Start Bootstrap Logo

Trends Sci. 2026; 23(3): 11535


Physiological Activity Among Cocoa Plants Derived from Orthotropic and Plagiotropic Cuttings, Top Grafting, and Hybrid Seed in Drought


Teguh Iman Santoso1,2, Endang Sulistyaningsih1,*,

Eka Tarwaca Susila Putra1 and Agung Wahyu Susilo3


1Department of Agronomy, Faculty of Agriculture, Universitas Gadjah Mada, Yogyakarta, Indonesia

2Laboratory of Agronomy, Indonesian Coffee and Cocoa Research Institute, Jember, Indonesia

3Laboratory of Plant Breeding, Indonesian Coffee and Cocoa Research Institute, Jember, Indonesia


(*Corresponding author’s e-mail: [email protected])


Received: 8 August 2025, Revised: 12 September 2025, Accepted: 1 October 2025, Published: 10 December 2025


Abstract

Drought is one of the major limiting factors for the growth and development of cocoa. This research aimed to investigate the physiological responses of cocoa plants through novel vegetative propagation methods, namely orthotropic cuttings (OC) and plagiotropic cuttings (PC) under drought stress conditions. These were compared to established propagation methods, including orthotropic grafting (OG), plagiotropic grafting (PG), and hybrid seeds (HS). A complete randomized block design with 2 factors was used in this study, soil water status consisting of well watered (WW) and drought stress (DS), and the propagation method (OC, PC, OG, PG and HS). DS was applied using the fraction of transpirable soil water method. Relative water content, photosynthetic activity, reactive oxygen species, and antioxidant activity were evaluated. The results showed that cocoa plants derived from different propagation methods had varying drought responses. The OC exhibited moderate tolerance to drought, comparable to PG and OG, whereas PC showed the lowest tolerance. Moreover, HS exhibited high tolerance to drought. The OC showed better drought adaptation capability compared to PC, as evidenced by its ability to maintain relative water content, chlorophyll, stomatal conductance and transpiration rate under drought. The OC also exhibited a lower risk of cell damage than others due to a smaller increase in superoxide free radicals and a significant increase in antioxidant activity under drought. These findings indicate that, given its moderate drought tolerance, OC can be recommended as suitable planting material for cacao cultivation in distinctly dry climate regions.


Keywords: Adaptation, Drought, Orthotropic cuttings, Plagiotropic cuttings, Rewatering


Introduction

Cacao has been reported to be highly sensitive to drought, with its production significantly affected by climate change [1,2]. Drought has been identified as a major abiotic constraint that reduces stomatal conductance, photosynthetic rate, flowering [3], yield, and cacao bean weight [2,4]. Seeds and grafting remain the most popular propagation methods for cocoa [5]. Drought mitigation has been linked to the use of grafted seedlings, as certain clones have been reported to exhibit significant tolerance to drought stress [6,7]. Seed-origin cocoa plants accounted for approximately 65% of plantings in Indonesia, while grafted plants represented 23%, and side-grafted plants comprised 12% [8]. The generative propagation method using seeds is still preferred, despite its potential to reduce cocoa plant yields due to segregation [9]. Seed-derived seedlings are easily produced by farmers [10]. Conversely, vegetative propagation, such as grafting, is recommended to ensure optimal cocoa plant productivity. However, the limited availability of scion gardens and the lack of grafting skills among many farmers restrict the wider use of grafted seedlings [5].

Currently, grafting using superior clones with plagiotropic scions is widely used because they enter the reproductive phase more quickly [10]. This approach may help address the decline in cocoa production resulting from segregation and production variability within a single population [8]. However, top grafting using plagiotropic or orthotropic scions has several limitations. These include limited availability of rootstock and scion budwood, and incompatibility issues [5,11]. Plagiotropic or orthotropic scions may be incompatible with the rootstock, inducing plant-growth barrier conditions. Graft success depends on the physiological compatibility between rootstock and scion, as well as the proper alignment of tissues at the graft union [12]. The low grafting success observed in some clones implies a relatively high mortality rate among cocoa seedlings [11]. Some researchers have released compatible and incompatible rootstock-scion combinations to assist farmers in performing grafting [10]. Delayed incompatibility between scions and rootstocks has also been reported to occur after several years of being planted in the field [12]. Therefore, exploring alternative propagation methods for cocoa planting material is necessary to overcome these current limitations.

The use of cuttings (OC and PC) is a prospective alternative to vegetative propagation. The OC could produce true-to-type cocoa plants both architecturally and genetically [5]. The development of a new budwood source garden for orthotropic branch material significantly increases the availability of orthotropic cuttings for propagation [5]. Based on the above situation, the source of orthotropic material has become sufficiently abundant for utilization. The utilization of OC as planting material for the cocoa clone CCN 51 has been documented in Brazil and Ecuador [5,10]. The survival rate of PC which was previously reported as low in Indonesia [15] and Brazil [10], can be improved by using micro-cuttings from budwood gardens [13,14], due to their higher sucrose content [13]. This indicates that, despite its lower initial performance, PC still holds potential for further development as planting material, particularly with the application of improved propagation techniques.

However, cocoa plants generated from cutting have no taproots. The lack of taproot development in plants propagated from cuttings is regarded as a limitation, especially during the dry season [10]. Cocoa plants from orthotropic cuttings had a root volume comparable to plagiotropic grafted rootstocks, and their ortho-geometric root fractal dimension was similar to that of cocoa plants derived from hybrid seeds [13]. On the other hand, the roots of plagiotropic cutting grow laterally. The root character of the plants is an important variable in the selection of drought-tolerant planting material, representing its tolerance to drought-stress conditions [2]. Hence, the correlation between root character and drought tolerance of various propagation methods should be thoroughly evaluated.

