Start Bootstrap Logo

Trends Sci. 202 6 ; 23 (2): 11626

Effect of Gamma Irradiation on Bioactive Compounds and Antioxidant Activities of Boesenbergia rotunda (L.) Mansf. and Prediction of Flavonoid Stability Using Factorial Design


Chaowalit Monton 1,2,* , Keeratikorn Suwanbumrungchai 3 , Hanaduha Salaemae 3 ,

Nalina Saniwee 3 , Thaniya Wunnakup 1 , Laksana Charoenchai 1 , Orawan Theanphong 2 , Natawat Chankana 4 , Jirapornchai Suksaeree 5 and Worranan Rangsimawong 6


1 Drug and Herbal Product Research and Development Center, College of Pharmacy, Rangsit University,

Pathum Thani 12000, Thailand

2 Department of Pharmacognosy, College of Pharmacy, Rangsit University, Pathum Thani 12000, Thailand

3 Undergraduate Program in Industrial Pharmacy, College of Pharmacy, Rangsit University,

Pathum Thani 12000, Thailand

4 Sun Herb Manufacturing, College of Pharmacy, Rangsit University, Pathum Thani 12000, Thailand

5 Department of Pharmaceutical Chemistry, College of Pharmacy, Rangsit University, Pathum Thani 12000, Thailand

6 Division of Pharmaceutical Chemistry and Technology, Faculty of Pharmaceutical Sciences,

Ubon Ratchathani University, Ubon Ratchathani 34190, Thailand


( * Corresponding author’s e-mail: [email protected])


Received: 18 August 2025, Revised: 4 September 2025, Accepted: 15 September 2025, Published: 10 November 2025


Abstract

Flavonoids are bioactive compounds found in the roots and rhizomes of Boesenbergia rotunda (L.) Mansf. Stability data for these flavonoids, including pinocembrin, pinostrobin, and panduratin A, remain limited, particularly for gamma-irradiated samples. This study evaluated the impact of gamma irradiation on flavonoid contents, antioxidant activities, and predicted flavonoid stability using factorial design. Thirty-two B. rotunda samples from various locations of Thailand were gamma-irradiated with 12.3 - 27.5 kGy. High-performance liquid chromatography assessed flavonoid levels, while antioxidant activities were measured via DPPH radical scavenging, ABTS cation radical decolorization, and superoxide anion radical scavenging assays. Results showed slight reductions in pinocembrin and panduratin A levels, with pinostrobin levels preserved. Antioxidant activities decreased, except for nitric oxide scavenging activity, which remained stable. Flavonoid stability predictions were made by analyzing initial flavonoid contents and monitoring samples stored at 30 °C/75% RH and 40 °C/75% RH for 90 and 180 days. Flavonoids were more stable in rhizomes than roots. Among flavonoids, pinostrobin showed the highest stability, followed by pinocembrin and panduratin A. Predicted lowest retention in roots were 67.50%, 89.20% and 6.84%, respectively, compared to 91.83%, 99.92% and 35.99% in rhizomes. Gamma irradiation reduced flavonoid contents and antioxidant activities. The study introduced factorial design as a predictive tool for flavonoid stability in B. rotunda , aiding the preservation of bioactive compounds. However, longer-term studies are necessary to predict extended stability trends.


Keywords: Fingerroot, Decontamination, Panduratin A, Pinocembrin, Pinostrobin


Introduction

Fingerroot refers to the dried roots and rhizomes of Boesenbergia rotunda (L.) Mansf. It contains various flavonoids, including chalcones like boesenbergin A and panduratin A, as well as flavanones such as pinocembrin and pinostrobin. Its essential oil primarily consists of camphor, 1,8-cineole, and geraniol [1]. Powder and extract of B. rotunda are widely used in herbal remedies and dietary supplements. Renowned for its high flavonoid content, the plant is recognized as a source of antioxidants [2,3]. B. rotunda is a plant that utilizes its roots and rhizomes, making it susceptible to contamination by various microorganisms [4]. This contamination can significantly impact the quality of B. rotunda raw materials, leading to the degradation of the herbal components, deterioration of bioactive compounds, and potential pathogenic effects [5,6].

Several sterilization techniques are used in herbal processing, each with advantages and limitations. Thermal methods, such as autoclaving and pasteurization, effectively eliminate microbial contaminants but can degrade bioactive compounds, reducing therapeutic efficacy. Chemical sterilization, including sodium hypochlorite or alcohol, can preserve bioactivity but raises concerns about residual toxicity and tissue-specific effectiveness. Other techniques, such as UV light and ozone treatment, provide effective microbial control while minimizing thermal degradation, making them attractive for preserving bioactive compounds. Manual sterilization practices, particularly in small-scale or traditional settings, often face consistency and regulatory challenges. Overall, maintaining microbial safety while preserving bioactive quality remains critical, emphasizing the need for optimized sterilization methods that balance efficacy, safety, and compound stability [7]. Among these, gamma irradiation has emerged as one of the most popular methods. Gamma irradiation of foodstuffs and herbs emerged as a technology in the latter half of the 20 th century and has since become one of the most widely used methods for microbial decontamination and extending the shelf life of foods and herbs. This method is regarded as safe, effective, environmentally friendly, and energy-efficient, making it particularly beneficial for industrial-scale applications [7,8]. In dried products such as herbs, fruits, spices, and nuts, gamma irradiation at doses of 3 to 10 kGy is used. Additionally, doses exceeding 20 kGy have been utilized to achieve substantial reductions in microbes in these products [9]. However, gamma irradiation may cause visual changes and reduce the levels of bioactive compounds and bioactivity. Despite this, gamma irradiation has been shown to preserve the chemical integrity and bioactive properties of commonly used aromatic plants [10,11].

The stability of bioactive compounds in B. rotunda is crucial for herbal products. Stability studies are essential for establishing appropriate shelf life and storage conditions for both raw materials and herbal products. However, there is currently a lack of research directly addressing the stability of flavonoids in B. rotunda following sterilization, particularly gamma irradiation, which represents a critical gap between existing knowledge on general irradiation effects and its specific implications for this medicinal plant. To address this gap, it is essential to investigate the effects of gamma irradiation on the stability of bioactive compounds and antioxidant activity. In addition, modern experimental design, a mathematical and statistical tool increasingly applied in the herbal and bioactive compound field, has been identified as a valuable approach for predicting the stability of B. rotunda flavonoids [12-19]. Modern experimental design facilitates the modeling and analysis of relationships between multiple variables and offers several advantages over traditional methods. These include saving time, costs, and resources; evaluating interactions between factors; generating response surfaces; and simultaneously predicting the effects of multiple variables [20-22].

Despite these advantages, no study has yet inves­tigated the stability of the three primary flavonoids in B. rotunda —pinocembrin, pinostrobin, and panduratin A—following gamma irradiation or under controlled storage conditions. This lack of data hampers efforts to determine appropriate shelf life and storage conditions for B. rotunda products. To bridge this gap, the present study evaluates the effects of gamma irradiation on the flavonoids—pinocembrin, pinostrobin, and panduratin A, as well as on antioxidant activities using various as­says. Furthermore, the study aims to develop a predic­tive model using factorial design to assess the stability of these fla­vonoids in B. rotunda samples collected from 32 loca­tions across Thailand. The research investigates the in­fluence of storage conditions, specifically temperature (30 °C/75% RH and 40 °C/75% RH) and duration (0, 3 and 6 months), on flavonoid content in the roots and rhizomes of B. ro­tunda . The findings of this research are expected to offer critical insights for improving quality control, product development, and storage practices for B. rotunda . By employing factorial design to predict flavonoid stability, this study seeks to advance research methodologies, manufactur­ing processes, quality assurance practices, and transpor­tation protocols. Ultimately, these efforts aim to signifi­cantly contribute to the preservation and advancement of knowledge regarding Thai herbal medicine.


