Trends Sci. 2026; 23(2): 12381
Patterns of Sexual and Spatial Morphometric Variation in Parasesarma eumolpe (De Man, 1895): Insights from A Tropical Delta Environment
Thuan Minh Trinh, Vuong Van Ly, Vi Truong Nguyen, Khang Phuc Phan,
Lam Thi Thao Vo, Ton Huu Duc Nguyen and Quang Minh Dinh *
Faculty of Biology Education, School of Education, Can Tho University, Ninh Kieu Ward, Can Tho 900000, Vietnam
( * Corresponding author’s e-mail: [email protected])
Received: 22 October 2025, Revised: 18 November 2025, Accepted: 25 November 2025, Published: 10 December 2025
Abstract
This is the first fundamental morphometric study of Parasesarma eumolpe conducted in Vietnam. The study aimed to determine and compare key morphometric characteristics of P . eumolpe collected from two mangrove forest sites in the Mekong Delta, including Can Tho and Ca Mau. A total of 203 specimens (115 from Can Tho and 88 from Ca Mau) were collected monthly from August to October 2025. Six morphometric parameters, carapace width (CWLR, CWRL), smallest and biggest manus width (MW2, MW3), pollex width (PW5), and dactyl width (DW7), were analyzed using generalized linear mixed models (GLMM) and Gamma–log regression. The results revealed significant differences in morphometric traits by sex and site ( p < 0.05), with males exhibiting larger carapace and claw dimensions than females. Geographic variation was also evident: CW and MW2 were higher in Can Tho, whereas MW3 and PW5 were greater in Ca Mau. Regression analyses showed strong positive correlations between carapace width and claw dimensions (R² > 0.60), particularly between MW2, MW3, PW5, and DW7, reflecting the integrated development of claw structures. The The Principal Component Analysis further supported these patterns by illustrating clear clustering trends by sex and sampling site. These findings provide fundamental morphometric data for taxonomy, sexual dimorphism, and ecological adaptation studies of P. eumolpe and contribute to a better understanding of morphological variation among sesarmid crabs inhabiting the Mekong Delta mangrove ecosystem.
Keywords: Carapace, Claw, Gamma–log regression, Morphometrics, Parasesarma eumolpe
Introduction
Vietnam harbors one of the world’s largest areas of mangrove forests, with the Mekong Delta accounting for approximately 84% of the country’s total mangrove coverage [1]. The Mekong Delta, located at the lower reaches of the Mekong River, represents Vietnam’s largest and most biologically diverse deltaic system. Its extensive networks of rivers, estuaries, and mangrove forests provide abundant aquatic resources and play a crucial role in maintaining ecological balance and biodiversity [2,3]. Despite occupying only about 12% of Vietnam’s land area, the region supports a remarkably high species richness, ranking second globally only to the Amazon Delta regarding faunal diversity [4] .
Among the key organisms inhabiting mangrove ecosystems, crabs of the family Sesarmidae play vital ecological roles, including bioturbation, litter decomposition, and nutrient cycling. The morphological traits of these crabs are fundamental to taxonomy, ecology, and evolutionary biology, as they reflect adaptive responses to environmental and behavioral pressures such as thermoregulation, burrowing, and mating strategies [5,6]. According to Ng et al . [7] and Shahdadi et al. [8], the family Sesarmidae, comprising 35 genera and over 250 species, represents the most diverse lineage within the suborder Thoracotremata. Taxonomically, this family has a complex and often debated classification history [9] . Based on numerous studies, the genus Sesarma was subdivided into several genera and subgenera until Serene & Soh [10] proposed a more stable taxonomic framework, which remains widely accepted today [11] . Before 2008, the genus Parasesarma was regarded as a subgenus of Sesarma ; however, it has since been elevated to full generic status [11] . According to Fratini et al. [12], Parasesarma currently includes 71 recognized species, making it the most species-rich genus within the family Sesarmidae [8]. Nevertheless, previous studies have primarily described external morphological characteristics rather than quantitative morphometric ratios, which are critical for taxonomic discrimination. For instance, Rahayu & Ng [13] reported that P. leptosoma was recognized as a distinct species due to its ambulatory leg proportions, possessing the shortest walking legs among the compared taxa [14]. The taxonomic complexity within this genus has also been emphasized by Shahdadi et al. [15], who suggested that species currently assigned to Parasesarma may represent multiple distinct evolutionary lineages. Therefore, the phylogeny and taxonomic framework of Parasesarma warrant further revision and clarification.
The genus Parasesarma [16] currently includes seven species recorded in Vietnam: P. semperi , P. eumolpe , P. continentale , P. plicatum , P. biden , P. lanchesteri and P. ungulatum [17-20] . However, many species within the genus display considerable external similarity, complicating accurate identification [16,18]. This is similar to reports of morphological similarities or overlaps within the genus Austruca (family Ocypodidae), which have led to frequent misidentification of species in field reports and taxonomic studies [21,22]. Quantitative morphometric analysis, therefore, provides a valuable approach to resolving taxonomic ambiguities and understanding intraspecific variation.
Despite its ecological and taxonomic relevance, quantitative morphometric data on P . eumolpe from the Mekong Delta remain scarce. This study aims to analyze key morphometric traits and evaluate sexual dimorphism and geographical variation in P. eumolpe populations from two mangrove forest sites in southern Vietnam, thereby providing baseline data for future research on taxonomy, sexual dimorphism, and ecological adaptation in sesarmid crabs.