Studies on the adaptability of cocoa plants during drought stress have been intensively conducted on hybrid seeds and grafting-origin plants [6,7,16,17]. These studies were done mainly in greenhouses by decreasing the soil moisture content up to 25% of field capacity conditions [17] and modifying watering intervals [7]. The evaluation includes the first appearance of drought symptoms [16] and decreased leaf water potential [6]. However, no information is avalable regarding the evaluation of cocoa plants under drought originating from OC and PC compared to existing propagation methods such as OG, PG and HS.

The drought stress test in this research was conducted using the fraction of transpirable soil water (FTSW) method. The FTSW value of 0.17 was employed for drought evaluation based on preliminary research (unpublished data). Drought testing using the FTSW method has previously been conducted on Elaeis guineensis [18] and Hevea brasiliensis [24]. Rewatering treatment is also carried out to evaluate the physiological recovery response of plants after drought stress. This is important to better understand the physiological activity of cuttings-origin cocoa plants during and post-drought stress, especially from orthotropic and plagiotropic.

Among the cocoa clones cultivated in Indonesia, MCC 02 is one of the most widely used by farmers. This clone is highly productive (up to 3.2 tons ha−1 year−1), has moderate tolerance to major cocoa pests and diseases, and exhibits moderate tolerance to drought [17,19,20]. Therefore, the MCC 02 cocoa clone was employed in this research as the genetic material for propagation. Information on the physiological responses of OC and PC during drought stress and subsequent rewatering is useful for developing mitigation strategies to support the field application of these novel planting materials. Therefore, this study aimed to evaluate the physiological responses and recovery capacity of cocoa plants derived from different propagation methods under drought stress using the MCC 02 clone. In this experiment, HS, OG and PG were included as controls. Based on the similarity in root volume and root fractal dimension among OC, HS, OG, and PG [13], we hypothesize that OC exhibits physiological adaptations to drought stress comparable to those of HS, OG and PG, while performing better than PC.


Materials and methods

Materials

A single clone of MCC 02 was used as the source of the scions. The MCC 02 budwood gardens (BG) were established at a spacing of 100×100 cm2 under Leucaena shade trees. Any developing fruits were consistently removed in order to allocate the plant’s resources toward shoot growth. Regular pruning was carried out to maintain the height of BG at approximately 1 m. Shoots from these mother plants were then collected for propagation, ensuring that only healthy, vigorous scions were selected to maximize the success rate of cutting (OC & PC) and grafting (OG & PG). The hybrid seeds (HS) were obtained from an open-pollinated MCC 02 clone that was planted 100 m away from other clones to ensure uniform fertilization and to prevent contamination by pollen from other clones. The HS planting material was prepared by germinating seeds on sand media for 14 days after planting (DAPs). The germinating seeds were then transferred into 30×40 cm2 polybags (the total weight of the planting media used is 13,050 g) and maintained until 270 DAPs. Orthotropic cuttings (OC) and Plagiotropic cuttings (PC) planting materials were prepared using scions from BG, with a scion diameter 0.2 - 0.3 cm, 2 leaves and rooted in the soil media [13]. The OC and PC materials were transferred into 30×40 cm2 polybags (the total weight of the planting media used is 13,050 g) 90 days after planting (DAPs) and maintained until 270 DAPs. OG and PG planting materials were prepared using a rootstock derived from a seed of open-pollinated Sulawesi 1×KEE 2. Seeds were grown in sand media and maintained until 30 DAPs before being transferred into 30×40 cm2 polybags (the total weight of the planting media used is 13,050 g) until 120 DAPs. Top grafting was done using an orthotropic scion for OG and a plagiotropic scion for PG. The scion source was taken from BG, with a scion diameter of 0.6 - 0.7 cm and 3 buds. The graft union was tied with parafilm and covered with individual plastic. The grafted materials were maintained until 270 DAPs.


Experimental

This research was conducted at the Kaliwining Experimental Station, Indonesian Coffee and Cocoa Research Institute (ICCRI), Jember, East Java (8.004° latitude and 113.009° longitude). The site is situated at an altitude of 45 meters above sea level, with a C-D climate type, as classified by the Schmidt-Ferguson system. The experiment was conducted in the greenhouse, where daily temperatures ranged from 25.3 to 37.8 °C, relative humidity ranged from 52.75% to 54.19% during the daytime, with light intensity reaching 95,000 lux. A randomized complete block design (RCBD) with 2 factors was employed. The first factor was the soil water status consisting of 2 levels, namely well watered (WW) and drought stress (DS). The second factor was the type of propagation, consisting of OC, PC, OG, PG, and HS. Each treatment combination was performed in triplicate using 6 plant samples per replication.


Drought stress and rewatering treatment

Drought stress treatment was done based on the fraction of transpirable soil water (FTSW) method [18]. FTSW is a measure of the proportion of soil water available for plant transpiration, used to assess plant water stress. It ranges from 1 (indicating field capacity condition with water available for uptake) to 0 (indicating soil is too dry for transpiration). All polybags were irrigated to saturation, after which the planting media was allowed to drain for 24 h to reach field capacity. The weight of the polybags at field capacity was then measured and used as the reference weight (FTSW 1.00). The WW treatment as the control was carried out on FTSW 1.00. In this study, the polybag weight at field capacity was 15,000 g. The WW treatment was done by maintaining the polybags at a constant weight (15,000 g) through daily watering, representing controlled sufficient water on the field capacity. The DS treatment was conducted at an FSTW of 0.17. Once the polybag reached 13,420 g, it was maintained at that level by adding water as needed, based on daily weighing. Its determination was based on preliminary research using PG planting material that was treated under drought stress (unpublished data). The values (FTSW 0.17) were determined when the critical wilting point condition was reached, as evidenced by symptoms of wilting, including yellowing leaves and leaf fall. The permanent wilting point condition (FTSW = 0) in this research was determined when the polybag weight reached 13,100 g. Based on preliminary research, the FTSW value of 0.17 was obtained on the 21st day. During drought-stress treatment, the FTSW 0.17 weight was kept constant until 35 days [6]. This indicated severe drought stress conditions. Rewatering to the level of sufficient water on the field capacity was done at the end of the 35th day. The recovery was examined on the 49th day. The determination of day 49 was based on preliminary studies on PG, which identified the point at which plants began to recover from drought stress, as evidenced by the emergence of new leaves (flush).


