Trends
Sci.
2026;
23(3):
11303
Homogenization-Assisted Extraction of Antioxidants from Centella asiatica Using a Natural Deep Eutectic Solvent (NADES): Optimization and Evaluation
Thi
Thanh Huyen Nguyen1,2,
Long Lieu1,2,
,
Duy Thanh Phu Quan Dao1,2,
Vo
Yen Nhi Pham1,2
and Dinh Quan Nguyen1,2,*,
1Laboratory of Biofuel and Biomass Research, Faculty of Chemical Engineering, Ho Chi Minh City University of Technology, Ho Chi Minh, Vietnam
2Vietnam National University Ho Chi Minh City, Ho Chi Minh, Vietnam
(*Corresponding author’s email: [email protected])
Received: 18 July 2025, Revised: 26 August 2025, Accepted: 1 October 2025, Published: 1 December 2025
Abstract
Centella asiatica (L.) Urban is a valued medicinal herb rich in antioxidant compounds, notably phenolics and flavonoids. This study aimed to develop a green and effective method for extracting these bioactives using natural deep eutectic solvents (NADES) coupled with homogenization-assisted extraction (HAE). Twelve NADES systems were screened, and choline chloride:glycerol (1:2) demonstrated the highest efficiency due to its moderate viscosity and strong solvation capacity. A Box-Behnken Design combined with response surface methodology was employed to optimize 4 key factors: Liquid-to-solid ratio (30 - 70 mL/g), solvent concentration (10% - 30%), homogenization speed (5,000 - 15,000 rpm), and extraction time (10 - 30 min). Optimal conditions (50 mL/g, 20% solvent, 10,000 rpm, 20 min) achieved a 31.79% extraction yield, 66.91 mg GAE/g of total phenolic content, 45.13 mg QE/g of total flavonoid content, and 80.72% DPPH radical scavenging activity. Statistical models exhibited strong predictive power (R2 > 0.91), validating the process efficiency. The integration of NADES and HAE provides a scalable, solvent-free alternative to conventional extraction, supporting sustainable production of antioxidant-rich extracts. This method holds promise for applications in functional foods, pharmaceuticals, and cosmetics where clean-label, eco-friendly ingredients are in demand.
Keywords: Centella asiatica, Natural deep eutectic solvents (NADES), Homogenization-assisted extraction (HAE), Box-Behnken design, Green extraction, Antioxidant capacity
Introduction
Centella asiatica (L.) Urban, commonly known as Gotu kola, is a medicinal plant broadly distributed in Southeast Asia and traditionally utilized for wound healing, cognitive enhancement, and anti-inflammatory purposes [1,2]. Phytochemical investigations have revealed that the pharmacological efficacy of C. asiatica arises from a complex array of bioactive constituents, notably triterpenoid saponins (asiaticoside, madecassoside), phenolic acids, and flavonoids [3,4]. Relative to commonly studied herbs such as Rosmarinus officinalis [1], Thymus serpyllum L [2] and Origanum vulgare [3] as investigated in prior researchs, while these common herbs exhibit high total phenolic contents or radical scavenging capacity, C. asiatica remains distinctive due to its broad-spectrum bioactivity and the presence of unique triterpenoid compounds. Reported total phenolic contents in C. asiatica extracts (20 - 35 mg GAE/g DW) are comparable to or higher than many culinary herbs, while its triterpenoid concentration (up to 8% DW) is substantially greater, reinforcing its selection as a superior source of multifunctional phytochemicals. These compounds have drawn increasing interest from the food, pharmaceutical, and cosmeceutical industries due to their proven antioxidant, antimicrobial, neuroprotective, and dermo-regenerative activities [5-7]. Furthermore, they are particularly notable for their anti-inflammatory, wound healing and neuroprotective properties in attenuating spinal cord injury-activities not commonly found in typical phenolic-rich herbs. However, the recovery of these compounds from plant matrices presents a significant challenge. Conventional extraction methods typically employ organic solvents (ethanol, methanol, acetone) under heat or ultrasound conditions, which, despite their effectiveness, are associated with environmental concerns, solvent toxicity, energy consumption, and limited selectivity for target compounds [8-10]. Moreover, high temperatures or prolonged extraction durations may lead to the degradation of thermolabile phytochemicals, particularly phenolic and flavonoid contents [11].
In response to these limitations, natural deep eutectic solvents (NADES) have emerged as promising green extraction media [12,13]. NADES are designer solvents formed by mixing hydrogen bond donors and acceptors, such as choline chloride with glycerol, lactic acid, or sugars, which upon mixing form a eutectic system stabilized by extensive hydrogen bonding. These solvents possess green characteristics such as biodegradable, non-volatile, non-flammable, and ability to be tailored to achieve a wide range of polarities [14-16]. More importantly, NADES have demonstrated remarkable efficacy in extracting phenolic compounds and stabilizing them against oxidation and degradation [17,18]. Recent studies have highlighted the advantages of NADES over conventional solvents in recovering phytochemicals from Rosmarinus officinalis [19], Camellia sinensis [20], and Glycyrrhiza glabra [21].
To further enhance extraction efficiency, homogenization-assisted extraction (HAE) has gained attention as a physical intensification method. HAE applies strong mechanical shear forces that rupture plant cell walls, promote solvent penetration, and facilitate the release of intracellular contents [22]. Compared to traditional solid-liquid extraction or Soxhlet extraction, HAE enables shorter extraction times, lower temperatures, and higher yields without extensive degradation of target compounds [23]. When combined with NADES, HAE offers a sustainable, solvent-efficient, and thermally mild platform for phytochemical extraction, although such integration remains relatively underexplored in the literature. Few studies to date have focused on the NADES-HAE approach for Centella asiatica. While prior works have demonstrated the potential of NADES for static maceration or ultrasound-assisted extraction from C. asiatica [24-26], the synergistic effect of homogenization parameters (e.g., homogenization speed, which indirectly determines shear rate, and extraction time) with NADES composition has not been fully investigated. In this study, shear rate was not directly measured but considered indirectly via homogenization speed (rpm), which controls the rotor tip velocity and thus the effective shear forces in the extraction medium. Importantly, multivariate optimization techniques, such as response surface methodology (RSM) using Box-Behnken design, are essential to understand the interactive effects between operational variables, such as liquid-to-solid ratio, NADES concentration, homogenization speed, and extraction time, on extraction performance [25]. These 4 variables were selected based on preliminary single-factor screening and supported by recent studies. The liquid-to-solid ratio directly influences solvent penetration and mass transfer gradients [27], while the level of NADES dilution (water content) modulates viscosity and solvation capacity - both critical for efficient recovery of phenolics and flavonoids [28]. Homogenization speed determines the intensity of shear force applied for cell disruption, thereby affecting the release of intracellular compounds, whereas extraction time governs diffusion efficiency and simultaneously limits possible degradation of thermo- or shear-sensitive constituents [29].
The Box-Behnken design (BBD) is particularly suitable because it minimizes the number of experimental runs while efficiently estimating linear, quadratic, and interaction effects without requiring extreme factor levels [27]. In natural product research, design of experiments (DoE) approaches such as BBD have increasingly been applied to optimize solvent systems and process variables, offering reproducible and statistically robust conditions for maximizing the recovery of phenolic and flavonoid compounds [30]. Therefore, applying BBD in this study enables not only the determination of significant variables but also the visualization of their interactions, leading to a more precise and efficient optimization strategy for NADES-based extraction of Centella asiatica. These variables jointly determine the efficacy of compound recovery, solvent penetration, and energy efficiency, particularly when working with viscous, non-volatile solvents like NADES [31].
Therefore, the present study aims to optimize a homogenization-assisted extraction protocol using natural deep eutectic solvents for the green and efficient recovery of bioactive compounds from Centella asiatica. In particular, the study was to (i) screen various NADES formulations for extraction efficiency; (ii) evaluate the influence of key variables (liquid-to-solid ratio, solvent concentration, homogenization speed, and extraction time), and (iii) apply Box-Behnken Design and RSM to maximize extraction yield, total phenolic content, total flavonoid content, and antioxidant activity. This study provides new insights into process intensification for plant-based extractions and establishes a scalable, eco-friendly method for producing high-value phytochemical-rich extracts suitable for functional applications.
Materials and methods
Materials
Fresh Centella asiatica leaves were collected from Phuc An Ecolodge located at coordinates 10°34′51.7″N 106°20′36.9″E, in My An, Thu Thua district, Long An province, Vietnam. The leaves were thoroughly washed under running tap water to remove surface impurities, followed by rinsing with deionized water. They were then air-dried in a ventilated oven (Memmert UF110, Memmert GmbH, Germany) at 40 ± 2 °C until a constant weight was achieved. The dried leaves were milled using a laboratory-scale grinder (Retsch ZM 200, Retsch GmbH, Germany) equipped with stainless steel blades, and the ground material was passed through a 60-mesh stainless steel sieve using a mechanical sieve shaker (Retsch AS 200 basic, Retsch GmbH, Germany) with 60-mesh sieve (250 μm) to ensure uniform particle size. The sieved powder was stored in airtight, light-protected containers at ambient temperature until use.
Choline chloride (≥ 98%), glycerol (≥ 99%), lactic acid (≥ 85%), citric acid (≥ 99.5%), glucose (≥ 99%), Folin-Ciocalteu reagent, gallic acid (≥ 98%), aluminum chloride (≥ 98%), quercetin (≥ 98%), and 2,2-diphenyl-1-picrylhydrazyl (DPPH) (≥ 95%) were all purchased from Sigma-Aldrich (St. Louis, MO, USA). All other chemicals and solvents used in this study were of analytical grade and used without further purification.
Screening of natural deep eutectic solvents (NADES)
A total of twelve different natural deep eutectic solvents (NADES) were prepared by combining choline chloride (ChCl) as the hydrogen bond acceptor (HBA) with 4 selected hydrogen bond donors (HBDs): Glycerol, lactic acid, citric acid, and glucose, at varying molar ratios. The HBA:HBD ratios tested included 1:1, 1:2 and 2:1 for glycerol, lactic acid, and citric acid systems, and 1:1, 2:1 and 3:1 for the glucose-based system.