Materials and methods
Study area
Specimens of P . eumolpe were collected from two mangrove forest sites in the Mekong Delta, southern Vietnam: Tran De, Can Tho (9°26′21″ N, 106°10′52″ E) and Dam Doi, Ca Mau (8°58′27″ N, 105°12′26″ E) ( Figure 1 ) . Differences in pH and salinity between the two sites were also recorded using a Model 950.0100 PPT-ATC (salinity, %) and a HI98127 pH meter. At Tran De, Can Tho, the mean pH was 7.97 ± 0.12 SE, while at Dam Doi, Ca Mau, it was 7.07 ± 0.15 SE. Similarly, the salinity levels at Tran De, Can Tho and Dam Doi, Ca Mau were 21.00 ± 0.58% SE and 31.00 ± 1.15% SE, respectively. During the field sampling, the substrate was observed to differ between sites; sediments in Ca Mau were harder and had a higher clay content compared to those in Can Tho. However, sediment composition was not analyzed in this study. These sites represent typical intertidal mudflats dominated by Rhizophora apiculata and Avicennia alba vegetation. Sampling was conducted once per month from August to October 2025, with approximately 30 individuals collected per site during each sampling event.
Figure 1 Map of sampling sites (1: Dam Doi - Ca Mau, 2: Tran De - Can Tho; modified from Dinh [23]).
Sample collection and preservation
Crabs were captured manually during low tide on the exposed mudflats. A total of 203 individuals were collected, comprising 115 from Can Tho and 88 from Ca Mau. Species identification followed the diagnostic features described by Shahdadi et al. [24], including the morphology of the dactylus tuberculation, carapace color and shape, and the configuration of clawed teeth ( Figure 2 ) . All specimens were preserved in 70% ethanol and transported to the Animal Laboratory, Faculty of Biology Education, Can Tho University for morphometric analysis.
Figure 2 Parasesarma eumolpe (De Man, 1895) A: Dorsal surface of dactyl; B: Row of tubercles on dactyl; C: Shape and coloration of the carapace (dorsal view); D: Frontal view (carapace); E: Claw (“tooth” region).
Morphometric measurements
Morphometric traits were measured following Dao et al. [25]. Six linear dimensions were recorded using a digital caliper (Model MOORMW-110-15DIP; precision = 0.01 mm ( Table 1 ) : Carapace width (CW), manus width (MW), pollex width (PW), dactyl width (DW). Measurement landmarks are illustrated in Figure 3 . All dimensions were recorded from both left and right claws where applicable.
Figure 3 Some morphological measurement parameters of P. eumolpe CWLR: Carapace width (left to right); CWRL: Carapace width (right to left); MW2: Manus width - smallest; MW3: Manus width - biggest; PW5: Pollex width; DW7: Dactyl width.
Table 1 Symbols of selected morphological measurement parameters of P. eumolpe (unit:mm).
|
Symbol |
Definition |
|
CWRL |
Carapace width from right to left |
|
CWLR |
Carapace width from left to right |
|
MW2 |
Manus width _smallest |
|
MW3 |
Manus width_biggest |
|
PW5 |
Pollex width |
|
DW7 |
Dactyl width |
Statistical analysis
Before analysis, data were examined for normality and outliers. Carapace width (CW) was modeled using a Gaussian identity link generalized linear model (GLM), while other morphometric variables were modeled using a Gamma log-link GLM with standardized CW as a covariate. Two fixed factors (sex and site) were included along with their interaction (Sex×Site). Pairwise comparisons were tested using post-hoc Z-tests with Bonferroni correction, and parameter significance was assessed using Wald χ² tests. Model performance was evaluated using Akaike Information Criterion (AIC) and R² statistics. In addition to the univariate models, a Principal Component Analysis (PCA) was performed to visualize multivariate patterns in the morphometric dataset. All analyses were performed using Jamovi v2.6.44. Statistical significance was set at p < 0.05 [26].
Results and discussion
Variation in morphometric traits by sex and locality
A total of 203 individuals of P . eumolpe were analyzed, including 88 specimens from Ca Mau (55 males and 33 females) and 115 from Can Tho (60 males and 55 females ). The summary of morphometric measurements is presented in Table 2 . Mean carapace widths (CWLR, CWRL) ranged from 20.02 - 20.08 mm, while claw dimensions varied widely, with MW2 (minimum manus width) and MW3 (maximum manus width) averaging 5.29 and 7.03 mm, respectively. The pollex (PW5) and dactyl (DW7) widths averaged 2.92 and 2.38 mm.
Table 2 Results of morphological parameter analysis of P. eumolpe (N = 203, unit:mm).
|
Morphological parameter |
Mean (EMM) |
SE |
Median |
Min |
Max |
|
CWLR |
20.02 |
0.20 |
20.06 |
13.87 |
28.77 |
|
CWRL |
20.08 |
0.21 |
20.06 |
11.38 |
29.74 |
|
MW2 |
5.29 |
0.12 |
5.18 |
2.14 |
10.95 |
|
MW3 |
7.03 |
0.13 |
6.66 |
3.65 |
12.64 |
|
PW5 |
2.92 |
0.06 |
2.80 |
1.22 |
5.49 |
|
DW7 |
2.38 |
0.05 |
2.23 |
1.03 |
5.58 |
Statistical analyses revealed significant differences in morphometric traits between sexes and sampling sites ( p < 0.05; Figure 4 ). Males exhibited consistently larger carapace and claw dimensions than females, confirming a clear pattern of sexual dimorphism in P. eumolpe . Most morphometric traits differed significantly between sites, except for dactyl width (DW7), which showed no significant variation between left and right claws ( p = 0.18 and 0.19, respectively).
