Start Bootstrap Logo

Trends Sci. 202 6 ; 23 (3): 12104

Protective Effect of Pre-Germinated Brown Rice on Withdrawal Symptoms and Glutamate N-Methyl-D-Aspartate Receptor Subunit 1 Expression in Hippocampus in A Rat Model of Drug Withdrawal


Walailuk Kerdsan - Phusan 1 , Siriluk Veerasakul 2 , Samur Thanoi 1 ,

Gavin P. Reynolds 3,6 , Sudarat Jiamyangyuen 4 and Sutisa Nudmamud-Thanoi 5,6,7,*


1 School of Medical Sciences, University of Phayao, Phayao 56000, Thailand

2 Department of Occupational Health and Safety, School of Public Health, Walailak University,

Nakhon Si Thammarat 80160, Thailand

3 Biomolecular Sciences Research Centre, Sheffield Hallam University, Sheffield S1 1WB, United Kingdom

4 Division of Food Science and Technology, Faculty of Agro-Industry, Chiang Mai University,

Chiang Mai 50100 , Thailand

5 Department of Anatomy, Faculty of Medical Science, Naresuan University, Phitsanulok 65000, Thailand

6 Centre of Excellence in Medical Biotechnology, Faculty of Medical Science, Naresuan University,

Phitsanulok 65000, Thailand

7 Frontier Research Cluster in Brain Health, Naresuan University, Phitsanulok 65000, Thailand


( * Corresponding author’s e-mail: [email protected])


Received: 29 September 2025, Revised: 18 October 2025, Accepted: 28 October 2025, Published: 20 December 2025


Abstract

Drug withdrawal is recognized as a global health issue. Abuse of dextromethorphan (DXM), an over-the-counter antitussive, leads to addiction and withdrawal symptoms by acting on glutamate N-methyl-D-aspartate (NMDA) receptors. Nonetheless, effective agents for alleviating withdrawal symptoms remain limited, underlining the crucial need for novel treatments which ideally would include natural, acceptable and accessible preparations derived from functional foods. This study aimed to explore the effects of treatment with pre-germinated brown rice (PGBR) , considered a functional food due to its bioactive components, on behaviors and hippocampal NMDA glutamate receptor subunit 1 (NMDAR1) protein in a rat model of drug withdrawal from DXM administration. Locomotor activity, anxiety-like behavior, and NMDAR-1 protein levels in the hippocampus were assessed after PGBR treatment in DXM-induced withdrawal rats compared with diazepam, a drug commonly used to treat withdrawal symptoms, and gamma-aminobutyric acid (GABA), a compound enriched in PGBR for 30 and 60 days. PGBR treatment, starting from 30 days, effectively prevented the increase in locomotor activity, anxiogenic-like behavior, and the decrease of NMDAR1 protein in the hippocampus during DXM-induced withdrawal. GABA treatment partially restored locomotor activity and NMDAR1 protein levels at 60 days. Diazepam showed only partial recovery in the anxiety test after 30 days, whereas anxiety-like behavior re-emerged following 60 days of treatment. Our results indicate that PGBR impacts drug withdrawal symptoms and influences glutamate neurotransmission through modulation of glutamate NMDAR1 receptor, possibly due to the complex actions of various bioactive compounds. Furthermore, long-term PGBR treatment showed no adverse effect on behavior and NMDAR1 protein. These findings suggest that PGBR may serve as a natural agent to mitigate behavioral and molecular alterations associated with drug withdrawal in rodent models, thereby endorsing its potential for further translational research beyond the current preclinical phase.


Keywords: Pre-germinated brown rice, Drug withdrawal, Dextromethorphan, N-methyl-D-aspartate glutamate receptor , Hippocampus, Gamma aminobutyric acid-enriched food



Introduction

Drug abuse is widely recognized as a substantial worldwide health problem leading to drug dependence, while cessation of drug abuse causes the emergence of withdrawal symptoms. Drug withdrawal symptoms can appear in several forms, and evidence indicates anxiety-like behaviors [1,2] and restlessness, expressed as increased locomotion [3] , are common symptoms. Repeated exposure to abused drugs disrupts glutamate homeostasis in the hippocampus, a region critically involved in the development of drug dependence [4] and withdrawal [5] .

Dextromethorphan (DXM) is a psychoactive drug commonly found in cough suppressants and cold remedies that is frequently abused, leading to dependence and withdrawal syndromes with significant adverse health consequences [6,7] . Mechanistically, glutamate N-methyl-D-aspartate (NMDA) receptors are excitatory glutamate-gated ion channels that play critical roles in neural plasticity, development, and neuropathology. DXM acts as an uncompetitive NMDA receptor antagonist [8] . Preclinical studies have shown that high-dose exposure induces anxiogenic-like effects and long-lasting behavioral alterations, including increased locomotor activity during withdrawal [9,10] . These effects are associated with neurotoxicity in the hippocampus [11] , a region rich in NMDA receptors and critical for neuronal plasticity [12] . As the hippocampus integrates dopaminergic, serotonergic, and glucocorticoid signals, it plays a key role in anxiety-like behaviors and withdrawal-induced hyperactivity [13] . Glutamate dysregulation in this region is implicated in drug dependence and withdrawal [4,5] . Given that NMDAR1 is essential for NMDA receptor function [14] , we focused on hippocampal NMDAR1 alterations to elucidate molecular mechanisms underlying withdrawal-related behavioral phenotypes .

Considering the involvement of hippocampal glutamatergic dysfunction in withdrawal-related behaviors, this study investigates the neuroprotective potential of pre-germinated brown rice (PGBR) in a DXM withdrawal model. PGBR is a food supplement containing active components such as oryzanol, gamma-aminobutyric acid (GABA), Vitamin B1, Vitamin B6,


and Vitamin E [15] . It has been reported that germinated rice is effective against oxidative stress [16] and beta-amyloid protein-induced impairments in learning and memory [17] . PGBR has also been shown to improve depression-like behaviors and increase brain serotonin levels in mice [18] .

We previously found that treatment with PGBR can restore abnormalities in testicular structure, sperm quality, and androgen receptors in DXM-dependent rats [19] , suggesting that PGBR may benefit higher-order brain regions involved in reproductive system regulation after prolonged drug abuse. Therefore, we aim to evaluate the effects of PGBR on behavior and the NMDAR1 protein in the hippocampus during DXM withdrawal in rats.


Materials and methods

Animals

Male Sprague-Dawley rats aged 6 - 8 weeks and weighing 200 - 250 g (n = 82), obtained from the National Animal Center in Salaya, Nakorn Pathom, Thailand, were utilized in the tests. Rats were housed at a temperature of 24 ± 1 °C with a 12-hour light/dark cycle at the Center for Animal Research of Naresuan University. This study was approved by the Animal Research Committee of Naresuan University, Thailand (approval number: 55 04 0001). All animal procedures were carried out in accordance with the ARRIVE guidelines, and the animal procedures adhered to the Guide for the Care and Use of Laboratory Animals (The Guide), US National Research Council (2011).


Drugs and reagents

Dextromethorphan hydrobromide was obtained from Sigma-Aldrich ® (Lot#090M1298V), and gamma aminobutyric acid was bought from Sigma Chemical Company, St. Louis, USA. Diazepam was acquired from Naresuan University Hospital. The PGBR utilized in this investigation was provided by the Faculty of Agriculture, Natural Resources and Environment at Naresuan University. The PGBR was prepared according to a petty patent method (Petty Patent No. 6985., TH, issued on February 18, 2012). In brief, PGBR was produced by immersing brown rice ( Oryza sativa var . glutinosa ) from KhekNoi, KhaoKho, Phetchabun, Thailand, in a pH 4 solution containing 1% sodium glutamate, 0.2% α- enzyme-amylase, and 100 µ M Ca 2+ for eleven days. Following germination, the PGBR was cooked, dehydrated, pulverized, and dissolved in distilled water before being utilized. The GABA content of PGBR was assessed by the Faculty of Agriculture, Natural Resources and Environment Laboratory, Naresuan University . Other components of PGBR were investigated by the Central Laboratory (Thailand) Co., Ltd. The active PGBR ingredients evaluated in the total volume of 100 g were oryzanol 29.61 mg, GABA 16.51 mg, tocopherol (vitamin E) 0.91 mg, vitamin B6 0.11 mg, and vitamin B1 0.05 mg [15] .