For each NADES system, the respective components were accurately weighed and mixed in clean glass beakers. The mixtures were then heated at 80 °C under continuous magnetic stirring for approximately 30 - 60 min until a clear and homogeneous liquid (or semi-solid phase, in the case of some sugar-based NADES) was formed. All prepared NADES were stored in sealed amber glass containers at room temperature (25 ± 2 °C), shielded from light until further use. The physicochemical properties of each NADES, including pH and viscosity, were measured at 25 ± 1 °C using a calibrated digital pH meter (Mettler Toledo SevenCompact™) and a Brookfield DV2T viscometer (Spindle no. 61). Each NADES formulation was coded and summarized as shown in Table 1.
Table 1 Composition and properties of NADES systems used in the preliminary screening.
Code |
HBD |
HBA:HBD Molar ratio |
pH |
Viscosity (mPa·s) |
Appearance at 25 °C |
TPC (mg GAE/g) |
DPPH Inhibition (%) |
NADES-1 |
Glycerol |
1:1 |
5.82 |
187.2 |
Clear, moderately viscous liquid |
61.8 |
82.2 |
NADES-2 |
Glycerol |
1:2 |
5.42 |
123.5 |
Clear, low-viscosity liquid |
68.25 |
87.45 |
NADES-3 |
Glycerol |
2:1 |
6.08 |
234.6 |
Slightly turbid, sticky |
53.25 |
78.9 |
NADES-4 |
Lactic acid |
1:1 |
2.67 |
89.4 |
Clear, fluid |
58.4 |
81.2 |
NADES-5 |
Lactic acid |
1:2 |
2.21 |
74.6 |
Clear, low-viscosity liquid |
63.1 |
83.7 |
NADES-6 |
Lactic acid |
2:1 |
2.95 |
138.3 |
Clear, slightly viscous |
49.85 |
76.9 |
NADES-7 |
Citric acid |
1:1 |
2.12 |
245.8 |
Opaque, gel-like |
45.6 |
74.3 |
NADES-8 |
Citric acid |
1:2 |
1.96 |
198.1 |
Semi-gel, cloudy |
50.1 |
75.65 |
NADES-9 |
Citric acid |
2:1 |
2.45 |
310.2 |
Turbid, semi-solid |
40.75 |
71.1 |
NADES-10 |
Glucose |
1:1 |
4.18 |
367.2 |
Sticky, highly viscous |
32.8 |
55.4 |
NADES-11 |
Glucose |
2:1 |
4.39 |
425.7 |
Semi-solid, poorly flowing |
29.45 |
52.1 |
NADES-12 |
Glucose |
3:1 |
4.75 |
472.5 |
Solid-like at room temperature |
25.35 |
48.8 |
Homogenization-assisted extraction
Extraction of bioactive compounds from Centella asiatica was carried out using homogenization-assisted extraction (HAE) with the prepared NADES. For each extraction, 1.0 g of dried C. asiatica powder was accurately weighed into a 50 mL centrifuge tube and mixed with the NADES at a predetermined liquid-to-solid (L/S) ratio (30 - 70 mL/g). The NADES solution used was diluted with distilled water corresponding to 10% - 30% of the NADES mass (w/w) to reduce viscosity and improve diffusivity. The mixture was homogenized using a high-speed homogenizer (Model D-500, Dlab Scientific, USA) at speeds ranging from 5,000 to 15,000 rpm for a fixed extraction time (10 - 30 min), depending on experimental conditions, equipped with a standard rotor–stator generator (diameter 10 mm) with the tip immersed approximately 1.5 cm below the liquid surface, and extractions were performed in 50 mL cylindrical glass beakers (internal diameter 40 mm) to ensure consistent shear conditions. During homogenization, samples were kept in an ice-water bath, and the extraction temperature was monitored with a digital thermometer to ensure it remained below 30 °C (typically 25 ± 2 °C), thereby avoiding excessive heating and degradation of thermolabile compounds.After homogenization, the extract was centrifuged at 6,000 rpm for 15 min at 4 °C, and the supernatant was collected and filtered through Whatman No. 1 filter paper. The clarified extract was then subjected to further analysis for determination of yield of extraction, total phenolic content (TPC), total flavonoid content (TFC), and DPPH radical scavenging activity. All extractions were performed in triplicate, and results were reported as mean ± standard deviation.
Analytical methods for extract characterization
Yield of extraction
The extraction yield was determined using an ethanol-induced precipitation method to overcome the non-volatility of NADES [32,33]. Briefly, 5.0 mL of the NADES extract was mixed with 20.0 mL of absolute ethanol (1:4 v/v) to precipitate the solubilized compounds. The mixture was vortexed and allowed to stand at 4 °C for 12 h to ensure complete precipitation. The resulting suspension was centrifuged at 6,000 rpm for 15 min, and the solid precipitate was collected, dried in an oven at 50 °C to constant weight, and weighed. The extraction yield was calculated using the following equation:
Total Phenolic Content (TPC)
TPC was determined using the Folin-Ciocalteu colorimetric method with slight modifications. Briefly, 0.2 mL of diluted extract previously diluted with methanol was mixed with 1.0 mL of 10 %(v/v) Folin-Ciocalteu reagent, followed by the addition of 0.8 mL of 7.5 %(w/v) sodium carbonate. The mixture was vortexed and incubated in the dark at room temperature for 30 min. Absorbance was measured at 765 nm using a UV-vis spectrophotometer (Cary 60 UV-Vis, Agilent Technologies, USA). Gallic acid was used as the standard, and results were expressed as mg gallic acid equivalents per gram of dry weight (mg GAE/g DW) [31].
Total Flavonoid Content (TFC)
TFC was measured using the aluminum chloride colorimetric method. In brief, 0.5 mL of extract diluted in methanol when necessary was mixed with 0.5 mL of 2 %(w/v) AlCl3 in methanol and allowed to react for 30 min at room temperature in the dark. The absorbance was read at 420 nm. Quercetin was used as a reference standard, and TFC was expressed as mg quercetin equivalents per gram of dry weight (mg QE/g DW) [31].
DPPH radical scavenging activity
The antioxidant capacity of the extracts diluted in methanol when necessary was assessed using the DPPH free radical scavenging assay. A 0.1 mL aliquot of extract was added to 3.9 mL of 0.1 mM DPPH methanolic solution. The mixture was vortexed and incubated in the dark at room temperature for 30 min. Absorbance was measured at 517 nm, and radical scavenging activity was calculated as a percentage using the following equation [31]:
where: Acontrol: The absorbance of the control solution; Asample: The absorbance of the sample solution.
Experimental design
The Box-Behnken Design model (BBD) was used to optimize the extraction conditions. The 4 independent factors and their 3 levels in the Box-Behnken design are represented in Table 2. The 4 independent factors at 3 levels (−1, 0 and +1) for 29 experiments were chosen to quantify the response data. The conditional range of 4 independent factors (Liquid/Solid ratio, Homogenization speed and Extraction time) was selected from the results of 1-factor experiments. The condition amounts produced the best yield and DPPH radical scavenging activity, representing the proper condition (corresponding to 0 level). The boundary conditions were the lower and upper points of proper conditions, corresponding to the level of −1 and 1, respectively. A second-order polynomial model was employed to determine the correlation between response data and independent factors utilizing equation:
In this equation, B0, Bi, Bii, and Bij were the regression coefficient for intercept, linear, quadratic, and interaction terms, respectively. Xi and Xj represented independent factor values, while k expressed the number of independent factors (k = 4). The 4 independent factors and their 3 levels were A, Liquid/solid ratio: 30, 50 and 70 (mL/g); B, NADES dilution level: 10, 20 and 30 %(v/v); C, Homogenization speed: 5,000, 10,000 and 15,000 (rpm); D, Extraction time: 10, 20 and 30 (min). Dependent responses (Y) were yield (%), total phenolic content (mg GAE/g DW), total flavonoid content (mg QE/g DW) and DPPH radical scavenging activity (%).
Numerical optimization was performed using the desirability function in Design-Expert 25.0.3, targeting maximization of yield, TPC, TFC, and DPPH. The regression models generated by BBD-RSM were further used for multi-response optimization. A numerical optimization procedure was performed in Design-Expert software (version 25.0.3, Stat-Ease Inc., Minneapolis, MN, USA) using the desirability function, where all responses (yield, TPC, TFC, and DPPH inhibition) were set to be maximized simultaneously. The predicted optimal conditions were then validated experimentally in triplicate, and the obtained values were compared with model predictions to evaluate accuracy and reliability.
Table 2 Experimental design factors and their levels.
Variables |
Unit |
The value of independent factors |
||
Low (−1) |
Middle (0) |
High (+1) |
||
A, Liquid/solid ratio (L/S) |
mL/g |
30 |
50 |
70 |
B, NADES dilution level |
%, v/v |
10 |
20 |
30 |
C, Homogenization speed |
rpm |
5,000 |
10,000 |
15,000 |
D, Extraction time |
minute |
10 |
20 |
30 |
Dependent variable |
Constraints |
|||
Y1 = Yield (%) |
Maximize |
|||
Y2 = Total phenolic content (mg GAE/g) |
Maximize |
|||
Y3 = Total flavonoid content (mg QE/g) |
Maximize |
|||
Y4 = DPPH radical scavenging activity |
Maximize |
|||
The data were analyzed using one-way analysis of variance (ANOVA) in SPSS Statistics version 26.0 (IBM Corp., Armonk, NY, USA). Tukey’s post-hoc test was applied to determine significant differences between means, with a probability level of p < 0.05 considered statistically significant. All results are expressed as the mean ± tandard deviation (SD) of 3 independent experimental replicates.