Materials and methods

Materials

This study used the same fingerroot samples collected from 32 sources across Thailand as those used in the previous study [23]. The distribution included 5 samples from the northern region, 4 samples from the southern region, 2 samples from the eastern region, 3 samples from the western region, 9 samples from the northeastern region, and 9 samples from the central region. Each sample was studied in both the root and rhizome powder, resulting in a total of 64 samples. Pinocembrin and pinostrobin standards were purchased from Chengdu Biopurify Phytochemicals Ltd., Sichuan, China, while the panduratin A standard was obtained from the Faculty of Science, Mahidol University, Thailand. 2,2′-Azino-bis(3-ethylbenzothiazoline-6-sulfonic acid) diammonium salt (ABTS), 2,2-diphenyl-1-picrylhydrazyl (DPPH), (±)-6-hydroxy-2,5,7,8-tetramethylchromane-2-carboxylic acid (Trolox ® ), nitroblue tetrazolium (NBT), phenazine methosulfate (PMS), reduced β-nicotinamide adenine dinucleotide dipotassium salt (NADH), and Tris hydrochloride (Tris-HCl) were purchased from Sigma-Aldrich, MO, USA. Potassium persulfate was purchased from AppliChem GmbH, Darmstadt, Germany. L -ascorbic acid was purchased from Loba Chemie Pvt. Ltd., Mumbai, India. Naphthylethylenediamine dihydrochloride, phosphoric acid, sodium nitroprusside, and sulfanilamide were purchased from Carlo Erba Reagents, Cornaredo, Italy. All solvents used were high-performance liquid chromatography (HPLC) and analytical reagent (AR) grades.


Gamma irradiation of B. rotunda samples

The B. rotunda root and rhizome powders (approximately 5 g) were placed into 20-mL glass vials with caps, packed into cartons, and subjected to gamma irradiation using cobalt 60 radiation. The specified dose range was 10 - 35 kGy, with the actual calculated dose received ranging from 12.3 - 27.5 kGy, which is consistent with regulatory limits, as the United States Food and Drug Administration authorizes radiation doses below 30 kGy for spices [24].


Analysis of pinocembrin, pinostrobin, and panduratin A

The contents of pinocembrin, pinostrobin, and panduratin A were analyzed using HPLC, following a method described in previous work [23]. Sample preparation for chemical analysis was carried out following the Thai Herbal Pharmacopoeia [1] with slight modifications. Specifically, 50 mg of accurately weighed root or rhizome powder from B. rotunda was macerated in 10 mL of methanol (n = 3) for 24 h. After the designated time, the mixture was mixed and left to settle for sedimentation. The supernatant was then filtered through a 0.45-µm nylon syringe filter into an amber vial and subsequently analyzed using HPLC.

The analysis was performed using an Agilent 1260 Infinity II system (Agilent Technologies, Inc., CA, USA) equipped with an autosampler and a photodiode array detector. Separation was achieved using a Poroshell 120 EC-C18 column (4.6×250 mm, 4 µm particle size) paired with a guard column of the same material (4.6×5 mm, 4 µm particle size) (Agilent Technologies, Inc., CA, USA). The column temperature was maintained at 25 °C. The mobile phase consisted of water (A) and acetonitrile (B), with a gradient flow rate of 1 mL/min: 50:50 at 0 min, 0:100 at 15 min, and 50:50 from 16 - 18 min, for A and B, respectively. The injection volume was 10 µL, and detection was carried out at a wavelength of 288 nm. This HPLC method was validated following the guidelines set by the International Council for Harmonisation [25]. The method validation data were detailed in the previous study [23].





Evaluation of antioxidant activity

Four antioxidant assays were used to test antioxidant activity: DPPH radical scavenging, ABTS radical cation decolorization, superoxide anion radical scavenging, and nitric oxide scavenging assays. The extract solutions prepared for HPLC analysis were used as samples for these assays. As a result, the sample concentration was kept constant. The methods are as follows:


DPPH radical scavenging assay

The DPPH radical scavenging assay was slightly modified from the method described in a previous study [26]. A 100 µL sample solution was added to a 96-well plate (n = 3), followed by an equal volume of 0.2 mM DPPH methanolic solution. The mixture was thoroughly mixed and incubated at room temperature in the dark for 30 min. The absorbance was then measured at 517 nm using a microplate reader (Bio-Rad Laboratories, Inc., CA, USA). Antioxidant activity was expressed as percent DPPH scavenging (Eq. (1). L -ascorbic acid (10 µg/mL) was used as a positive control to validate the method.


Where Abs control and Abs sample are the absorbance of control and sample, respectively.


ABTS cation radical decolorization assay

ABTS cation radical decolorization assay was modified from the published protocol [27]. A 5.05 µL aliquot of 245 mM potassium persulfate aqueous solution was added to 500 µL of 7 mM ABTS aqueous solution, resulting in a final potassium persulfate concentration of 2.45 mM. The mixture was incubated overnight in the dark at room temperature to produce the ABTS radical, which remained stable for over two days when kept in the dark at room temperature. Before use, the ABTS radical solution was diluted 100 times with ultrapure water, and its absorbance at 734 nm was adjusted to 0.70 (± 0.02).

Trolox was used as a standard, with seven concentrations ranging from 800 to 12.5 µM, equivalent to 0.2002 to 0.0031 mg/mL, prepared using phosphate buffer solution (pH 7.4) as the solvent. For the assay, 10 µL of Trolox solution was added to a 96-well plate, followed by 190 µL of ABTS radical solution, and the mixture was thoroughly mixed (n = 3). Phosphate buffer pH 7.4 (10 µL) combined with 190 µL of ABTS radical solution served as the control. After incubation for 5 min at room temperature, the absorbance at 734 nm was measured using a microplate reader. The percent decolorization was calculated using Eq. (2):


Where Abs control and Abs sample are the absorbance of control and sample, respectively.


For the samples, the assay followed the same procedure as for Trolox , but the concentration of the sample solutions was not varied. The percent decolorization of the samples was used to calculate antioxidant activity, expressed as mg Trolox equivalent (TE) per g of B. rotunda powder.


Superoxide anion radical scavenging assay

The superoxide anion radical scavenging assay was modified from the method described in a previous study [28]. Ascorbic acid was used as the standard and prepared at a concentration of 1,000 µg/mL using ultrapure water as the solvent. This solution was diluted to 250 µg/mL and further subjected to two-fold serial dilutions to obtain concentrations of 125, 62.5, 31.25, 15.625 and 7.8125 µg/mL. A 100 µL aliquot of the ascorbic acid standard or sample solution was added to a 96-well plate (n = 3). Subsequently, 50 µL of each solution—43 µM NBT, 166 µM NADH, 16 mM Tris-HCl pH 8.0 and 2.7 µM PMS—was added to each well. The NBT, NADH, and PMS solutions were dissolved in 16 mM Tris-HCl pH 8.0, which was prepared using ultrapure water. The mixture was incubated for 5 min at room temperature before measuring the absorbance at 560 nm using a microplate reader. The standard curve for ascorbic acid was produced and used to calculate the antioxidant activity of the samples, expressed as mg ascorbic acid equivalent (AAE) per g of B. rotunda powder.