Evaluation of stress tolerance index and physiological activity

The evaluation of plant drought tolerance and physiological activity under drought was done on cocoa plants from all treatments on days 35 and 49. The dry weight of the plants was determined by the oven method. The dried plants were weighed after they had been dried in an oven at 60 °C for 48 h. The stress tolerance index (STI) was determined using the method previously reported by Lamba et al. [21]. Photosynthetic rate, stomatal conductance, transpiration rate, and intercellular CO2 content were measured using a Licor 6400 photosynthetic analyzer (Li-Cor Environmental, NE, USA). The relative water content was measured based on the method described by Dzandu et al. [16]. Chlorophyll A, chlorophyll B, and total chlorophyll content were determined using the method of Suchithra et al. [22]. Superoxide and superoxide dismutase (SOD) activity were measured using the method of Malecka et al. [23]. Proline and nitrate reductase activity assays were based on the method of Suchithra et al. [22]. On the other hand, the measurement of ascorbic acid content was performed based on the method of Zakariyya and Indradewa [7]. The physiological activity of the cocoa plants was evaluated based on the differences between the control and drought stress condition (D1), rewatering treated to that of drought stress (D2), and rewatering treated to that of normal condition (control).


Statistical analysis

Data were analyzed using analysis of variance (ANOVA) to assess significant differences among treatments at the 5% significance level (p < 0.05), followed by Tukey’s HSD post-hoc test when significance differences were detected. Heatmap analysis was performed based on physiological activity data under drought stress and rewatering conditions to determine the response variation of each cocoa propagation technique. Pearson correlation analysis and correlogram were used to evaluate the relationship between variables. Jamovi and DsaaStat were used as software for data analysis.


Results and discussion

The FTSW method has been successfully carried out to evaluate the physiological changes in the cocoa plant during drought stress and following rewatering. FTSW value is expressed by a value between 1.0 (highest) and 0.0 (lowest). An FTSW value of 1.0 indicates field capacity conditions, and an FTSW value of 0.0 indicates permanent wilting point conditions. In this study, an FTSW value of 0.17 was used. The values (FTSW 0.17) were determined based on preliminary research (unpublished data), when the critical wilting point condition was reached, as evidenced by symptoms of wilting, including yellowing leaves and leaf fall. Some researchers have reported that severe water deficit conditions were defined at FTSW values below 0.20, as applied to Elaeis guineensis [18] and Hevea brasiliensis [24]. Calibration between FTSW and soil moisture content was also conducted across all treatments. The soil moisture content at FTSW 1.0 was measured at 36.40 ± 0.93%, whereas at FTSW 0.17 it was 17.30 ± 0.49%. It was expected that the treatment (FTSW 1 and FTSW 0.17) could identify specific physiological markers in cocoa plants from various propagation methods during drought stress and their behavior when they receive sufficient water again after drought. In this study, it was found that drought-stress conditions induced significant physiological changes in the cocoa plants.

Plant responses during drought stress and rewatering

The responses of cocoa plants, in terms of relative water content (RWC), to drought stress and rewatering conditions varied depending on the type of propagation. Figure 1(A) shows that drought stress significantly reduced the RWC (p < 0.05) in cocoa leaves for all propagation methods to the range of 71% to 75%. The value of 70% RWC indicated that cocoa plants experienced severe drought conditions [7]. The reduction of RWC was in the range of 6 to 12% (Figure 1(B)). This was similar to the result of Zambrano et al. [6].

The decrease in moisture content in the environment greatly reduced cocoa plants’ ability to absorb water. PC plants had relatively low RWC under drought compared to OC, PG, OG, and HS (Figure 1(A)). However, they showed good recovery after rewatering (Figure 1(B)). The PC exhibited a 10.33% reduction of RWC (compared to field condition FTSW 1) during drought stress. On the other hand, the decrease in RWC due to drought stress in the OC plant was the least compared to that of HS, PG, OG, and PC. OC showed a lower reduction (6%) and indicated the lowest RWC reduction compared to other propagation methods (Figure 1(B)). This showed that OC could conserve more water during drought stress, significantly improving its stress resilience. OC produces cocoa plants with true-to-type characteristics. This made OC have drought stress tolerance similar to the genetic makeup of its parents [5]. On the other hand, HS may be vulnerable to genetic segregation, which can reduce drought tolerance traits [9]. Furthermore, OC and PC showed more effective water recovery after rewatering. Their RWC after rewatering was comparable to that of PG, POG, and HS (Figure 1(B)). RWC represents the amount of relative water in the plant compared to its full turgid capacity. This can be an indicator of water stress conditions in plants related to health and overall physiological conditions [6]. From the results, it was known that OC plants may respond better to recovery treatment than to other propagation methods.