Specimens from Can Tho had larger carapace width (CW) and MW2 values than those from Ca Mau, whereas MW3 and PW5 were higher in Ca Mau individuals. The ratio MW2/MW3 indicated stronger manus development in crabs from Ca Mau, suggesting possible habitat-related variation in claw structure. Specifically, MW2 and MW3 averaged 5.35 ± 0.10 SE mm and 6.33 ± 0.10 SE mm in Can Tho, compared with 4.64 ± 0.10 SE mm and 7.28 ± 0.13 SE mm in Ca Mau. The degree of development in carapace and cheliped width may be potentially influenced by variation in sediment hardness across the study sites. This pattern appears to be broadly consistent with the recorded differences in substrate compactness and may suggest a behavioral response related to burrowing. In particular, chelipeds tend to show more robust development in areas with harder sediments, where greater mechanical effort is likely required for excavation. Conversely, carapace development may be somewhat reduced in such environments, possibly due to spatial constraints that limit the construction of larger burrows, which could, in turn, facilitate more efficient movement and rapid retreat when the animals encounter threats.
Figure 4 Estimated marginal means (EMM ± SE) of morphometric measurements by sex (A) and site (B), as estimated from the GLMM model, in which the corresponding factor was treated as a fixed effect and Month was treated as a random intercept. CWLR: Carapace width (left to right); CWRL: Carapace width (right to left); MW2: Manus width - smallest; MW3: Manus width - biggest; PW5: Pollex width; DW7: Dactyl width. Letters a and b indicate statistically significant differences. The suffixes -L and -R denote the left and right claw, respectively.
Effects of sex and locality on carapace width
Generalized Linear Mixed Model (GLMM) results (Table 3) showed that carapace width was significantly influenced by both sex and locality, but not by their interaction. Male carapace widths were greater than female widths (Sex: p < 0.05), while specimens from Ca Mau were significantly smaller than those from Can Tho ( p < 0.001). The absence of a significant interaction (Sex×Site, p > 0.05) suggests that the degree of sexual dimorphism in carapace width remains consistent between sites. These findings suggest that environmental factors, such as sediment type or salinity, may influence overall body size, while sex-specific dimorphism remains stable across different habitats.
Table 3 Results of the GLMM model for factors affecting carapace width by sex, site, and the interaction between Sex×Site.
|
Dependent variable |
R² |
χ² (df=3) |
p |
Factor |
χ² (df=1) |
p |
β (SE) |
95% CI |
|
CWLR |
0.29 |
473.43 |
< 0.001 |
Sex |
5.93 |
0.02 |
0.84 (0.35) |
(0.16, 1.52) |
|
|
|
|
|
Site |
75.57 |
< 0.001 |
− 3.00 (0.35) |
(−3.68, −2.33) |
|
|
|
|
|
Sex × Site |
0.39 |
0.53 |
− 0.43 (0.69) |
(−1.79, 0.92) |
|
CWRL |
0.31 |
562.44 |
< 0.001 |
Sex |
4.69 |
0.03 |
0.78 (0.36) |
(0.07, 1.49) |
|
|
|
|
|
Site |
82.93 |
< 0.001 |
− 3.30 (0.36) |
(−4.01, −2.59) |
|
|
|
|
|
Sex × Site |
0.38 |
0.54 |
− 0.44 (0.73) |
(−1.86, 0.98) |
Note: CWLR: Carapace width from left to right; CWRL: Carapace width from right to left; R²: Coefficient of determination; χ²: Chi-square test value with degrees of freedom (df); p : Level of statistical significance; SE: Standard error; 95% CI: 95% confidence interval.
Effects of sex, locality, and body size on manus width
As shown in Table 4 , both MW2 and MW3 were significantly affected by sex, locality, and carapace width (CW). Sex had a strong positive effect ( p < 0.001), indicating that males possess wider manus than females. Locality also significantly influenced ( p < 0.001), reflecting geographic variation in claw morphology. Carapace width was positively correlated with both MW2 and MW3 ( p < 0.001), confirming that larger crabs tend to have proportionally larger claws. The interaction term (Sex×Site) was not significant ( p > 0.05), suggesting that the sexual dimorphism in manus width is consistent across both study sites.