Nitric oxide scavenging assay

The nitric oxide scavenging assay was modified from the method described in a previous study [29]. Ascorbic acid was used as the standard and prepared at a concentration of 10 mg/mL with ultrapure water as the solvent. This solution was diluted to 2,000 µg/mL and further subjected to two-fold serial dilutions to achieve concentrations of 1,000, 500, 250 and 125 µg/mL. A 50 µL aliquot of the ascorbic acid standard or sample solution was added to a 96-well plate (n = 3). Subsequently, 50 µL of 10 mM sodium nitroprusside was added, and the plate was incubated at room temperature for 120 min. After incubation, 100 µL of Griess reagent (composed of 1% sulfanilamide, 0.1% naphthylethylenediamine dihydrochloride, and 2.5% phosphoric acid) was added. The absorbance was measured at 546 nm using a microplate reader. A standard curve for ascorbic acid was produced and used to calculate the antioxidant activity of the samples, expressed as mg ascorbic acid equivalent (AAE) per gram of B. rotunda powder.


Comparison of flavonoid contents and antioxidant activities of gamma-irradiated and non-gamma-irradiated samples

The alteration in the percent contents of individual flavonoids in B. rotunda powder, percent inhibition from the DPPH scavenging assay, mg TE per g of B. rotunda powder from the ABTS cation radical decolorization assay, and mg AAE per g of B. rotunda powder from the superoxide anion radical scavenging and nitric oxide scavenging assays were analyzed to produce box-whisker plots for each cultivation region and the pooled data.


Modeling of flavonoid stability prediction using customized factorial design

Flavonoid stability prediction was modeled using a customized factorial design. This design incorporated two factors—storage temperature (30 °C/75% RH and 40 °C/75% RH) and storage time (0, 90 and 180 days), which were selected according to ASEAN guidelines for herbal product stability testing, to evaluate their individual and interactive effects on flavonoid stability. The factorial design was selected as it allows systematic assessment of main effects and interactions, providing a robust basis for predictive modeling.

For the B. rotunda root and rhizome powders, approximately 5 g of each sample was weighed and placed into 20-mL glass vials with caps, then packed into plastic boxes and stored in a climate chamber (Memmert GmbH + Co. KG, Büchenbach, Germany) under controlled conditions at 30 °C/75% RH and 40 °C/75% RH. Samples were taken at 0, 90 and 180 days to analyze the contents of pinocembrin, pinostrobin, and panduratin A using the HPLC method described earlier. Response surfaces were generated, and the predicted equations were reported. The modeling was performed using the licensed Design-Expert v.11 software (Stat-Ease Inc., MN, USA).


Results and discussion

Effect of gamma irradiation on bioactive compounds and antioxidant activities of B. rotunda

Gamma irradiation is essential for sterilizing both the raw materials and products of B. rotunda . This study investigated the effects of gamma irradiation on bioactive compounds, specifically the flavonoids pinocembrin, pinostrobin, and panduratin A, as well as antioxidant activities. The work did not specify a fixed irradiation dose, as the authors aimed to simulate practical gamma irradiation scenarios in which samples are irradiated alongside others to reduce the cost per session. Therefore, the specified dose range was set at 10 - 35 kGy, with the actual calculated doses received ranging from 12.3 - 27.5 kGy.

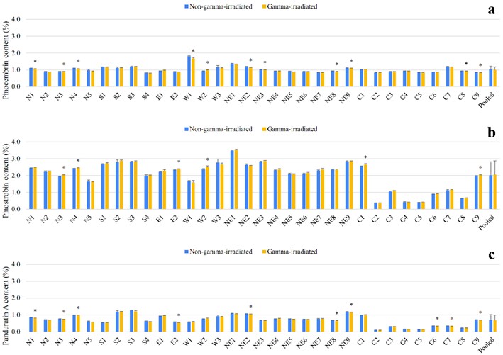
Contents of individual flavonoids—pinocembrin, pinostrobin, and panduratin A—in the roots and rhizomes of B. rotunda sourced from different regions across Thailand, comparing gamma-irradiated and non-gamma-irradiated samples are shown in Figures 1 and 2 , respectively. The authors confirmed that the data presented in Figures 1 and 2 are entirely original and do not overlap with the data from the previous study [23], as they were measured at different time points. Figures 1 and 2 demonstrate that pinostrobin is the predominant flavonoid in the roots and rhizomes of B. rotunda , compared to pinocembrin and panduratin A. This work supported that the Thai Herbal Pharmacopoeia selected the predominant flavonoid pinostrobin for quality control of B. rotunda [1]. Based on the mean values of the individual flavonoids, gamma irradiation appeared to have a minimal overall effect on their contents. However, some samples showed significant decreases while others exhibited significant increases. These variations may be attributed to differences in intrinsic factors such as the plant part (roots versus rhizomes), geographic origin, and initial flavonoid content, which can influence susceptibility to irradiation. Environmental conditions during growth and post-harvest handling may also contribute to differential responses [30,31]. Despite these sample-specific variations, no clear trend was observed across regions or plant parts, and the pooled data, derived from the average values across all samples, revealed no significant difference compared to non-gamma-irradiated samples.



Figure 1 Contents of individual flavonoids—pinocembrin (a), pinostrobin (b), and panduratin A (c)—in the roots of B. rotunda sourced from northern (N), southern (S), eastern (E), western (W), northeastern (NE), and central (C) Thailand, comparing gamma-irradiated and non-gamma-irradiated samples. The numbers following each regional abbreviation (e.g., N1, N2) represent individual collection sites within that geographical region. An asterisk (*) indicates a significant alteration in the content of an individual flavonoid compared to levels in non-gamma-irradiated samples.


Figure 2 Contents of individual flavonoids—pinocembrin (a), pinostrobin (b), and panduratin A (c)—in the rhizomes of B. rotunda sourced from northern (N), southern (S), eastern (E), western (W), northeastern (NE), and central (C) Thailand, comparing gamma-irradiated and non-gamma-irradiated samples. The numbers following each regional abbreviation (e.g., N1, N2) represent individual collection sites within that geographical region. An asterisk (*) indicates a significant alteration in the content of an individual flavonoid compared to levels in non-gamma-irradiated samples.


However, the mean is suitable for data with a normal distribution. If the data is highly skewed or contains outliers, the mean may not be appropriate because it tends to be influenced by the outliers rather than reflecting the central tendency. On the other hand, the median is more suitable for highly skewed data with extreme values, as a few outliers have little impact on the central value represented by the median [32]. Therefore, box-whisker plots were chosen to present the data on the content of individual flavonoids and antioxidant activities from various assays, including data from individual regions and pooled data from across Thailand. Box-whisker plots, or box plots, are a concise and effective tool for visualizing data distribution. They summarize key statistical features, such as the median, range, quartiles, and outliers, while remaining robust to extreme values. A key strength of box plots is their ability to handle outliers without skewing the overall representation, providing a clear visual of anomalies [33-35].

The box-whisker plots showing the percent change in individual flavonoids—pinocembrin, pinostrobin, and panduratin A—in the roots and rhizomes of B. rotunda sourced from various regions of Thailand, as well as pooled data, in gamma-irradiated samples compared to non-gamma-irradiated samples are shown in Figure 3 . Pinocembrin, pinostrobin, and panduratin A demonstrated greater stability in rhizomes compared to roots, as indicated by the median change of individual flavonoids in rhizomes approaching 0%.