Experimental design

Experiment 1: Effect of dextromethorphan administration

Animals received either a daily intraperitoneal injection (i.p.) of 30 mg/kg DXM (n = 5) or normal saline (i.p.) (n = 7) for 15 consecutive days. This model closely mimics clinical drug dependence and withdrawal by using DXM, an over-the-counter antitussive with abuse potential that acts on NMDA receptors, making it a clinically relevant agent for modeling withdrawal [7] . The chosen dose was based on previous animal studies that showed that a variety of dose regimes effectively produce psychotoxic behaviors and impair the brain reward circuit [20] .

After the last administration on day 15, all rats were subjected to locomotor activity and elevated plus maze tests. In order to minimize the utilization of animals, rats in the control group were administered distilled water for 30 and 60 days, respectively, as controls for subsequent investigations. Our model allows for a comprehensive evaluation of both behavioral outcomes and molecular changes (NMDAR1 expression) over defined withdrawal periods of 30 and 60 days. The 30-day assessment determines initial neuroadaptations and immediate therapeutic effects, and the 60-day assessment emphasizes long-term efficacy and safety, which is essential for the clinical utilization of PGBR.


Experiment 2: Effect of 30-day dextromethorphan withdrawal and treatments

Animals were categorized into 6 groups, each consisting of 7 rats: DXM withdrawal with various treatments including PGBR, GABA and diazepam, DXM withdrawal without treatment, normal control, and PGBR control. DXM withdrawal without treatment (DW30) rats were administered DXM (30 mg/kg, i.p.) for 15 days and subsequently received distilled water for 30 days.

The 30-day PGBR treatment group (DP30) involved rats receiving DXM (30 mg/kg, i.p.) for 15 days, followed by an oral administration of 5 mg/kg PGBR for 30 days. This dosage was determined to be optimal, as it effectively reduced increased locomotor activity in a preliminary study conducted by our research group. In the GABA-treated group (DG30), 0.8 mg/kg of synthetic GABA, a dose equivalent to that found in the PGBR, was administered orally for a duration of 30 days following a 15-day administration of DXM (30 mg/kg, i.p.) to the rats. Diazepam, administered at 10 mg/kg, was used as a positive control based on its established role in drug withdrawal management [21,22] . In the DD30 group, rats received a 15-day administration of DXM (30 mg/kg, i.p.) followed by 30 days of diazepam (10 mg/kg). Rats in the normal control group received normal saline (i.p.) for 15 days, followed by 30 days of distilled water as a vehicle control under the same conditions. To verify the safety of PGBR, we established a control PGBR group in which rats were administered saline (i.p.) for 15 days, followed by oral administration of 5 mg/kg PGBR for 30 days.


Experiment 3: Effect of 60-day dextromethorphan withdrawal and treatments

Six groups with 7 animals in each group were used. Control rats were administered distilled water orally for 60 days after receiving normal saline injection (i.p . ) for 15 days. In the DXM withdrawal 60-day group (DW60), rats received distilled water for 60 days after a 15-day DXM injection (30 mg/kg, i.p.), while the remaining 3 groups received the 60-day treatment orally either 10 mg/kg diazepam (DD60), 0.8 mg/kg synthetic GABA (DG60), or 5 mg/kg PGBR (DP60). Control PGBR rats were given PGBR (5 mg/kg) orally for 60 days after receiving normal saline (i.p.) for 15 days.


Locomotor activity

Following the last dose, rats were placed in an open field arena (76×76×42 cm 3 ), which was divided into 25 equal squares. The horizontal locomotor activity was monitored by video recording, and the number of squares crossed by all 4 paws was counted for 5 min. Locomotor activity was prioritized in this study due to its established sensitivity to substance-induced motor alterations in drug dependence research [23] . This method also enables repeated assessments throughout the study period [24] .


Elevated plus-maze test

The elevated plus-maze, an apparatus raised 50 cm above the ground, consists of 2 open arms and 2 enclosed arms positioned around a small central platform in a plus shape. Initially, animals were placed on the central platform where they were allowed to move freely. The number of entries onto, and the time spent on, closed and open arms were observed for 5 min.


Western blotting

After completion of the behavioral tests, all rats were euthanized by carbon dioxide inhalation. Brains were removed, and the hippocampus was carefully dissected for further NMDAR1 protein analysis. The immunoreactivity (IR) of NMDAR1 was examined using previously described methodology [25] . In brief, hippocampal samples were homogenized in a Tris-HCl buffer solution, pH 8.0 (5 mM Tris-HCl and 20 mM NaCl), and the homogenate was centrifuged at 48,000× g for 10 min. The pellet was mixed well in lysis solution with 1% protease inhibitor cocktail. The quantification of protein in the brain tissue lysate was measured using a bicinchoninic acid assay (Pierce, Ill, USA). After that, the lysate was boiled for 5 min in an equivalent amount of 2× sodium dodecyl sulfate-polyacrylamide gel electrophoresis ( SDS-PAGE) loading buffer. The supernatants were then separated using 7.5% SDS-PAGE with a  Bio-Rad Mini-PROTEAN Tetra Cell System   and power supply using Bio-Rad PowerPac™ and electrotransferred onto polyvinylidene fluoride membranes using a Bio-Rad Mini Trans-Blot Module . Following incubation in blocking reagent, the membrane was incubated with NMDAR1 antibody (Cell Signaling Technology , MA, USA). The membranes underwent treatment with a biotinylated secondary antibody and then with avidin-biotinylated horseradish peroxidase complexes (Vector Laboratories, CA, USA).

The proteins on each membrane were seen by exposing them to 3,3’,5,5’-tetramethylbenzidine (Vector Laboratories, CA, USA) for 10 min. The reaction was terminated by submerging it in distilled water for 5 min. Immunoblotting of β-actin (Sigma-Aldrich, Mo, USA) was performed as an internal standard for equal sample load and protein transfer. The NMDAR1 protein was normalized relative to that of β-actin. The immunoblotted membranes were digitized using a computer scanner, and the Scion Image software (version Alpha 4.0.3.2; http://www.scioncorp.com; 2000 - 2001) was employed to quantify the integrated optical density (IOD). The value represents the cumulative optical densities of all pixels within the selected area. All average density values of the proteins were further subtracted from their own mean density of background noise, defined as IOD. The β-actin bands were obtained from the same membrane and lane as each animal’s protein sample and used as the internal control. The NMDAR1 expression was quantified by calculating the IOD ratio of NMDAR1 to β-actin to minimize variation from protein loading and transfer. Because of the large sample size, proteins from different experimental groups were run on separate gels. To address potential cross-gel variation, all gels were processed under identical conditions, and densitometric values of NMDAR1 were normalized to the corresponding β-actin signal within the same lane. Data analysis encompassed comparisons between control and treatment groups and between treated and untreated samples at the same time point.


Statistical analysis

Statistical analysis was performed using SPSS software (version 26.0. IBM Corp., Armonk, NY, USA). Analyses of group differences were conducted utilizing Student’s t-test or one-way analysis of variance (ANOVA) with Dunnett’s post hoc test and LSD post hoc test. The data were reported as mean ± SEM. A p -value of less than 0.05 was employed to define statistical significance.


