Start Bootstrap Logo

Trends Sci. 202 6 ; 23 (3): 11904

Effect of Malolactic Fermentation Conditions on Bioactive Compounds and Antioxidant Capacity of Red Dragon Fruit ( Hylocereus polyrhizus ) Wine


Ho Quoc Viet1,2,*, Le Thi Thuy Linh1, Truong Thi Tu Tran2, Nguyen Thi Kim Tuyen2,

Le Bich Tuyen2, Ha Thanh Toan1 and Nguyen Huu Thanh3,4


1 Institute of Food and Biotechnology, Can Tho University, Can Tho, Vietnam

2 Faculty of Food Science and Health, Kien Giang University, An Giang, Vietnam

3 Faculty of Agriculture and Natural Resources, An Giang University, An Giang, Vietnam

4 Viet Nam National University Ho Chi Minh City, Ho Chi Minh, Vietnam


( * Corresponding author’s e-mail: [email protected])


Received: 15 September 2025, Revised: 30 September 2025, Accepted: 10 October 2025 , Published: 15 December 2025


Abstract

This study was conducted to evaluate the impact of malolactic fermentation (MLF) by Lactobacillus plantarum on the physicochemical and bioactive characteristics of red-fleshed dragon fruit (Hylocereus polyrhizus) wine. A 2-factor completely randomized design was applied, including 3 fermentation temperatures (20, 25 and 30 °C) and 3 bacterial inoculum levels (10 5 , 10 6 and 10 7 CFU/mL). Parameters monitoring over 7 weeks included pH, malic acid, lactic acid, total polyphenol content, betacyanin, and antioxidant activity (IC 50 -DPPH). The results indicated that 20 °C combined with an inoculum of 10 6 CFU/mL represented the favorable condition, ensuring efficient malic acid degradation (0.16 g/L after 7 weeks), increased pH (4.06), while maintaining high levels of betacyanin (174 mg/L) and polyphenols (98.5 mg GAE/L), thereby preserving antioxidant capacity (IC 50 = 13.1% v/v). These findings provide a scientific basis for optimizing the production process of red-fleshed dragon fruit wine, aiming to develop products with high sensory and bioactive value.


Keywords: Antioxidant, Betacyanin, Lactobacillus plantarum , Malolactic fermentation, Polyphenols, Red dragon fruit


Introduction

In recent years, the global beverage industry has witnessed a significant increase in wine products derived from non-traditional raw materials, particularly tropical fruits rich in bioactive compounds. Red-fleshed dragon fruit (Hylocereus polyrhizus) represents a promising substrate due to its high content of betacyanins (natural pigments of the betalain group) that impart a characteristic red-purple color and exhibit strong antioxidant activity [1] . Developing wines from red-fleshed dragon fruit not only diversifies the product portfolio but also opens opportunities in functional food applications.

Malolactic fermentation (MLF) is an important stage in winemaking, converting malic acid into lactic acid under the action of lactic acid bacteria (LAB), thereby softening acidity, stabilizing microbiota, and developing characteristic flavor profiles [2] . However, MLF may lead to potential degradation of color and antioxidant activity [3] .

Previous research on tropical fruit wines such as pineapple, guava, and mango has reported that MLF can improve microbial stability and flavor complexity, but often at the cost of reduced pigment retention and antioxidant activity [4-6] . These studies highlight both the potential benefits and limitations of applying MLF to fruit wines. Nevertheless, systematic investigations on dragon fruit wine are scarce.

To date, studies addressing the effects of MLF on the physicochemical and bioactive properties of dragon fruit wine remain limited, leaving a scientific gap. Specifically, there is no clear evidence regarding how fermentation temperature and inoculum density of LAB influence betacyanin stability and antioxidant activity in dragon fruit wine.

Among LAB species, Lactobacillus plantarum is considered a suitable candidate due to its adaptability to wine environments (high ethanol concentration, low pH) and its ability to efficiently metabolize malic acid even at low temperatures [7,8] . The activity of L. plantarum depends strongly on technological parameters, among which temperature and initial inoculum level are key determinants of MLF efficiency [9] .

This study represents the first attempt to apply controlled inoculation of L. plantarum under specific temperature conditions in dragon fruit wine. The novelty lies in evaluating how these parameters simultaneously affect chemical composition, pigment stability, and antioxidant properties, thereby addressing both scientific and industrial gaps.

Based on this context, the present study was conducted to determine the effects of temperature and inoculum level of L. plantarum on the change in chemical characteristics (pH, malic acid, lactic acid), bioactive compounds (betacyanin, polyphenols), and antioxidant activity of red-fleshed dragon fruit wine, thereby proposing optimal conditions to achieve efficient MLF while maintaining the bioactive value of the product.


Materials and methods

Raw materials

Red-fleshed dragon fruits (Hylocereus polyrhizus) were collected from Cho Gao district, Tien Giang province (Vietnam) in July 2023. Fruits were harvested at commercial ripeness (≥ 85% of peel surface turning red, juice TSS ≥ 12 °Brix), free from bruising and pests. Upon arrival at the laboratory, damaged fruits and impurities were removed, and samples were stored at 6 °C for no more than 24 h prior to experimentation.


Preparation of juice and base wine fermentation

Fruits were peeled, frozen at –20 °C for 12 h, and pressed to obtain juice. The juice was cold-concentrated at –20 °C until TSS reached 24 °Brix. To suppress contaminant microorganisms, Saccharomyces cerevisiae TL28 (isolated from local dragon fruit) was inoculated at 10 6 CFU/mL [10-12] . Yeast was activated in YPD medium (yeast extract 10 g/L, peptone 20 g/L, glucose 20 g/L) at 28 °C for 24 h, then centrifuged and resuspended in sterile 0.85% NaCl before inoculation.