A comparison of the three flavonoids revealed that pinostrobin was the most stable under gamma irradiation, whereas panduratin A, particularly in roots, exhibited lower stability. This may be because pinostrobin has a methoxy group, fewer hydroxyl groups, and a more rigid structure than pinocembrin and panduratin A, making it less prone to oxidation and degradation [36-38]. However, the percentage change in the content of individual flavonoids was dependent on both the sample and the region. Variation in percent change, as indicated by the interquartile range, was notable for panduratin A in roots, while high variability in the rhizome was observed across all flavonoids. Specifically, for pooled data from roots, the median values of percent changes for pinocembrin, pinostrobin, and panduratin A were ‒1.81%, 0.97% and ‒5.01%, respectively. In rhizomes, the corresponding values were ‒1.99%, 1.66% and ‒2.36%. These results suggest that rhizomes provide a more stable matrix for pinostrobin and panduratin A compared to roots, possibly due to higher flavonoid abundance, protective tissue composition, and denser structure [23,39]. In contrast, roots exhibited greater susceptibility to variation, especially for panduratin A, indicating that tissue-specific factors influence the stability of individual flavonoids under irradiation [40].



Figure 3 Box-whisker plots showing the percent change in individual flavonoids—pinocembrin, pinostrobin, and panduratin A—in the (a) roots and (b) rhizomes of B. rotunda sourced from various regions of Thailand, as well as pooled data, in gamma-irradiated samples compared to non-gamma-irradiated samples.


This study utilized four distinct antioxidant assays—DPPH radical scavenging, ABTS cation radical decolorization, superoxide anion radical scavenging, and nitric oxide scavenging assays—to comprehensively evaluate the antioxidant mechanisms of B. rotunda . The selection of these assays was intentional, as each represents a different aspect of antioxidant activity and mechanism, providing a more nuanced understanding of the antioxidant potential of the flavonoids and their stability in gamma-irradiated samples.

The DPPH radical scavenging assay is a commonly employed technique for assessing the ability of antioxidants to scavenge free radicals. This method utilizes DPPH, a stable free radical, which transforms a stable diamagnetic molecule upon accepting an electron or hydrogen atom. The reduction of the DPPH radical is visually evident through a color shift from purple to yellow, measurable via spectrophotometry. Greater DPPH radical scavenging activity signifies a stronger antioxidant potential of the tested sample [41]. Similarly, the ABTS cation radical decolorization assay is a frequently used assay to evaluate the antioxidant activity of a sample. In this method, ABTS is oxidized into its radical cation form, characterized by a blue-green color. Antioxidants can reduce this radical, leading to a decrease in absorbance. This assay effectively measures a sampleʼs ability to donate hydrogen or electrons to stabilize the ABTS cation radical [42]. The superoxide anion radical is another significant reactive oxygen species generated in various biological systems. The superoxide anion radical scavenging assay evaluates a sampleʼs capacity to scavenge this reactive species. In this assay, superoxide radicals are generated via the autoxidation of pyrogallol, and the extent to which the sample inhibits this process reflects its superoxide anion radical scavenging activity [43]. Lastly, nitric oxide plays a vital role as a signaling molecule in numerous physiological and pathological processes. The nitric oxide scavenging assay assesses a sampleʼs capacity to inhibit nitric oxide production, which is typically generated from sodium nitroprusside. Nitric oxide scavengers compete with oxygen to reduce nitric oxide formation, thereby demonstrating antioxidant properties [44]. By employing these complementary assays, this study provides a comprehensive evaluation of the diverse antioxidant mechanisms of B. rotunda , highlighting the stability and potential efficacy of its flavonoids under conditions of gamma irradiation.

Box-whisker plots showing the percent change in DPPH radical scavenging activity in the roots and rhizomes of B. rotunda sourced from various regions of Thailand, as well as pooled data, in gamma-irradiated samples compared to non-gamma-irradiated samples are shown in Figure 4 . The variation in percent change in DPPH radical scavenging activity depended on the plant part and the geographic source of B. rotunda . The antioxidant activity, as measured by DPPH radical scavenging, showed greater decreases in the roots from all regions except the central region. In contrast, rhizomes exhibited greater decreases in samples from all regions except the north, based on the median values. However, when pooled data were analyzed, the DPPH radical scavenging activity decreased and was comparable for both roots and rhizomes. The specific median percent changes for roots and rhizomes were ‒4.92% and ‒3.45%, respectively.



Figure 4 Box-whisker plots showing the percent change in DPPH radical scavenging activity in the roots and rhizomes of B. rotunda sourced from various regions of Thailand, as well as pooled data, in gamma-irradiated samples compared to non-gamma-irradiated samples.




Box-whisker plots showing the percent change in ABTS cation radical decolorization activity in the roots and rhizomes of B. rotunda sourced from various regions of Thailand, as well as pooled data, in gamma-irradiated samples compared to non-gamma-irradiated samples are shown in Figure 5 . Similar to the DPPH radical scavenging activity, the variation in percent change in DPPH radical scavenging activity depended on the plant part and the geographic source of B. rotunda . The ABTS cation radical decolorization activity showed greater decreases in B. rotunda roots and rhizomes from all regions, except for the roots from the central region. High variation in percent change was observed in the roots of B. rotunda from the northeast and central regions. When pooled data were analyzed, the ABTS cation radical decolorization activity decreased and was comparable for both roots and rhizomes. The median percent changes for roots and rhizomes were ‒15.94% and ‒20.02%, respectively.



Figure 5 Box-whisker plots showing the percent change in ABTS cation radical decolorization activity in the roots and rhizomes of B. rotunda sourced from various regions of Thailand, as well as pooled data, in gamma-irradiated samples compared to non-gamma-irradiated samples.


Box-whisker plots showing the percent change in superoxide anion radical scavenging activity in the roots and rhizomes of B. rotunda sourced from various regions of Thailand, as well as pooled data, in gamma-irradiated samples compared to non-gamma-irradiated samples are shown in Figure 6 . Similar to the DPPH and ABTS radical scavenging activities, the variation in percent change in superoxide anion radical scavenging activity depended on the plant part and the geographic source of B. rotunda . The superoxide anion radical scavenging activity exhibited greater decreases in the roots and rhizomes of B. rotunda from all regions, except for the roots from the northeastern region. High variation in percent change was noted in the rhizomes of B. rotunda from the south and west regions. When pooled data were analyzed, the superoxide anion radical scavenging activity showed a decrease that was comparable for both roots and rhizomes. The median percent changes for roots and rhizomes were ‒11.84% and ‒14.32%, respectively.



Figure 6 Box-whisker plots showing the percent change in superoxide anion radical scavenging activity in the roots and rhizomes of B. rotunda sourced from various regions of Thailand, as well as pooled data, in gamma-irradiated samples compared to non-gamma-irradiated samples.


Box-whisker plots showing the percent change in nitric oxide scavenging activity in the roots and rhizomes of B. rotunda sourced from various regions of Thailand, as well as pooled data, in gamma-irradiated samples compared to non-gamma-irradiated samples are shown in Figure 7 . Similar to the other three antioxidant activities, the variation in percent change in nitric oxide scavenging activity depended on the plant part and the geographic source of B. rotunda . In contrast, the nitric oxide scavenging activity appeared to be more stable. The highest decrease in percent change was observed in the rhizomes of B. rotunda from the west region. When pooled data were analyzed, the nitric oxide scavenging activity remained stable for both roots and rhizomes. The median percent changes for roots and rhizomes were 0.05% and 3.02%, respectively.



Figure 7 Box-whisker plots showing the percent change in nitric oxide scavenging activity in the roots and rhizomes of B. rotunda sourced from various regions of Thailand, as well as pooled data, in gamma-irradiated samples compared to non-gamma-irradiated samples.