Figure 1 The relative water content (RWC) of cocoa leaves from various propagation methods (A) and the differences in RWC under different conditions (B). WW= well-watered, DS= drought stress, RW= rewatering, D1= the difference between drought stress and well-watered, D2= the difference between rewatering and drought stress conditions, D3= the difference between rewatering and well-watered conditions. Negative values indicate a decrease, and positive values indicate an increase in RWC.


Drought stress affected the cocoa plants in various ways (Figure 2). Drought stress caused the reduction in plant height, leaf fall, discoloration of leaves, descending of the stem and leaf position, and delaying the formation of new leaves/flushes (Table 1 and Figure 2). Rewatering treatment (on the 49th day) restored the position of leaves and stems upward and induced the formation of new leaves/flush (Table 1 and Figure 2). However, it did not immediately restore the plants’ morphological character to its normal state.



Figure 2 Performance comparison of cocoa plants from various propagation methods under different conditions. WW = well watered, DS = drought stress, RW = rewatering, HS = hybrid seed, OC = orthotropic cutting, PC = plagiotropic cutting, OG = orthotropic grafting and PG =plagiotropic grafting.


Table 1 Plants’ responses under normal conditions, drought stress and rewatering.

Description

Well Watered (WW)

Drought Stress (DS)

Rewatering (RW)

Plant height

Normal

Shorter than normal conditions

Stems start to lengthen due to the formation of new leaves

Leaf fall

None

Present

None

Leaf color

Green

Greenish yellow

Greenish yellow

Leaf position

Erect

Downward

Erect

Stem position

Erect

Downward

Erect

Formation of new leaves (flush)

Normal

Did not form new leaves (flush)

Start forming new leaves

(flush)

Description: Occurs in all types of propagation (HS, OC, PC, OG and PG).


The changes in morphological characteristics of cocoa plants, physiologically, were presented as stress tolerance index (STI). In this study, the changes in the dry weight of the plant after being subjected to drought stress were determined. Analysis of the dry weight (DW) of the cocoa plants revealed that drought stress reduced the DW by 14 - 20 g compared to normal conditions (Figures 3(A) and 3(B)). Based on the classification reported by Zakariyya and Indradewa [7] such as vulnerable (STI ≤ 0.5), moderately resistant (0.5 < STI < 1), and resistant (STI ≥ 1), the cocoa plant from PC was found to be the most vulnerable to drought stress. The plants from OC, PG, and OG propagation had moderate tolerance, while those of HS were categorized as highly tolerant to drought stress. The STI of OC was not significantly different from PG and OG (Figure 3(A)). This may be attributed to the similarity in root formation. The OC, PG, and OG had similar root volumes and root surface areas [13]. On the other hand, PCs had relatively smaller root volume and surface area.  This indicated that the adaptation response of OC during drought was better than that of PC.

Drought stress reduced the dry weight of plants similarly, irrespective of the propagation method (p < 0.05) (Figure 3(B)). This indicated that the propagation method did not significantly change plant responses toward drought stress. However, it did affect the way the cocoa plants recover from drought stress after rewatering. The impact of drought continued at varying degrees after rewatering based on dry weight variables. Dry weight recovery in OG and HS was slower than in PG, PC, and OC. Rewatering increased the dry weight of the plants, although the final dry weight is still incomparable to that of plants from regular watering (Figure 3(B)). This might be caused by the changes in various physiological activities due to drought stress, which significantly affected the dry weight of the plants.


Figure 3 The Drought stress tolerance index (A) and the differences in dry weight (B) of cocoa plants from various propagation methods. D = the difference between drought stress and well watered conditions, D2 = the difference between rewatering and drought stress conditions, D3 = the difference between rewatering and well watered conditions. Negative values indicate a decrease, and positive values indicate an increase in dry weight.


Chlorophyll content

Drought stress significantly reduced the content of chlorophyll A, chlorophyll B, and total chlorophyll (p < 0.05). The PC plant showed a similar performance to that of OG, while OC was similar to that of HS. PG showed the greatest reduction in chlorophyll content (A, B and total) during drought stress (Figures 4(A) and 4(C)). On the other hand, other propagation methods showed a decrease in chlorophyll content compared to PG. During the water deficit, chlorophyll content decreases due to impaired chloroplast function. This led to chlorosis and damage to photosynthetic devices [6]. Rewatering after drought stress restored the chlorophyll content. The increase in chlorophyll content varied depending on the propagation method. The OC plant recovers chlorophyll content more effectively than the PC, OG, and HS plants. It was similar to that of PG. This showed that the OC plant had better adaptation mechanisms toward drought stress than those of PC, OG, and HS.


The rapid chlorophyll recovery response in the OC plant was significantly correlated with the RWC (p < 0.05). The OC plant showed less decrease in RWC (6%) than that of other propagation methods. Plants with high RWC are generally able to maintain chlorophyll content better. As a result, plants with high RWC tend to recover effectively from drought stress and could quickly restore their photosynthetic activity. Chlorophyll plays a central role in photosynthetic activity [1]. Thus, rapid recovery of chlorophyll will provide sufficient energy for other physiological activities to function appropriately, significantly enhancing plants’ recovery from drought stress.


Figure 4 Chlorophyll A (A), chlorophyll B (B) and total chlorophyll (C) content of cocoa leaves from various propagation methods. D1= the difference between drought stress and well watered conditions, D2 = the difference between rewatering and drought stress conditions, D3 = the difference between rewatering and well watered conditions. Negative values indicate a decrease, and positive values indicate an increase in respective chlorophyll content.