Prior to ANOVA, assumptions of normality and homogeneity of variance were verified using the Shapiro-Wilk and Levene’s tests, respectively. For the response surface methodology (RSM), model adequacy was assessed through analysis of variance (ANOVA), including lack-of-fit testing and determination coefficients (R2), and residual analysis was performed to confirm normal distribution and homoscedasticity.
Results and discussion
Screening of NADES
To identify the most suitable natural deep eutectic solvent (NADES) for extracting phenolic and flavonoid compounds from Centella asiatica, twelve ChCl-based NADES systems (NADES-1 to NADES-12) were systematically prepared by combining choline chloride with 4 hydrogen bond donors (HBDs): Glycerol, lactic acid, citric acid, and glucose at various molar ratios (Table 1). All systems were diluted with 20% (w/w) distilled water and tested under uniform homogenization-assisted extraction (HAE) conditions. The extraction performance of each NADES was evaluated based on total phenolic content (TPC, mg GAE/g) and DPPH radical scavenging activity (%). The results revealed pronounced differences across NADES systems, strongly influenced by both the chemical nature of the HBD and the HBA:HBD molar ratio.
Glycerol-based systems (NADES-1 to NADES-3) showed superior extraction performance compared to other HBD types. Among them, NADES-2 (ChCl:Glycerol, 1:2) delivered the best overall results, yielding 68.25 mg GAE/g TPC, and 87.45% DPPH inhibition. The high efficacy of this system is attributed to its moderate polarity, optimal hydrogen bonding network, and relatively low viscosity (123.5 mPa·s), which collectively promote solubilization and facilitate mass transfer during homogenization [27]. Increasing the glycerol content (1:2) has also been reported in previous studies to enhance phenolic recovery due to a favorable balance between fluidity and hydrogen-bond donor density [34,35]Lactic acid-based NADES (NADES-4 to NADES-6) also performed well, particularly NADES-5 (1:2), which had a low pH (2.21) and low viscosity (74.6 mPa.s), facilitating the release of phenolic acids. However, their highly acidic environment may destabilize certain flavonoid structures, as flavonoids generally contain hydroxyl groups with pKa values ranging from 6 to 10, making them prone to protonation and reduced resonance stabilization under strongly acidic conditions [36]. In addition, such protonation can in turn promote structural rearrangements or hydrolysis of glycosidic bonds, which have been reported to compromise flavonoid stability and assay response in low-pH NADES [37]. Citric acid-based systems (NADES-7 to NADES-9) showed moderate performance in antioxidant activity but generally underperformed in TPC and TFC extraction. Their poor efficiency can be attributed to high viscosities (198.1 – 310.2 mPa·s) and gel-like textures, impeded solvent penetration and effective disruption of plant cell walls during HAE [38].Moreover, their strong acidity (pH < 2.5) may have negatively affected flavonoid stability or caused aggregation of certain extractable compounds [39]. Glucose-based NADES (NADES-10 to NADES-12) consistently exhibited the lowest extraction efficiency across all metrics. These sugar-rich systems had the highest viscosities (> 360 mPa·s) and semi-solid to solid-like consistencies at room temperature, significantly limiting their practicality in shear-dependent processes like HAE [40]. Even with 20% water dilution, the high internal hydrogen bonding within glucose-based solvents likely restricted solvation capacity and mobility of target compounds. Taken together, these results indicate that viscosity alone can not fully account for the divergent performance of NADES. Instead, extraction outcomes reflect a combined influence of solvent polarity, acidity (pH/pKa), and solvation capacity, in addition to rheological properties. Notably, previous studies have shown that NADES with intermediate polarity and balanced hydrogen-bonding networks are particularly effective for polyphenol recovery [34,35] Likewise, the observation that ~20% (w/w) water dilution produced optimal performance agrees with reports that moderate water addition simultaneously reduces viscosity and fine-tunes polarity, whereas excessive water disrupts the eutectic network and decreases solvating power [41].
Interestingly, the HBA:HBD molar ratio had a non-linear impact across all HBD types. A 1:2 ratio often yielded the best performance (NADES-2 and NADES-5), likely due to an optimal balance between hydrogen bond donor density, fluidity, and polarity. In contrast, ratios of 2:1 or 3:1 (NADES-3, NADES-6, NADES-9, NADES-11 and NADES-12) tended to produce more rigid hydrogen-bonding networks with higher viscosities and less favorable polarity matching, which collectively reduced extraction efficacy. Therefore, the results demonstrate that both the choice of HBD and the molar ratio critically influence extraction efficiency. Among all tested formulations, NADES-2 (ChCl:Glycerol, 1:2) was selected as the optimal solvent for subsequent process optimization based on its superior extraction of phenolic antioxidants and favorable physicochemical properties. Notably, the extraction efficiency of NADES-2 (68.25 mg GAE/g) compares favorably with conventional organic solvents, as ethanol- and methanol-based extractions of C. asiatica have generally been reported in the range of 40 – 60 mg GAE/g under similar conditions [42,43]. This outcome indicates that NADES-2 not only outperformed the other NADES formulations in our screen but also rivaled, and in some cases exceeded, the performance of traditional solvents while offering the added benefit of green, non-volatile characteristics.
Factors affecting the extraction conditions
Effect of liquid-to-solid ratio
The liquid-to-solid (L/S) ratio plays a pivotal role in determining extraction efficiency by influencing mass transfer dynamics and solvent saturation. As illustrated in Figure 1, increasing the L/S ratio from 30 to 50 mL/g led to significant improvements in all measured parameters (p < 0.05), including extraction yield, total phenolic content (TPC), total flavonoid content (TFC), and DPPH radical scavenging activity, as determined by ANOVA with Tukey’s test. This enhancement can be attributed to improved solvent penetration and solute diffusion at moderate solvent volumes, which increase the concentration gradient between the plant matrix and the solvent and facilitate shear-mediated cell disruption under homogenization [27]. The optimal performance was observed at 50 mL/g, where the highest values were recorded: 14.79% yield, 70.73 mg GAE/g TPC, 43.32 mg QE/g TFC, and 90.41% DPPH inhibition. However, further increases to 60 and 70 mL/g resulted in slight declines across all responses, likely due to a dilution effect that reduced the concentration gradient between plant matrix and solvent, thereby diminishing the driving force for mass transfer [44,45]. Furthermore, turbulence-related inefficiencies may arise under high solvent volumes, disturbing shear distribution and lowering mixing efficiency during homogenization [46].
Additionally, an excessive volume of NADES may increase handling costs and reduce sustainability of the extraction process. Therefore, 50 mL/g was selected as the optimal liquid-to-solid ratio for subsequent extractions.
Figure 1 Effect of liquid-to-solid ratio on (a) extraction yield, (b) TPC, (c) TFC, and (d) DPPH radical scavenging activity.Values are expressed as mean ± SD (n = 3). Error bars represent the standard deviation (n = 3). Different letters indicate significant differences among samples according to Tukey’s test (p < 0.05).
Effect of solvent concentration
Solvent concentration, referring to the percentage of distilled water added to the NADES system, had a notable impact on the extraction efficiency (Figure 2). Among the tested levels (10 - 30 %w/w), 20% dilution yielded the highest extraction yield (15.08%), total phenolic content (70.27 mg GAE/g), total flavonoid content (44.38 mg QE/g), and DPPH radical scavenging activity (89.54%). This suggests that moderate dilution effectively reduces the intrinsic viscosity of the NADES, improving solvent penetration into plant tissues and enhancing mass transfer of solutes. At lower dilution levels (10% - 15%), the high viscosity of the NADES restricted the effective formation of shear forces during homogenization, thereby reducing cell disruption and extractability. On the other hand, excessive dilution (25% - 30%) appeared to decrease the solvating power of the NADES system, likely due to disruption of the hydrogen bonding network and decreased polarity match with phenolic compounds, leading to reduced extraction performance [47,48]. The observed trend confirms that a critical balance between viscosity reduction and solvating capacity is necessary to maximize extraction efficiency. These findings are consistent with earlier studies that reported optimal water content between 20% - 30% in NADES-based extraction of phenolics [49]. As a result, 20% water dilution was selected as the optimal solvent concentration for further optimization studies.
Figure 2 Effect of solvent concentration on (a) extraction yield, (b) TPC, (c) TFC, and (d) DPPH radical scavenging activity.Values are expressed as mean ± SD (n = 3). Error bars represent the tandard deviation (n = 3). Different letters indicate significant differences among samples according to Tukey’s test (p < 0.05).
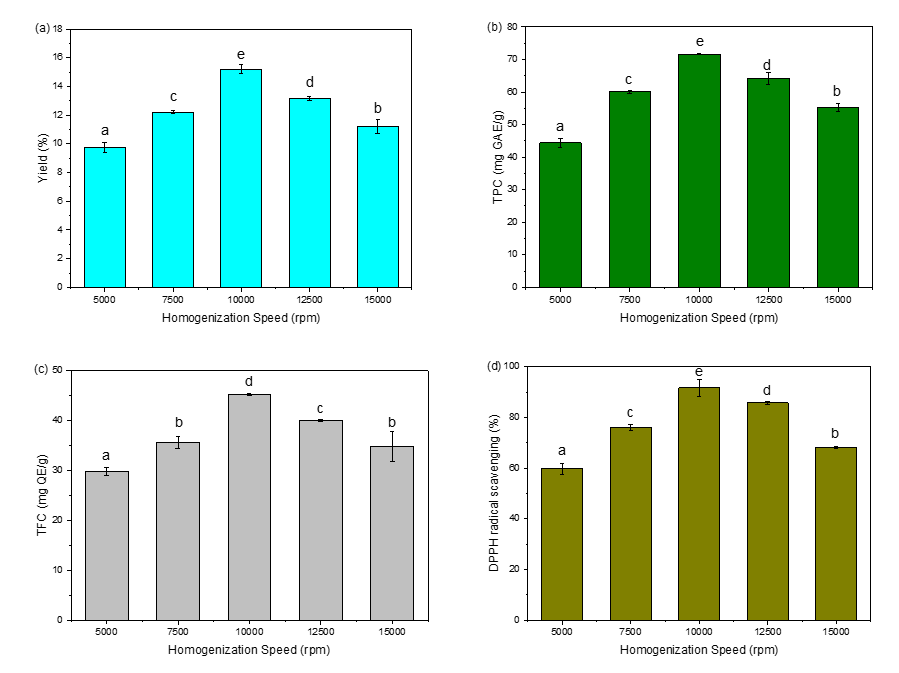
Effect of homogenization speed
Homogenization speed critically affects the degree of cellular disruption and solute diffusion during extraction. As shown in Figure 3, increasing the speed from 5,000 to 10,000 rpm led to a substantial improvement in all response variables (p < 0.05). At 10,000 rpm, the extraction yield peaked at 15.21%, with TPC reaching 71.67 mg GAE/g, TFC at 45.25 mg QE/g, and DPPH radical scavenging activity at 91.70%. The improvement at moderate to high speeds can be attributed to enhanced shear forces, which promote more efficient breakdown of plant cell walls and release of intracellular compounds. However, further increasing the speed beyond 10,000 rpm did not improve results and even showed slight declines. This may be due to turbulent flow regimes or localized heating, which could damage sensitive bioactives or hinder uniform mixing [50,51]. Therefore, 10,000 rpm was identified as the optimal homogenization speed, striking a balance between effective physical disruption and preserving compound integrity. These results are in agreement with previous studies using homogenization-assisted extraction in NADES, where excessive speeds were shown to cause degradation or emulsification problems [52].
