assays for Erythrina crista-galli was not performed and is beyond the scope of this study. Therefore, future research is recommended to validate the pharmacological potential and to compare the structural diversity of flavonoids from Erythrina extracted using NADES and conventional solvents.


Acknowledgements

The authors are grateful for the facilities from Universitas Padjadjaran (Indonesia), Scholarship from Kemenkeu, and to Lembaga Pengelola Dana Pendidikan (LPDP) for their support in the publication of this article.


Declaration of Generative AI in Scientific Writing

In this paper, the authors used AI to help produce grammatically correct and scientifically sound language. AI was used solely to improve sentence structure and identify scientific statements that support the arguments presented in the text. The authors affirm that they take full responsibility for the integrity, authenticity, and genuineness of all data and content presented in this article.


CRediT author statement

Conceptualization, T.H., A.H., and J.L.; methodology, A.H and A.W.R.A.; software, A.H. and A.W.R.A.; validation, T.H., A.H., and J.L.; formal analysis, A.H., A.W.R.A., and M.S.; investigation, A.H. and M.S.; resources, A.H. and T.H.; data curation, A.H. and M.S.; writing original draft preparation, M.S. and A.W.R.A.; writing review and editing, T.H., A.H., A.W.R.A., M.S and J.L.; visualization, A.H.; supervision, T.H, and J.L.; funding acquisition, T.H. All authors have read and agreed to the published version of the manuscript.


References

[1] V Deviani, A Hardianto, K Farabi and T Herlina. Flavanones from Erythrina crista-galli twigs and their antioxidant properties determined through in silico and in vitro studies. Molecules 2022; 27(18), 6018.

[2] ANJ Imanuddin, I Wiani, A Hardianto and T Herlina. Flavonoids from extract butanol of twigs erythrina crista-galli against the breast cancer cell line within in silico method. Trends in Sciences 2023; 20(7), 5350.

[3] NM Fahmy, E Al-Sayed, M El-Shazly and AN Singab. Comprehensive review on flavonoids biological activities of Erythrina plant species. Industrial Crops and Products 2018; 123, 500-538.

[4] NS Ashmawy, ML Ashour, M Wink, M El-Shazly, FR Chang, N Swilam, AB Abdel-Naim and N Ayoub. Polyphenols from Erythrina crista-galli: Structures, molecular docking and phytoestrogenic activity. Molecules 2016; 21(6), 726.

[5] S Liga, C Paul and F Peter. Flavonoids: Overview of biosynthesis, biological activity, and current extraction techniques. Plants 2023; 12(14), 2732.

[6] KM Brodowska. Natural flavonoids: Classification, potential role, and application of flavonoid analogues. European Journal of Biological Research 2017; 7(20), 108-123.

[7] A Hosseinzade, O Sadeghi, AN Biregani, S Soukhtehzari, GS Brandt and A Esmaillzadeh. Immunomodulatory effects of flavonoids: Possible induction of T CD4+ regulatory cells through suppression of mTOR pathway signaling activity. Frontiers in Immunology 2019; 10(51), 00051.

[8] P Pandey, F Khan, HA Qari and M Oves. Rutin (Bioflavonoid) as cell signaling pathway modulator: Prospects in treatment and chemoprevention. Pharmaceuticals (Basel) 2021; 14(11), 1069.

[9] Y Pyo, KH Kwon and YJ Jung. Anticancer potential of flavonoids: Their role in cancer prevention and health benefits. Foods 2024; 13(14), 2253.

[10] P Jauregi, L Esnal-Yeregi and J Labidi. Natural deep eutectic solvents (NADES) for the extraction of bioactives: Emerging opportunities in biorefinery applications. PeerJ Analytical Chemistry 2024; 6, 32.

[11] A Sato and T Nakajima. Pharmacokinetics of organic solvent vapors in relation to their toxicity. Scandinavian Journal of Work, Environment & Health 1987; 13(2), 81-93.

[12] Q Zhao, Y Li, X Chai, L Xu, L Zhang, P Ning, J Huang and S Tian. Interaction of inhalable volatile organic compounds and pulmonary surfactant: Potential hazards of VOCs exposure to lung. Journal of Hazardous Materials 2019; 369, 512-520.