The comparable antioxidant activities of roots and rhizomes after gamma irradiation might be explained by the compensatory contribution of multiple flavonoids and other phenolic constituents. Although individual compounds such as panduratin A showed variation between roots and rhizomes, the overall antioxidant activity, as measured by DPPH, ABTS, and other assays, reflects the combined effects of different bioactive compounds [45,46]. This suggests that decreases in some flavonoids may be offset by the relative stability of others, leading to little observable difference in antioxidant activity between roots and rhizomes. In conclusion, the impact of gamma irradiation on the flavonoid content and antioxidant activities of B. rotunda varies depending on the plant part and geographic source. While some decreases in bioactive compounds were observed, the overall changes were relatively modest compared to other preservation techniques such as thermal or chemical sterilization, which are known to cause more pronounced degradation of phytochemicals [7]. These findings highlight gamma irradiation as a viable preservation method that maintains a better balance between microbial safety and the retention of phytochemical integrity, offering valuable potential for the processing of B. rotunda and related herbal products.

Previous studies have demonstrated that various forms of irradiation, including gamma irradiation, can influence the phenolic and flavonoid content of plant materials. Common buckwheat ( Fagopyrum esculentum Moench) flour and grain were treated with gamma irradiation (2 - 10 kGy), and antioxidant activity, total phenolic content (TPC), total flavonoid content (TFC), rutin, and quercetin levels were measured. Irradiation enhanced antioxidant activity, TPC, TFC, and rutin levels, with the highest values observed at 10 kGy for grain and 8 kGy for flour. Quercetin content remained stable, while 2 kGy showed reduced values for all parameters. These results suggest gamma irradiation, particularly at higher doses, as an effective method for enhancing the bioactive properties of buckwheat [47]. Similarly, a study on Pueraria mirifica , hawthorn, and soy flavonoid extracts demonstrated that low-dose gamma irradiation had minimal impact on their antioxidant activities, including DPPH, ABTS, superoxide anion, and hydroxyl radical scavenging. However, higher irradiation doses (18 kGy for P. mirifica and 12 kGy for hawthorn) resulted in a decline in antioxidant capacity. While the composition of P. mirifica and soy flavonoid extracts remained unaffected, rutin and hyperoside levels in hawthorn extracts were reduced [48]. Another work evaluated the optimal gamma irradiation dose for enhancing antioxidant capacity and reducing microbial load in fennel seeds and cinnamon sticks. Irradiation at 7.5 kGy significantly increased antioxidant activity and total flavonoid content while reducing microbial loads. Higher doses (10 kGy) were required to lower bacterial contamination, while 5 kGy sufficed to eliminate fungal growth. The findings suggest that 7.5 kGy is an effective dose for preserving and decontaminating these spices, making gamma-radiation a valuable method for the food industry [49]. These studies collectively highlight that gamma irradiation can enhance the bioactive properties and antioxidant capacities of plant materials while also ensuring microbial safety. However, it is crucial to optimize irradiation doses, as higher doses can sometimes result in the degradation of specific bioactive compounds, emphasizing the need for careful dose selection to maximize benefits.

These findings have direct implications for industrial applications, particularly in the herbal and nutraceutical sectors. By demonstrating that gamma irradiation can maintain or even enhance the stability of key flavonoids and antioxidant activities in B. rotunda , manufacturers can implement controlled irradiation protocols to ensure product safety and consistency without compromising bioactive quality. Moreover, the data support the use of predictive modeling and factorial design to optimize irradiation conditions, allowing industry practitioners to balance microbial decontamination with the preservation of phytochemical integrity. Such evidence-based approaches facilitate scalable, standardized production and quality control, ultimately contributing to improved shelf life, regulatory compliance, and consumer confidence in herbal products.


Flavonoid stability prediction model

Using factorial design, the stability of flavonoids was predicted based on the effects of temperature and time over a storage period of up to 180 days. Box-whisker plots showing the levels of individual flavonoids remaining in B. rotunda roots and rhizomes after storage at different temperatures and durations, relative to their initial levels, are presented in Supplementary Material ( Figures S1-S8 ). Furthermore, the response surfaces of individual flavonoids remained in B. rotunda roots and rhizomes sourced from different regions across Thailand under varying storage temperatures and times, compared to their initial levels, are shown in Supplementary Material ( Figures S9-S14 ).

This study primarily focused on modeling the stability of flavonoids in B. rotunda samples across Thailand. A total of 32 root samples and 32 rhizome samples were analyzed to generate response surfaces and prediction equations, which are crucial for estimating the stability of flavonoids in B. rotunda samples from various regions of Thailand. Response surfaces of individual flavonoids—pinocembrin, pinostrobin, and panduratin A—remained in B. rotunda roots and rhizomes sourced from various regions of Thailand under varying storage temperatures and times, compared to their initial levels, are shown in Figure 8 . Furthermore, their perturbation plots are shown in Figure 9 . The response surfaces for the roots indicated that increasing temperature and time led to a decrease in the content of pinocembrin, pinostrobin, and panduratin A. The degree of decrease was reflected in the slope of the graphs in the perturbation plots. The gradual decline of pinostrobin suggested a slight decrease, indicating that pinostrobin was more stable compared to pinocembrin and panduratin A. The authors observed that storage time had a greater impact on the stability of panduratin A than temperature. In the case of the rhizomes, the gradual decline of pinocembrin and pinostrobin, compared to panduratin A, suggested that pinocembrin and pinostrobin were more stable than panduratin A under the same controlled conditions. The predictive model, based on pooled data from all samples, revealed that the lowest remaining percentages of pinocembrin, pinostrobin, and panduratin A in roots were 67.50%, 89.20% and 6.84%, respectively. In rhizomes, the corresponding values were 91.83%, 99.92% and 35.99%, compared to their initial levels.



Figure 8 Response surfaces of individual flavonoids—pinocembrin, pinostrobin, and panduratin A—remained in B. rotunda roots (top) and rhizomes (bottom) sourced from various regions of Thailand under varying storage temperatures and times, compared to their initial levels.


Figure 9 Perturbation plots of individual flavonoids—pinocembrin, pinostrobin, and panduratin A—remained in B. rotunda roots (top) and rhizomes (bottom) sourced from various regions of Thailand under varying storage temperatures and times, compared to their initial levels. The letters A and B denote temperature and time, respectively.


Coded and actual equations for the prediction of flavonoid contents (pinocembrin, pinostrobin, and panduratin A) in the roots and rhizomes of B. rotunda based on storage temperature and time are shown in Table 1 . Coded equations were used to evaluate the degree of each factorʼs effect on the response by transforming all factors into the same range, from −1 - +1. Conversely, actual equations were employed to predict responses using the precise or actual values of each factor [50]. In this study, coded equations revealed that time was the primary factor contributing to the reduction of pinocembrin, pinostrobin, and panduratin A contents in roots, as well as panduratin A in rhizomes, compared to temperature and the interaction between temperature and time. For pinocembrin and pinostrobin in rhizomes, temperature was the dominant factor reducing their content, while time appeared to increase pinostrobin content. Furthermore, the interaction between temperature and time did not affect pinostrobin content in rhizomes, as it was not included in the equation. Based on the coefficients in the coded equations, temperature, time, and their interaction had a greater reduction effect on panduratin A than on pinocembrin and pinostrobin, respectively. According to the p -values from ANOVA, the analysis highlighted that temperature, time, and their interaction significantly affected the stability of flavonoids in terms of pinocembrin, pinostrobin, and panduratin A contents. An exception was observed for pinostrobin in rhizomes, where temperature did not significantly influence its stability.