Alcoholic fermentation was carried out in 2-L glass fermenters with fermentation locks, containing 1.5 L of juice, at 25 °C for 7 days. The base wine was racked and stored at 4 °C until use for malolactic fermentation experiments.


Malolactic bacteria and inoculum preparation

Lactobacillus plantarum VAL6 was provided by the LaVi Institute of Breeding and Agricultural Technology (Ho Chi Minh City, Vietnam). Freeze-dried cultures were reactivated in MRS broth at 30 °C for 48 h. Cells were harvested by centrifugation at 5,000 rpm for 10 min, washed twice with sterile PBS buffer (pH 7.2) to remove residual medium, and resuspended in appropriate solution for subsequent experiments. Viable cell counts were determined by plate counting on MRS agar [13] .


Experimental design of malolactic fermentation

A 2-factor completely randomized design was applied, comprising 3 temperatures (20, 25, and 30 °C) and 3 bacterial inoculum levels (10 5 , 10 6 and 10 7 CFU/mL). A total of 9 treatments were tested, each with 3 replicates. MLF was conducted in 2 L glass fermenters with fermentation locks containing 1.5 L of base wine. The fermentation process lasted 7 weeks, with samples taken weekly for physicochemical, bioactive analyses.


Analytical methods

pH determination

pH was measured directly using a HI2020-01 pH meter (Hanna Instruments, Italy), calibrated with standard buffers at pH 4.0 and 7.0.


Quantification of malic acid and lactic acid

Organic acids were analyzed using an UltiMate 3000 HPLC system (Thermo Scientific, USA) with an Acclaim TM 120 C18 column (5 µm, 4.6×150 mm 2 ). Mobile phase: 0.01 N H 2 SO 4 , flow rate 0.5 mL/min, UV detection at 260 nm. Malic and lactic acids were quantified using external calibration curves (R 2 > 0.999) [14] .

Total polyphenol content (TPC)

TPC was determined using the Folin-Ciocalteu method [15] . 0.5 mL samples were mixed with 2.5 mL of Foli-Ciocalteu reagent (10-fold diluted), allowed to stand for 5 min, then 2 mL of 7.5% Na 2 CO 3 was added. The mixture was incubated in the dark for 2 h, and absorbance was measured at 765 nm. Results were expressed as mg gallic acid equivalents per liter (mg GAE/L) of fermented wine.


Betacyanin content

Total betacyanin was determined as described by Wong and Siow [16] . Samples were diluted in 0.1 M citric acid buffer (30 mL) and 0.2 M sodium phosphate buffer (70 mL) (pH 6.5). Absorbance was measured at 537 nm using a UV-Vis spectrophotometer (Shimadzu UV-1800, Japan). Betacyanin content was calculated using the equation:


where BC = total betacyanin (mg/L), Abs = absorbance at 537 nm, DF = dilution factor, MW = molecular weight of betacyanin (550 g/mol), and ε = molar absorptivity of betacyanin in water (6,000 L/mol cm).


Antioxidant activity (DPPH-IC 50 )

The DPPH radical scavenging activity was determined according to Sharma et al. [17] with slight modifications. The stock sample solution was considered as 100% concentration. Seven Eppendorf tubes (1.5 mL) were prepared by adding 1,000, 990, 980, 960, 940, 920, and 900 µL of 10% DMSO. Subsequently 0, 10, 20, 40, 60, 80, and 100 µL of the stock sample solution were added to the corresponding tubes, yielding test solutions with concentrations of 0, 1, 2, 4, 6, 8, and 10% (v/v).

From each tube, 40 µL was removed and replaced with 40 µL of DPPH solution (1,000 µg/mL). The mixtures were incubated at room temperature in the dark for 30 min. Absorbance was measured using a UV-Vis spectrophotometer at 517 nm. Radical scavenging activity (%) was calculated as:



where ODm and ODc are the absorbance values of the sample and control, respectively. IC 50 (concentration required to scavenge 50% of DPPH radicals) was determined from linear regression of scavenging activity (%) against concentration. Lower IC 50 values indicated stronger antioxidant activity.


Statistical analysis

All experiments were conducted in triplicate, and data were expressed as mean ± standard deviation (SD). Two-factor analysis of variance (ANOVA) was performed using Statgraphics Centurion 19.01.0002 (StatPoint Technologies, USA). Differences among means were evaluated using LSD (Least Significant Difference) test, and values of p < 0.05 were considered statistically significant.


Results and discussions

pH

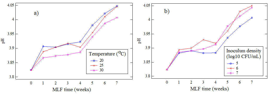
During malolactic fermentation, pH of red dragon fruit wine increased gradually in all treatments ( Table 1 ). The results showed that the increasing pH significantly depended on both incubation temperature and Lactobacillus plantarum density. Figure 1 shown the temperatures of 20 - 25 °C combined with higher inoculum levels (10 6 - 10 7 CFU/mL) produced a faster and more pronounced pH rise than treatments at 30 °C and/or with a lower inoculum (10 5 CFU/mL). This pattern is consistent with the temperature window (approximately 22 - 27 °C) over which lactic acid bacteria generally exhibit optimal growth, enzyme activity, and malate decarboxylation rates [18] .