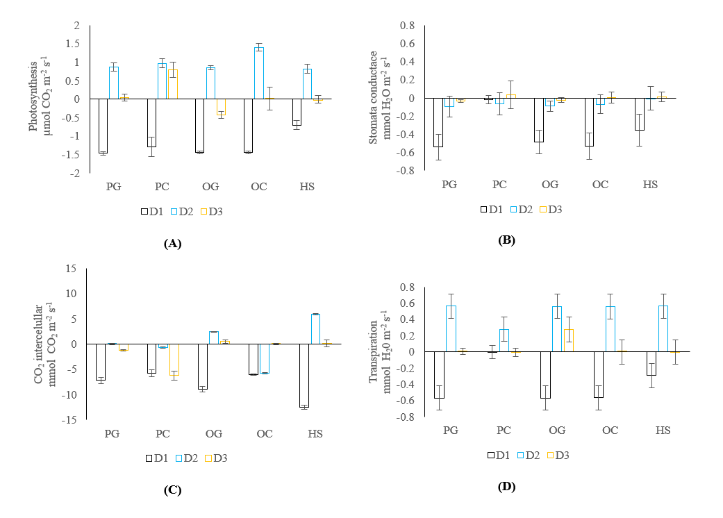
Photosynthetic activity

Significant decreases in the rates of photosynthesis, stomatal conductance, intercellular CO2 content, and transpiration rate (p < 0.05) were observed during drought stress. A linear correlation was observed between photosynthetic activity, transpiration rate, stomatal conductance, and intercellular CO2. A decreased stomatal conductance, and transpiration rate resulted in a decreased intercellular CO2 concentration. This condition caused a decrease in the rate of photosynthesis. HS planting material showed the lowest decrease in photosynthesis rate compared to PG, PC, OC, and OG (Figure 5(A)). On the other hand, the OC plant behaved similarly to that of PG in terms of photosynthesis rate, stomatal conductance, intercellular CO2 content, and transpiration rate (Figures 5(A) - 5(D)).

PC plant exhibited significantly different responses from those of OC, OG, PG, and HS. PC plant showed almost no changes in stomatal conductance and transpiration rate during drought stress (Figures 5(B) and 5(D)). The PC plant responded to the drought without being able to conserve water in its body and was unable to suppress the transpiration rate. Plants have mechanisms to minimize water loss, one of which is by reducing the rate of transpiration. Drought stress causes a decrease in cell turgor pressure, and plants respond by closing their stomata, decreasing stomatal conductance. This limits the diffusion of CO2 into the leaves. The decrease in intercellular CO2 content continues as drought stress intensifies [25]. This is related to the characteristics of the C3 plant’s photosynthetic enzyme, Rubisco (also known as RuBP carboxylase). Rubisco can bind both CO2 and O2 [26]. C3 plants will enter photorespiration if the CO2 supply continues to decrease and the O2 ratio increases. The abundance of O2 in the leaves has the potential to cause oxidative stress, which leads to damage to the photosynthetic apparatus [6].


Figure 5 Photosynthetic activities of cocoa plants from various propagation methods based on photosynthetic rate (A), stomatal conductance (B), intercellular CO2 (C) and transpiration rate (D). D1= the difference between drought stress and well watered conditions, D2 = the difference between rewatering and drought stress conditions, D3 = the difference between rewatering and well watered conditions. Negative values indicate a decrease, and positive values indicate an increase in respective photosynthetic rate, stomatal conductance, intercellular CO2, and transpiration rate.


Photosynthesis rate was highly associated with RWC (OC, r = 0.62; PG, r = 0.96), and plant dry weight (OC, r = 0.61; PG, r = 0.81). Rewatering restored the photosynthesis rate, stomatal conductance, intercellular CO2 content, and transpiration rate of the plant to normal conditions (water sufficient). In this study, the OC plant showed the highest recovery in photosynthesis rate after rewatering compared to PG, OG, OC, and HS. This might be related to the recovery of the RWC and chlorophyll previously mentioned. Nevertheless, following drought stress treatment and subsequent rewatering, PC demonstrated the highest photosynthetic rate compared to OC, PG, OG, and HS (Figure 5(A)). The application of stress conditions followed by rewatering in PC has the potential to accelerate the physiological capacity of seedlings. This approach could also be used to train seedlings under regulated drought stress to enhance their dynamic adaptability.


Nitrate reductase activity

Drought stress significantly reduced nitrate reductase activity (NRA) (p < 0.05). The degree of reduction was dependent on the propagation methods. These differences might be attributed to the root characteristics of the plants. The root affected the accumulation of water and nitrate uptake, serving as raw materials for the catalytic conversion of nitrate into nitrite. Drought stress limits the water uptake. This was confirmed by Pearson correlation analysis. The NRA was significantly correlated with RWC, showing linearity in PG (r = 0.95), PC (r = 0.76), OG (r = 0.89), OC (r = 0.91), and HS (r = 0.89). NRA reduction in HS plant was the lowest, while PC was the highest (Figure 6). On the other hand, NRA reduction was similar in OC, PG, and OG plants. PC was reported to have a lower root volume and root surface area than HS [13]. Thus, it was reasonable that PC showed a greater reduction of NRA, due to its limitation on water and nitrate uptake.  

Water content plays a significant role in the activity of nitrate reductase. Nitrate reductase catalyzes nitrate into nitrite. Water is helpful for fulfilling the availability of protons and electrons for NRA. The conversion of nitrate to nitrite involves the transfer of 6 electrons for each molecule. Water donates electrons through the process of photosynthesis, which is then used to form NADPH2 during the light reaction. NADPH2 transfers the electrons from flavin adenine dinucleotide (FAD), which is a molybdenum cofactor, to nitrate reductase, inducing a conversion of nitrate to nitrite [22]. Hence, it is reasonable that rewatering could quickly recover NRA. In this study, PC exhibited the highest response to the increase in NRA after rewatering. It was significantly different from other propagation methods (p < 0.05). This was in line with the result of the RWC analysis. High RWC recovery in PC induced high NRA recovery after drought stress.


