Start Bootstrap Logo
Synthesis of Patterned Media by self-assembly of magnetic nanoparticles

Trends Sci. 2026; 23(3): 11427

Physicochemical Gradients from Seashore to Culture area in Phetchaburi Province, Thailand


Sirinya Sirimahawan and Bongkot Wichachucherd*


Department of Science and Bioinnovation, Faculty of Liberal Arts and Science, Kasetsart University,

Kamphaeng Saen, Nakhon Pathom 73140, Thailand


(*Corresponding author’s e-mail: [email protected])


Received: 29 July 2025, Revised: 12 September 2025, Accepted: 1 October 2025, Published: 10 December 2025


Abstract

Nowadays, nature becoming to imbalance conditions from global warming issue. This effect has widely spread in many countries, especially coastal areas. The characteristics and intensity of environmental issues depend on geography in each area. Also, the Gulf of Thailand confront of rising sea surface temperatures and temporary eutrophication for many years now. Coastal culture is one of the important incomes for Thailand especially marine aquaculture - marine fish, shrimp, oyster and seaweed. Many open ponds are related directly to environment scheme. For seaweed culture, seawater is directly used in circulation by flowing from the natural area. Therefore, the quality of seaweed would not only depend on pond managements but also the environmental sources. This study aims to investigate physicochemical factors that change along the seashore to land use area. Twelve physicochemical factors were collected every 2 months from January 2023 to January 2024 from seashore to the sea grapes aquaculture ponds. Water and sediment samples were collected to analyze the amounts of ammonia, nitrate, phosphate, chemical oxygen demand, organic carbon, temperature, salinity, pH value, dissolved oxygen. The spatial and temporal parameters differences were performed by 2-way ANOVA at 95% confidence interval. The result showed the many physicochemical factors had spatial and temporal variation except the air temperature, had merely temporal variation. Moreover, the key biogenic elements were accumulated in sediment more than seawater. The physicochemical factor change depends on seasonal change in the Gulf of Thailand. The findings of this study indicate that all stations where the coastal area are impacted by environmental issues.


Keywords: Aquaculture, Coastal area, Economic seaweeds, Gulf of Thailand, Mariculture, Physicochemical gradient, Seawater circulation


Introduction

Coastal areas have been increasingly impacted by global warming and associated environment change. These changes, including alterations in temperature, salinity, and pH, disturbing natural balance of ecosystems. Such shifts can trigger the conditions for aquatic living such as eutrophication - a phenomenon that reflects severe environmental stress and may lead to self-reinforcing ecological degradation [1]. Between 1960 and 2017, the annual mean temperature in Southeast Asia increased by approximately 0.32 °C per decade, annual precipitation rose by 0.16 mm per decade, and potential evapotranspiration (PET) increased by 0.04 mm/day per decade [2]. These climatic shifts highlight the growing imbalance in natural systems. In coastal areas, such imbalances are particularly concerning due to their strong dependence on seawater quality for local livelihoods and cultural practices. For instance, rising sea surface temperatures - particularly in the Gulf of Thailand - have been well documented as a consequence of global climate change [3]. Concurrently, fluctuations in salinity and freshwater intrusion, exacerbated by upstream water extraction and extreme weather events, have altered estuarine salinity gradients, adversely affecting mangrove ecosystems and aquaculture operations, especially those involving shrimp and shellfish.

Environmental changes along coastlines have been widely studied in various regions, with outcomes influenced by local geography and resource availability. For example, research along the eastern shore of Georgian Bay (Lake Huron) found that the region’s diverse geomorphology shaped nutrient gradients and water quality through factors such as thermal regimes, light penetration, water movement, and substrate type. These environmental gradients strongly influenced the spatial distribution of aquatic organisms, including plankton, seaweed, benthic fauna, and mussels [4]. Organisms often select habitats based on such gradients. A study using a Generalized Additive Model (GAM) further revealed that total suspended matter and salinity were the most significant factors governing the natural distribution of seaweeds [5]. Recognizing these ecological patterns, many countries have leveraged coastal gradients to develop sustainable mariculture systems - especially under the framework of the blue economy. Aquaculture of fish, shellfish, and seaweed has been promoted not only for its economic benefits but also as a source of nutritionally rich, antioxidant-laden food. Recent efforts have focused on developing efficient seaweed cultivation systems that yield high-quality biomass with minimal waste and reduced environmental impact. Notably, mariculture can influence marine carbon fluxes by releasing dissolved organic matter (DOM), which contributes to the coastal carbon cycle [6]