Temperature plays as a decisive environmental driver of malolactic fermentation performance. After 7 weeks (Figure 1a), pH of wines fermented at 20 - 25 °C varied of 4.05, significantly higher than the treatment fermented at 30 °C (pH = 4.01), indicating a direct temperature effect on the rate and efficiency of malic-to-lactic conversion. However, the absolute difference was negligible (0.04 units) and is unlikely to hold biological or technological relevance in the context of wine fermentation. Therefore, while statistical analysis confirms a difference, the practical impact on fermentation performance or product quality is likely limited. At 20 °C, Lactobacillus plantarum maintained stable growth and likely supported robust malolactic decarboxylase activity, thereby facilitating malic acid depletion and the accompanying pH increase [19] . In contrast, fermentation at 30 °C yielded a lower final pH, plausibly because elevated temperature can sensitize Lactobacillus plantarum to inhibitory metabolites or oxidative stress, disrupting or incompletely executing MLF [20] . The warmer condition may also permit undesirable microorganisms to proliferate and produce additional organic acids, further depressing pH [21,22] .

In addition, inoculation at 10 5 , 10 6 , and 10 7 CFU/mL resulted in final pH values of 4.01, 4.05, and 4.04, respectively ( Figure 1(b) ). The results showed that inoculation of 10 5 CFU/mL Lactobacillus plantarum resulted in a significantly lower pH than in the treatments 10 6 and 10 7 CFU/mL ( p < 0.05). The findings of this study indicated that the higher Lactobacillus plantarum inoculation shortened the adaptation phase and accelerated entry into exponential growth, hastening malic acid conversion and increased pH [23,24] .

In this study, the results are consistent with the previous studies. In grape wines, Lonvaud-Funel [25] reported that pH increases approcimately 0.1 - 0.3 during malolactic fermentation. Similarly, Du Toit et al. [7] also showed that a modest pH rise is characteristic of successful malolactic fermentation. The present findings extend this behavior to a non-traditional matrix-red dragon fruit - whose relatively high malic acid content makes it amenable to biologically mediated deacidification.

Mechanistically, malolactic fermentation modulates pH through a cascade of bacterially mediated reactions. Decarboxylation of malic acid to lactic acid and CO 2 tends to raise pH because lactic acid is weaker; however, transient dissolution of CO 2 can momentarily lower pH. The pH shift therefore depends on fermentation conditions (particularly temperature) and on inoculum density, which together govern the pace and completeness of malolactic fermentation Lactobacillus plantarum is widely used for malate degradation in wine and typically expands rapidly in the early stages of this process [26] . Our results indicated that conducting MLF at 20 - 25 °C with initial inoculation densities of 10 6 - 10 7 CFU/mL provides favorable conditions for malic acid conversion to lactic acid and yields a consistent, efficient increase in wine pH. Nevertheless, it should be noted that the final pH values across all treatments remained above 4.0. In winemaking practice, such relatively high pH levels can increase the risk of microbial spoilage and reduce chemical stability, potentially shortening shelf life [27] . This suggests that although MLF under these conditions was effective for malic acid degradation, additional stabilization measures (pasteurization, cold storage, or combined hurdles) may be required to ensure product safety and quality.


Table 1 pH of red dragon fruit wine during malolactic fermentation.

Figure 1 pH of red dragon fruit wine at different temperature levels (a) and Lactobacillus plantarum density (b) during malolactic fermentation.


Malic acid

In general, malic acid concentration declined progressively over time under all temperature regimens, confirming that malolactic fermentation proceeded effectively ( Table 2 ). Across the 7-week of malolactic fermentation, malic acid continuously decreased at the temperature treatments of 20, 25, and 30 °C ( Figure 2(a) ). After 7 weeks, malic acid concentration at the treatment fermented at 20 °C ranged from 0.16 to 0.22 g/L, significantly lower than the that in fermentation treatments at 25 °C (0.18 - 0.25 g/L) and 30 °C (0.23 - 0.29 g/L). These results indicated that temperature at 20 °C provides favorable conditions for Lactobacillus plantarum activity during malolactic fermentation. However, the difference in malic acid content (≈ 0.02 - 0.07 g/L) among the temperature treatments was relatively small, indicating that additional criteria should be considered to comprehensively evaluate the effect of temperature on MLF. Our results in agreement with Balmaseda et al. [9] , who reported rapid L-malate consumption by several Lactobacillus plantarum strains between 20 - 25 °C, while emphasizing dependence on strain traits, ethanol, and pH. However, temperature 30 °C may thermal stress that suppresses metabolism, slows conversion, and risks enzyme inactivation or membrane destabilization [28-30] .

Similarly, malic acid concentrations also declined at all 3 inoculation density levels (10 5 , 10 6 and 10 7 CFU/mL). At the week 7, the concentration of malic acid in the treatment inoculated with Lactobacillus plantarum at 10 6 CFU/mL was 0.19 g/L, significantly lower than in treatments with 10 5 and 10 7 CFU/mL (0.24 - 0.25 g/L). Acording to Balmaseda et al. [9] , the efficiency of malolactic fermentation process depends on environmental conditions, such as temperature and ethanol concentration. Excessively high bacteria Lactobacillus plantarum density can impose mutual inhibition, intensify nutrient competition, or microbial imbalance, thereby reduced malic acid conversion efficiency [29] . A residual malic acid concentration below 0.30 g/L is considered an indicator of the completion of malolactic fermentation in conventional winemaking process [31] . The present study demonstrated that all treatments achieved this threshold, confirming successful MLF. However, the combination of fermentation at 20 °C and inoculation with Lactobacillus plantarum of 10 6 CFU/mL showed a clear advantage in malic acid conversion (0.16 g/L), indicating that this condition represents the most efficient malolactic fermentation process in red dragon fruit wine.


Table 1 Malic acid concentration during malolactic fermentation.


Figure 2 Malic acid concentration at different temperature levels (a) and Lactobacillus plantarum density (b) during malolactic fermentation.