Results and discussion

Locomotor activity

An increase in the number of squares crossed compared to control [t (5.331) = −4.504; p < 0.01], as determined by an independent t-test, was found after receiving DXM for 15 days, which is defined as withdrawal baseline day 0 (DW0). Similarly, a significant increase in the number of squares crossed above control was also observed after both 30-day [t (12) = −2.567; p < 0.05] and 60-day [t (12) = −4.903; p < 0.001] withdrawal ( Figure 1 ).


Figure 1 Effects of dextromethorphan (DXM) withdrawal on locomotor activity. Data are the number of squares crossed in the open field apparatus; DXM withdrawal for 0 day (DW0), 30 days (DW30) and 60 days (DW60) after receiving a 15-day DXM, expressed as mean ± SEM (n = 5 - 7). Statistical significance is determined using Student’s t-test. * p < 0.05, ** p < 0.01, and **** p < 0.001 in comparison with control group, respectively.


One-way ANOVA revealed significant differences in locomotor activity among 30-day treatment groups [F (5, 36) = 5.456; p < 0.001] as shown in Figure 2 . According to the LSD post hoc test, PGBR treatment prevented increased locomotor activity, as indicated by a significantly lower crossing number than that of the withdrawal group ( p < 0.005), whereas this number did not differ significantly from controls. Neither the diazepam nor the GABA groups prevented increased locomotor activity, with significantly higher crossing numbers than in the control group ( p < 0.005).


Figure 2 Effects of 30-day treatments on locomotor activity during the dextromethorphan (DXM) withdrawal period: Saline + Distilled water (Control), DXM + Distilled water (DW30), DXM + pre-germinated brown rice (PGBR) (DP30), DXM + Diazepam (DD30), DXM + GABA (DG30), Saline + PGBR (CP). Values are mean ± SEM. (n = 7). Statistical significance is determined using one-way ANOVA with LSD post hoc test. *** a p < 0.005 vs Control comparison. *** b p < 0.005 vs DW30 comparison.



There was a significant effect of the 60-day treatment period [F (5, 36) = 7.348; p < 0.0001] as shown in Figure 3 . The LSD post hoc analysis demonstrated that the PGBR group continued to prevent increased locomotor activity, with the crossing number lower than DW60 ( p < 0.001) and not significantly different from the control group. Moreover, rats treated with diazepam ( p < 0.01) and GABA ( p < 0.05) also showed a reduction in crossing number compared to the DW60 group. However, a significant difference in crossing number was observed in the GABA-treated and diazepam-treated groups ( p < 0.05) compared to the normal control.


Figure 3 Effects of 60-day treatments on locomotor activity during the dextromethorphan (DXM) withdrawal period: Saline + Distilled water (Control), DXM+Distilled water (DW60), DXM + pre-germinated brown rice (PGBR) (DP60), DXM + Diazepam (DD60), DXM + GABA (DG60), Saline + PGBR (CP). Values are mean ± SEM (n = 7). Statistical significance is determined using one-way ANOVA with LSD post hoc test. * a p < 0.05 and **** a p < 0.001 vs Control comparison, respectively. * b p < 0.05, ** b p < 0.01, and **** b p < 0.001 vs DW60 comparison, respectively.


Elevated plus-maze test

The elevated plus-maze model was used to determine an anxiety-like state based on the natural fear of open and elevated space; consequently, rodents tend to avoid open arms and instead tend to stay in closed arms. Following a 5-minute exposure to an elevated plus-maze, withdrawal rats showed anxiety-like behavior, as indicated by their preference for the closed arm portion. Independent Student’s t-tests confirmed significant preferences for the closed arms in both the 30-day [t (12) = −2.588; p < 0.05] and 60-day [t (12) = −3.165; p < 0.01] withdrawal groups ( Table 1 ). Nevertheless, there was a statistically insignificant tendency towards an increase in DXM exposure without withdrawal ( p > 0.05). There was no change in the exploration of open arms and central arena.


Table 1 Effects of DXM withdrawal on elevated plus-maze test .

Parameter


Withdrawal period

Control

DW0


Control

DW30


Control

DW60

Open arm










number of entries


9.1 ± 1.0

10.4 ± 1.9


6.1 ± 1.1

7.0 ± 0.7


6.7 ± 1.5

5.4 ± 0.6

time spent (s)


84.0 ± 9.0

68.6 ± 12.2


65.1 ± 13.7

52.7 ± 2.4


50.3 ± 11.7

46.1 ± 6.3

Closed arm










number of entries


11.9 ± 0.7

15.2 ± 1.8


11.6 ± 0.9

*15.0 ± 1.0


10.6 ± 1.2

12.4 ± 0.9

time spent (s)


78.7 ± 8.2

84.8 ± 14.4


73.0 ± 8.2

90.6 ± 7.9


62.1 ± 3.9

**90.9 ± 8.2

Central










time spent (s)


137.3 ± 4.3

146.6 ± 3.1


161.9 ± 8.7

156.7 ± 8.3


187.6 ± 12.6

163.0 ± 6.1




The experimental groups included dextromethorphan (DXM) withdrawal 0 day (DW0), 30 days (DW30), and 60 days (DW60), after receiving 15 days of DXM. Values are mean ± SEM (n = 5 - 7). Statistical significance is determined using Student's t-test. * p < 0.05 and ** p < 0.01 in comparison with control group.

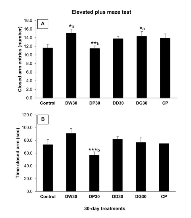
To compare treatment efficacy on anxiety-like behavior at the 30-day withdrawal phase, the DW30 group, administered only water during the 30-day withdrawal period, was included to minimize variability and enhance the reliability of intergroup comparisons under standardized experimental conditions. One-way ANOVA revealed significant differences among the 30-day treatment groups for both the number of entries [F (5, 36) = 2.636; p < 0.05] and time spent [F (5, 36) = 2.632; p < 0.05] in the closed arms of the elevated plus maze. The LSD post hoc analysis indicated that rats that received PGBR for 30 days (DP30) demonstrated a significant anxiolytic effect, as evidenced by a decrease in closed-arm preference with number of entries ( Figure 4(A) , p < 0.01) and with time spent ( Figure 4(B) , p < 0.005) compared to DXM-withdrawal rats treated with distilled water for 30 days (DW30). There were no significant differences when DP30 was compared with either the normal control or the PGBR control. Neither diazepam nor GABA treatment demonstrated a significant anxiolytic effect. In contrast, the GABA treatment group had a significantly higher number of entries in the closed-arm portion than the control group ( p < 0.05).


Figure 4 Effects of 30-day treatments on elevated plus-maze test during the dextromethorphan (DXM) withdrawal period: Saline + Distilled water (Control), DXM + Distilled water (DW30), DXM + pre-germinated brown rice (PGBR) (DP30), DXM + Diazepam (DD30), DXM + GABA (DG30), Saline + PGBR (CP). (A) Number of entries in the closed arm portion within 5 min. (B) Time spent in the closed arm portion within 5 min. Values are mean ± SEM (n = 7). Statistical significance is determined using one-way ANOVA with LSD post hoc test. * a p < 0.05 vs Control comparison. ** b p < 0.01 vs DW30 comparison. *** b p < 0.005 vs DW30 comparison.