Table 4 Results of the GLMM model for factors affecting the minimum (MW2) and maximum (MW3) manus width by sex, site, and carapace width (CW).
|
Dependent variable |
R² |
AIC |
Factor |
χ² (df=1) |
p |
β (SE) |
95% CI |
|
MW2 |
0.69 |
526.83 |
Sex |
117.16 |
< 0.001 |
0.28 (0.03) |
(0.23, 0.33) |
|
|
|
|
Site |
24.25 |
< 0.001 |
− 0.14 (0.03) |
(−0.20, −0.09) |
|
|
|
|
CW |
131.18 |
< 0.001 |
0.06 (0.01) |
(0.05, 0.07) |
|
|
|
|
Sex × Site |
1.64 |
0.20 |
0.06 (0.05) |
(−0.03, 0.16) |
|
MW3 |
0.69 |
587.81 |
Sex |
173.93 |
< 0.001 |
0.28 (0.02) |
(0.24, 0.33) |
|
|
|
|
Site |
32.95 |
< 0.001 |
0.14 (0.02) |
(0.09, 0.19) |
|
|
|
|
CW |
198.06 |
< 0.001 |
0.01 (0.00) |
(0.05, 0.07) |
|
|
|
|
Sex × Site |
2.58 |
0.11 |
0.07 (0.04) |
(−0.02, 0.15) |
Note: MW2 and MW3 represent the smallest and biggest manus widths; R² is the coefficient of determination; AIC (Akaike Information Criterion) is the Akaike information criterion; χ² is the Chi-square test value with degrees of freedom (df); p is the level of statistical significance; β is the estimated coefficient with standard error (SE); 95% CI is the 95% confidence interval; CW is carapace width.
These results highlight that manus width increases allometrically with carapace width, consistent with sexual selection favoring stronger claws in males, as previously documented in other sesarmid species such as P. longicristatum [27].
Effects of sex and locality on pollex and dactyl width
GLMM results for pollex width (PW5) and dactyl width (DW7) are presented in Table 5 . Both traits were significantly influenced by sex and carapace width ( p < 0.001). Males had wider pollex and dactyl dimensions than females, supporting the presence of sexual dimorphism in claw morphology. Carapace width had a strong positive effect ( p < 0.001), emphasizing the relationship between overall body size and claw dimensions.
Table 5 Results of the GLMM model for factors affecting pollex width (PW5) and dactyl width (DW7) of the claw by sex, site, and carapace width (CW).
|
Dependent variable |
R² |
AIC |
Factor |
χ²(df=1) |
p |
β (SE) |
95%CI |
|
PW5 |
0.64 |
278.37 |
Sex |
154.79 |
< 0.001 |
0.30 (0.02) |
(0.26, 0.35) |
|
|
|
|
Site |
6.53 |
0.01 |
0.07 (0.03) |
(0.02, 0 . 13 ) |
|
|
|
|
CW |
136.50 |
< 0.001 |
0.06 (0.01) |
(0.05, 0.07) |
|
|
|
|
Sex × Site |
3.46 |
0.06 |
0.09 (0.05) |
(−0.01, 0.18) |
|
DW7 |
0.64 |
217.62 |
Sex |
65.01 |
< 0.001 |
0.23 (0.03) |
(0.18, 0.29) |
|
|
|
|
Site |
1.76 |
0.19 |
− 0.04 (0.03) |
(−0.11, 0.02) |
|
|
|
|
CW |
129.77 |
< 0.001 |
0.07 (0.01) |
(0.05, 0.08) |
|
|
|
|
Sex × Site |
4.93 |
0.03 |
0.13 (0.06) |
(0.02, 0.24) |
Note: PW5 and DW7 represent the pollex width and dactyl width of the claw, respectively; R² is the coefficient of determination; AIC (Akaike Information Criterion) is the Akaike information criterion; χ² is the Chi-square test value with degrees of freedom (df); p is the level of statistical significance; β is the estimated coefficient with standard error (SE); 95% CI is the 95% confidence interval; CW is carapace width.
Locality moderately affected PW5 ( p = 0.01) but not DW7 ( p = 0.19), indicating that pollex width varied slightly among populations, while dactyl width remained relatively stable. The interaction GT×Site was significant for DW7 ( p = 0.03) but not PW5 ( p = 0.06), suggesting that dactyl dimorphism between sexes may vary with habitat conditions. This pattern may reflect the environmental modulation of claw development and may be linked to sediment hardness or mating competition intensity.
Sexual dimorphism in P. eumolpe parallels patterns observed in P. longicristatum , where males also exhibit larger claws relative to body size [27]. However, unlike P. longicristatum , which showed no significant sexual difference in carapace width, P. eumolpe exhibited dimorphism in both body and claw dimensions. Within Sesarmidae, species such as Aratus pisonii and Armases rubripes display sexual dimorphism in carapace shape and size. A. pisonii expresses dimorphism before molting, whereas A. rubripes shows it after molting [28]. These comparisons suggest that the timing of molt and maturation may influence the expression of dimorphism in P. eumolpe , warranting further investigation into growth and reproductive stages in this species.