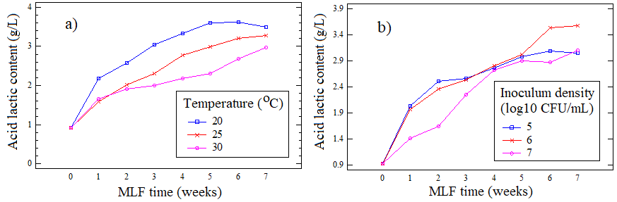
Lactic acid

In conventional winemaking, lactic acid is an important factor to modulate wine acidity and thereby the acid-base status, microbial stability, and sensory attributes [32] . In this study, lactic acid accumulation was governed by both fermentation condition and time during malolactic fermentation ( Table 3 ). Generally, combining temperature and bacterial inoculation showed a progressive increase in lactic acid at all stages of malolactic fermentation process.

The effects of temperature on the concentration of lactic acid are shown in Figure 3(a) . The application of fermentation temperature at 20 °C resulted in a significantly higher lactic acid concentration compared with the treatments at 25 and 30 °C ( p < 0.05). In addition, the results indicated that the concentration of lactic acid in the 30 °C treatment was significantly lower than that in the 25 °C treatment at week 7 ( p < 0.05). This trend is consistent with the degradation pattern of malic acid ( Figure 2 ), as higher lactic acid accumulation coincided with more complete malic acid depletion at 20 °C. The inverse relationship between lactic acid increase and malic acid decrease reflects the efficiency of the malolactic decarboxylation pathway, confirming that temperature strongly regulates the balance of these 2 organic acids. Although the absolute differences among treatments were small, with final lactic acid concentrations of 3.82 g/L (20 °C, 10 6 CFU/mL), 3.70 g/L (25 °C, 10 6 CFU/mL), and 3.19 g/L (30 °C, 10 6 CFU/mL), the concomitant decrease in malic acid and increase in lactic acid may still influence sensory perception. The overall shift in the organic acid profile from the sharp, intense acidity of malic acid to the softer, rounder acidity of lactic acid can enhance mouthfeel and improve the overall balance of the product [33] .

Lactobacillus plantarum can decarboxylate of L-malic acid to L-lactic acid and CO 2 release ­ [34] . At week 7, the results showed that lactic acid concentration in the 10 6 treatment was 3.57 g/L, significantly higher than in the treatments applied Lactobacillus plantarum at 10 5 (3.05 g/L) and 10 7 (3.11 g/L) ( Figure 3(b) ). Despite the higher initial bacteria density, lactic acid accumulation in the 10 7 treatment was often lower than that of the 10 6 treatments. This phenomenon may be associated with the accumulation of metabolic products that inhibit Lactobacillus plantarum growth, or with an imbalance between bacterial density and nutrient availability [35] . The results of this study are consistent with Krieger-Weber et al. [24] , who reported that the excessive inoculum density can affect bacterial physiology in winemaking process.


Table 3 Lactic acid concentration during malolactic fermentation.

Figure 3 Lactic acid concentration at different temperature levels (a) and Lactobacillus plantarum density (b) during malolactic fermentation.


Total polyphenol content

Generally, the total polyphenol content in red dragon fruit wine was decreased during malolactic fermentation across all treatments ( Table 4 ). The results showed that the reduction of total polyphenol content depended on both temperature fermentation and the rate of Lactobacillus plantarum density. After 7 weeks, the total polyphenol content tended to decrease under different temperature conditions in all treatments ( Figure 4(a) ). The fermentation at 30 °C resulted in a significantly lower total polyphenol content (60.9 mg GAE/L, averaged over the 3 inoculations) than in the treatment fermented at 25 °C (78.4 mg GAE/L) and 20 °C (92.1 mg GAE/L). Besides, the results also indicated that the total polyphenol content in 20 °C treatment was significantly higher than 25 °C treatment ( p < 0.05). These results reflects a positive correlation between temperature and the reduction of total polyphenol content during malolactic fermentation process. The reduction of total polyphenol content in high temperatures can be explained by the ability of Lactobacillus plantarum produre β-glucosidase and tannase enzymes, which hydrolysis glycosidic and ester in the phenolic compounds, and altering their structure and bioactivity [36,37] . In addition, higher temperatures also promote non-enzymatic oxidation of polyphenols [38] .

The results presented in Figure 4(b) show that the total polyphenol content declined during malolactic fermentation was significantly influenced by the inoculum density of Lactobacillus plantarum bacteria . After 7 weeks, there was a significant difference in the total polyphenol content between the treatments inoculated with various Lactobacillus plantarum density ( p < 0.05). The application of Lactobacillus plantarum at 10 5 CFU/mL (81.2 mg GAE/L) resulted in a significantly higher total polyphenol content than in the treatments applied 10 6 (74.3 mg GAE/L) and 10 7 CFU/mL (76.0 mg GAE/L) at the end of the experiment ( p < 0.05 ). The differences in total polyphenol content decline rates across temperature and inoculum density can be explained by the phase-dependent physiology and enzyme activity of Lactobacillus plantarum.

The 2-factor ANOVA revealed that, besides the main effects of fermentation temperature and L. plantarum inoculation density, there was significant interaction between the 2 factors ( p < 0.05) on total polyphenol concentration after 7 weeks of malolactic fermentation. Notably, at 20 °C the treatment with the highest inoculum (10 7 CFU/mL) showed a markedly lower polyphenol content than the lower-density treatments, whereas at 30 °C this trend was partly reversed. These findings suggest a dual regulatory mechanism: Higher temperatures enhance β-glucosidase and tannase activities that break down phenolic structures [36,37] , while high inoculum density accelerates substrate use and pH shifts, which may restrict non-enzymatic oxidation and slow TPC loss [39] . Thus, the treatment combining 20 °C with an inoculation density of 10 CFU/mL proved to be the most effective condition, preserving the highest TPC (98.5 mg GAE/L) after 7 weeks of MLF.