Currently, integrated mariculture systems that combine seaweed culture with other marine species are increasing adopted to maintain ecological balance in culture environments. For instance, a study in Sansa Bay examined the co-cultivation of fish (Larimichthys crocea), seaweed (Gracilaria lemaneiformis), and abalone (Haliotis spp.). The findings demonstrated that seaweed plays a key role in carbon sequestration and DOM production [7]. These results are consistent with previous research suggesting that seaweed cultivation enhances microbial carbon metabolism in sediments, thereby contributing to long-term carbon regulation in marine environments and climate change mitigation [8]. In addition to carbon capture, seaweed can also absorb excess nitrogen and phosphorus, mitigating the nutrient pollution generated by intensive aquaculture systems [9].

Thailand, with a coastline extending approximately 3,148 km along the Gulf of Thailand and the Andaman Sea, hosts a wide range of ecosystems and coastal economic activities. However, climate change poses a growing threat to the region, with increased frequency and severity of extreme weather events expected in the coming decades [10]. Several economically important seaweed species, such as Caulerpa lentillifera and Ulva spp., have been promoted for cultivation, primarily in open aquaculture ponds (resembling salt pans) along the Gulf coast, and in cage culture systems in the Andaman Sea [11]. These methods are designed to offer high productivity at low cost.

Nevertheless, environmental changes - including those driven by climate change and human activities - are increasingly impacting open aquaculture systems. While previous research has focused on the role of seaweed in bioremediation and cultivation techniques (including both monoculture and integrated systems), there remains a significant gap in understanding how physicochemical changes - especially whether those induced by climate change - affect seaweed aquaculture. This study aimed to assess year-round fluctuations in physicochemical parameters along this coastal-to-inland gradient, specifically in relation to seaweed aquaculture practices. Therefore, this study focuses on spatial and temporal variation in physicochemical parameters from estuarine zones to sea grape (Caulerpa lentillifera) aquaculture ponds in local coastal communities. By examining the influence of environmental gradients on coastal culture systems, this research contributes to the broader understanding of ecosystem dynamics, and supports the integration of environmental science, traditional knowledge, and socio-cultural perspectives for sustainable coastal management and heritage preservation.


Materials and methods

Study site and field sampling

Ban Laem, Phetchaburi Province (13°02'14.4" N 100°05'11.6" E) has been promoting from the government for the economic seaweed culture for examples Caulerpa lentillifera and Ulva rigita which being well-known in Thailand. This location was commercially culture seaweed in open monoculture ponds or the bottom planting culture technique. Water circulation within these systems is influenced by the local hydrodynamic regime, wherein seawater is pumped from the coastal sea through surrounding land areas and into culture ponds [12]. Therefore, the assessment the change of physicochemical parameters along this coastal-to-inland gradient, specifically in relation to seaweed aquaculture practices. Five sampling stations were established, covering the gradient from the coastline to the seaweed aquaculture ponds, following the natural and constructed water flow from the estuary to the inland culture sites: Station 1 (ST1): Located at the estuarine zone connected to Laem Luang Beach along the Gulf of Thailand, which includes a small harbor. Station 2 (ST2): A canal within a residential area, influenced by human activities. Station 3 (ST3): A natural canal bordered by mangrove vegetation, serving as a water intake site for the aquaculture system. Station 4 (ST4): An open pond used for Caulerpa lentillifera cultivation. Station 5 (ST5): Another open cultivation pond, located approximately 2 kilometers from ST4 (Figure 1). Sampling was conducted bi-monthly over the course of one year, from January 2023 to January 2024, during the months of January, March, May, July, September, and November. The region experiences seasonal climatic changes, with the Southwest monsoon typically affecting the area from January to February, and the Northeast monsoon from April to May.