Correlation among morphometric traits
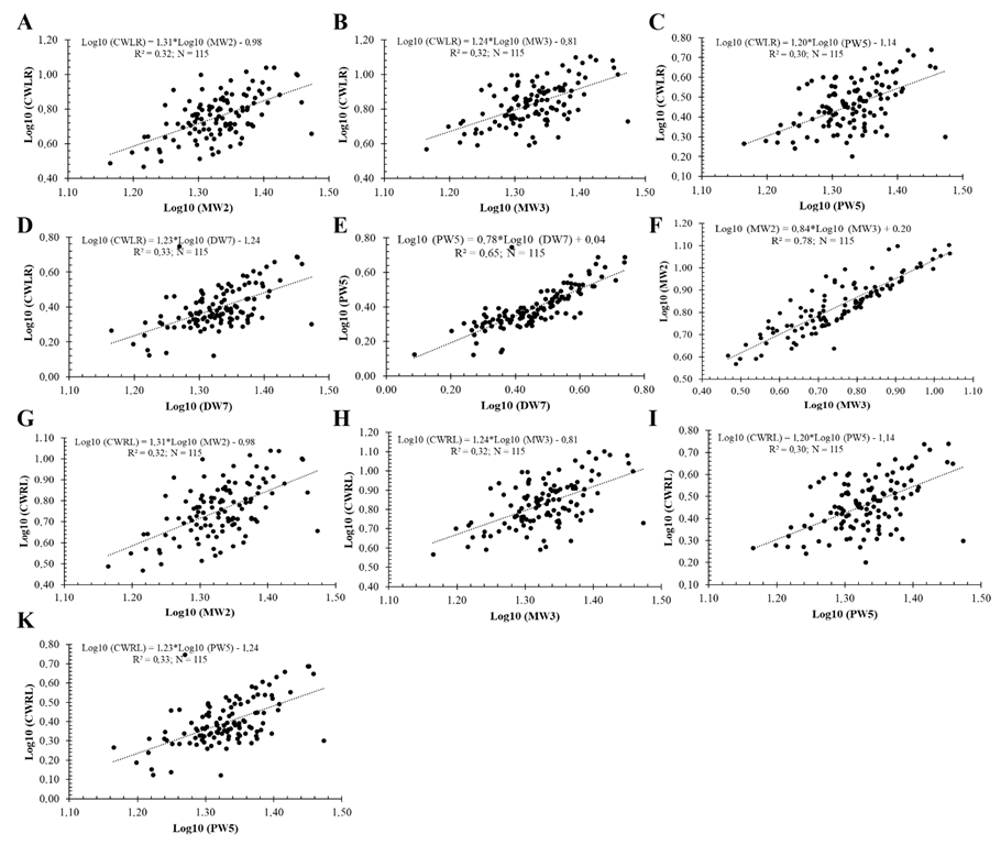
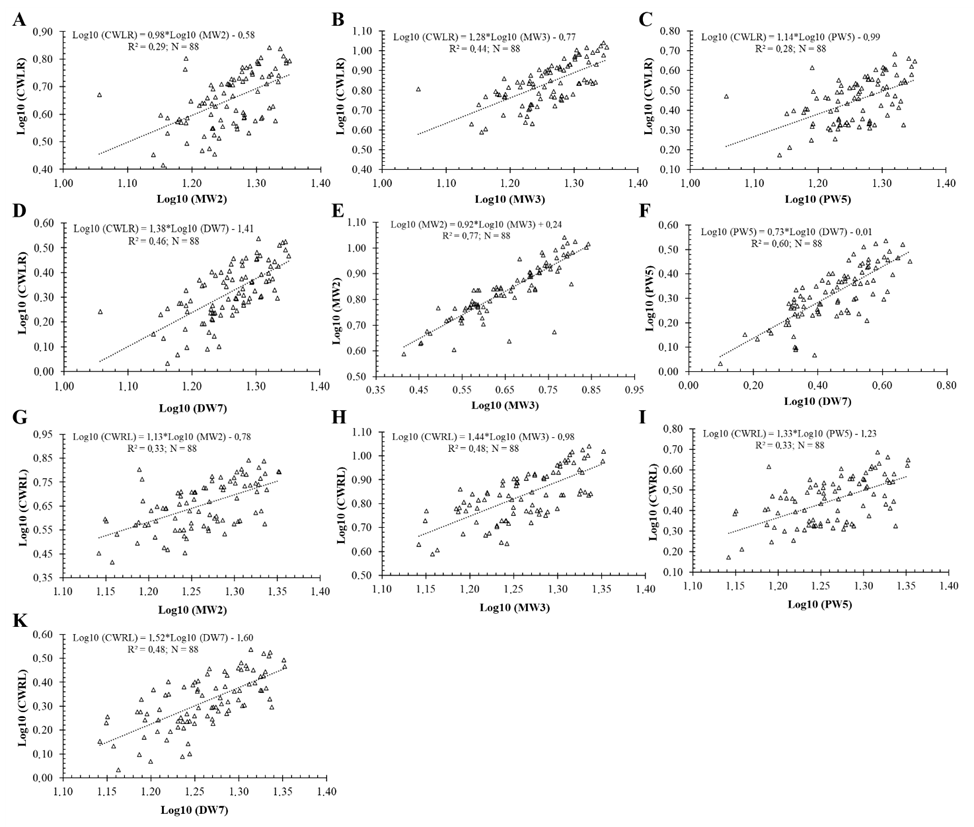
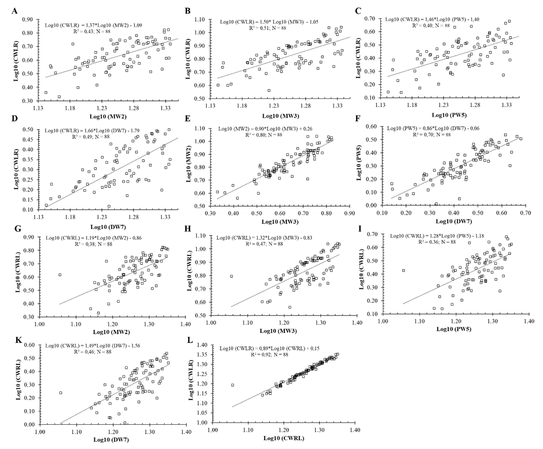
Regression analyses revealed strong positive correlations between carapace width (CWLR, CWRL) and claw dimensions (MW2, MW3, PW5, DW7) in P. eumolpe from both localities ( Figures 5 - 8 ) .