Figure 3 Effect of homogenization speed on (a) extraction yield, (b) TPC, (c) TFC, and (d) DPPH radical scavenging activityValues are expressed as mean ± SD (n = 3). Error bars represent the standard deviation (n = 3). Different letters indicate significant differences among samples according to Tukey’s test (p < 0.05).
Effect of extraction time
Extraction time significantly influences the efficiency of solute transfer from plant matrices into solvents. As illustrated in Figure 4, extending the homogenization time from 10 to 20 minutes led to clear increases in extraction yield (15.02%), total phenolic content (70.95 mg GAE/g), total flavonoid content (45.89 mg QE/g), and DPPH inhibition (88.50%). This suggests that prolonged homogenization up to an optimal point enhances cellular rupture and facilitates diffusion of target compounds. However, further prolonging the extraction beyond 20 min resulted in a gradual decline in all response parameters (p < 0.05). This may be due to oxidative degradation or structural breakdown of heat- or shear-sensitive phytochemicals, particularly phenolics and flavonoids, when exposed to mechanical stress and oxygen over extended durations [53,54]. Therefore, 20 min was selected as the optimal extraction time.
Figure 4 Effect of extraction time on (a) extraction yield, (b) TPC, (c) TFC, and (d) DPPH radical scavenging activity. Values are expressed as mean ± SD (n = 3). Error bars represent the standard deviation (n = 3). Different letters indicate significant differences among samples according to Tukey’s test (p < 0.05).
Optimization of the extraction conditions using RSM
The factors influencing the extraction conditions were optimized using a Box-Behnken Design (BBD) combined with response surface methodology (RSM). Unlike the OFAT screens, which identified around 15% as the highest yield under fixed single-factor conditions, the multivate RSM revealed a higher global optinum of approximately 31% when variable interactions were considered. The range of independent variables was determined based on experimental findings presented in Sections 3.2.1 (Effect of liquid-to-solid ratio), 3.2.2 (Effect of solvent concentration), 3.2.3 (Effect of homogenization speed) and 3.2.4 (Effect of extraction time). Each factor was assessed at 3 levels: Optimal (coded as 0), upper-optimal (+1), and lower-optimal (−1). The experimental results from the BBD model are summarized in Table 3. Regression analysis (Table 4) identified statistically significant coefficients that were used to develop predictive models for yield, total phenolic content, total flavonoid content, and DPPH radical scavenging activity. Quadratic polynomial equations (Eqs. (4) - (7)) were formulated to describe the interactions among independent variables and their effects on the responses. The high coefficients of determination (R2), ranging from 0.9164 to 0.9500, indicate a strong correlation between experimental and predicted values, supporting the robustness of most models (Table 5). However, the yield (Y1) model displayed a comparatively low predicted R2 (0.6719), raising concerns about its predictive utility and the possibility of overfitting. Similarly, the TPC (Y2) and TFC (Y3) models showed notable discrepancies between adjusted and predicted R2 values (e.g., 0.9284 vs. 0.7821 for Y2; 0.9164 vs. 0.7652 for Y3), which suggests that extrapolations outside the studied parameter space should be made with caution. Even so, the relatively small differences (< 0.2) between adjusted and predicted R2 values suggest internal consistency, although the modest predictive accuracy of Y2 and Y3 (predicted R2 < 0.55) should be acknowledged when applying the models beyond the tested domain. The significant F-values highlight the crucial role of the independent variables in determining extraction efficiency.
In the quadratic model for yield (Y1), the adjusted R2 value of 0.8861 suggests that the independent variables accounted for a significant portion of the variability in yield. The most influential factors affecting yield were the liquid-to-solid ratio (p = 0.0069), homogenization speed (p = 0.0012), and extraction time (p = 0.0005), with the quadratic terms A2, B2, C2 and D2 also showing statistical significance (p < 0.05). An increase in liquid-to-solid ratio positively influenced yield by enhancing solvent-solute contact and diffusion, although overly high ratios may have diluted the extracts, lowering efficiency [55]. Notably, homogenization speed exerted the greatest influence, as reflected by its highest coefficient in Eq. (4). This emphasizes the essential role of homogenization speed in optimizing extraction, likely due to its effect on the efficient breakdown of the solid matrix and the release of bioactive compounds. As higher shear improved matrix breakdown and solvent penetration, but excessive shear could cause degradation of sensitive compounds [56]. Furthermore, the interaction terms between factors (AB, AC, AD, BC, BD and CD) were not statistically significant (p > 0.05), reinforcing the predominance of individual variables in determining yield. This lack of significant interactions suggests an additive system, where each factor influences yield independently, thereby simplifying optimization protocols. This trend is consistent with previous NADES-based extractions, where solvent composition and mechanical forces independently dominate process performance [17]. While the model fit was satisfactory (p = 0.1062), the lower predicted R2 (0.6719) compared to the adjusted R2 suggests potential overfitting, necessitating further validation for improved predictive accuracy. Such divergence underscores the need for confirmatory experiments to validate reproducibility and ensure the practical relevance of the optimization results.
The quadratic model for total phenolic content (Y2) exhibited an adjusted R2 of 0.8344, indicating that the independent variables contributed significantly to explaining the variability in the phenolic content. The most influential factors for phenolic content were the liquid-to-solid ratio (p = 0.0082) and extraction time (p = 0.0021), followed by the homogenization speed (p = 0.0203). Increasing liquid-to-solid ratio improved phenolic recovery by facilitating solvent accessibility and diffusion into plant tissues [57]. Extraction time positively contributed up to an optimal point, beyond which extended exposure likely induced oxidation or polymerization of phenolics, decreasing recovery [58] Homogenization speed exerted a moderate effect by enhancing solvent penetration, though excessive mechanical stress may destabilize certain phenolic structures. Particularly, the quadratic terms, A2 and D2, were statistically significant (p < 0.05), emphasizing the importance of these factors in determining the phenolic yield. Homogenization speed was found to have a moderate effect, likely due to its role in improving solvent penetration into the solid matrix. However, the interaction terms between the factors (AB, AC and AD) were not statistically significant (p > 0.05), which suggests that optimizing each factor individually was sufficient to maximize phenolic content. This result indicates that phenolic extraction is mainly influenced by the physical properties of the extraction process, with little dependence on interactions between the variables, thereby suggesting an additive behavior that simplifies optimization. Such independence has been observed in other DoE-guided phenolic extraction studies, where solvent polarity and process duration exert direct but non-synergistic contributions [56]. The relatively high R2 value (0.9172) and the satisfactory model fit (p = 0.0696) further support the reliability of the predictive model for total phenolic content within the tested range. Although the adjusted R2 was high (0.8344), the relatively low predicted R2 (0.55) indicates limited predictive power outside the studied parameter space. Therefore, maximizing phenolic recovery primarily depends on optimizing solvent ratio, extraction time, and homogenization individually, with little benefit gained from adjusting their interactions
For total flavonoid content (Y3), the quadratic model demonstrated an adjusted R2 of 0.8328, indicating that the independent variables had a considerable influence on the flavonoid yield. The liquid-to-solid ratio (p = 0.0045) and homogenization speed (p = 0.0167) were the primary factors affecting flavonoid content. The quadratic term for B2 was significant (p < 0.05), suggesting a non-linear influence of solvent concentration on flavonoid release, though it was not among the primary determinants of the model. Interestingly, the extraction time and solvent concentration did not show a significant effect on flavonoid extraction (p > 0.05), indicating that other variables, such as solvent characteristics and temperature, may play a more important role in determining flavonoid yield. Within the explored domain, increasing the liquid-to-solid ratio exerted a positive effect on TFC by enhancing solvent-solute contact and diffusion; however, excessively high ratios may dilute solute concentration and lower process efficiency [27]. Homogenization speed showed a positive effect up to an optimum, where improved shear promoted matrix disruption and flavonoid release; beyond that, over-shear may foster oxidation or structural rearrangement that offsets gains. Given that extraction time and solvent concentration were not significant (p > 0.05), they can be fixed at economical mid-levels without compromising TFC, while optimization should prioritize liquid-to-solid ratio and homogenization conditions. Interaction terms between factors (AB, AC, AD, BC, BD and CD) were not significant, indicating that flavonoid recovery depends primarily on the additive contributions of individual factors. This independence simplifies optimization protocols, as each factor can be tuned separately without complex multi-factor adjustments. The model for total flavonoid content provided a strong correlation between experimental and predicted values, with a high R2 value (0.9164), and the model fit was satisfactory (p = 0.0924). Although the adjusted R2 was high (0.8328), the relatively low predicted R2 (0.55) indicates that predictive power outside the studied parameter space is limited. Nonetheless, within the tested conditions, the model reliably shows that flavonoid recovery can be optimized by focusing on solvent loading and homogenization speed, without requiring complex multi-factor interactions.