Figure 6 Nitrate reductase activity (NRA) in cocoa plants from various propagation methods. D1 = the difference between drought stress and well watered conditions, D2 = the difference in between rewatering and drought stress conditions, D3 = the difference between rewatering and well watered conditions. Negative values indicate a decrease, and positive values indicate an increase in nitrate reductase activity.


Oxidative stress and antioxidant activity

Drought stress significantly induced the cellular level in cocoa plants. Superoxide activity as radicals significantly increased during drought stress (p < 0.05) (Figure 8). Water deficit caused an imbalance in the light-dependent reaction of photosynthesis. This led to oxidative stress due to the presence of free radicals and reactive oxygen species (ROS) such as superoxide, singlet oxygen, hydroxyl radicals, and hydrogen peroxide [25]. This could damage the cell membranes [22]. Uncontrollable oxidation reaction by ROS induced the degradation of photosynthetic devices and further decreased the rate of photosynthesis [27] (Figure 5(A)). The increase in superoxide free radicals in OC was found to be the lowest compared to PG, PC, OG, and HS. On the other hand, PC exhibited the highest increase (Figure 7(A)). Based on this result, the risk of cell damage due to superoxide free radicals is higher in the PC plant than that of the OC.

Plant defense mechanisms against drought-induced oxidative stress were triggered due to the rise in superoxide activity. The increased activity of superoxide free radicals was responded to by increased production of antioxidants in the form of superoxide dismutase (SOD), ascorbic acid, and proline (Figures 7(B) and 7(D)). The release of SOD and ascorbic acid antioxidants in the PC plant was lower than that of OC (Figures 7(B) and 7(C)).  The plant-defense strategy in the OC plant involved SOD and ascorbic acid. Those increased at the same rate as that of PG and OG, even exceeding that of HS (Figures 7(B) and 7(C)). This indicated a higher tolerance of OC towards oxidative stress. The combination of increased superoxide activity at a smaller rate and higher production of antioxidants in the form of SOD and ascorbic acid caused the OC plant to adapt to drought stress better than PC. On the other hand, PC was adapted through the production of ascorbic acid and proline, similar to that of PG (Figures 7(C) and 7(D)).

Antioxidants contribute to plant defense through various mechanisms. SOD dismutase superoxide anions through spontaneous or catalyzed reactions to produce hydrogen peroxide [23].  Ascorbic acid scavenges free radicals directly and indirectly as a cofactor of the enzyme violaxanthin de-epoxidase. This enhances the conversion of violaxanthin to zeaxanthin. Ascorbic acid is also a substrate for the enzyme ascorbate peroxidase, which converts hydrogen peroxide into water and oxygen [28]. On the other hand, proline, as an amino acid, plays important and essential role in cell osmotic adjustment. The formation of proline as a secondary metabolite is triggered by suboptimal environmental conditions. Proline is a non-enzymatic antioxidant that scavenges free radicals (hydroxyl radicals and hydrogen peroxide) through polypeptide bonds to form hydroxyproline. Simultaneously, proline has been reported to increase the activity of SOD, catalase, and peroxidase [28]. Propagation methods affected the expression of these components, thus resulting in varied responses towards oxidative stress.

Figure 7 Superoxide activity (A), superoxide dismutase (B), ascorbic acid (C) and proline (D) in cocoa plants from various propagation methods. D1 = the difference between drought stress and well watered conditions, D2 = the difference between rewatering and drought stress conditions, D3 = the difference between rewatering and well watered conditions. Negative values indicate a decrease, and positive values indicate an increase in respective superoxide, superoxide dismutase, ascorbic acid, and proline content.


Cluster analysis

Heatmap clustering analysis was done based on physiological activity data to determine the key mechanisms of plant adaptation to drought stress and rewatering. Two heatmap clusters were generated: one for drought stress conditions (Figure 8(A)) and another for conditions after rewatering (Figure 8(B)). Physiologically, plants from all propagation methods exhibited a reduction in relative water content, chlorophyll content, photosynthetic rate, stomatal conductance, transpiration, intercellular CO2 concentration, and nitrate reductase activity. Drought stress conditions also increase superoxide content, as well as the levels of superoxide dismutase, ascorbic acid, and proline (Figure 8(A)).

There were distinct differences in the adaptation mechanisms of OC and PC plants during drought stress. The OC plant exhibited a similar response to PG during drought stress. This was shown by similar activity of chlorophyll A, total chlorophyll, photosynthetic rate, stomatal conductance, transpiration, nitrate reductase activity, superoxide dismutase, and ascorbic acid. The occurrence of pseudo tap root in OC provided a similar root fractal dimension to that of PG with a real tap root [13]. The recovery of physiological activity following rewatering treatment in OC and PG was also observed in the same cluster group (Figure 4(B)). This shares a similar mechanism, indicating that the physiological recovery activity of OC following rewatering after drought stress shares a similar mechanism with PG. On the other hand, PC exhibited a different adaptation mechanism, adapting to drought stress primarily through the increased production of ascorbic acid and proline. The drought stress tolerance index in PC was found to be lower than that of OC, PG, OG, and HS propagations. This shows that the PC plant is susceptible to drought stress. This is presumably due to the root typology of PC, which is not as well developed as that of OC. The pseudo-tap root fractal dimension in PC approaches a value of 2, indicating root growth that spreads laterally rather than extending vertically downward with gravity. In contrast, the pseudo-tap root fractal dimension and volume of OC are similar to those of PG, OC, and HS with roots oriented to grow vertically downward [13]. The root fractal dimension was evaluated based on area dimension, with values ranging from 1 to 2 [29]. A higher fractal dimension indicates a wider spread of the root system [30].