Table 1 Coded and actual equations for the prediction of flavonoid contents (pinocembrin, pinostrobin, and panduratin A) in the roots and rhizomes of B. rotunda based on storage temperature and time.

Parts

Coded equations

Actual equations

p -value

X 1

X 2

X 1 X 2

Roots

< 0.0001*

< 0.0001*

< 0.0001*

< 0.0001*

< 0.0001*

0.0020*

< 0.0001*

< 0.0001*

0.0005*

Rhizomes

< 0.0001*

0.0041*

< 0.0001*

0.6588

< 0.0001*

-

< 0.0001*

< 0.0001*

< 0.0001*

Y 1 , Y 2 , and Y 3 are the contents of pinocembrin, pinostrobin, and panduratin A, respectively.

X 1 and X 2 are temperature and time, respectively.

An asterisk (*) indicates a significant value.


This work emphasized the significance of the actual equations presented in Table 1 , which offer a valuable tool for predicting the stability of flavonoids in both roots and rhizomes of B. rotunda sourced from various regions of Thailand. By utilizing these equations, researchers and industry practitioners can make accurate predictions about the stability of key flavonoids—pinocembrin, pinostrobin, and panduratin A—under specific storage conditions, including variations in temperature and time. These predictive models provide crucial insights for optimizing storage strategies, extending shelf life, and ensuring the quality and efficacy of B. rotunda -based products.

Flavonoids are generally sensitive to environmental factors such as temperature, light, and pH, which can significantly impact their stability and bioactivity [51-54]. The stability of pinocembrin, pinostrobin, and panduratin A in B. rotunda has not been extensively investigated; however, insights from broader flavonoid research provide valuable context. Previous work evaluated the stability of B. rotunda extract tablets stored at 30 °C ± 2 °C/75% RH ± 5% RH and 45 °C ± 2 °C/75% RH ± 5% RH for three months, revealing a significant decrease in pinocembrin content corresponding to temperature and time. Surprisingly, despite this reduction, antioxidant activity determined using the DPPH radical scavenging assay was preserved [55]. These findings highlight the complex interplay between flavonoid degradation and antioxidant efficacy, suggesting that structural changes may not always correlate with a loss of bioactivity. This underscores the importance of further investigating the stability and functionality of B. rotunda flavonoids under various environmental and storage conditions to optimize their potential applications.

To gain a more comprehensive understanding of the stability behavior of flavonoids in B. rotunda , it is suggested that future studies extend the range of temperatures and storage durations investigated. However, the authors note that excessively high temperatures may not accurately simulate practical storage conditions and could introduce variability that does not reflect real-world scenarios. Therefore, care must be taken to balance experimental design with conditions relevant to actual storage practices. Such optimization would not only enhance the predictive capacity of the equations but also support industrial implementation by providing data directly applicable to real-world production, storage, and quality control of herbal products.


Conclusions

This study highlights the effect of gamma irradiation on the flavonoid contents and antioxidant activities in the roots and rhizomes of B. rotunda . Gamma irradiation at 12.3 - 27.5 kGy led to a slight reduction in the levels of pinocembrin and panduratin A, while pinostrobin was preserved. Antioxidant activities, assessed through various assays, were generally reduced, except for nitric oxide scavenging activity, which remained constant. Flavonoid stability analysis demonstrated that rhizomes provided a more stable environment than roots, with pinostrobin being the most stable flavonoid, followed by pinocembrin and panduratin A. The predictive model using factorial design offered valuable insights into the stability of flavonoids under controlled storage conditions, revealing significant variations in flavonoid retention between roots and rhizomes. These findings emphasize the need to carefully consider gamma irradiationʼs effects on bioactive compound preservation in B. rotunda . While irradiation can affect flavonoid levels and antioxidant activities. Moreover, this study underscores the utility of factorial design as a predictive tool for assessing flavonoid stability, contributing to the effective preservation of bioactive compounds in B. rotunda . However, further long-term studies are warranted to comprehensively evaluate flavonoid stability over extended durations. These findings provide a foundation for optimizing the use of B. rotunda in food, herbal, and nutraceutical applications, ensuring the retention of its beneficial bioactive properties.


Acknowledgements

We would like to thank Mr. Jirayoot Dansuk, Ms. Nuntikan Amatayabandit, Ms. Pichaporn Suvanno, and Ms. Panthita Chongpho for their research assistance. We would like to acknowledge the Faculty of Science, Mahidol University for providing panduratin A. We also acknowledge all individuals who generously provided fingerroot samples free of charge. This work was partially supported by the College of Pharmacy, Rangsit University, Thailand, research funding for senior projects of undergraduate pharmacy students (the academic year 2024).


Declaration of generative AI in scientific writing

During the preparation of this work, the authors used ChatGPT (GPT 4o mini) in order to proofread, correct grammatical errors, and improve the readability during the manuscript writing process. After using this tool, the authors reviewed and edited the content as needed and take full responsibility for the content of the published article.


CRediT author statement

Chaowalit Monton: Conceptualization, Methodology, Formal analysis, Investigation, Project administration, Software, Writing - original draft, Writing - review and editing, Resource, Supervision. Keeratikorn Suwanbumrungchai: Methodology, Formal analysis, Investigation. Hanaduha Salaemae: Methodology, Formal analysis, Investigation. Nalina Saniwee: Methodology, Formal analysis, Investigation. Thaniya Wunnakup: Methodology, Formal analysis, Investigation, Writing - original draft. Laksana Charoenchai: Methodology, Formal analysis, Writing - original draft, Resource. Orawan Theanphong: Methodology, Writing - original draft, Resource. Natawat Chankana: Methodology, Formal analysis, Investigation, Writing - original draft, Resource. Jirapornchai Suksaeree: Methodology, Formal analysis, Writing - original draft. Worranan Rangsimawong: Formal analysis, Writing - original draft, Resource.


References

[1] Department of Medical Sciences Ministry of Public Health, Available at: https://bdn.go.th/thp/ebook/qQMcAUtlpR9gC3q0GT5gMJq0qT5co3uw, accessed July 2024.

[2] S Saah, D Siriwan and P Trisonthi. Biological activities of Boesenbergia rotunda parts and extracting solvents in promoting osteogenic differentiation of pre-osteoblasts. Food Bioscience 2021; 41 , 101011.

[3] NQ Hop and NT Son. Boesenbergia rotunda (L.) Mansf.: A review of phytochemistry, pharmacology, and pharmacokinetics. Current Organic Chemistry 2023; 27(21) , 1842-1856.

[4] C Monton, L Sueree, S Settharaksa, L Charoenchai and J Suksaeree. Microbial contamination of turmeric capsules produced at a secondary government hospital in the northeastern Thailand. The Thai Journal of Pharmaceutical Sciences 2016; 40 , 143-145.

[5] KFM Opuni, J-P Kretchy, K Agyabeng, JA Boadu, T Adanu, S Ankamah, A Appiah, GB Amoah, M Baidoo and IA Kretchy. Contamination of herbal medicinal products in low-and-middle-income countries: A systematic review. Heliyon 2023; 9(9) , 19370.

[6] KM Hassan, PM Njogu, NM Njuguna and SN Ndwigah. Microbiological contamination of herbal medicinal products marketed in Kenya for chronic diseases: A case study of Nairobi metropolis. Journal of Herbal Medicine 2021; 29 , 100475.

[7] A Mrozek-Szetela, P Rejda and K Winska. A review of hygienization methods of herbal raw materials. Applied Sciences 2020; 10(22) , 8268.