Together, the DPPH radical scavenging activity (Y4) model also demonstrated a strong adjusted R2 of 0.8999, indicating a high degree of correlation between the experimental and predicted values. The liquid-to-solid ratio (p < 0.0001), homogenization speed (p = 0.0004) and extraction time (p < 0.0001) were the most significant factors influencing antioxidant activity. Similar to the phenolic and flavonoid models, the quadratic terms for A2 and B2 were statistically significant (p < 0.05). The extraction time (p < 0.0001) also showed a significant effect on DPPH scavenging activity, though its impact was less pronounced than the liquid-to-solid ratio and homogenization speed. In the tested range, increasing the liquid-to-solid ratio enhanced the release of antioxidant compounds by improving solvent-solute mass transfer, though excessive dilution may reduce the effective concentration of bioactives in the extract. Homogenization speed exerted a strong positive influence by facilitating cell rupture and diffusion of polyphenols, but very high shear could promote oxidation or degradation of sensitive antioxidants. Extraction time showed a dual effect, with antioxidant activity increasing initially due to improved release but decreasing at prolonged times, likely because of oxidative breakdown of flavonoids and phenolics. Interestingly, solvent concentration did not significantly affect antioxidant activity (p > 0.05), suggesting that the extraction process itself (particularly homogenization speed and liquid-to-solid ratio) has a dominant role in determining the antioxidant potential. The high R2 value (0.9500) and the satisfactory model fit (p = 0.0555) support the robustness of the model, and the minimal difference between adjusted R2 and predicted R2 values further confirms the predictive accuracy. These results indicate that antioxidant recovery can be maximized by balancing solvent loading, homogenization intensity, and extraction duration. By contrast, solvent concentration showed no significant contribution (p = 0.9155) and thus does not require adjustment within the tested range. Its lack of significance in the flavonoid (Y3) and antioxidant (Y4) models contrasts with the clear influence observed during OFAT screening. This discrepancy likely reflects the narrower parameter space examined in RSM and the predominance of mass-transfer-driven variables (liquid-to-solid ratio, homogenization speed), a pattern also reported in DOE-guided extractions.
Table 3 Box-Behnken Design (BBD) model with independent variables and the corresponding experimental responses.
Run |
Independent variables |
Responses |
||||||
A |
B |
C |
D |
Y1 |
Y2 |
Y3 |
Y4 |
|
1 |
50 |
20 |
15,000 |
30 |
27.1382 |
61.4832 |
38.2157 |
74.9247 |
2 |
50 |
20 |
10,000 |
20 |
29.5125 |
65.4035 |
42.5124 |
77.6236 |
3 |
70 |
10 |
10,000 |
20 |
21.4197 |
57.2486 |
34.9265 |
68.2315 |
4 |
50 |
10 |
10,000 |
30 |
23.6784 |
53.9871 |
36.1324 |
70.5128 |
5 |
30 |
10 |
10,000 |
20 |
19.8243 |
52.6214 |
31.4152 |
64.2785 |
6 |
30 |
20 |
10,000 |
30 |
20.4738 |
56.8395 |
32.7458 |
66.8772 |
7 |
50 |
20 |
10,000 |
20 |
29.2732 |
65.8375 |
43.4112 |
79.5129 |
8 |
50 |
10 |
5,000 |
20 |
19.5124 |
48.313 |
30.2178 |
60.1047 |
9 |
50 |
10 |
15,000 |
20 |
25.3158 |
60.4027 |
36.6459 |
72.3769 |
10 |
50 |
20 |
5,000 |
10 |
17.5842 |
50.1536 |
31.0974 |
59.9934 |
11 |
50 |
30 |
15,000 |
20 |
26.1457 |
54.1043 |
39.6782 |
62.4217 |
12 |
70 |
20 |
10,000 |
10 |
20.6213 |
56.3812 |
33.7524 |
67.6799 |
13 |
50 |
20 |
10,000 |
20 |
29.5921 |
65.2173 |
43.1589 |
79.1357 |
14 |
30 |
20 |
5,000 |
20 |
19.3287 |
50.7641 |
32.4781 |
57.1294 |
15 |
50 |
20 |
10,000 |
20 |
31.7897 |
66.9123 |
45.1297 |
79.512 |
16 |
50 |
20 |
15,000 |
10 |
23.6123 |
52.5493 |
38.0297 |
69.2423 |
17 |
50 |
20 |
5,000 |
30 |
22.8374 |
58.1485 |
34.4183 |
67.8824 |
18 |
50 |
30 |
5,000 |
20 |
19.3287 |
55.7893 |
32.4781 |
65.3157 |
19 |
70 |
20 |
10,000 |
30 |
22.5934 |
59.6048 |
35.5392 |
71.9758 |
20 |
70 |
30 |
10,000 |
20 |
21.2574 |
57.4789 |
34.1286 |
69.1297 |
21 |
50 |
10 |
10,000 |
10 |
17.6412 |
55.3248 |
30.0376 |
58.7389 |
22 |
30 |
30 |
10,000 |
20 |
15.9783 |
54.4192 |
28.6395 |
55.8751 |
23 |
30 |
20 |
15,000 |
20 |
19.4837 |
56.5147 |
32.0148 |
62.4978 |
24 |
50 |
30 |
10,000 |
10 |
21.3127 |
57.8923 |
33.3492 |
65.8174 |
25 |
50 |
20 |
10,000 |
20 |
30.0821 |
63.9824 |
44.6573 |
80.7249 |
26 |
70 |
20 |
15,000 |
20 |
23.0294 |
60.2483 |
36.3257 |
72.1834 |
27 |
30 |
20 |
10,000 |
10 |
16.1349 |
50.7368 |
29.0872 |
57.0327 |
28 |
50 |
30 |
10,000 |
30 |
27.4721 |
63.7295 |
40.1829 |
74.8205 |
29 |
70 |
20 |
5,000 |
20 |
21.5142 |
56.9183 |
33.3147 |
66.0329 |
Note: A (Liquid/Solid ratio - mL/g), B (Solvent concentration - %), C (Homogenization speed - rpm), D (Extraction time - min) and Y1 (Yield - %), Y2 (Total phenolic content - mg GAE/g), Y3 (Total flavonoid content - mg QE/g), Y4 (DPPH radical scavenging activity - %).
Table 4 Analysis of variance (ANOVA) for the fitted quadratic polynomial “Quadratic model” for optimization of extraction based on a Box-Behnken design matrix for response surface analysis.
Source |
SS |
df |
MS |
F-value |
p-value |
|
Response Y1 |
||||||
Model |
501.22 |
14 |
35.80 |
11.63 |
< 0.0001 |
significant |
A-L/S ration (mL/g) |
30.76 |
1 |
30.76 |
10.00 |
0.0069 |
|
B-Solvent concentration (%) |
1.40 |
1 |
1.40 |
0.4559 |
0.5105 |
|
C-Homogenization speed (rpm) |
50.51 |
1 |
50.51 |
16.41 |
0.0012 |
|
D-Extraction time (min) |
62.05 |
1 |
62.05 |
20.16 |
0.0005 |
|
AB |
3.39 |
1 |
3.39 |
1.10 |
0.3115 |
|
AC |
0.4625 |
1 |
0.4625 |
0.1503 |
0.7041 |
|
AD |
1.40 |
1 |
1.40 |
0.4551 |
0.5109 |
|
BC |
0.2568 |
1 |
0.2568 |
0.0835 |
0.7769 |
|
BD |
0.0037 |
1 |
0.0037 |
0.0012 |
0.9727 |
|
CD |
0.7459 |
1 |
0.7459 |
0.2424 |
0.6301 |
|
A2 |
249.54 |
1 |
249.54 |
81.09 |
< 0.0001 |
|
B2 |
106.34 |
1 |
106.34 |
34.56 |
< 0.0001 |
|
C2 |
70.90 |
1 |
70.90 |
23.04 |
0.0003 |
|
D2 |
92.31 |
1 |
92.31 |
30.00 |
< 0.0001 |
|
Residual |
43.08 |
14 |
3.08 |
|
|
|
Lack of Fit |
38.95 |
10 |
3.90 |
3.77 |
0.1062 |
not significant |
Pure Error |
4.13 |
4 |
1.03 |
|
|
|
Cor Total |
544.30 |
28 |
|
|
|
|
Response Y2 |
||||||
Model |
660.02 |
14 |
47.14 |
11.08 |
< 0.0001 |
significant |
A-L/S ration (mL/g) |
56.27 |
1 |
56.27 |
13.22 |
0.0027 |
|
B-Solvent concentration (%) |
20.06 |
1 |
20.06 |
4.71 |
0.0476 |
|
C-Homogenization speed (rpm) |
52.99 |
1 |
52.99 |
12.45 |
0.0033 |
|
D-Extraction time (min) |
78.82 |
1 |
78.82 |
18.52 |
0.0007 |
|
AB |
0.6143 |
1 |
0.6143 |
0.1443 |
0.7097 |
|
AC |
1.46 |
1 |
1.46 |
0.3442 |
0.5667 |
|
AD |
2.07 |
1 |
2.07 |
0.4870 |
0.4967 |
|
BC |
47.44 |
1 |
47.44 |
11.15 |
0.0049 |
|
BD |
12.87 |
1 |
12.87 |
3.02 |
0.1040 |
|
CD |
0.2204 |
1 |
0.2204 |
0.0518 |
0.8233 |
|
A2 |
156.73 |
1 |
156.73 |
36.83 |
< 0.0001 |
|
B2 |
144.73 |
1 |
144.73 |
34.01 |
< 0.0001 |
|
C2 |
193.65 |
1 |
193.65 |
45.50 |
< 0.0001 |
|
D2 |
105.54 |
1 |
105.54 |
24.80 |
0.0002 |
|
Residual |
59.58 |
14 |
4.26 |
|
|
|
Lack of Fit |
55.08 |
10 |
5.51 |
4.90 |
0.0696 |
not significant |
Pure Error |
4.50 |
4 |
1.12 |
|
|
|
Cor Total |
719.60 |
28 |
|
|
|
|
Response Y3 |
||||||
Model |
584.46 |
14 |
41.75 |
10.96 |
< 0.0001 |
significant |
A-L/S ration (mL/g) |
38.90 |
1 |
38.90 |
10.22 |
0.0065 |
|
B-Solvent concentration (%) |
6.87 |
1 |
6.87 |
1.80 |
0.2005 |
|
C-Homogenization speed (rpm) |
60.33 |
1 |
60.33 |
15.84 |
0.0014 |
|
D-Extraction time (min) |
39.90 |
1 |
39.90 |
10.48 |
0.0060 |
|
AB |
0.9779 |
1 |
0.9779 |
0.2568 |
0.6202 |
|
AC |
3.02 |
1 |
3.02 |