Although total polyphenol content generally decreases during malolactic fermentation, this trend does not indicate to loss of wine quality. Under practice conditions, several polyphenol groups, especially high molecular weight tannins or flavonoids complexes, which can contribute to wine astringency and color instability [40] . Selective hydrolysis/remodeling of these compounds by enzymes specific to malolactic bacteria can improve sensory value by softening of wine mouthfeel, clarity, and enhancing color stability.


Table 4 Total polyphenol content during malolactic fermentation.



Figure 4 Total polyphenol content at different temperature levels (a) and Lactobacillus plantarum density (b) during malolactic fermentation.


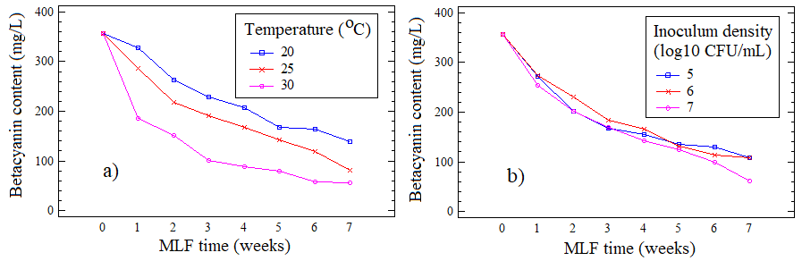
Betacyanin concentration

Betacyanin are betalain pigments that confer the typical purple-red color and exhibit high antioxidant activity, thereby enhancing the bioactivity value of products from red dragon fruit ( Hylocereus polyrhizus ). As shown in Table 5 , betacyanin concentration during malolactic fermentation was influenced by both temperature and the initial inoculum density of Lactobacillus plantarum with a significant interaction between these 2 factors ( p < 0.05).

Betacyanin concentrations declined continuously during malolactic fermentation process, indicating that progressive pigment degradation in the presence of Lactobacillus plantarum ( Figure 5(a) ). The reduction of betacyanin concentrations occurred during the first 3 weeks, then after which the concentrations tended to stabilize. It reflects simutaneous and strong growth of Lactobacillus plantarum combine with active malate conversion, thereby undermining pigment stability due to disrupt the betalain chromophorse under ethanol-rich medium [41] . At 30 °C, betacyanin concentrations declined sharply from the first week, indicating a negative effect of high temperature on pigment stability in the fermentation medium. Betacyanins are betalain pigments with a thermolabile chromophoric ring, so higher temperature can promote molecular degradation via deglycosylation and disruption of the the chromophore [42] . By contrast, betacyanin losses were lower across the treatments at 20 °C because of slow thermal degradation and limits unwanted oxidative reactions [43] . After 7 weeks, betacyanin concentrations ranged from 154 ± 6.97 to 88.8 ± 13.0 mg/L at 20 °C depending on inoculum level but dropped to 108 ± 16.9 to 41.8 ± 4.04 mg/L at 25 °C and to only 59.8 ± 8.18 to 52.5 ± 3.87 mg/L at 30 °C, confirming the high dominant effect of temperature.

Similarly, Figure 5b shows that the concentration of betacyanin decreased during malolactics fermentation, with a significant difference among treatments inoculated with different doses of Lactobacillus plantarum ( p < 0.05). There was no significant difference in betacyanin concentration between 10 5 (107.3 mg/L, averaged over the 3 temperatures) and 10 6 (108.9 mg/L) inoculum treatments after 7 days ( p > 0.05). However, betacyanin concentration in the treatment inoculated 10 7 CFU/mL was 61.0 mg/L, significantly lower than that in the 10 5 and 10 6 treatments. It can be explained by slower fermentation prolongs dynamic environments at low inoculum density. By contrast, rapid fermentation amplifies environments fluctuations, resulting in directly creating unfavorable conditions for betacyanin stability at high inoculum density [44,45] .

Notably, the interaction between temperature and inoculum density showed that the difference in betacyanin concentration between inoculum levels was greatest at 20 °C (154 mg/L at 10 5 CFU/mL versus 88.8 mg/L at 10 7 CFU/mL) but decreased markedly at 30 °C (59.8 and 52.5 mg/L, respectively). This suggests that elevated temperature largely mitigates the influence of inoculum density, with thermal degradation emerging as the dominant factor driving betacyanin loss.

In summary, both fermentation temperature and initial inoculum density exert significant effects on betacyanin stability, with their interaction playing a pivotal role. To optimize pigment retention and antioxidant capacity in red dragon fruit wine, fermentation at around 20 °C using a moderate inoculum level (10 6 CFU/mL) appears most effective, as this condition minimizes thermal degradation while preventing the rapid environmental shifts associated with excessively high inoculum densities.


Table 5 Betacyanin concentration during malolactic fermentation.



Figure 5 Betacyanin concentration at different temperature levels (a) and Lactobacillus plantarum density (b) during malolactic fermentation.


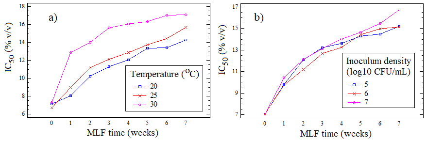
Antioxidant activity (DPPH-IC 50 )

The IC 50 is an index of antioxidant capacity, whereby lower IC 50 indicates stronger radical-scavenging activity. In this study, the IC 50 of red dragon fruit wine was monitored during 7 weeks of malolactic fermentation under 2 factors: Fermentation temperature (20, 25 and 30 °C) and the initial of Lactobacillus plantarum inoculum density (10 5 , 10 6 , and 10 7 CFU/mL). The results showed that IC 50 increased during the malolactic fermentation process ( Table 6 ).