[8] M Ognyanov, P Denev, D Teneva, Y Georgiev, S Taneva, I Totseva, M Kamenova-Nacheva, Y Nikolova and S Momchilova. Influence of gamma irradiation on different phytochemical constituents of dried rose hip ( Rosa canina L.) fruits. Molecules 2022; 27(6) , 1765.

[9] J Farkas and C Mohacsi-Farkas. History and future of food irradiation. Trends in Food Science & Technology 2011; 22(2-3) , 121-126.

[10] E Pereira, AL Antonio, JCM Barreira, L Barros, A Bento and ICFR Ferreira. Gamma irradiation as a practical alternative to preserve the chemical and bioactive wholesomeness of widely used aromatic plants. Food Research International 2015; 67 , 338-348.

[11] E Pereira, AL Antonio, JCM Barreira, SC Verde, L Barros, MBPP Oliveira and ICFR Ferreira. Evaluation of gamma-irradiated aromatic herbs: Chemometric study of samples submitted to extended storage periods. Food Research International 2018; 111 , 272-280.

[12] M Cano-Lamadrid, L Martinez-Zamora, L Mozafari, MC Bueso, M Kessler and F Artes-Hernandez. Response surface methodology to optimize the extraction of carotenoids from horticultural by-products - a systematic review. Foods 2023; 12(24) , 4456.

[13] AE Maccarronello, N Cardullo, AM Silva, AD Francesco, PC Costa, F Rodrigues and V Muccilli. From waste to bioactive compounds: A response surface methodology approach to extract antioxidants from Pistacia vera shells for postprandial hyperglycaemia management. Food Chemistry 2024; 443 , 138504.

[14] NASS Kamal, A Abdullah, SAISM Ghazali, NM Nor, NN Dzulkifli and S Badrudin. Response surface methodology for optimization of Citrullus lanatus rind extraction conditions, phytochemical screening and its antioxidant activities. Trends in Sciences 2023; 20(10) , 6997.

[15] R Brzezinska, M Wirkowska-Wojdyła, I Piasecka and A Gorska. Application of response surface methodology to optimize the extraction process of bioactive compounds obtained from coffee silverskin. Applied Sciences 2023; 13(9) , 5388.

[16] FJ Leyva-Jimenez, A Fernandez-Ochoa, ML Cadiz-Gurrea, J Lozano-Sanchez, R Oliver-Simancas, ME Alanon, I Castangia, A Segura-Carretero and D Arraez-Roman. Application of response surface methodologies to optimize high-added value products developments: Cosmetic formulations as an example. Antioxidants 2022; 11(8) , 1552.

[17] MWR Chy, T Ahmed, R Sarkar, MZ Islam and MR Rana. Artificial Neural Network and response surface methodology modeling-based optimization approach for the ultrasonication-assisted extraction of phenolics from mustard (BARI Sharisa-18) seed meal. Applied Food Research 2025; 5(1) , 101016.

[18] A Devi, V Dwibedi, N George and ZA Khan. Response surface optimization for investigating antioxidant potential of Camellia sinensis and Withania somnifera in synergistic manner. Proceedings of the National Academy of Sciences, India Section B: Biological Sciences 2023; 93(2) , 397-408.

[19] DD Altıner, S Yıkmış, MA Simsek, M Turkol, NT Demirok and G Celik. Impact of thermosonication treatment on parsley juice: Particle Swarm Algorithm (PSO), Multiple Linear Regression (MLR), and Response Surface Methodology (RSM). ACS Omega 2024; 9(20) , 29585-29597.

[20] M Gibson. Pharmaceutical preformulation and formulation: A practical guide from candidate drug selection to commercial dosage form. volume 199. Informa Healthcare, New York, 2016.

[21] G Steele. Pharmaceutical Quality by Design: A practical approach. John Wiley & Sons Ltd., New Jersey, USA, 2018, p. 61-95.

[22] JMP Statistical Discovery LLC, Design of experiments, Available at: https://www.jmp.com/en_ph/statistics-knowledge-portal/what-is-design-of-experiments.html, accessed December 2024.

[23] C Monton, P Kulvanich, N Chankana, W Rangsimawong, J Suksaeree, L Charoenchai and O Theanphong. Cluster analysis of fingerroot cultivated in different regions across Thailand and implementation of Quality by Design approach for R&D of fingerroot extract tablet. Food Research International 2025; 202 , 115728.

[24] N Balakrishnan, SM Yusop, IA Rahman, E Dauqan and A Abdullah. Efficacy of gamma irradiation in improving the microbial and physical quality properties of dried chillies ( Capsicum annuum L.): A review. Foods 2021; 11(1) , 91.

[25] ICH Expert Working Group, ICH Harmonised Tripartite Guideline - Validation of analytical procedures: Text and methodology Q2(R2), Available at: https://database.ich.org/sites/ default/files/ICH_Q2-R2_Document_Step2_ Guideline_2022_0324.pdf, accessed December 2024.

[26] P Sithisarn, P Rojsanga, P Sithisarn and S Kongkiatpaiboon. Antioxidant activity and antibacterial effects on clinical isolated Streptococcus suis and Staphylococcus intermedius of extracts from several parts of Cladogynos orientalis and their phytochemical screenings. Evidence-Based Complementary and Alternative Medicine 2015; 2015(1) , 908242.

[27] DC Moreira, ABTS decolorization assay - in vitro antioxidant capacity, Available at: https://www.protocols.io/view/abts-decolorization-assay-in-vitro-antioxidant-cap-14egnxk86l5d/v1, accessed December 2024.

[28] E Fernandes, SA Toste, JLFC Lima and S Reis. The metabolism of sulindac enhances its scavenging activity against reactive oxygen and nitrogen species. Free Radical Biology and Medicine 2003; 35(9) , 1008-1017.

[29] S-H Lee, SA Sancheti, MR Bafna, SS Sancheti and S-Y Seo. Acetylcholineterase inhibitory and antioxidant properties of Rhododendron yedoense var. Poukhanense bark. Journal of Medicinal Plants Research 2011; 5(2) , 248-254.

[30] B Ncube, JF Finnie and JV Staden. Quality from the field: The impact of environmental factors as quality determinants in medicinal plants. South African Journal of Botany 2012; 82 , 11-20.

[31] H Jutila, B Parisy and J Loehr. Influence of environmental and intrinsic factors on the flowering success and petal morphology of Pulsatilla patens and the hybrid Pulsatilla patens × vernalis in Finland. Plant Ecology 2024; 225 , 425-440.

[32] RR Wilcox and GA Rousselet. An updated guide to robust statistical methods in neuroscience. Current Protocols 2023; 3(3) , 719.

[33] Y Guo and Z Mao. Long-term prediction model for NOx emission based on LSTM–transformer. Electronics 2023; 12(18) , 3929.

[34] S Wu, B Wang, J Zhao, M Zhao, K Zhong and Y Guo. Virtual sample generation and ensemble learning based image source identification with small training samples. International Journal of Digital Crime and Forensics 2021; 13(3) , 34-46.

[35] Y Zhang, M Dou, P Li, Z Liang, C Wang and P Dai. Spatiotemporal variation characteristics and source identification of water pollutants in Shayinghe River basin. River Research and Applications 2021; 37(1) , 1089-1103.

[36] National Center for Biotechnology Information, PubChem Compound Summary for CID 68071, (+)-Pinocembrin, Available at: https://pubchem.ncbi.nlm.nih.gov/compound/Pinocembrin, accessed September 2025.