0.7924 |
0.3884 |
|
AD |
0.8759 |
1 |
0.8759 |
0.2300 |
0.6389 |
|
BC |
0.1490 |
1 |
0.1490 |
0.0391 |
0.8460 |
|
BD |
0.1365 |
1 |
0.1365 |
0.0358 |
0.8526 |
|
CD |
2.46 |
1 |
2.46 |
0.6451 |
0.4353 |
|
A2 |
277.70 |
1 |
277.70 |
72.92 |
< 0.0001 |
|
B2 |
153.21 |
1 |
153.21 |
40.23 |
< 0.0001 |
|
C2 |
102.48 |
1 |
102.48 |
26.91 |
0.0001 |
|
D2 |
118.02 |
1 |
118.02 |
30.99 |
< 0.0001 |
|
Residual |
53.32 |
14 |
3.81 |
|
|
|
Lack of Fit |
48.60 |
10 |
4.86 |
4.12 |
0.0924 |
not significant |
Pure Error |
4.72 |
4 |
1.18 |
|
|
|
Cor Total |
637.78 |
28 |
|
|
|
|
Response Y4 |
||||||
Model |
1,414.30 |
14 |
101.02 |
18.99 |
< 0.0001 |
significant |
A-L/S ration (mL/g) |
221.39 |
1 |
221.39 |
41.61 |
< 0.0001 |
|
B-Solvent concentration (%) |
0.0621 |
1 |
0.0621 |
0.0117 |
0.9155 |
|
C-Homogenization speed (rpm) |
115.25 |
1 |
115.25 |
21.66 |
0.0004 |
|
D-Extraction time (min) |
195.93 |
1 |
195.93 |
36.82 |
< 0.0001 |
|
AB |
21.63 |
1 |
21.63 |
4.07 |
0.0634 |
|
AC |
0.1529 |
1 |
0.1529 |
0.0287 |
0.8678 |
|
AD |
7.70 |
1 |
7.70 |
1.45 |
0.2490 |
|
BC |
57.50 |
1 |
57.50 |
10.81 |
0.0054 |
|
BD |
1.92 |
1 |
1.92 |
0.3607 |
0.5577 |
|
CD |
1.22 |
1 |
1.22 |
0.2288 |
0.6398 |
|
A2 |
432.28 |
1 |
432.28 |
81.25 |
< 0.0001 |
|
B2 |
324.79 |
1 |
324.79 |
61.04 |
< 0.0001 |
|
C2 |
296.93 |
1 |
296.93 |
55.81 |
< 0.0001 |
|
D2 |
152.06 |
1 |
152.06 |
28.58 |
0.0001 |
|
Residual |
74.49 |
14 |
5.32 |
|
|
|
Lack of Fit |
69.53 |
10 |
6.95 |
5.61 |
0.0555 |
not significant |
Pure Error |
4.96 |
4 |
1.24 |
|
|
|
Cor Total |
1,488.79 |
28 |
|
|
|
|
Note: A (Liquid/Solid ratio - mL/g), B (Solvent concentration - %), C (Homogenization speed - rpm), D (Extraction time - min) and Y1 (Yield - %), Y2 (Total Phenolic Content - mg GAE/g), Y3 (Total Flavonoid Content - mg QE/g), Y4 (DPPH radical scavenging activity - %); df: Degree of freedom; SS: Sum of Squares; MS: Mean Square; and Significant (p < 0.05).
Table 5 Analyses of regression fit for different responses.
Responses |
SD |
R2 |
Adjusted R2 |
Predicted R2 |
Suggested model |
Y1 |
1.45 |
0.9430 |
0.8861 |
0.6719 |
Quadratic |
Y2 |
2.96 |
0.9172 |
0.8344 |
0.5493 |
Quadratic |
Y3 |
1.95 |
0.9164 |
0.8328 |
0.5495 |
Quadratic |
Y4 |
2.31 |
0.9500 |
0.8999 |
0.7258 |
Quadratic |
Y1 = –63.80811 + 1.56375A + 1.36679B + 0.002957C + 1.96453D + 0.004605AB + 3.4005×10−6AC – 0.002959AD + 5.068×10−6BC + 0.000305BD – 8.6365×10−6CD – 0.015506A2 – 0.04049B2 – 1.32242×10−7C2 – 0.037724D2 (4)
Y2 = –53.70897 + 1.50884A + 2.44671B + 0.006377C + 1.64402D – 0.001959AB – 6.0515×10−6AC – 0.003599AD – 0.000069BC + 0.017937BD + 4.695×10−6CD – 0.012289A2 – 0.047236B2 – 2.18554×10−7C2 – 0.040337D2 (5)
Y3 = –60.81689 + 1.6363A + 1.82055B + 0.00343C + 2.12537D + 0.002472AB + 8.68575×10−6AC – 0.00234AD – 3.86×10−6BC + 0.001847BD – 0.000016CD – 0.016358A2 – 0.048601B2 – 1.58991×10−7C2 – 0.042656D2 (6)
Y4 = –85.80405 + 2.14227A + 3.13876B + 0.007672C + 2.93645D + 0.011627AB + 1.95525×10−6AC – 0.006936AD – 0.000076BC – 0.006927BD – 0.000011CD – 0.020409A2 – 0.070761B2 – 2.70635×10−7C2 – 0.048418D2 (7)
The optimization of homogenization-assisted extraction using natural deep eutectic solvents (NADES) for Centella asiatica was successfully conducted through a Box-Behnken Design (BBD) in conjunction with Response Surface Methodology (RSM) to evaluate the effects of key formulation variables on the extraction responses: yield, total phenolic content (TPC), total flavonoid content (TFC), and DPPH radical scavenging activity, as illustrated in Figure 5. Each response was examined through 3D surface plots and contour plots, offering a detailed insight into the interactions between variables and their collective influence on extraction efficiency. The plots illustrate paired independent variables along the X- and Y-axes, with the corresponding response on the Z-axis. Most surfaces displayed quadratic curvature, and significance contours (p < 0.05) were marked to highlight regions of optimal response.
The response surface plots and contour maps for yield (Figure 5(a)) indicated a significant dependency on the liquid-to-solid ratio, solvent concentration, homogenization speed, and extraction time. Under the optimized conditions of 50 mL/g liquid-to-solid ratio, 20% solvent concentration, 10,000 rpm homogenization speed, and 20 min of extraction time, the highest yield (31.7897%) was obtained. These results underscore the importance of maintaining an optimal balance between solvent volume and the surface area of solid material to maximize mass transfer efficiency. Notably, when either the liquid-to-solid ratio or solvent concentration was reduced, a significant decline in yield was observed, highlighting the essential role of solvent availability in the extraction process. This trend aligns with established observations that sufficient solvent volume facilitates effective extraction, enabling more complete solubilization of bioactive compounds.
As shown in Figure 5(b), the total phenolic content (TPC) was significantly influenced by both solvent concentration and homogenization speed. The highest TPC (66.9123 mg GAE/g) was recorded under the same optimized conditions that yielded the highest extraction efficiency. These observations support the view that solvent concentration and homogenization speed are important parameters for enhancing phenolic compound release. This outcome aligns with previous research, which suggests that higher solvent concentrations and increased homogenization speeds facilitate better solubilization and recovery of phenolic compounds from plant materials. The enhanced extraction of phenolics under these conditions is attributed to the increased solvent availability and effective disruption of cell walls, promoting the release of bioactive molecules.
Similarly, the total flavonoid content (TFC) exhibited a strong dependence on solvent concentration and homogenization speed, as depicted in Figure 5(c). The highest TFC (45.1297 mg QE/g) was achieved under the same optimized conditions. Adequate solvent concentration allowed for efficient solubilization of flavonoids, while the appropriate homogenization speed ensured effective disruption of the plant cell walls, thereby releasing the flavonoids into the solvent. However, excessive homogenization speeds may lead to the degradation of sensitive bioactive compounds, resulting in a decrease in TFC. These results underscore the importance of homogenization speed in influencing extraction efficiency, as higher shear promotes matrix breakdown and enhances the release of bioactive compounds.
Furthermore, the DPPH radical scavenging activity, a well-established indicator of antioxidant potential, was closely linked to the recovery of phenolic and flavonoid compounds. As illustrated in Figure 5(d), the highest DPPH radical scavenging activity (80.7249%) was achieved under the optimized conditions that maximized both TPC and TFC. Although solvent concentration did not exert a statistically significant effect (p = 0.9155), moderate levels may still facilitate solubilization of antioxidant compounds. In contrast, homogenization speed and liquid-to-solid ratio were the dominant factors driving antioxidant recovery. The positive correlation between phenolic and flavonoid contents and DPPH scavenging activity highlights the strong antioxidant potential of the extract. These optimized conditions enabled the extraction of bioactive compounds with robust antioxidant properties, making them valuable for potential applications in food, pharmaceutical, and cosmetic industries.