Following the 60-day treatments, the DW60 group, which received only water during the 60-day withdrawal phase, was also included under identical conditions to ensure reliable intergroup comparisons. Following a significant treatment effect observed by one-way ANOVA [F (5, 36) = 5.617; p < 0.005], LSD post hoc analysis confirmed that the PGBR group (DP60) showed an anxiolytic effect. This was demonstrated by a significant decrease in time spent in the closed-arm portion ( p < 0.01) compared to DXM-withdrawal rats given distilled water (DW60), which was not different from control and PGBR control ( Figure 5(B) ). Treatment with diazepam or GABA did not prevent anxiety, as the rats spent significantly more time in the closed arm than the control rats ( p < 0.005). Additionally, GABA treatment resulted in a higher number of entries in closed-arm portions than the control group ( Figure 5(A)) , p < 0.05). There was no statistically significant difference observed between the control group and the PGBR control group in both the number of entries ( Figure 5(A) ) and the time spent ( Figure 5(B) ) in the closed arm portion ( p > 0.05).


Figure 5 Effects of 60-day treatments on elevated plus-maze test during the dextromethorphan (DXM) withdrawal period: Saline + Distilled water (Control), DXM + Distilled water (DW60), DXM + pre-germinated brown rice (PGBR) (DP60), DXM + Diazepam (DD60), DXM + GABA (DG60), Saline + PGBR (CP). (A) Number of entries in the closed arm portion within 5 min. (B) Time spent in the closed arm portion within 5 min. Values are mean ± SEM (n = 7). Statistical significance is determined using one-way ANOVA with LSD post hoc test. * a p < 0.05 vs Control comparison. *** a p < 0.005 vs Control comparison. * b p < 0.05 vs DW60 comparison. ** b p < 0.01 vs DW60 comparison.



NMDAR1 protein in hippocampus

One-way ANOVA revealed that NMDAR protein levels were significantly different among groups in the hippocampus [F (3, 18) = 18.930; p < 0.001]. According to the Dunnett post hoc test, a significant reduction of NMDAR1 immunoreactivity (67.6%) was found after exposure to DXM for 15 days, which was defined as withdrawal day 0 (DW0), compared to the control group ( p < 0.001). In the period of drug abstinence, the NMDAR1 protein was significantly decreased by 77.9% in the 30-day withdrawal group (DW30) relative to the control group ( p < 0.001). Additionally, a decrease of 39.8% was detected in the 60-day withdrawal group (DW60) ( p < 0.01), as depicted in Figure 6 .



Figure 6 N-methyl-D-aspartate glutamate receptor subtype 1 (NMDAR1) immunoreactivity (IR) in the hippocampus during the dextromethorphan (DXM) withdrawal period . DXM withdrawal 0 day (DW0). DXM withdrawal 30 days (DW30), DXM withdrawal 60 days (DW60), Non-treated DXM (Control). Data represent the integrated optical density (IOD) of NMDAR1-IR, normalized to β-actin levels in the hippocampus, and expressed as mean ± SEM (n = 4 - 7). Statistical significance is determined using one-way ANOVA with Dunnett’s post hoc test. ** p < 0.01 and **** p < 0.001 vs Control comparison.



During the period of DXM abstinence, the rat was subjected to each treatment regimen, and the results are shown in Figure 7 . One-way ANOVA revealed a significant effect of 30-day treatment on NMDAR1 protein levels [F (5, 23) = 5.004; p < 0.005]. According to LSD post hoc analysis, a recovery in NMDAR1 protein was detected at 30 days of PGBR-treated group in comparison 30-day withdrawal group ( p < 0.001), in which this NMDAR1 immunoreactivity did not significantly differ ( p > 0.05) from the control group. There was no significant recovery effect in either the diazepam or GABA group ( p > 0.05) for 30 days of treatment. Over the course of 60 days, a significant difference in NMDAR1 expression was observed across treatment conditions using one-way ANOVA [F (5, 23) = 5.251; p < 0.005]. Based on LSD post hoc analysis, both the PGBR ( p < 0.005) and diazepam ( p < 0.005) groups had significantly greater NMDAR1 protein than the withdrawal group (DW60). We observed an elevation in NMDAR1 in the GABA group, but this trend was not statistically significant ( p = 0.051). There was no significant difference in NMDAR1 in comparison between the control group and the PGBR control group ( p > 0.05).


Figure 7 N-methyl-D-aspartate glutamate receptor subtype 1 (NMDAR1) immunoreactivity (IR) in the hippocampus after treatments during the dextromethorphan (DXM) withdrawal period . DXM + Distilled water 30 days (DW30), DXM + Distilled water 60 days (DW60), DXM + pre-germinated brown rice (PGBR) 30 days (DP30), DXM + Diazepam 30 days (DD30), DXM + GABA 30 days (DG30), DXM + PGBR 60 days (DP60), DXM + Diazepam 60 days (DD60), DXM + GABA 60 days (DG60), Saline + Distilled water 60 days (Control), Saline + PGBR 60 days (CP). Data represent the integrated optical density (IOD) of NMDAR1-IR, normalized to β-actin levels in the hippocampus, and expressed as mean ± SEM. (n = 4 - 7). Statistical significance is determined using one-way ANOVA with LSD post hoc test. **** a p < 0.001 vs DW30 comparison. *** b p < 0.005 vs DW60 comparison. * c p < 0.05 and *** c p < 0.005 vs Control comparison.



The current findings identified adverse effects of DXM. First, DXM produced increased locomotor activity, which continued throughout drug withdrawal. Second, DXM withdrawal revealed a negative effect on the elevated plus-maze with increased closed-arm exploration, indicating an anxiogenic effect. Third, a decrease in NMDAR1 protein in the hippocampus was found in DXM exposure and withdrawal rats.

The results regarding increased locomotor activity are consistent with chronic exposures to a stimulant drug [26] as well as drug abstinence [27] , suggesting the involvement of behavioral adaptations with addiction-related profiles. In line with prior studies employing a DXM regimen of identical dosage but for a briefer period (30 mg/kg/day ×7 times) [28] , our research also observed a persistent increase in locomotor activity after 15 days of exposure and throughout the 60 days of drug cessation. The present finding of anxiogenic-like responses is in line with a study reporting chronic high-dose DXM [29] , which showed an anxiogenic profile in animals. Taken together with previous studies, the present findings in rats indicate that DXM induced dependence and relapse after chronic administration, which agrees with the clinical observations [30] .

The reduction of NMDAR1 protein found after chronic DXM and drug withdrawal periods in this study indicated that DXM causes a long-lasting glutamate receptor adaptation in the hippocampus. The present discovery aligns with a prior study that revealed a decrease in NMDAR1 expression in the hippocampus as a result of alcohol exposure [31] . As NMDAR1 is necessary to form a functional NMDA receptor [14] , which is highly expressed in the hippocampus [12] , deficits in NMDAR1 in this region may contribute to the negative consequences of drug withdrawal. The hippocampus is closely related to anxiety modulation, and damage has a significant impact on anxiety-related functions [32] . In addition, the hypofunction of the NMDA receptor is relevant to increased locomotor activity [33] . Taken together, withdrawal from the substance may induce behavioral abnormalities due to a deficiency in the NMDAR1 protein in the hippocampus. It has been reported that disruption of NMDAR1 expression affects neuron viability [34,35] . Cytotoxicity and apoptosis also occurred in hippocampal neurons associated with NMDAR [36] . A previous study showed neurogenesis in the adult rat hippocampus was suppressed by DXM administration [29] . Moreover, a single high dose of DXM exposure can cause mitochondrial dysfunction and the formation of myelinoid bodies, indicating cellular damage in the hippocampus, a hallmark of neurotoxicity [11] . Excessive glutamate release is one mechanism causing neurotoxicity through NMDA dysfunction, potentially leading to neuronal degeneration [37] . The results indicate that maladaptive alterations in the NMDAR1 receptor protein within the hippocampus may play a role in glutamatergic dysfunction during drug withdrawal. The current study concentrated solely on the hippocampus to analyse molecular changes in NMDAR1. Future research should explore additional brain regions to gain a more comprehensive understanding of the broader neurobiological consequences caused by withdrawal.