Figure 5 Allometric relationships (log scale) between carapace width and other morphological dimensions of the left claw of Parasesarma eumolpe from Ca Mau (N = 88; A: Relationship between CWLR and MW2; B: CWLR and MW3; C: CWLR and PW5; D: CWRL and DW7; E: CWRL and MW3; F: PW5 and DW7; G: CWRL and MW2; H: CWRL and MW3; I: CWRL and PW5; K: CWRL and DW7; and L: CWLR and CWRL; Gamma-log regression line ± 95% CI).
At Ca Mau (N = 88), high R² values, particularly between CWLR and MW3, PW5, and DW7, indicated a tight integration between body size and claw structure. Correlations among claw components were also high (R² = 0.60 - 0.80), particularly between MW2 and MW3, and between PW5 and DW7, demonstrating coordinated growth among claw parts. Interestingly, left claws exhibited slightly stronger correlations with carapace width than right claws, suggesting possible lateralization in claw function.
Figure 6 Allometric relationships (log scale) between carapace width and other morphological dimensions of the right claw of Parasesarma eumolpe from Ca Mau (N = 88; A: Relationship between CWLR and MW2; B: CWLR and MW3; C: CWLR and PW5; D: CWLR and DW7; E: MW2 and MW3; F: PW5 and DW7; G: CWRL and MW2; H: CWRL and MW3; I: CWRL and PW5; and K: CWRL and DW7; Gamma-log regression line ± 95% CI).
Similar positive correlations were found at Can Tho (N = 115), though with lower coefficients (R² = 0.30 - 0.39). Relationships among claw components (MW2-MW3 and PW5-DW7) remained strong (R² > 0.60), but correlations between claw and carapace size were more stable yet weaker than those in Ca Mau. This may indicate environmental influences, such as hydrodynamics, substrate type, or prey availability, affecting allometric growth differently between sites. Overall, both populations exhibited consistent allometric relationships between body and claw dimensions, but variation in correlation strength suggests localized environmental modulation of morphological integration. The strong allometric relationships among morphometric traits indicate that claw growth in P. eumolpe is closely linked to overall body size, a pattern consistent with adaptive development under ecological and sexual selection pressures. The larger and more robust claw in males likely confers advantages in mate competition, territorial defense, and burrow excavation—key behaviors for mangrove-dwelling sesarmid crabs [27,29] .
Figure 7 Allometric relationships (log scale) between carapace width and other morphological dimensions of the left claw of Parasesarma eumolpe from Can Tho (N = 115; A: Relationship between CWLR and MW2; B: CWLR and MW3; C: CWLR and PW5; D: CWLR and DW7; E: MW2 and MW3; F: PW5 and DW7; G: CWRL and MW2; H: CWRL and MW3; I: CWRL and PW5; and K: CWRL and DW7; Gamma-log regression line ± 95% CI).
However, the relatively lower correlation coefficients between carapace and claw sizes (R² = 0.30 - 0.48 in some cases) suggest that environmental heterogeneity may constrain or modulate morphological growth. Differences between the sites, particularly in manus and pollex dimensions, may reflect adaptation to varying sediment textures or habitat stability. Compared to other sesarmid crabs such as P. longicristatum , A. pisonii , and A. rubripes , P. eumolpe exhibits a broader range of morphometric plasticity [29] . This plasticity may represent an adaptive advantage in fluctuating mangrove environments, where competition and resource availability vary seasonally. Future studies integrating molecular data and ontogenetic analyses are recommended to clarify the developmental and genetic bases of these morphological variations [27] .
Figure 8 Allometric relationships (log scale) between carapace width and other morphological dimensions of the right claw of Parasesarma eumolpe from Can Tho (N = 115; A: Relationship between CWLR and MW2; B: CWLR and MW3; C: CWLR and PW5; D: CWLR and DW7; E: PW5 and DW7; F: MW2 and MW3; G: CWRL and MW2; H: CWRL and MW3; I: CWRL and PW5; and K: CWRL and PW5; Gamma-log regression line ± 95% CI).
The PCA indicated noticeable morphological differentiation by sex and sampling site. In Figure 9(A) , male and female individuals formed two partially overlapping clusters, with a discernible tendency to separate along Dim1, which explained 76% of the total variation. The variables contributing most strongly to Dim1 were CWLR, CWRL, and several cheliped measurements (MW2, MW3, PW5, DW7), suggesting that variation in carapace and cheliped dimensions is the primary factor associated with sex-related differences. Male individuals were distributed more toward the positive end of Dim1, corresponding to larger carapace and cheliped measurements, whereas females tended to cluster in the negative Dim1 region. In Figure 9 ( B ) , differences between sampling sites were also observable, although the separation was less distinct than that observed between sexes. Specimens from Can Tho generally shifted toward positive Dim1 values, aligning with higher CWLR and CWRL scores, while individuals from Ca Mau tended to occupy the negative Dim1 range, where cheliped-related traits (e.g., MW3, PW5) contributed more strongly. The notable contributions of both carapace and cheliped variables to the principal components suggest a coordinated pattern of morphological variation among traits. Although some overlap persisted between groups in both analyses, indicating continuous morphological variation, the overall clustering tendencies were consistent with patterns detected by the GLMM results, which identified statistically significant differences across sex and site.