Figure 5 3D response surface methodology (RSM) plots for formulation optimization where the effects of variables on (a) yield, (b) total phenolic content, (c) total flavonoid content and (d) DPPH radical scavenging activity. The assumptions of normality and homogeneity of variance were confirmed prior to ANOVA.
Table 6 The experimental and predicted values of four responses at optimal conditions.
Variables |
Dependent responses |
|
|
|
|||
LSR (mL/g) |
NADES concentration (%) |
Homogenization speed (rpm) |
Time (min) |
Predicted Value |
Actual Value |
Prediction error (%) |
|
50 |
20 |
10,000 |
20 |
Yield (%) |
30.05 |
31.20 ± 1.0 |
3.82 |
TPC (mg GAE/g) |
65.47 |
65.81 ± 1.2 |
0.52 |
||||
TFC (mg QE/g) |
43.44 |
44.58 ± 0.9 |
2.62 |
||||
DPPH (%) |
79.03 |
80.54 ± 1.2 |
1.91 |
||||
Model verification
The reliability of the regression models was assessed by conducting experiments under the predicted optimal conditions, and the corresponding responses are presented in Table 6. Numerical optimization, informed by the 3D response surface plots, indicated that the most favorable conditions consisted of a liquid-to-solid ratio of 50 mL/g, a NADES concentration of 20 %(w/w), a homogenization speed of 10,000 rpm, and an extraction time of 20 min. Under these parameters, the models predicted an extraction yield of 30.05%, a total phenolic content of 65.47 mg GAE/g DW, a total flavonoid content of 43.44 mg QE/g DW, and a DPPH inhibition of 79.03%. Validation experiments performed in triplicate produced results in close agreement with these predictions, with relative errors below 5%. This consistency demonstrates that the response surface methodology coupled with the Box-Behnken design provides accurate predictive power and can be applied effectively for optimizing NADES-based homogenization-assisted extraction.
Conclusions
In this work, we have demonstrated the effect of combining natural deep eutectic solvents with homogenization-assisted extraction as a sustainable strategy for recovering antioxidants from Centella asiatica. By coupling solvent innovation with process intensification, the study provides a green alternative to conventional organic solvents, capable of preserving the stability of thermolabile phytochemicals while enhancing extraction efficiency. The approach underscores the role of NADES design, particularly the choline chloride-glycerol system, in achieving high solubilization capacity under mild conditions, reinforcing the value of tailoring solvent properties to target plant matrices. From a methodological perspective, the use of response surface methodology offered a statistically robust framework to optimize interacting parameters and establish reliable predictive models. This not only supports reproducibility but also provides practical insights into scaling laboratory findings toward industrial practice. Importantly, the results highlight the broader relevance of NADES-HAE for green chemistry and natural product valorization, positioning it as a versatile platform applicable to diverse botanical sources and bioactive compounds. Despite these promising outcomes, several limitations must be acknowledged. The recyclability and reusability of NADES remain a critical challenge, and the energy requirements of homogenization may limit cost-effectiveness in large-scale operations. Moreover, the current study focused primarily on antioxidant contents, leaving the quantitative profiling of specific bioactives such as asiaticoside and madecassoside for future investigation. Addressing these issues through solvent recovery protocols, pilot-scale validation, advanced analytical methods (e.g., HPLC-MS/MS), and in vitro and in vivo bioactivity assessments will be essential to confirm efficacy, safety, and economic feasibility. Such efforts will accelerate the translation of this green extraction technology into functional foods, nutraceuticals, and cosmeceuticals, thereby bridging laboratory innovation with industrial application.
Acknowledgements
We acknowledge Ho Chi Minh City University of Technology (HCMUT), VNU-HCM, Vietnam for supporting this study.
Declaration of generative AI in scientific writing
During the preparation of this work the author(s) used ChatGPT in order to improve language and readability, with caution. After using this tool/service, the author(s) reviewed and edited the content as needed and take(s) full responsibility for the content of the publication.
CRediT author statement
Long Phuoc Lieu: Writing - review & editing, Writing - original draft, Visualization, Methodology, Investigation, Project administration, Formal analysis, Data curation, Conceptualization. Thi Thanh Huyen Nguyen: Writing - review & editing, Methodology, Investigation, Visualization, Formal analysis, Conceptualization. Duy Thanh Phu Quan Dao: Writing - original draft, Investigation, Formal analysis, Validation, Visualization. Vo Yen Nhi Pham: Methodology, Software, Data curation, Conceptualization, Investigation, Formal analysis. Dinh Quan Nguyen: Writing - original draft, Writing - review & editing, Project administration, Visualization, Supervision.
References
[1] JT James and IA Dubery. Pentacyclic triterpenoids from the medicinal herb, Centella asiatica (L.) urban. Molecules 2009; 14, 3922-3941.
[2] B Brinkhaus, M Lindner, D Schuppan and EG Hahn. Chemical, pharmacological and clinical profile of the East Asian medical plant Centella aslatica. Phytomedicine 2000; 7(5), 427-448.
[3] NE Gray, AA Magana, P Lak, KM Wright, J Quinn, JF Stevens, CS Maier and A Soumyanath. Centella asiatica: Phytochemistry and mechanisms of neuroprotection and cognitive enhancement. Phytochemistry Reviews 2018; 17(1), 161-194.
[4] S Tripathy, DK Verma, M Thakur, N Chakravorty, S Singh and PP Srivastav. Recent trends in extraction, identification and quantification methods of Centella asiatica phytochemicals with potential applications in food industry and therapeutic relevance: A review. Food Bioscience 2022; 49, 101864.
[5] MK Khan, L Paniwnyk and S Hassan. Polyphenols as natural antioxidants: Sources, extraction and applications in food, cosmetics and drugs. In: Y Li and F Chemat (Eds.). Plant based “green chemistry 2.0”. Green chemistry and sustainable technology. Springer, Singapore, 2019, p. 197-235.
[6] R Kunjumon, AJ Johnson and S Baby. Centella asiatica: Secondary metabolites, biological activities and biomass sources. Phytomedicine Plus 2022; 2(1), 100176.
[7] M Vandorou, C Plakidis, IM Tsompanidou, T Adamantidi, EA Panagopoulou and A Tsoupras. A review on apple pomace bioactives for natural functional food and cosmetic products with therapeutic health-promoting properties. International Journal of Molecular Sciences 2024; 25(19), 10856.
[8] F Chemat, MA Vian and G Cravotto. Green extraction of natural products: Concept and principles. International Journal of Molecular Sciences 2012; 13(7), 8615-8627.
[9] CP Mungwari, CK King’ondu, P Sigauke and BA Obadele. Conventional and modern techniques for bioactive compounds recovery from plants: Review. Scientific African 2025; 27, e02509.
[10] U Roobab, RM Aadil, SS Kurup and S Maqsood. Comparative evaluation of ultrasound-assisted extraction with other green extraction methods for sustainable recycling and processing of date palm bioresources and by-products: A review of recent research. Ultrasonics Sonochemistry 2025; 114, 107252.
[11] C Bitwell, SS Indra, C Luke and MK Kakoma. A review of modern and conventional extraction techniques and their applications for extracting phytochemicals from plants. Scientific African 2023; 19, e01585.
[12] A Paiva, R Craveiro, I Aroso, M Martins, RL Reis and ARC Duarte. Natural deep eutectic solvents - solvents for the 21st century. ACS Sustainable Chemistry & Engineering 2014; 2(5), 1063-1071.
[13] JJ Queffelec, W Beraud, MD Torres and H Domínguez. Advances in obtaining ready to use extracts with natural solvents. Sustainable Chemistry and Pharmacy 2024; 38, 101478.
[14] FS Bragagnolo, MM Strieder, RS Pizani, LM de Souza Mesquita, M González-Miquel and MA Rostagno. Revisiting natural deep eutectic solvents (NADES) as extraction media and ready-to-use purposes. TrAC Trends in Analytical Chemistry 2024; 175, 117726.
[15] DT da Silva, R Pauletto, S da Silva Cavalheiro, VC Bochi, E Rodrigues, J Weber, CB da Silva, FDP Morisso, MT Barcia and T Emanuelli. Natural deep eutectic solvents as a biocompatible tool for the extraction of blueberry anthocyanins. Journal of Food Composition and Analysis 2020; 89, 103470.
[16] FM Fuad, MM Nadzir and A Harun. Hydrophilic natural deep eutectic solvent: A review on physicochemical properties and extractability of bioactive compounds. Journal of Molecular Liquids 2021; 339, 116923.
[17] B Socas-Rodríguez, MV Torres-Cornejo, G Álvarez-Rivera and JA Mendiola. Deep eutectic solvents for the extraction of bioactive compounds from natural sources and agricultural by-products. Applied Sciences 2021; 11, 4897.
[18] MH Zainal-Abidin, M Hayyan, A Hayyan and NS Jayakumar. New horizons in the extraction of bioactive compounds using deep eutectic solvents: A review. Analytica Chimica Acta 2017; 979, 1-23.
[19] Ü Erdoğan, TH Öztürk, S Önder and M Tonguç. Eco-friendly extraction of 6 different rosemary (Rosmarinus officinalis L.) genotypes-using natural deep eutectic solvents: Optimization and modeling via response surface methodology (RSM). Journal of Molecular Liquids 2024; 407, 125167.
[20] Z Wei, W Zhang, M Du, H Zhong and X Fang. Widely targeted metabolomic and KEGG analyses of natural deep eutectic solvent-based saponins extraction from Camellia oleifera Abel.: Effects on composition. Food Chemistry 2024; 450, 139333.
[21] KJ Lanjekar and VK Rathod. Green extraction of Glycyrrhizic acid from Glycyrrhiza glabra using choline chloride based natural deep eutectic solvents (NADESs). Process Biochemistry 2021; 102, 22-32.
[22] S Carpentieri, F Soltanipour, G Ferrari, G Pataro and F Donsì. Emerging green techniques for the extraction of antioxidants from agri-food by-products as promising ingredients for the food industry. Antioxidants 2021; 10(9), 1417.