[37] National Center for Biotechnology Information, PubChem Compound Summary for CID 6483648, Panduratin A, Available at: https://pubchem.ncbi.nlm.nih.gov/compound/Panduratin-A, accessed September 2025.

[38] National Center for Biotechnology Information, PubChem Compound Summary for CID 73201, (-)-Pinostrobin, Available at: https://pubchem.ncbi.nlm.nih.gov/compound/Pinostrobin, accessed September 2025.

[39] NTH Trang, T Nhu Y and HNT Dung. Morphology and microanatomy description of Bong Nga Truat, or fingerroot, ( Boesenbergia rotunda (L.) Mansf) collected in Kien Giang Province. Can Tho Journal of Medicine and Pharmacy 2024; 10(7) , 93-99.

[40] B Hurgobin and MG Lewsey. Applications of cell- and tissue-specific ‘omicsto improve plant productivity. Emerging Topics in Life Sciences 2022; 6(2) , 163-173.

[41] I Gulcin and SH Alwasel. DPPH radical scavenging assay. Processes 2023; 11(8) , 2248.

[42] A Cano, AB Maestre, J Hernandez-Ruiz and MB Arnao. ABTS/TAC methodology: Main milestones and recent applications. Processes 2023; 11(1) , 185.

[43] X Li, X Ouyang, R Cai and D Chen. 3′,8″-Dimerization enhances the antioxidant capacity of flavonoids: Evidence from acacetin and isoginkgetin. Molecules 2019; 24(11) , 2039.

[44] R Chelliah, E Banan-MwineDaliri and D-H Oh. Methods in Actinobacteriology . Springer US, New York, 2022, p. 455-456.

[45] I Gulcin. Antioxidants: A comprehensive review. Archives of Toxicology 2025; 99(5) , 1893-1997.

[46] EDNS Abeyrathne, K Nam, X Huang and DU Ahn. Plant- and animal-based antioxidants’ structure, efficacy, mechanisms, and applications: A review. Antioxidants 2022; 11(5) , 1025.

[47] M Amiri, M Arab, EK Sadrabad, N Mollakhalili-Meybodi and H Fallahzadeh. Effect of gamma irradiation treatment on the antioxidant activity, phenolic compounds and flavonoid content of common buckwheat. Radiation Physics and Chemistry 2023; 212 , 111127.

[48] X Huang, H Chen, X Wang, B Lan and J Cai. Effect of irradiation treatment on the functional properties of flavonoid extracts. Applied Food Research 2023; 3(1) , 100277.

[49] SM Ahmed and AB Hassan. Validation of γ-radiation and their effect on phenolic compounds, antioxidant activity, and microbial load of fennel ( Foeniculum vulgare ) seeds and cinnamon ( Cinnamomum verum ) sticks . Food Science & Nutrition 2023; 11(4) , 1994-2001.

[50] MA Alam, HH Ya, M Yusuf, R Sivraj, OB Mamat, SM Sapuan, F Masood, B Parveez and M Sattar. Modeling, optimization and performance evaluation of TiC/graphite reinforced Al 7075 hybrid composites using response surface methodology. Materials 2021; 14(16) , 4703.

[51] Z Wang, Y Liang, W Wu, C Gao, C Xiao, Z Zhou, F Lin and W Sun. The effect of different drying temperatures on flavonoid glycosides in white tea: A targeted metabolomics, molecular docking, and simulated reaction study. Food Research International 2024; 190 , 114634.

[52] X-J Wang, Q Zhou, Y-R Wu, J Li, W Wang, Z-Y Yu, M-M Zheng, Y-B Zhou and K Liu. Regulation mechanism of phenolic hydroxyl number on self-assembly and interaction between edible dock protein and hydrophobic flavonoids. Journal of Agricultural and Food Chemistry 2023; 71(47) , 18510-18523.

[53] B Zhou, Y Zhao, X Wang, D Fan, K Cheng and M Wang. Unraveling the inhibitory effect of dihydromyricetin on heterocyclic aromatic amines formation. Journal of the Science of Food and Agriculture 2018; 98(5) , 1988-1994.

[54] H Chaaban, I Ioannou, L Chebil, M Slimane, C Gerardin, C Paris, C Charbonnel, L Chekir and M Ghoul. Effect of heat processing on thermal stability and antioxidant activity of six flavonoids. Journal of Food Processing and Preservation 2017; 41(5) , 13203.

[55] J Suksaeree, C Monton, N Chankana and L Charoenchai. Microcrystalline cellulose promotes superior direct compressed Boesenbergia rotunda (L.) Mansf. extract tablet properties to spray-dried rice starch and spray-dried lactose. Arab Journal of Basic and Applied Sciences 2023; 30(1) , 13-25.














Supplementary Material



Figure S1 Box-whisker plots showing the individual flavonoids remained in B. rotunda roots after storage at 30 °C/75% RH for 90 days, compared to their initial levels.




Figure S2 Box-whisker plots showing the individual flavonoids remained in B. rotunda rhizomes after storage at 30 °C/75% RH for 90 days, compared to their initial levels.


Figure S3 Box-whisker plots showing the individual flavonoids remained in B. rotunda roots after storage at 40 °C/75% RH for 90 days, compared to their initial levels.




Figure S4 Box-whisker plots showing the individual flavonoids remained in B. rotunda rhizomes after storage at 40 °C/75% RH for 90 days, compared to their initial levels.


Figure S5 Box-whisker plots showing the individual flavonoids remained in B. rotunda roots after storage at 30 °C/75% RH for 180 days, compared to their initial levels.




Figure S6 Box-whisker plots showing the individual flavonoids remained in B. rotunda rhizomes after storage at 30 °C/75% RH for 180 days, compared to their initial levels.



Figure S7 Box-whisker plots showing the individual flavonoids remained in B. rotunda roots after storage at 40 °C/75% RH for 180 days, compared to their initial levels.



Figure S8 Box-whisker plots showing the individual flavonoids remained in B. rotunda rhizomes after storage at 40 °C/75% RH for 180 days, compared to their initial levels.








Pinocembrin

Pinostrobin

Panduratin A

Root

Rhizome

Figure S9 Response surfaces of individual flavonoids remained in B. rotunda roots and rhizomes sourced from northern Thailand under varying storage temperatures and times, compared to their initial levels.




Pinocembrin

Pinostrobin

Panduratin A

Root

Rhizome

Figure S10 Response surfaces of individual flavonoids remained in B. rotunda roots and rhizomes sourced from southern Thailand under varying storage temperatures and times, compared to their initial levels.


Pinocembrin

Pinostrobin

Panduratin A

Root

Rhizome


Figure S11 Response surfaces of individual flavonoids remained in B. rotunda roots and rhizomes sourced from eastern Thailand under varying storage temperatures and times, compared to their initial levels.




Pinocembrin

Pinostrobin

Panduratin A

Root

Rhizome


Figure S12 Response surfaces of individual flavonoids remained in B. rotunda roots and rhizomes sourced from western Thailand under varying storage temperatures and times, compared to their initial levels.



Pinocembrin

Pinostrobin

Panduratin A

Root

Rhizome


Figure S13 Response surfaces of individual flavonoids remained in B. rotunda roots and rhizomes sourced from northeastern Thailand under varying storage temperatures and times, compared to their initial levels.




Pinocembrin

Pinostrobin

Panduratin A

Root

Rhizome


Figure S14 Response surfaces of individual flavonoids remained in B. rotunda roots and rhizomes sourced from central Thailand under varying storage temperatures and times, compared to their initial levels.