At the early stage of malolactic fermentation process, IC 50 ranged from 6.70% to 7.28%, reflecting the relatively high antioxidant potential of red dragon fruit wine due to the inherent native polyphenols and betacyanins contents present in wine ( Figure 6(a) ). After the first week, IC 50 rapidly rose, indicating a decline in antioxidant capacity until week 5. At week 7, the IC 50 of red dragon fruit wines fermented at 30 °C averaged across inoculum levels (17.1%), significantly higher than those at 20 °C (14.3%) and 25 °C (15.7%) ( p < 0.05), indicating reduced antioxidant activity at elevated temperature. Besides, the results also indicated that IC 50 in 20 °C treatment was significantly lower than 25 °C treatment ( p < 0.05).

Similarly, IC 50 value increased during malolactics fermentation in the treatments inoculated with Lactobacillus plantarum ( Figure 6(b) ). The results showed a significant difference in IC 50 among the treatments used Lactobacillus plantarum inoculum density ( p < 0.05). At week 7, the application of 10 7 CFU/mL Lactobacillus plantarum (16.7%, averaged over the 3 temperatures) resulted in a significantly higher IC 50 value than that in the treatments fermented with 10 5 and 10 6 CFU/mL, with IC 50 was 15.2% and 15.1%, respectively. However, no significant differences in IC 50 value found between the treatment inoculated with 10 5 and 10 6 CFU Lactobacillus plantarum /mL ( p > 0.05). The reduction of IC 50 value during malolactic fermentation has been reported for grape wines [46] , pomegranate wines [47, 48] , and blueberry [49] . The results indicated that the antioxidant capacity in malolactics fermentation was depended on raw material, microbial characteristics, and specific fermentation conditions.


Table 6 Antioxidant activity during malolactic fermentation.





Figure 6 Antioxidant activity (IC 50 ) at different temperature levels (a) and Lactobacillus plantarum density (b) during malolactic fermentation.




Conclusions

In this study, we evaluated the effects of fermentation temperature and the inoculum density of Lactobacillus plantarum on the chemical characteristics and bioactive components of red-fleshed dragon fruit wine during malolactic fermentation. The results indicated that the fermentation at 20 °C with an inoculum density of 10 6 CFU/mL offered clear advantages by promoting efficient degradation of malic acid, increasing pH and lactic acid concentration, and reducing losses of betacyanins and total polyphenol content. Moreover, the combination of 20 °C and an inoculation density of 10 6 CFU/mL preserved antioxidant capacity more effectively than at higher temperatures or with excessively high inoculum densities. These findings highlight a potential trend within the scope of the current data but should not be considered a definitive industrial recommendation. Comprehensive sensory evaluations and clinical studies remain necessary to fully elucidate the role of malolactic fermentation in enhancing both the sensory quality and antioxidant potential of red-fleshed dragon fruit wine.


Acknowledgements

The authors would like to thank the support of the staff at the Institute of Food and Biotechnology, Can Tho University, for their assistance with laboratory analyses. The authors also gratefully acknowledge funding provided by the Department of Science and Technology of Tra Vinh Province, Vietnam.


Declaration of generative AI in scientific writing

The authors acknowledge the use of generative AI tools (e.g., QuillBot and ChatGPT by OpenAI) in the preparation of this manuscript, specifically for language editing and grammar correction. No content generation or data interpretation was performed by AI. The authors take full responsibility for the content and conclusions of this work.


CRediT author statement

Ho Quoc Viet : Conceptualization, Methodology, Software, Data curation, Formal analysis, Writing - original draft, Writing - review & editing, Final approval of the manuscript. Le Thi Thuy Linh : Conceptualization, Methodology, Software, Data curation, Final approval of the manuscript. Truong Thi Tu Tran : Data curation, Formal analysis, Writing - original draft, Writing - review & editing, Final approval of the manuscript. Nguyen Thi Kim Tuyen : Investigation, Visualization, Writing - review & editing, Final approval of the manuscript. Le Bich Tuyen : Software, Writing - review & editing, Final approval of the manuscript. Nguyen Huu Thanh : Supervision, Project administration, Writing - review & editing, Final approval of the manuscript. Ha Thanh Toan : Supervision, Project administration, Writing - review & editing, Final approval of the manuscript.


References

[1] TW Lim, CJ Lim, CA Liow, ST Ong, LH Lim, LP Pui, CP Tan and CW Ho. Studies on the storage stability of betacyanins from fermented red dragon fruit ( Hylocereus polyrhizus ) drink imparted by xanthan gum and carboxymethyl cellulose. Food Chemistry 2022; 393 , 133404.

[2] J Fu, L Wang, J Sun, N Ju and G Jin. Malolactic fermentation: New approaches to old problems. Microorganisms 2022; 10 (12) , 2363.

[3] H Liu, C Zhang, B Zhang, W Jia, L He, Y Sun, J Li, P Zhou, X Guan and S Liu. A comparative study on the modification of polyphenolic, volatile, and sensory profiles of merlot wine by indigenous Lactiplantibacillus plantarum and Oenococcus oeni . Australian Journal of Grape and Wine Research 2024; 2024 (1) , 5602066.