[23] C Cannavacciuolo, S Pagliari, R Celano, L Campone and L Rastrelli. Critical analysis of green extraction techniques used for botanicals: Trends, priorities, and optimization strategies - a review. TrAC Trends in Analytical Chemistry 2024; 173, 117627.
[24] P Kumari, P Kaur, V Kumar, B Pandey, R Nazir, K Katoch, P Dwivedi, A Dey and DK Pandey. Response surface methodology and artificial neural network modeling for optimization of ultrasound-assisted extraction and rapid HPTLC analysis of asiaticoside from Centella asiatica. Industrial Crops and Products 2022; 176, 114320.
[25] FM Fuad and MM Nadzir. Ultrasound-assisted extraction of asiaticoside from Centella asiatica using betaine-based natural deep eutectic solvent. Industrial Crops and Products 2023; 192, 116069.
[26] P Mohapatra, A Ray, S Jena, S Nayak and S Mohanty. Influence of extraction methods and solvent system on the chemical composition and antioxidant activity of Centella asiatica L. leaves. Biocatalysis and Agricultural Biotechnology 2021; 33, 101971.
[27] N Ji, C Yu, X Han, X He, S Kang, T Bai, H Liu, G Chen, M Cao and G Liu. Effects of 3 processing technologies on the structure and immunoreactivity of α-tropomyosin from Haliotis discus hannai. Food Chemistry 2023; 405, 134947.
[28] C Neji, A Muthu, D Ungai, E Seres, É Domokos-Szabolcsy, J Prokisch, E Máthé and P Sipos. Assessing deep eutectic solvent efficiency by optimizing soybean protein extraction. Food and Bioprocess Technology 2025. https://doi.org/10.1007/s11947-025-03973-9
[29] S Srivastava, VK Pandey, A Fatima, S Pandey, R Singh, AH Dar and B Dhillon. A literature review on process intensification: An innovative and sustainable food processing method. Applied Food Research 2024; 4(1), 100363.
[30] J Ponphaiboon, W Krongrawa, WW Aung, N Chinatangkul, S Limmatvapirat and C Limmatvapirat. Advances in natural product extraction techniques, electrospun fiber fabrication, and the integration of experimental design: A comprehensive review. Molecules 2023; 28, 5163.
[31] C Wang, Y You, W Huang and J Zhan. Efficient recovery of procyanidins from grape residue by UAE-NADES and macroporous resin. Ultrasonics Sonochemistry 2025; 119, 107400.
[32] Q Zhang, KDO Vigier, S Royer and F Jérôme. Deep eutectic solvents: syntheses, properties and applications. Chemical Society Reviews 2012; 41(21), 7108-7146.
[33] Y Dai, J Van Spronsen, GJ Witkamp, R Verpoorte and YH Choi. Natural deep eutectic solvents as new potential media for green technology. Analytica Chimica Acta 2013; 766, 61-68.
[34] ND de Lima, BRSM Wanderley, ALA Ferreira, M Pereira-Coelho, IC da Silva Haas, L Vitali, L.A. dos Santos Madureira, JM Müller, CB Fritzen-Freire and RDMC Amboni. Green extraction of phenolic compounds from the by-product of purple araçá (Psidium myrtoides) with natural deep eutectic solvents assisted by ultrasound: Optimization, comparison, and bioactivity. Food Research International 2024; 191, 114731.
[35] IL Oliveira, G Domínguez-Rodríguez, L Montero, J Viganó, A Cifuentes, MA Rostagno and E Ibáñez. Advanced extraction techniques combined with natural deep eutectic solvents for extracting phenolic compounds from pomegranate (Punica granatum L.) peels. International Journal of Molecular Sciences 2024; 25(18), 9992.
[36] L Hu, Y Luo, J Yang and C Cheng. Botanical flavonoids: Efficacy, absorption, metabolism and advanced pharmaceutical technology for improving bioavailability. Molecules 2025; 30, 1184.
[37] LA Jiménez-Ortega, J Kumar-Patra, RG Kerry, G Das, JD Mota-Morales and JB Heredia. Synergistic antioxidant activity in deep eutectic solvents: Extracting and enhancing natural products. ACS Food Science & Technology 2024; 4(12), 2776-2798.
[38] TP Vo, TV Pham, K Weina, TNH Tran, LTV Vo, PT Nguyen, TLH Bui, TH Phan and DQ Nguyen. Green extraction of phenolics and flavonoids from black mulberry fruit using natural deep eutectic solvents: Optimization and surface morphology. BMC Chemistry 2023; 17(1), 119.
[39] LS Chua, HY Thong and J Soo. Effect of pH on the extraction and stability of anthocyanins from jaboticaba berries. Food Chemistry Advances 2024; 5, 100835.
[40] V Taco, D Almachi, P Bonilla, I Gijón-Arreortúa, S Benali, JM Raquez, P Duez and A Nachtergael. Natural Deep Eutectic Solvents (NADESs) for the extraction of bioactive compounds from quinoa (Chenopodium quinoa Willd.) leaves: A semi-quantitative analysis using high performance thin-layer chromatography. Molecules 2025; 30(12), 2620.
[41] H Kivelä, M Salomäki, P Vainikka, E Mäkilä, F Poletti, S Ruggeri, F Terzi and J Lukkari. Effect of water on a hydrophobic deep eutectic solvent. The Journal of Physical Chemistry B 2022; 126, 513-527.
[42] FN Idris and M Mohd Nadzir. Comparative studies on different extraction methods of Centella asiatica and extracts bioactive compounds effects on antimicrobial activities. Antibiotics 2021; 10(4), 457.
[43] S Phaisan, F Makkliang, W Putalun, S Sakamoto and G Yusakul. Development of a colorless Centella asiatica (L.) Urb. extract using a natural deep eutectic solvent (NADES) and microwave-assisted extraction (MAE) optimized by response surface methodology. RSC Advances 2021; 11(15), 8741-8750.
[44] J Chen, C Jiang, Z Liu, P Wang, Q Ma and N Zhou. Study on optimization of extraction and purification processes for total flavonoids from Lycopi herba roots and their anti-proliferative effects on fibrous synoviocytes in human rheumatoid arthritis. Ultrasonics Sonochemistry 2025; 112, 107164.
[45] MJ Tan, Y Li, SQ Zhao, FH Yue, DJ Cai, JT Wu, XA Zeng, J Li and Z Han. Synergistic ultrasound pulsed electric field extraction of litchi peel polyphenols and determination of their properties. International Journal of Biological Macromolecules 2024; 260, 129613.
[46] YR Yi and JR Koseff. Underlying physics of mixing efficiency for shear-forced, stratified turbulence. Physical Review Fluids 2023; 8(8), 084803.
[47] A Anvar, MH Azizi and HA Gavlighi. Exploring the effect of natural deep eutectic solvents on zein: Structural and functional properties. Current Research in Food Science 2025; 10, 100965.
[48] MA Alam, G Muhammad, MN Khan, M Mofijur, Y Lv, W Xiong and J Xu. Choline chloride-based deep eutectic solvents as green extractants for the isolation of phenolic compounds from biomass. Journal of Cleaner Production 2021; 309, 127445.
[49] C Spaggiari, L Carbonell-Rozas, H Zuilhof, G Costantino and L Righetti. Structural elucidation and long-term stability of synthesized NADES: A detailed physicochemical analysis. Journal of Molecular Liquids 2025; 424, 127105.
[50] J Yang, N Li, C Wang, T Chang and H Jiang. Ultrasound-homogenization-assisted extraction of polyphenols from coconut mesocarp: Optimization study. Ultrasonics Sonochemistry 2021; 78, 105739.
[51] O Soufi, L Medouni-Haroune, M Bachirbey, S Medouni-Adrar, F Idir, T Heddad, L Ouldsaadi, C Romero, K Madani and L Makhlouf-Boulekbache. Statistical optimization of ultrasound-assisted extraction of polyphenols from olive pomace. Sustainable Chemistry and Pharmacy 2023; 36, 101260.
[52] M Coscarella, M Nardi, K Alipieva, S Bonacci, M Popova, A Procopio, R Scarpelli and S Simeonov. Alternative assisted extraction methods of phenolic compounds using NaDESs. Antioxidants 2023; 13(1), 62.
[53] A Antony and M Farid. Effect of temperatures on polyphenols during extraction. Applied Sciences 2022; 12, 2107.
[54] W Wang, Y Pan, J Zhao, Y Wang, Q Yao and S Li. Development and optimization of green extraction of polyphenols in Michelia alba using natural deep eutectic solvents (NADES) and evaluation of bioactivity. Sustainable Chemistry and Pharmacy 2024; 37, 101425.
[55] RC Lima, APA de Carvalho, BD da Silva, LT Neto, MRS Figueiredo, PHT Chaves, AECC de Almeida and CA Conte-Junior. Green ultrasound-assisted extraction of bioactive compounds of babassu (Attalea speciosa) mesocarp: Effects of solid-liquid ratio extraction, antioxidant capacity, and antimicrobial activity. Applied Food Research 2023; 3(2), 100331.
[56] E Gil-Martín, T Forbes-Hernández, A Romero, D Cianciosi, F Giampieri and M Battino. Influence of the extraction method on the recovery of bioactive phenolic compounds from food industry by-products. Food Chemistry 2022; 378, 131918.
[57] SJ Fan, XY Zhang, Y Cheng, YX Qiu, YY Hu, T Yu, WZ Qian, DJ Zhang and S Gao. Extraction optimization of phenolic compounds from Triadica sebifera leaves: Identification, characterization and antioxidant activity. Molecules 2024; 29(14), 3266.
[58] MAR Himel, T Ahmed, MA Hossain and MS Moazzem. Response surface optimization to extract antioxidants from freeze-dried seeds and peel of pomegranate (Punica granatum L.). Biomass Conversion and Biorefinery 2024; 14(8), 9707-9722.