Following PGBR treatment, the rat behaviors in both locomotor activity and elevated plus-maze tests were different from those of untreated DXM-withdrawal rats, and their behavior was similar to that of the control group. This may reflect a recovery influence of PGBR treatment in withdrawal rats, which was observed from 30 days to 60 days. Furthermore, the hippocampus showed a reversal of the decrease in NMDAR1 after 30 days of PGBR treatment, and this increase was detected after 60 days compared to the withdrawal group. Our findings are supported by previous studies that PGBR can attenuate oxidative stress-induced neurotoxicity and maintain neuronal viability during a toxic insult [38] as well as reduce abnormal behavior in an animal model of depression [18] . A study has reported that excessive excitatory neurotransmission contributes to symptoms of withdrawal from substance use and is associated with neurotoxicity [39] . PGBR contains abundant bioactive compounds, including GABA, oryzanol, ferulic acid, and Vitamins [15,40-42] . Oryzanol has been reported to prevent serotonin reduction and partially prevent dopamine reduction in the brains of animals chronically exposed to stress [43] , while ferulic acid–rich germinated brown rice extracts has been shown to attenuate oxidative stress in the frontal cortex and hippocampus [44] , and ferulic acid has been demonstrated to suppress agent-induced glutamate release from rat cortical nerve terminals, thereby reducing excitotoxicity [45] . Additionally, GABA exhibits cytoprotective effects against ethanol-induced cytotoxicity in vitro [46] . Therefore, the observed effects of PGBR may be attributed to its bioactive-rich content, which could modulate neurotransmitter systems and thereby contribute to alleviating behavioral changes and alterations in NMDA receptor protein expression during drug withdrawal. Moreover, rats administered 15 days of normal saline followed by PGBR, defined as the control PGBR group, showed no significant differences from the normal control group in any measure after a prolonged 60 days of treatment. This finding suggests that PGBR treatment has no negative impact on the rat.

Synthetic GABA treatment for 30 and 60 days showed difference s in behavioral profiles from controls. Nevertheless, the 60-day treatment led to a significant decrease in locomotor activity as compared to the withdrawal rats treated with distilled water for 60 days, although this trend deviated from that of the control group. NMDAR1 protein increased when compared to withdrawal rats; however, this increase did not differ significantly from controls, especially after 60 days, but not 30 days of GABA treatment. The results may indicate a partial improvement from GABA treatment with no adverse effects in rat withdrawal from DXM. GABA-enriched food demonstrated a protective effect against cell death caused by neurotoxicity [47] and improved neuronal viability [48] . The administration of GABA significantly reduced oxidant biomarkers and enhanced the activity of antioxidant enzymes in the hippocampus of acute epileptic state rats [49] and the brain tissue of streptozotocin-treated rats [50] . Furthermore, GABA has been shown to elevate anti-inflammatory cytokine levels in the prefrontal cortex and to normalize levels of complement system proteins (C3, C4b, Cfh, and Cfi), key regulators of inflammation and immune homeostasis, in the hippocampus in chronically stressed mice [51] . In our previous study on the reproductive system using 60-day GABA treatment for the same animal model of DXM addiction, we found only partial recovery effects, whereas PGBR exhibited a positive impact on all parameters, including sperm quality, sperm motility, and expression of androgen receptors [19] . Considering the systemic impact of prolonged PGBR treatment, the current GABA treatment findings suggest that the high bioactive content of PGBR may contribute to reducing impairment in NMDAR1 and behaviors. However, as this study did not directly examine the combined effects of its content, further investigation is necessary to determine whether such interactions exist and to explore their potential synergistic effects.

Our results show that PGBR surpasses diazepam and synthetic GABA in anxiolytic effects, reduction of hyperlocomotion, and modulation of glutamate neurotransmission via the modulation of the NMDAR1 receptor. This aligns with a study indicating that PGBR improves depressive symptoms and increases brain serotonin levels [18] . PGBR encompasses various bioactive compounds, such as γ-oryzanol and ferulic acid, which have been shown to influence neurotransmission [43,45] . Ferulic acid exhibits cytoprotective properties and has been shown to mitigate hydrogen peroxide-induced cytotoxicity in a human neuronal cell model by reducing reactive oxygen species levels and inhibiting lipid peroxidation [52] . γ-Oryzanol may protect against glutamate excitotoxicity in the hippocampal neuronal cells through 2 mechanisms. First, it acts as an antioxidant and mitochondrial protection by decreasing oxidative stress, maintaining mitochondrial membrane potential, and decreasing calcium overload, thus preserving neural integrity and functionality. Second, it suppresses apoptotic signaling by inhibiting CaMKII activation, which blocks the downstream apoptotic cascade (ASK-1/c-Jun/AP-1), ultimately preventing glutamate-induced neuronal death [53] . Additionally, GABA, a bioactive compound highly abundant in PGBR [15,54,55] , exhibits antioxidant properties that may protect against oxidative stress-induced neuronal damage [50] . Notably, GABA, a major inhibitory neurotransmitter, plays a critical role in reducing neuronal excitability and modulating synaptic plasticity. It also regulates complement activation and inflammatory processes in the brain, suggesting a role in maintaining neuroimmune homeostasis [51] . This may contribute to the partial restoration of NMDAR1 protein levels and locomotor activity, which is observed only after 60 days of treatment.

For the diazepam treatments, an increase in locomotor activity over control was detected in both 30 and 60 days. At 60 days of treatment, there was a tendency to decrease locomotor activity in the diazepam group compared to the withdrawal group, but this remained different from the control group. There was no difference in elevated plus-maze tests compared to the control group after 30 days of treatment, while anxiety-like behavior developed after 60 days of treatment. A previous study has revealed that diazepam can cause aberrant locomotor activity [56] , which supports the current finding of increased locomotor activity. Our study found only partial recovery effects from 30 days of diazepam treatment on the elevated plus-maze test. This observation may indicate a sub-optimal effect of the use of diazepam as an anxiolytic medication that functions by binding to the benzodiazepine site on GABA-A receptors [57] . Based on a prior study, impaired GABA-A receptor-mediated neurotransmission was reported after alcohol exposure and withdrawal [58] . Moreover, knockout mice lacking the GABA-A receptor α1 subunit produced abnormal movements in response to alcohol exposure [59] . However, our study found that diazepam is ineffective in alleviating withdrawal symptoms, maybe because there is a decrease in the interaction between diazepam and its specific binding site, which may result from neurotoxic-induced cell degeneration in the hippocampus. Although a partial recovery on the elevated plus-maze tests and an increase in NMDAR1 protein were observed following 60 days of treatment, diazepam had an adverse effect on behavior profiles after 30 days. Diazepam is a prescribed medicine for the treatment of withdrawal symptoms; however, prolonged diazepam use may result in drug tolerance and addiction. However, the clinical application of diazepam in drug withdrawal management can be restricted in specific situations, such as alcohol withdrawal with hepatic insufficiency, because of the increased risk of drug accumulation and adverse effects [60] . Our data indicate that diazepam has a limited potential to alleviate anxiety in rats undergoing DXM withdrawal after 30 days of treatment, while inducing increased locomotor activity.

The present study indicates that diazepam does not effectively alleviate withdrawal symptoms, probably due to reduced interaction with its specific binding site. Diazepam functions by binding to the benzodiazepine site on GABA-A receptors; however, previous research indicates that withdrawal from substances disrupts GABA-A receptor-mediated neurotransmission [58] . Furthermore, prolonged diazepam use can lead to drug tolerance, potential addiction, and negative behavioral consequences. Although partial recovery was found after 60 days, its limited effectiveness and possible adverse effects underscore the risks associated with prolonged use. Given that excitotoxicity in the hippocampus is induced by excessive glutamatergic activity as well as alterations in ion channels induced by drugs, such as 4-aminopyridine, it was expected that GABAergic interventions would counteract these effects. However, GABAergic interventions by directly activating GABA-A receptors unexpectedly fail to mitigate these effects and paradoxically exacerbate seizures and neuronal damage. This suggests the complex interplay between excitotoxicity, ion channel alterations, and inhibitory neurotransmission that requires further elucidation [61] .