[4] YS Kumar, S Varakumar and O Reddy. Evaluation of antioxidant and sensory properties of mango ( Mangifera indica L. ) wine. CyTA-Journal of Food 2012; 10 (1) , 12-20.

[5] C Prakitchaiwattana, K Boonin and P Kaewklin. De-acidification of fresh whole pineapple juice wine by secondary malolactic fermentation with lactic acid bacteria. International Food Research Journal 2017; 24 (1) , 223-231.

[6] X Yuan, T Wang, L Sun, Z Qiao, H Pan, Y Zhong and Y Zhuang. Recent advances of fermented fruits: A review on strains, fermentation strategies, and functional activities. Food Chemistry: X 2024; 22 , 101482.

[7] M Du Toit, L Engelbrecht, E Lerm and S Krieger-Weber. Lactobacillus: The next generation of malolactic fermentation starter cultures - an overview. Food and Bioprocess Technology 2011; 4 (6) , 876-906.

[8] M Succi, G Pannella, P Tremonte, L Tipaldi, R Coppola, M Iorizzo, SJ Lombardi and E Sorrentino. Sub-optimal pH preadaptation improves the survival of Lactobacillus plantarum strains and the malic acid consumption in wine-like medium. Frontiers in Microbiology 2017; 8 , 470.

[9] A Balmaseda, N Rozes, A Bordons and C Reguant. Characterization of malolactic fermentation by Lactiplantibacillus plantarum in red grape must. LWT 2024; 199 , 116070.

[10] DL Hawkins, J Ryder, SA Lee, K Parish Virtue, B Fedrizzi, MR Goddard and SJ Knight. Mixed yeast communities contribute to regionally distinct wine attributes. FEMS Yeast Research 2023; 23 , foad005.

[11] H Erten, H Tanguler, T Cabaroglu and A Canbas. The influence of inoculum level on fermentation and flavour compounds of white wines made from cv. Emir. Journal of the Institute of Brewing 2006; 112 (3) , 232-236.

[12] M Ramírez and R Velázquez. The yeast Torulaspora delbrueckii: An interesting but difficult-to-use tool for winemaking. Fermentation 2018; 4(4) , 94.

[13] R Rezgui, R Walia, J Sharma, D Sidhu, K Alshagadali, S Ray Chaudhuri, A Saeed and P Dey. Chemically defined lactobacillus plantarum cell-free metabolites demonstrate cytoprotection in HepG2 cells through nrf2-dependent mechanism. Antioxidants 2023; 12 (4) , 930.

[14] X Jiang, Y Lu and SQ Liu. Effects of different yeasts on physicochemical and oenological properties of red dragon fruit wine fermented with Saccharomyces cerevisiae, Torulaspora delbrueckii and Lachancea thermotolerans . Microorganisms 2020; 8 (3) , 315.

[15] L Fu, BT Xu, XR Xu, RY Gan, Y Zhang, EQ Xia and HB Li. Antioxidant capacities and total phenolic contents of 62 fruits. Food Chemistry 2011; 129 (2) , 345-350.

[16] YM Wong and LF Siow. Effects of heat, pH, antioxidant, agitation and light on betacyanin stability using red-fleshed dragon fruit ( Hylocereus polyrhizus ) juice and concentrate as models. Journal of Food Science and Technology 2015; 52 (5) , 3086-3092.

[17] S Sharma, K Hullatti, S Kumar and K Tiwari. Comparative antioxidant activity of Cuscuta reflexa and Cassytha filiformis . Journal of Pharmacy Research 2012; 5 (1) , 441-443.

[18] MV Leal-Sánchez, R Jiménez-Díaz, A Maldonado-Barragán, A Garrido-Fernández and JL Ruiz-Barba. Optimization of bacteriocin production by batch fermentation of Lactobacillus plantarum LPCO10. Applied and Environmental Microbiology 2002; 68 (9) , 4465-4471.

[19] A Karampatea, A Skendi, M Manoledaki and E Bouloumpasi. Predicting organic acid variation in white wine malolactic fermentation using a logistic model. Fermentation 2025; 11 (5) , 288.

[20] PT Nguyen and HT Nguyen. Environmental stress for improving the functionality of lactic acid bacteria in malolactic fermentation. The Microbe 2024; 4 , 100138.

[21] F Kösebalaban and M Özilgen. Kinetics of wine spoilage by acetic acid bacteria. Journal of Chemical Technology & Biotechnology 1992; 55 (1) , 59-63.

[22] D Mamlouk and M Gullo. Acetic acid bacteria: Physiology and carbon sources oxidation. Indian Journal of Microbiology 2013; 53 (4) , 377-384.

[23] W Beaman. 2011, Effect of cell density and growth phase on malolactic fermentation by Oenococcus oeni . Honor’s Thesis. Cornell University, New York.

[24] S Krieger-Weber, JM Heras and C Suarez. Lactobacillus plantarum, a new biological tool to control malolactic fermentation: A review and an outlook. Beverages 2020; 6 (2) , 23.

[25] A Lonvaud-Funel. Lactic acid bacteria in the quality improvement and depreciation of wine. Antonie Van Leeuwenhoek 1999; 76 (1) , 317-331.

[26] O Lucio, I Pardo, JM Heras, S Krieger and S Ferrer. Influence of yeast strains on managing wine acidity using Lactobacillus plantarum. Food Control 2018; 92 , 471-478.

[27] CAN Alves, ACTCT Biasoto, G da Silva Nunes, HO do Nascimento, RF do Nascimento, IG Oliveira, PC de Souza Leão and LB de Vasconcelos. Exploring the impact of elevated pH and short maceration on the deterioration of red wines: Physical and chemical perspectives. OENO One 2025; 59 (1) , 8111.