[13] S Mehra, M Singh and P Chadha. View of adverse impact of textile dyes on the aquatic environment as well as on human beings. Toxicology International 2021; 28(2), 165-176.

[14] K Hackl and W Kunz. Some aspects of green solvents. Comptes Rendus Chimie 2018; 21(6), 572-580.

[15] AJ Li, VK Pal and K Kannan. A review of environmental occurrence, toxicity, biotransformation and biomonitoring of volatile organic compounds. Environmental Chemistry and Ecotoxicology 2021; 3, 91-116.

[16] FD Dick. Solvent neurotoxicity. Occupational and Environmental Medicine 2006; 63(3), 221-226.

[17] Y Ma, X He, K Qi, T Wang, Y Qi, L Cui, F Wang and M Song. Effects of environmental contaminants on fertility and reproductive health. Journal of Environmental Sciences 2019; 77, 210-217.

[18] CW Cho, TPT Pham, Y Zhao, S Stolte and YS Yun. Review of the toxic effects of ionic liquids. Science of the Total Environment 2021; 786, 147309.

[19] A Prabhune and R Dey. Green and sustainable solvents of the future: Deep eutectic solvents. Journal of Molecular Liquids 2023; 379, 121676.

[20] A Varfalvyova, A Kalyniukova, I Tomaskova, V Peskova, F Pastierovic, A Jirosova, K Resnerova, D Popelkova and V Andruch. Sugar-based natural deep eutectic solvent ultrasound-assisted extraction for the determination of polyphenolic compounds from various botanical sources. Microchemical Journal 2023; 194, 109249.

[21] Z Xu, X Da, J Qu and S Xiao. Natural deep eutectic solvent-based ultrasound-assisted extraction of flavonoids from fagopyrum tataricum bran. Separations 2024; 11(5), 145.

[22] L Shen, S Pang, M Zhong, Y Sun, A Qayum, Y Liu, A Rashid, B Xu, Q Liang, H Ma and X Ren. A comprehensive review of ultrasonic assisted extraction (UAE) for bioactive components: Principles, advantages, equipment, and combined technologies. Ultrasonics Sonochemistry 2023; 101, 106646.

[23] LM Anaya-Esparza, EF Aurora-Vigo, Z Villagran, E Rodriguez-Lafitte, JM Ruvalcaba-Gomez, MA Solano-Cornejo, VM Zamora-Gasga, E Montalvo-Gonzalez, H Gomez-Rodriguez, CE Aceves-Aldrete and N Gonzalez-Silva. Design of experiments for optimizing ultrasound-assisted extraction of bioactive compounds from plant-based sources. Molecules 2023; 28(23), 7752.

[24] S Kumar, F Abbas, I Ali, MK Gupta, S Kumar, M Garg and D Kumar. Integrated network pharmacology and in-silico approaches to decipher the pharmacological mechanism of Selaginella tamariscina in the treatment of non-small cell lung cancer. Phytomedicine Plus 2023; 3(2), 100419.

[25] CH Tran, MT Nghiem, AMT Dinh, TTN Dang, TTV Do, TN Chu, TH Mai and VM Phan. Optimization conditions of ultrasound-assisted extraction for phenolic compounds and antioxidant activity from Rubus alceifolius poir leaves. International Journal of Food Science 2023; 2023, 7576179.

[26] TP Vo, NTU Nguyen, VH Le, TH Phan, THY Nguyen and DQ Nguyen. Optimizing ultrasonic-assisted and microwave-assisted extraction processes to recover phenolics and flavonoids from passion fruit peels. ACS Omega 2023; 8(37), 33870-33882.

[27] H Koraqi, AY Aydar, W Khalid, S Ercisli, S Rustagi, S Ramniwas and R Pandiselvam. Ultrasound-assisted extraction with natural deep eutectic solvent for phenolic compounds recovery from Rosa damascene Mill.: Experimental design optimization using central composite design. Microchemical Journal 2024; 196, 109585.

[28] NPE Hikmawanti, D Ramadon, I Jantan and A Mun’im. Natural deep eutectic solvents (Nades): Phytochemical extraction performance enhancer for pharmaceutical and nutraceutical product development. Plants 2021; 10(10), 2091.