Figure 8 Heatmap clustering of physiological activity of cocoa plants from various propagation methods under drought stress conditions (A) and after rewatering (B). HS = hybrid seed, OC = orthotropic cutting, PC = plagiotropic cutting, OG = orthotropic grafting, PG = plagiotropic grafting, WW = well watered, DS = drought stress, RWC = relative water content, PS = photosynthetic rate, SC = stomata conductance, TS = transpiration, COI = CO2 intercellular, Ch-A = chlorophyll A, Ch-B = chlorophyll B, Ch-T = Chlorophyll total, ANR = activity of nitrate reductase, AA = ascorbic acid, Prol = proline, SO = superoxide, SOD = superoxide dismutase and DW = dry weight.



Technological improvements are urgently needed to enhance the tolerance of PCs to drought stress. It is necessary to optimize the root growth of the PC. The use of organic fertilizers [31], shade with deep root characteristics [32], trench [33], use of mycorrhizal [34] and irrigation [34] might be considered for use to improve root characteristics in PC, hence improving PC tolerance to drought stress. PG has been successfully used as a control propagation method in drought stress trials, with results that are at least comparable to its physiological performance in mitigating drought stress. These findings highlight the potential of PG to guide future agronomic technologies for drought stress mitigation compared with any new propagation methods that may emerge.


Conclusions

The use of superior planting materials is crucial to enhance cocoa production without land expansion and to minimize biodiversity loss. Cocoa plants derived from different propagation methods showed varying drought responses: The OC exhibited moderate tolerance to drought, comparable to PG and OG, whereas PC showed the lowest tolerance. Moreover, HS exhibited high tolerance to drought. The adaptation mechanism of OC was comparable to PG, which is widely used by farmers, indicating that OC-derived material is a promising alternative propagation method due to its drought tolerance. In contrast, PC requires further study on root development and drought adaptation before broader use, though it may still be suitable in non-drought areas with proper soil water conservation management.


Acknowledgements

The authors would like to thank the Director of PT Riset Perkebunan Nusantara (RPN) and the Head of the Indonesian Coffee and Cocoa Research Center (ICCRI), Indonesia for facilitating and funding this research. Gratitude is expressed to Mr. Fakhrusy Zakariyya, Head of Plant Production at ICCRI, for his support in facilitating laboratory equipment.

Declaration of generative AI in scientific writing

The authors acknowledge the use of generative AI tools (e.g., Google translate and Grammarly) in the preparation of this manuscript, specifically for language editing and grammar correction. No content generation or data interpretation was performed by AI. The authors take full responsibility for the content and conclusions of this work.


CRediT author statement

Teguh Iman Santoso: Resources; data curation; software; formal analysis; writing - original draft prepa­ration. Endang Sulistyaningsih: Conceptualization; methodology; writing - review & editing; project admin­istration; supervision. Eka Tarwaca Susila Putra: Methodology; validation; formal analysis; visualization; investigation. Agung Wahyu Susilo: Resources; validation; formal analysis; investigation; funding acquisition.


References

[1] F Lahive, P Hadley and AJ Daymond. The physiological responses of cacao to the environment and the implications for climate change resilience. A review. Agronomy for Sustainable Development 2019; 39(1), 5.

[2] EA Santos, AAF Almeida, MCS Branco, IC Santos, D Ahnert, VC Baligar and RR Valle. Path analysis of phenotypic traits in young cacao plants under drought conditions. PLoS One 2018; 13(2), e0191847.

[3] L Adet, DMA Rozendaal, A Tapi, PA Zuidema, P Vaast and NPR Anten. Negative effects of water deficit on cocoa tree yield are partially mitigated by irrigation and potassium application. Agricultural Water Management 2024; 296, 108789.

[4] L Gateau-Rey, EVJ Tanner, B Rapidel, JP Marelli and S Royaert. Climate change could threaten cocoa production: Effects of 2015-2016 el Niño-related drought on cocoa agroforests in Bahia, Brazil. PLoS One 2018; 13(7), e0200454.

[5] ARS Gomes, GA Sodre, M Guiltinan, R Lockwood and S Maximova. Supplying new cocoa planting material to farmers: A review of propagation methodologies. Bioversity International, Rome, Italy, 2015.

[6] MAO Zambrano, DA Castillo, LR Perez and W Teran. Cacao (Theobroma cacao L.) response to water stress: Physiological characterization and antioxidant gene expression profiling in commercial clones. Frontiers in Plant Science 2021; 12, 700855.

[7] F Zakariyya and D Indradewa. Drought stress affecting growth and some physiological characters of 3 cocoa clones at seedling phase. Pelita Perkebunan 2018; 34(3), 156-165.

[8] AJ Daymond, A Prawoto, S Abdoellah, AW Susilo, NC Cryer, F Lahive and P Hadley. Variation in Indonesian cocoa farm productivity in relation to management, environmental and edaphic factors. Experimental Agriculture 2020; 56(5), 738-751.

[9] JE Schmidt, AD Val, A Puig, A Tempeleu and T Crow. Interactive and dynamic effects of rootstock and rhizobiome on scion nutrition in cacao seedlings. Frontiers in Agronomy 2021; 3, 754646.

[10] GA Sodré and ARS Gomes. Cocoa propagation, technologies for production of seedlings. Revista Brasileira de Fruticultura 2019; 41(2), e-782.

[11] JC N’zi, I Koné, KAA M’bo, S Koné and C Kouamé. Successful grafting elite cocoa clones (Theobroma cacao L.) as a function of the age of rootstock. Heliyon 2023; 9(8), e18732.