[28] M De Angelis, R Di Cagno, C Huet, C Crecchio, PF Fox and M Gobbetti. Heat shock response in Lactobacillus plantarum . Applied and Environmental Microbiology 2004; 70 (3) , 1336-1346.

[29] P Filannino, G Cardinali, CG Rizzello, S Buchin, M De Angelis, M Gobbetti and R Di Cagno. Metabolic responses of Lactobacillus plantarum strains during fermentation and storage of vegetable and fruit juices. Applied and Environmental Microbiology 2014; 80 (7) , 2206-2215.

[30] JY Da, MS Xi, HL Li, MM Liu, CH Zhou, ZY Li, YJ Song, S Zhou, TC Zhang and XG Luo. Transcriptome analysis and functional gene identification reveals potential mechanisms of heat stress response of Lactiplantibacillus plantarum CGMCC8198. Food Bioscience 2023; 51 , 102202.

[31] C Butzke. Preventing refermentation, Available at: https://www.extension.purdue.edu/extmedia/FS/FS-56-W.pdf, accessed May 2025.

[32] IS Pretorius. Conducting wine symphonics with the aid of yeast genomics. Beverages 2016; 2 (4) , 36.

[33] A Lonvaud-Funel. Effects of malolactic fermentation on wine quality. In : AG Reynolds (Ed.). Managing wine quality. Woodhead Publishing, Sawston, United Kingdom, 2010, p. 60-92.

[34] N Brizuela, EE Tymczyszyn, LC Semorile, DV La Hens, L Delfederico, A Hollmann and B Bravo-Ferrada. Lactobacillus plantarum as a malolactic starter culture in winemaking: A new (old) player? Electronic Journal of Biotechnology 2019; 38 , 10-18.

[35] F Sun, S Liu, X Che, G Wang, X Wang, Y Li, S Zhang and H Chen. High-density fermentation of Lactobacillus plantarum P6: Enhancing cell viability via sodium alginate enrichment. Foods 2024; 13 (21) , 3407.

[36] T Zotta, M Giavalisco, E Parente, G Picariello, F Siano and A Ricciardi. Selection of Lactiplantibacillus strains for the production of fermented table olives. Microorganisms 2022; 10 (3) , 625.

[37] G Paventi, C Di Martino, F Coppola and M Iorizzo. β-glucosidase activity of Lactiplantibacillus plantarum : A key player in food fermentation and human health. Foods 2025; 14 (9) , 1451.

[38] X Bai, X Chen, X Li, F Tan, FE Sam and Y Tao. Wine polyphenol oxidation mechanism and the effects on wine quality: A review. Comprehensive Reviews in Food Science and Food Safety 2024; 23 (6) , e70035.

[39] S Paramithiotis, V Stasinou, A Tzamourani, Y Kotseridis and M Dimopoulou. Malolactic fermentation - theoretical advances and practical considerations. Fermentation 2022; 8 (10) , 521.

[40] A Tzachristas, K Pasvanka, A Calokerinos and C Proestos. Polyphenols: Natural antioxidants to be used as a quality tool in wine authenticity. Applied Sciences 2020; 10 (17) , 5908.

[41] I Sadowska-Bartosz and G Bartosz. Biological properties and applications of betalains. Molecules 2021; 26 (9) , 2520.

[42] L Aztatzi-Rugerio, SY Granados-Balbuena, Y Zainos-Cuapio, E Ocaranza-Sánchez and M Rojas-López. Analysis of the degradation of betanin obtained from beetroot using Fourier transform infrared spectroscopy. Journal of Food Science and Technology 2019; 56 (8) , 3677-3686.

[43] M Das, A Saeid, MF Hossain, GH Jiang, JB Eun and M Ahmed. Influence of extraction parameters and stability of betacyanins extracted from red amaranth during storage. Journal of Food Science and Technology 2019; 56 (2) , 643-653.

[44] E Janiszewska-Turak, M Walczak, K Rybak, K Pobiega, M Gniewosz, Ł Woźniak and D Witrowa-Rajchert. Influence of fermentation beetroot juice process on the physico-chemical properties of spray dried powder. Molecules 2022; 27 (3) , 1008.

[45] S Wardani, M Cahyanto, E Rahayu and T Utami. The effect of inoculum size and incubation temperature on cell growth, acid production and curd formation during milk fermentation by Lactobacillus plantarum Dad 13. International Food Research Journal 2017; 24 (3) , 921.

[46] J Samoticha, A Wojdyło, J Chmielewska and J Oszmiański. The effects of flash release conditions on the phenolic compounds and antioxidant activity of Pinot noir red wine. European Food Research and Technology 2017; 243 (6) , 999-1007.

[47] SA Ordoudi, F Mantzouridou, E Daftsiou, C Malo, E Hatzidimitriou, N Nenadis and MZ Tsimidou. Pomegranate juice functional constituents after alcoholic and acetic acid fermentation. Journal of Functional Foods 2014; 8 , 161-168.

[48] ZE Mousavi, SM Mousavi, SH Razavi, M Hadinejad, Z Emam-Djomeh and M Mirzapour. Effect of fermentation of pomegranate juice by Lactobacillus plantarum and Lactobacillus acidophilus on the antioxidant activity and metabolism of sugars, organic acids and phenolic compounds. Food Biotechnology 2013; 27 (1) , 1-13.

[49] MA Varo, MP Serratosa, J Martín-Gómez, L Moyano and J Mérida. Influence of fermentation time on the phenolic compounds, vitamin C, color and antioxidant activity in the winemaking process of blueberry ( Vaccinium corymbosum ) wine obtained by maceration. Molecules 2022; 27 (22) , 7744.