[29] O Djaoudene, M Bachir-Bey, C Schisano, S Djebari, GC Tenore and A Romano. A sustainable extraction approach of phytochemicals from date (Phoenix dactylifera L.) fruit cultivars using ultrasound-assisted deep eutectic solvent: A comprehensive study on bioactivity and phenolic variability. Antioxidants 2024; 13(2), 181.

[30] Z Wang, Y Tian, M Yang, J Yang, Y Wang, L Tao, J Sheng and C Shi. Extraction of phenolic compounds from Moringa oleifera Lam. leaves with ultrasonic-assisted deep eutectic solvents. Frontiers in Nutrition 2024; 11, 1405128.

[31] K Mulia, F Fauzia and EA Krisanti. Polyalcohols as hydrogen-bonding donors in choline chloride-based deep eutectic solvents for extraction of xanthones from the pericarp of Garcinia mangostana L. Molecules 2019; 24(3), 636.

[32] O Zannou, H Pashazadeh, M Ghellam, AA Redha and I Koca. Enhanced ultrasonically assisted extraction of bitter melon (Momordica charantia) leaf phenolic compounds using choline chloride-acetic acid–based natural deep eutectic solvent: An optimization approach and in vitro digestion. Biomass Conversion and Biorefinery 2024; 14, 11491-11503.

[33] P Diaz, SC Jeong, S Lee, C Khoo and SR Koyyalamudi. Antioxidant and anti-inflammatory activities of selected medicinal plants and fungi containing phenolic and flavonoid compounds. Chinese Medicine 2012; 7(1), 26.

[34] N Phuyal, PK Jha, PP Raturi and S Rajbhandary. Total phenolic, flavonoid contents, and antioxidant activities of fruit, seed, and bark extracts of Zanthoxylum armatum DC. Scientific World Journal 2020; 2020, 8780704.

[35] F Nazir, A Nazir, S Javed and HA Abid. Synthesis and characterization of natural deep eutectic solvents as green extractants for isolation of bioactive flavonoids from Amaranthus viridis. Sustainable Chemistry and Pharmacy 2023; 33, 101058.

[36] A Garcia, MG Alriols, G Spigno and J Labidi. Lignin as natural radical scavenger. Effect of the obtaining and purification processes on the antioxidant behaviour of lignin. Biochemical Engineering Journal 2012; 67, 173-185.

[37] L Yang, D Wang, D Zhou and Y Zhang. Effect of different isolation methods on structure and properties of lignin from valonea of Quercus variabilis. International Journal of Biological Macromolecules 2016; 85, 417-424.

[38] G Grillo, EC Gaudino, R Rosa, C Leonelli, A Timonina, S Grygiškis, S Tabasso and G Cravotto. Green deep eutectic solvents for microwave-assisted biomass delignification and valorisation. Molecules 2021; 26(4), 798.

[39] A NN. A Review on the extraction methods use in medicinal plants, principle, strength and limitation. Medicinal & Aromatic Plants 2015; 4(3), 1000196.

[40] A Khoddami, MA Wilkes and TH Roberts. Techniques for analysis of plant phenolic compounds. Molecules 2013; 18(2), 2328-2375.

[41] XJ Zhang, ZT Liu, XQ Chen, TT Zhang and Y Zhang. Deep eutectic solvent combined with ultrasound technology: A promising integrated extraction strategy for anthocyanins and polyphenols from blueberry pomace. Food Chemistry 2023; 422, 136244.

[42] M Hayyan, A Abo-Hamad, MAH Alsaadi and MA Hashim. Functionalization of graphene using deep eutectic solvents. Nanoscale Research Letters 2015; 10, 324.

[43] W Wang, Y Pan, J Zhao, Y Wang, Q Yao and S Li. Development and optimization of green extraction of polyphenols in Michelia alba using natural deep eutectic solvents (NADES) and evaluation of bioactivity. Sustainable Chemistry and Pharmacy 2024; 37, 101425.

[44] J Rumpf, R Burger and M Schulze. Statistical evaluation of DPPH, ABTS, FRAP, and Folin-Ciocalteu assays to assess the antioxidant capacity of lignins. International Journal of Biological Macromolecules 2023; 233, 123470.