Figure 9 Principal Component Analysis (PCA) of morphometric data by sex and sampling site ( A : PCA biplot showing the distribution of male (M) and female (F) individuals based on morphometric variables ; B : PCA biplot showing the distribution of specimens from Can Tho ( ( CT) and Ca Mau (CM) ).
Conclusions
This study demonstrated apparent morphometric variation and sexual dimorphism in P . eumolpe across two mangrove forest sites in the Mekong Delta. Males exhibited larger overall body and claw dimensions than females, reflecting pronounced sexual dimorphism within the species. Environmental influences were evident, with individuals from Ca Mau showing greater manus and pollex widths, whereas those from Can Tho had wider carapaces. The strong positive correlations between carapace width and claw components indicate coordinated allometric growth and suggest functional integration between body size and claw development, likely associated with mating behavior, competition, and ecological adaptation. Multivariate patterns revealed through PCA further supported these trends, showing consistent clustering by sex and sampling site. The present findings provide baseline quantitative data for species identification and comparative taxonomy within the genus Parasesarma . They also contribute to understanding the functional morphology and ecological adaptation of sesarmid crabs inhabiting tropical mangrove ecosystems. Future studies incorporating molecular, developmental, and environmental approaches are recommended to elucidate the genetic basis and adaptive mechanisms underlying sexual dimorphism and morphological plasticity in P. eumolpe and related sesarmid species in Vietnam.
Acknowledgements
This study is funded by the Can Tho University, Code: TSV2025-206.
Declaration of Generative AI in Scientific Writing
The authors declare that no generative AI or AI-assisted tools were used in the preparation, writing, editing, or analysis of this manuscript. All contents, including text, data interpretation, and conclusions, were produced entirely by the authors through their own expertise and critical evaluation.
CRediT Author Statement
Thuan Minh Trinh: Conceptualization, Methodology, Investigation, Writing - Original Draft, Writing - Review & Editing, Project administration; Vuong Van Ly: Conceptualization, Methodology, Formal analysis, Investigation, Writing - Original Draft, Writing - Review & Editing; Vi Truong Nguyen: Methodology, Investigation, Writing - Original Draft, Writing - Review & Editing; Khang Phuc Phan: Methodology, Investigation, Writing - Original Draft, Writing - Review & Editing; Lam Thi Thao Vo: Methodology, Investigation, Writing - Original Draft, Writing - Review & Editing; Ton Huu Duc Nguyen: Conceptualization, Writing - Original Draft, Writing - Review & Editing; Quang Minh Dinh: Conceptualization, Writing - Original Draft, Writing - Review & Editing.
References
[1] PH Tinh, RA MacKenzie, TD Hung, TV Vinh, HT Ha, MH Lam, NTH Hanh, NX Tung, PM Hai and BT Huyen. Mangrove restoration in Vietnamese Mekong Delta during 2015-2020: Achievements and challenges. Frontiers in Marine Science 2022; 9 , 1043943
[2] CT Da, LT Phong, VD Thanh, TX Long, TT Dinh, NVX Phuong and M Landos. From Pristine to Polluted: How Chemicals and Pollutants Drive Fishery Declines and Ecosystem Collapse Case Study: Mekong River Vietnam . International Pollutants Elimination Network, Sweden, 2024.
[3] DT Do, HQ Nguyen and XS Do. Sustainable development in Mekong Delta, Vietnam: Designing resilient cities based on landscape ecological principles. Journal of Asian Architecture and Building Engineering 2025; 24(4) , 2948-2965.
[4] IC Campbell. Biodiversity of the Mekong delta . Springer Environmental Science and Engineering. Springer Nature, New York, 2012, p. 293-313.
[5] MZ Darnell and KM Darnell. Geographic variation in thermal tolerance and morphology in a fiddler crab sister-species pair. Marine Biology 2018; 165(2) , 26.
[6] BO Swanson, MN George, SP Anderson and JH Christy. Evolutionary variation in the mechanics of fiddler crab claws. BMC Evolutionary Biology 2013; 13 , 137.
[7] PKL Ng, HT Shih and S Cannicci. A new genus for Sesarma (Holometopus) tangi Rathbun, 1931 (Decapoda: Brachyura: Sesarmidae) from mangrove forests, with notes on its ecology and conservation. Journal of Crustacean Biology 2020; 40(1) , 89-96.
[8] A Shahdadi, S Fratini and CD Schubart. Taxonomic reassessment of Parasesarma (Crustacea: Brachyura: Decapoda: Sesarmidae) based on genetic and morphological comparisons, with the description of a new genus. Zoological Journal of the Linnean Society 2020; 190(4) , 1123-1158.
[9] G Guerao, K Anger, UWE Nettelmann and CD Schubart. Complete larval and early juvenile development of the mangrove crab Perisesarma fasciatum (Crustacea: Brachyura: Sesarmidae) from Singapore, with a larval comparison of Parasesarma and Perisesarma . Journal of Plankton Research 2004; 26(12) , 1389-1408.