While diazepam remains a standard pharmacological option, its risks of dependency, withdrawal symptoms, and sedation limit its long-term use. Other pharmacological treatments have also been utilized for withdrawal management, as supported by comparative studies evaluating their efficacy, safety, and dependency risks. Lorazepam, like diazepam, is a classical benzodiazepine which acts as a positive allosteric modulator of the GABA-A receptor. In contrast, lorazepam typically necessitates high beginning dosages requiring cautious monitoring, whereas diazepam necessitates more frequent administration due to its pronounced lipophilicity, resulting in rapid tissue distribution and a shorter duration of action [62] . Baclofen, a GABA-B receptor agonist, has been proposed as a viable alternative with a favorable safety profile and low addictive potential; however, diazepam appears to be the preferred option for rapid agitation control, despite its higher risk of dependence [63] . Lofexidine, an α2-adrenergic receptor agonist, is as effective as diazepam in managing withdrawal symptoms but has the advantage of no addiction potential and higher treatment retention rates. However, it requires careful monitoring due to potential side effects, including hypotension and bradycardia. Diazepam, conversely, serves as a short-term solution but is associated with considerable risks of addiction [64] .

Our findings suggest that PGBR may serve as a potential alternative to diazepam and synthetic GABA, showing comparable anxiolytic effects, reduction in hyperlocomotion, and modulation of NMDAR1, while also addressing some limitations observed with diazepam and GABA in ameliorating withdrawal symptoms. Moreover, its potential clinical applicability in human withdrawal syndromes warrants further investigation, particularly in the context of its bioactive compounds and their influence on neurotransmission and oxidative stress regulation. While the present investigation offers significant preclinical evidence for the neuroprotective potential of PGBR in reducing withdrawal-induced neurobiological disturbances, the pharmacokinetics, bioavailability, and safety of PGBR in individuals who are withdrawing from DXM or other substances should be evaluated in future clinical investigations. Furthermore, controlled clinical trials are necessary to ascertain the most effective dosage and duration of PGBR administration for the reduction of withdrawal-related anxiety, hyperlocomotion, and cognitive deficits.


Conclusions

The present investigation demonstrated that treatment with PGBR can prevent increased locomotor activity, anxiogenic-like behavior, and a reduction in NMDAR1 protein in the hippocampus in a rat model of drug withdrawal. These findings suggest that PGBR impacts drug withdrawal symptoms and influences glutamate neurotransmission through modulation of glutamate NMDAR1 receptors, possibly due to the complex actions of various bioactive compounds. Furthermore, long-term PGBR treatment showed no adverse effect on behavior and NMDAR1 protein. These findings indicate that PGBR may serve as a natural agent to mitigate behavioral and molecular alterations associated with drug withdrawal in rodent models, thereby endorsing its potential for further translational research beyond the preclinical phase.


Acknowledgements

This research was funded by the Agricultural Research Development Agency (ARDA) Thailand (grant number CRP5507020130 and PRP5605021870). This work was partially supported by Naresuan University, Thailand [Global and Frontier Research University Fund (grant number R2567C003)], Fundamental Fund (grant number R2567B022), and Frontier Research and Innovation Clusters Grant (grant number R2569C004)]. We are grateful for the facility support from the Faculty of Medical Science, Naresuan University, Thailand and the School of Medical Sciences, University of Phayao, Thailand.


Declaration of Generative AI in Scientific Writing

Generative AI tools were used to assist in language editing and improving readability. The authors accept full responsibility for the content and accuracy of the manuscript.


CRediT Author Statement

Walailuk Kerdsan-Phusan : Writing - Original draft , Investigation, Data curation, Formal analysis, Interpretation of data; Siriluk Veerasakul : Methodology, Investigation, Data curation, Validation, Formal analysis; Samur Thanoi : Conceptualization, Supervision, Project administration, Methodology; Gavin P Reynolds : Supervision, Visualization, Writing - Reviewing and Editing; Sudarat Jiamyangyuen : Resources, Methodology, Investigation, Validation; Sutisa Nudmamud-Thanoi : Conceptualization, Funding acquisition, Project administration, Supervision, Resources, Methodology, Writing - Reviewing and Editing . All authors have given their final approval for the published version and are willing to assume responsibility for the study.


References

[1] X Lu, Y Fan, Y Peng, W Pan, D Du, X Xu, N Li, T He, J Nie, P Shi, F Ge, D Liu, Y Chen and X Guan. Gegen-Qinlian decoction alleviates anxiety-like behaviors in methamphetamine-withdrawn mice by regulating Akkermansia and metabolism in the colon. Chinese Medicine 2023; 18(1) , 85.

[2] MG Ghilotti, RP Fortuna, KOA Ayensu, D Stern and EM Unterwald. The effects of ketamine on methamphetamine withdrawal-induced anxiety and drug-seeking behaviors in the rat. bioRxiv 2025; 276 , 112861.

[3] I Reverte, C Marchetti, S Pezza, SF Zenoni, G Scaringi, L Ferrucci, G D'Ottavio, A Pignataro, D Andolina, M Raspa, F Scavizzi, M Venniro, LA Ramsey, C Gross, D Caprioli and D Ragozzino. Microglia-mediated calcium-permeable AMPAR accumulation in the nucleus accumbens drives hyperlocomotion during cocaine withdrawal. Brain, Behavior, and Immunity 2024; 115 , 535-542.

[4] JH Anneken, JI Cunningham, SA Collins, BK Yamamoto and GA Gudelsky. MDMA increases glutamate release and reduces parvalbumin-positive GABAergic cells in the dorsal hippocampus of the rat: Role of cyclooxygenase. Journal of NeuroImmune Pharmacology 2013; 8(1) , 58-65.

[5] M Marszalek-Grabska, E Gibula-Bruzda, A Bodzon-Kulakowska, P Suder, K Gawel, J Filarowska, J Listos, W Danysz and JH Kotlinska. Effects of the positive allosteric modulator of metabotropic glutamate receptor 5, VU-29, on impairment of novel object recognition induced by acute ethanol and ethanol withdrawal in rats. Neurotoxicity Research 2018; 33(3) , 607-620.

[6] CJ Reissig, LP Carter, MW Johnson, MZ Mintzer, MA Klinedinst and RR Griffiths. High doses of dextromethorphan, an NMDA antagonist, produce effects similar to classic hallucinogens. Psychopharmacology 2012; 223(1) , 1-15.

[7] S Miller. Dextromethorphan psychosis, dependence and physical withdrawal. Addiction Biology 2005; 10(4) , 325-327.

[8] AV Ferrer-Montiel, JM Merino, R Planells-Cases, W Sun and M Montal. Structural determinants of the blocker binding site in glutamate and NMDA receptor channels. Neuropharmacology 1998; 37(2) , 139-147.

[9] JS Saavedra, PI Garrett, SC Honeycutt, AM Peterson, JW White and TM Hillhouse. Assessment of the rapid and sustained antidepressant-like effects of dextromethorphan in mice. Pharmacology Biochemistry and Behavior 2020; 197 , 173003.

[10] MLS Bates and KA Trujillo. Repeated dextromethorphan administration in adolescent rats produces long-lasting behavioral alterations. Pharmacology, Biochemistry, and Behavior 2023; 227-228 , 173581.