[12] PB Adhikari, Q Xu and M Notaguchi. Compatible graft establishment in fruit trees and its potential markers. Agronomy 2022; 1, 1981.

[13] TI Santoso, E Sulistyaningsih, ETS Putra and AW Susilo. Typology of cocoa seedlings derived from orthotropic and plagiotropic cuttings compared with grafting and hybrid seeds. Caraka Tani: Journal of Sustainable Agriculture. 2025; 40(2), 266.

[14] TI Santoso and F Zakariyya. Field performance of plagiotropic cocoa in 2 clonally propagation methods: vegetative and early production phase. AIP Conference Proceedings 2022; 2563(1), 020002.

[15] T Wahyudi, Pujiyanto and Misnawi. Kakao: Sejarah, botani, proses produksi, pengolahan dan perdagangan (in Indonesian). Gadjah Mada Univesity Press, Yogyakarta, Indonesia, 2015.

[16] E Dzandu, L Enu-Kwesi, CM Markwei and KO Ayeh. Screening for drought tolerance potential of nine cocoa (Theobroma cacao L.) genotypes from Ghana. Heliyon 2021; 7(11), e08389.

[17] M Zasari, A Wachjar AW Susilo and Sudarsono. Prope legitimate rootstocks determine the selection criteria for drought-tolerant cocoa. Biodiversitas 2020; 21(9), 4067-4075.

[18] E Nurwahyuni and ETS Putra. The effect of calcium on photosynthetic rate due to aba and proline behaviour of oil palm (Elaeis guineensis Jacq.) seedlings under drought conditions. Caraka Tani: Journal of Sustainable Agriculture 2019; 34(1), 31-42.

[19] AW Susilo, I Anita-Sari and B Setyawan. Yield performance of promising cocoa clones (Theobroma cacao L.) in dry climatic conditions. Pelita Perkebunan 2020; 36(1), 24-31.

[20] A Asman, T Iwanami and A Rosmana. Effect of drought stress on dieback disease development under Lasiodiplodia theobromae infection in cocoa clone MCC 02. Beverage Plant Research 2024; 4(1), e034.

[21] K Lamba, M Kumar, V Singh, L Chaudhary, R Sharma, S Yashveer and MS Dalal. Heat stress tolerance indices for identification of the heat tolerant wheat genotypes. Scientific Reports 2023; 13(1), 10842.

[22] M Suchithra, B Suma, JS Minimol, D Mathew and AVS Kumar. Biochemical response of cocoa (Theobroma cacao L.) genotypes to water deficit stress condition. Environment and Ecology 2023; 41(2), 824-830.

[23] A Malecka, A Kutrowska, A Piechalak and B Tomaszewska. High peroxide level may be a characteristic trait of a hyperaccumulator. Water, Air, & Soil Pollution 2015; 226(4), 84.

[24] AN Cahyo, RH Murti, ETS. Putra, F Oktavia, S Ismawanto and P Montoro. Rubber genotypes with contrasting drought factor index revealed different mechanisms for drought resistance in Hevea brasiliensis. Plants 2022; 11(24), 3563.

[25] R Jaimez, R Loor, F Arteaga, V Márquez and W Tezara. Differential response of photosynthetic activity, leaf nutrient content and yield to long-term drought in cacao clones. Acta Agronómica 2021; 70(3), 274-284.

[26] Z Song, L Wang, M Lee and GH Yue. The evolution and expression of stomatal regulators in C3 and C4 crops: Implications on the divergent drought tolerance. Frontiers in Plant Science 2023; 14, 1100838.

[27] IC Santos, AAF Almeida, D Anhert, AS Conceição, CP Pirovani, JL Pires, RR Valle and VC Baligar. Molecular, physiological and biochemical responses of Theobroma cacao L. genotypes to soil water deficit. PLoS One 2014; 9(12), e115746.

[28] NA Akram, F Shafiq and M Ashraf. Ascorbic acid-a potential oxidant scavenger and its role in plant development and abiotic stress tolerance. Frontiers in Plant Science 2017; 8, 613.

[29] Q Yang, W Cheng, Z Hao, Q Zhang, D Yang, D Teng, Y Zhang, X Wang, H Shen and S Lei. Study on the fractal characteristics of the plant root system and its relationship with soil strength in tailing ponds. Wireless Communications and Mobile Computing 2022; 2022(1), 9499465.

[30] HC Chun, S Lee, YD Choi, DH Gong and KY Jung. Effects of drought stress on root morphology and spatial distribution of soybean and adzuki bean. Journal of Integrative Agriculture 2021; 20(10), 2639-2651.

[31] J Syamsiyah, S Minardi, G Herdiansyah, O Cahyono and FC Mentari. Physical properties of alfisols, growth and products of hybrid corn affected by organic and inorganic fertilizer. Caraka Tani: Journal of Sustainable Agriculture 2023; 38(1), 99-112.

[32] E Arévalo-Gardini, A Farfán, F Barraza, CO Arévalo-Hernández, LB Zúñiga-Cernades, J Alegre and VC Baligar. Growth, physiological, nutrient-uptake-efficiency and shade-tolerance responses of cacao genotypes under different shades. Agronomy 2021; 11(8), 1536.

[33] CN Maghfiroh and ETS Putra. Morphological characters of root and yield of 3 cocoa (Theobroma cacao L.) clones in the field with dead-end trench. Ilmu Pertanian 2020; 5(2), 58.

[34] JD Vries, JB Evers, TW Kuyper, JV Ruijven and L Mommer. Mycorrhizal associations change root functionality: A 3D modelling study on competitive interactions between plants for light and nutrients. New Phytologist 2021; 231(3), 1171-1182.