[10] R Serène and C Soh. New Indo-Pacific genera allied to Sesarma Say 1817 (Brachyura, Decapoda, Crustacea). Treubia 1970; 27(4) , 387-416.
[11] PKL Ng, D Guinot and P Davie. Systema Brachyurorum: Part I. An annotated checklist of extant brachyuran crabs of the world. The Raffles Bulletin of Zoology 2008; 17(S17) , 1-286.
[12] S Fratini, S Cannicci, F Porri and G Innocenti. Revision of the Parasesarma guttatum species complex reveals a new pseudocryptic species in south-east African mangroves. Invertebrate Systematics 2019; 33(1) , 208-224.
[13] DL Rahayu and PKL NG. Two new species of Parasesarma De Man, 1895, from Southeast Asia (Crustacea: Decapoda: Brachyura: Sesarmidae). Zootaxa 2009; 1980(1) , 29-40.
[14] JJ Li, DL Rahayu and PKL Ng. Identity of the tree-spider crab, Parasesarma leptosoma (Hilgendorf, 1869 (Decapoda: Brachyura: Sesarmidae), with descriptions of seven new species from the Western Pacific. Zootaxa 2018; 4482(3) , 451-490.
[15] A Shahdadi, P Davie and CD Schubart. Perisesarma tuerkayi, a new species of mangrove crab from Vietnam (Decapoda, Brachyura, Sesarmidae), with an assessment of its phylogenetic relationships. Crustaceana 2017; 90(7-10) , 1155-1175.
[16] JD Man. Bericht über die von Herrn Schiffscapitän Storm zu Atjeh, an den westlichen Küsten von Malakka, Borneo und Celebes sowie in der Java-See gesammelten Decapoden und Stomatopoden. The Biodiversity Heritage Library 1895; 9 , 75-218.
[17] K Wada. Brachyuran species recorded from the coastal region of Vietnam in 1995 - 2007. Cancer 2019; 28 , 138-143.
[18] HT Shih, JW Hsu and JJ Li. Multigene phylogenies of the estuarine sesarmid Parasesarma bidens species complex (Decapoda: Brachyura: Sesarmidae), with description of three new species. Zoological Studies 2023; 62 , 34.
[19] TA Nguyen, CL Vu and PH Nguyen. Investigation of leaf litter consumption and the occurrence of the crab Parasesarma plicatum (Latreille, 1803) in different habitats of the Can Gio mangrove forest. The Journal of Agriculture and Development 2024; 23(1) , 51-63.
[20] V Le, NTM Huong, PD Dang, DMN Tran and Son Dang. Species diversity and distribution of brachyuran crabs(Crustacea: Decapoda: Brachyura) in the mangrove forest area in Cu Lao Dung district, Soc Trang province. Natural Sciences (Section B), Vietnam Journal of Science and Technology 2020; 62(6) , 13-18.
[21] HT Shih and J Poupin. A new fiddler crab of Austruca Bott, 1973, closely related to A. perplexa (H. Milne Edwards, 1852) (Crustacea: Brachyura: Ocypodidae), from the South Pacific Islands. Zoological Studies 2020; 59 , 26.
[22] Y Fukui, K Wada and CH Wang. Ocypodidae, Mictyridae and Grapsidae (Crustacea: Brachyura) from some coasts of Taiwan. Semantic Scholar 1989; 42(1) , 225-238.
[23] QM Dinh. Aspects of reproductive biology of the red goby Trypauchen vagina (Gobiidae) from the Mekong Delta. Journal of Applied Ichthyology 2018; 34(1) , 103-110.
[24] A Shahdadi, N Peter and CD Schubart. Morphological and phylogenetic evidence for a new species of Parasesarma De Man, 1895 (Crustacea: Decapoda: Brachyura: Sesarmidae) from the Malay Peninsula, previously referred to as Parasesarma indiarum (Tweedie, 1940). The Raffles Bulletin of Zoology 2018; 66 , 739-762.
[25] DV Tung, TN Anh and DM Quang. Variations in some morphological indicators of Tubuca rhizophorae regarding sex and site at Bac Lieu and Ca Mau. VNU Journal of Science: Natural Sciences and Technology 2024; 40(3) , 107-115.
[26] The Jamovi Project, Available at: https://www.jamovi.org, accessed July 2024.
[27] P Vermeiren, C Lennard and C Trave. Habitat, sexual and allometric influences on morphological traits of intertidal crabs. Estuaries and Coasts 2021; 44 , 1344-1362.
[28] MZ Marochi, M Costa, RD Leite, IDCD Cruz and S Masunari. To grow or to reproduce? Sexual dimorphism and ontogenetic allometry in two Sesarmidae species (Crustacea: Brachyura). Journal of the Marine Biological Association of the UK 2018; 99(2) , 473-486.
[29] RA Pescinelli, TM Davanso and RCD Costa. Relative growth and morphological sexual maturity of the mangrove crab Aratus pisonii (H. Milne Edwards, 1837) (Decapoda, Brachyura, Sesarmidae) on the southern coast of the state of São Paulo, Brazil. Invertebrate Reproduction & Development 2015; 59(2) , 55-60.