[11] HQ Tran, YH Chung, EJ Shin, WK Kim, JC Lee, JH Jeong, MB Wie, CG Jang, K Yamada and T Nabeshima. High-dose dextromethorphan produces myelinoid bodies in the hippocampus of rats. Journal of Pharmacological Sciences 2016; 132(2) , 166-170.

[12] WW Wang, R Cao, ZR Rao and LW Chen. Differential expression of NMDA and AMPA receptor subunits in DARPP-32-containing neurons of the cerebral cortex, hippocampus and neostriatum of rats. Brain Research 2004; 998(2) , 174-183.

[13] G Forster, J Barr and B Bray. The hippocampus as a neural link between negative affect and vulnerability for psychostimulant relapse. In : A Stuchlik (Ed.). The hippocampus - plasticity and functions. IntechOpen, Rijeka, Croatia, 2017, p. 127-167.

[14] M Flores-Soto, V Chaparro-Huerta, M Escoto-Delgadillo, E Vazquez-Valls, R González-Castañeda and C Beas-Zarate. Structure and function of NMDA-type glutamate receptor subunits. Neurología 2012; 27(5) , 301-310.

[15] J Roboon, S Nudmamud‐Thanoi and S Thanoi. Recovery effect of pre‐germinated brown rice on the alteration of sperm quality, testicular structure and androgen receptor expression in rat model of depression. Andrologia 2017; 49(1) , e12596.

[16] NN Wu, R Li, ZJ Li and B Tan. Effect of germination in the form of paddy rice and brown rice on their phytic acid, GABA, γ-oryzanol, phenolics, flavonoids and antioxidant capacity. Food Research International 2022; 159(2022) , 111603.

[17] T Mamiya, T Asanuma, M Kise, Y Ito, A Mizukuchi, H Aoto and M Ukai. Effects of pre-germinated brown rice on β-amyloid protein-induced learning and memory deficits in mice. Biological and Pharmaceutical Bulletin 2004; 27(7) , 1041-1045.

[18] T Mamiya, M Kise, K Morikawa, H Aoto, M Ukai and Y Noda. Effects of pre-germinated brown rice on depression-like behavior in mice. Pharmacology, Biochemistry, and Behavior 2007; 86(1) , 62-67.

[19] S Thanoi, J Roboon and S Nudmamud-Thanoi. Recovery effect of pre-germinated brown rice on the changes of sperm quality, testicular structure and androgen receptor expression in a rat model of drug addiction. International Journal of Medical Sciences 2018; 15(9) , 921.

[20] Y Nam, EJ Shin, BK Yang, JH Bach, JH Jeong, YH Chung, ES Park, Z Li, KW Kim, YB Kwon, T Nabeshima and HC Kim. Dextromethorphan-induced psychotoxic behaviors cause sexual dysfunction in male mice via stimulation of σ-1 receptors. Neurochemistry International 2012; 61(6) , 913-922.

[21] S Guo, V Manning, Y Yang, PK Koh, E Chan, NN de Souza, PN Assam, R Sultana, R Wijesinghe, J Pangjaya, G Kandasami, C Cheok, KM Lee and KE Wong. Lofexidine versus diazepam for the treatment of opioid withdrawal syndrome: A double-blind randomized clinical trial in Singapore. Journal of Substance Abuse Treatment 2018; 91 , 1-11.

[22] E Day and C Daly. Clinical management of the alcohol withdrawal syndrome. Addiction 2022; 117(3) , 804-814.

[23] T Wscieklica, M de Barros Viana, L Le Sueur Maluf, KC Pouza, RC Spadari and IC Céspedes. Alcohol consumption increases locomotion in an open field and induces Fos-immunoreactivity in reward and approach/withdrawal-related neurocircuitries. Alcohol 2016; 50(2016) , 73-82.

[24] KS Tatem, JL Quinn, A Phadke, Q Yu, H Gordish-Dressman and K Nagaraju. Behavioral and locomotor measurements using an open field activity monitoring system for skeletal muscle diseases. Journal of Visualized Experiments 2014; (91) , 51785.

[25] W Kerdsan, S Thanoi and S Nudmamud-Thanoi. Changes in glutamate/NMDA receptor subunit 1 expression in rat brain after acute and subacute exposure to methamphetamine. BioMed Research International 2009; 2009(1) , 329631.

[26] L Mihalčíková, A Ochozková and R Šlamberová. Effect of methamphetamine exposure on sexual behavior and locomotor activity of adult male rats. Physiological Research 2019; 68(S3) , S339-S346.

[27] L Du, L Xiao, C Zou and J Huang. Vanillin attenuates the ethanol withdrawal syndrome and ethanol withdrawal induced anxiety by regulating the neurochemical balance. Folia Neuropathologica 2022; 60(3) , 316-323.

[28] EJ Shin, BT Nguyen, JH Jeong, BC Hoai Nguyen, NKC Tran, N Sharma, DJ Kim, SY Nah, D Lichtstein, T Nabeshima and HC Kim. Ouabain inhibitor rostafuroxin attenuates dextromethorphan-induced manic potential. Food and Chemical Toxicology 2021; 158(4) , 112657.

[29] KT Po, AMH Siu, BWM Lau, JNM Chan, KF So and CC Chan. Repeated, high-dose dextromethorphan treatment decreases neurogenesis and results in depression-like behavior in rats. Experimental Brain Research 2015; 233(7) , 2205-2214.

[30] J Xu, H Ou, P Sun, S Qin and TF Yuan. Brief report: Predictors of relapse for patients with dextromethorphan dependence. The American Journal on Addictions 2021; 30(2) , 192-194.

[31] Y Zhang, F He, T Hua and Q Sun. Green tea polyphenols ameliorate ethanol-induced spatial learning and memory impairments by enhancing hippocampus NMDAR1 expression and CREB activity in rats. Neuroreport 2018; 29(18) , 1564-1570.

[32] YL Wang, QQ Han, WQ Gong, DH Pan, LZ Wang, W Hu, M Yang, B Li, J Yu and Q Liu. Microglial activation mediates chronic mild stress-induced depressive- and anxiety-like behavior in adult rats. Journal of Neuroinflammation 2018; 15(1) , 21.

[33] MR Hudson, E Sokolenko, TJ O'Brien and NC Jones. NMDA receptors on parvalbumin-positive interneurons and pyramidal neurons both contribute to MK-801 induced gamma oscillatory disturbances: Complex relationships with behaviour. Neurobiology of Disease 2020; 134(2020) , 104625.

[34] M Yuzaki, D Forrest, LM Verselis, SC Sun, T Curran and JA Connor. Functional NMDA receptors are transiently active and support the survival of Purkinje cells in culture. Journal of Neuroscience 1996; 16(15) , 4651-4661.

[35] D Tian, Y Guo, D Zhang, Q Gao, G Liu, J Lin, Z Chang, Y Wang, R Su and Z Han. Shenzhi Jiannao formula ameliorates vascular dementia in vivo and in vitro by inhibition glutamate neurotoxicity via promoting clathrin-mediated endocytosis. Chinese Medicine 2021; 16(1) , 65.

[36] HJ Park, CE Gonzalez-Islas, Y Kang, JM Li and I Choi. Deletion of the Na/HCO3 transporter NBCn1 protects hippocampal neurons from NMDA-induced seizures and neurotoxicity in mice. Scientific Reports 2019; 9(1) , 1-12.

[37] R Sattler and M Tymianski. Molecular mechanisms of glutamate receptor-mediated excitotoxic neuronal cell death. Molecular Neurobiology 2001; 24(1) , 107-129.

[38] NH Azmi, M Ismail, N Ismail, MU Imam, NBM Alitheen and MA Abdullah. Germinated brown rice alters Aβ (1-42) aggregation and modulates alzheimer’s disease-related genes in differentiated human SH-SY5Y cells. Evidence-Based Complementary and Alternative Medicine 2015; 2015(8) , 1-12.

[39] GE Tsai, P Ragan, R Chang, S Chen, VMI Linnoila and JT Coyle. Increased glutamatergic neurotransmission and oxidative stress after alcohol withdrawal. American Journal of Psychiatry 1998; 155(6) , 726-732.

[40] HL Liang, PW Cheng, HL Lin, CL Hao, LY Ke, HY Chou, YH Tseng, HW Yen and KP Shen. Extract of pre-germinated brown rice protects against cardiovascular dysfunction by reducing levels of inflammation and free radicals in a rat model of type II diabetes. Journal of Functional Foods 2020; 75(2020) , 104218.

[41] A Moongngarm and N Saetung. Comparison of chemical compositions and bioactive compounds of germinated rough rice and brown rice. Food Chemistry 2010; 122(3) , 782-788.

[42] C Ren, B Hong, X Zheng, L Wang, Y Zhang, L Guan, X Yao, W Huang, Y Zhou and S Lu. Improvement of germinated brown rice quality with autoclaving treatment. Food Science & Nutrition 2020; 8(3) , 1709-1717.

[43] SM Araujo, VC Bortolotto, MR Poetini, MMM Dahleh, SdF Couto, FC Pinheiro, LB Meichtry, EAS Musachio, BP Ramborger and R Roehrs. γ-Oryzanol produces an antidepressant-like effect in a chronic unpredictable mild stress model of depression in Drosophila melanogaster. Stress 2021; 24(3) , 282-293.

[44] NH Azmi, N Ismail, MU Imam, J Ooi and SNH Oslan. Modulation of high-fat diet-induced brain oxidative stress by ferulate-rich germinated brown rice ethyl acetate extract. Molecules 2022; 27(15) , 4907.

[45] TY Lin, CW Lu, SK Huang and SJ Wang. Ferulic acid suppresses glutamate release through inhibition of voltage-dependent calcium entry in rat cerebrocortical nerve terminals. Journal of Medicinal Food 2013; 16(2) , 112-119.

[46] T Norikura, A Kojima-Yuasa, D Opare Kennedy and I Matsui-Yuasa. Protective effect of gamma-aminobutyric acid (GABA) against cytotoxicity of ethanol in isolated rat hepatocytes involves modulations in cellular polyamine levels. Amino Acids 2007; 32(3) , 419-423.

[47] HEC Chang. Production of γ-aminobutyric acid (GABA) by Lactobacillus buchneri isolated from kimchi and its neuroprotective effect on neuronal cells. Journal of Microbiology and Biotechnolog 2007; 17(1) , 104-109.

[48] W Li, M Wei, J Wu, X Rui and M Dong. Novel fermented chickpea milk with enhanced level of γ-aminobutyric acid and neuroprotective effect on PC12 cells. PeerJ 2016; 4 , e2292.

[49] Y Deng, W Wang, P Yu, Z Xi, L Xu, X Li and N He. Comparison of taurine, GABA, Glu, and Asp as scavengers of malondialdehyde in vitro and in vivo . Nanoscale Research Letters 2013; 8(1) , 1-9.

[50] N Eltahawy, H Saada and A Hammad. Gamma amino butyric acid attenuates brain oxidative damage associated with insulin alteration in streptozotocin-treated rats. Indian Journal of Clinical Biochemistry 2017; 32(2) , 207-213.

[51] J Xu, Z Ge, H Wang, C Zhang, J Xu, Y Li, X Yang, L Zhang, Z Li, Z Liu, G Wang and J Du. Long-term GABA supplementation mitigates anxiety by modulating complement and neuroinflammatory pathways. NPJ Science of Food 2025; 9(1) , 60.

[52] J Zhang, LD Melton, A Adaim and MA Skinner. Cytoprotective effects of polyphenolics on H 2 O 2 -induced cell death in SH-SY5Y cells in relation to their antioxidant activities. European Food Research and Technology 2008; 228(1) , 123-131.

[53] LC Chen, MC Lai, TY Hong and IM Liu. γ-Oryzanol from rice bran antagonizes glutamate-induced excitotoxicity in an in vitro model of differentiated HT-22 cells. Nutrients 2024; 16(8) , 1237.

[54] P Prakhongsil, S Sajjabut, W Pewlong, K Khemthong, J Eamsiri, R Picha and N Thamrongsiripak. Increasing γ-Aminobutyric Acid in Mixed Germinated Brown Rice Via Electron Beam Irradiation. Trends in Sciences 2024; 22(1) , 8611.

[55] J Saikia, P Borah, D Borah, AM Baruah, M Sinha, KJ Devi, SK Semmichon, G Kalsi and M Gogoi. Effects of Germination on γ-aminobutyric acid (GABA) content and cooking quality of ahu rice landrace. Journal of Food Science 2025; 90(8) , e70501.

[56] M Wu, X Qiu, C Chen, K Chen, M Li, H Xu, X Wu, Y Shimasaki and Y Oshima. Short-term and persistent impacts of sublethal exposure to diazepam on behavioral traits and brain GABA levels in juvenile zebrafish (Danio rerio). Science of The Total Environment 2020; 740 , 140392.

[57] MG de Oliveira, LK da Silva Moreira, LC Turones, D de Souza Almeida, AN Martins, TLS Oliveira, VB da Silva, LL Borges, EA Costa and JR de Paula. Mechanism of action involved in the anxiolytic-like effects of Hibalactone isolated from Hydrocotyle umbellata L. Journal of Traditional and Complementary Medicine 2022; 12(4) , 318-329.

[58] BA Hughes, JP Bohnsack, TK O'Buckley, MA Herman and AL Morrow. Chronic ethanol exposure and withdrawal impair synaptic GABAA receptor-mediated neurotransmission in deep-layer prefrontal cortex. Alcoholism, Clinical and Experimental Research 2019; 43(5) , 822-832.

[59] JE Kralic, HE Criswell, JL Osterman, TK O’Buckley, ME Wilkie, DB Matthews, K Hamre, GR Breese, GE Homanics and AL Morrow. Genetic essential tremor in γ-aminobutyric acidA receptor α1 subunit knockout mice. The Journal of Clinical Investigation 2005; 115(3) , 774-779.

[60] SJ Weintraub. Should chlordiazepoxide and diazepam be avoided when treating alcohol withdrawal syndrome in patients with hepatic insufficiency? Clinical Toxicology 2025; 63(5) , 303-309.

[61] F Peña and R Tapia. Seizures and neurodegeneration induced by 4-aminopyridine in rat hippocampus in vivo: role of glutamate- and GABA-mediated neurotransmission and of ion channels. Neuroscience 2000; 101 , 547-561.

[62] KH Brickel, EK Hodge, D Zavgorodnyaya, JM Schroeder, LH Brown and MJ Daley. A comparison of injectable diazepam and lorazepam in the goal-directed management of severe alcohol withdrawal. Annals of Pharmacotherapy 2024; 58 , 453-460.

[63] G Addolorato, L Leggio, L Abenavoli, R Agabio, F Caputo, E Capristo, G Colombo, GL Gessa and G Gasbarrini. Baclofen in the treatment of alcohol withdrawal syndrome: A comparative study vs diazepam. The American Journal of Medicine 2006; 119(3) , e13-276.

[64] S Guo, V Manning, Y Yang, PK Koh, E Chan, NN de Souza, PN Assam, R Sultana, R Wijesinghe, J Pangjaya, G Kandasami, C Cheok, KM Lee and KE Wong. Lofexidine versus diazepam for the treatment of opioid withdrawal syndrome: A double-blind randomized clinical trial in Singapore. Journal of Substance Abuse Treatment 2018; 91 , 1-11.