Environment factors were measured both in situ and through the laboratory analysis. Air temperature, water temperature, dissolved oxygen, total dissolved solid, pH value and salinity were collected at the sampling date in the field. The rainfall data was referenced from Smart Water Operation center [13]. Approximately 1 - 2 L of seawater samples were collected at 0.5 m depth by 500 mL of High-Density Polyethylene (HDPE) sampling bottle. And then, they were preserved by 2 mL of 98% sulfuric acid per 500 mL of each seawater samples. Sediment samples were collected by a wood spatula at 0.3 m depth surface, packed all samples in Polyethylene (PE) zip lock bags and then contained in Styrofoam box before transported to laboratory. Seawater and sediment samples were collected for the 3 replications at a station.


Figure 1 Mapping stations of the water flow along coastline (ST1: Laem Pak Bia where estuary with mangrove (13°02'29.0"N 100°05'24.3"E); ST2: Natural canal with domestic area (13°02'18.3"N 100°05'04.6"E); ST3: Canal for seawater pumping (13°02'15.9"N 100°04'58.3"E); ST4: Sea grapes open culture pond 1 (13°02'16.3"N 100°04'54.6"E); ST5: Sea grapes open culture pond 2 (13°02'16.5"N 100°04'48.7"E). Seawater flow through to culture area was shown as dark blue arrows.


Seawater laboratory analysis

Samples were kept at temperature less than 4 °C and analyzed as soon as possible, not over a week. When laboratory studies were started, seawater was chilled at room temperature. After that, adjusted acidity to neutrality by 1 N sodium hydroxide and filtered by Buchner funnel with GF/C filter paper before analysis. Ammonia analysis was followed by distillation method, nitrate analysis was followed by brucine method, phosphate analysis was followed by ascorbic acid method and chemical oxygen dissolved (COD) analysis was followed by close reflux method [14,15].


Sediment laboratory analysis

Sediments were prepared by drying in a hot air oven at 60 °C until dry and then contained in PE zip lock bag. Keep away the moisture and sunlight. Also, ammonia, nitrate, phosphate parameters were analyzed by means of 5 times diluted sediment with deionized water. They were examined as the same way in seawater except the organic carbon followed by Walkley-Black method [14].


Statistical analysis

Map was made by QGRIS program 3.42.0 version. Geography and land use data extracted from DIVA-GIS [16] and Natural Earth [17]. The physicochemical differences between months and stations were performed via IBM SPSS Statistics 25. The physicochemical differences between months and stations were tested by 2-way ANOVA with descriptive statistic and homogeneity test options. Data multiple comparison by Post Hoc and equal variance assume analysis by LSD and Turkey test. Data were presented as mean ± standard variation (SD) values.


Results and discussion

Twelve physicochemical parameters were monitored in this study, revealing spatial and temporal variations across 5 sampling stations. They showed fluctuations among months and stations. Only the air temperature were not significantly differences (p > 0.05) in the 5 stations but there were significantly changed in months (p < 0.05). Meanwhile, most of factors consisted of water temperature, rainfall, salinity, dissolved oxygen, chemical oxygen demand, water and sediment pH, ammonia, nitrate, phosphate and organic carbon, exhibited the fluctuated differences among months and stations (p < 0.05).

Air temperature did not vary significantly among stations (p > 0.05) but showed significant seasonal variation (p < 0.05; Figure 2). The air temperatures were highest during May (34.06 ± 0.06 °C) and July 2023 (34.03 ± 0.03 °C), while the lowest mean values occurred in January 2023 (28.00 ± 0.07 °C). No significant differences were found among March, September, November 2023, and January 2024 (p > 0.05), with averages ranging from 33.03 ± 0.03 to 33.06 ± 0.05 °C. Otherwise, there were significantly among the stations and months (p < 0.05; Figure 3) in water temperature. Stations 1 and 2 exhibited lower water temperatures compared to other stations during January to July 2023, while Stations 3 to 5 showed similar mean values. The highest water temperatures were recorded in May (34.82 ± 2.85 °C) and July (36.49 ± 1.28 °C); the lowest was in January 2023 (26.15 ± 1.38 °C).

Open culture ponds (Stations 4 and 5), which are exposed to direct sunlight, had slightly higher water temperatures than air, due to increased solar heating. Air temperature in the study area occurred relatively minor variation when compared to water temperature, which showed more pronounced fluctuations than air temperature. These fluctuations accorded with the seasonal change in Phetchaburi Province. In addition, the highest water temperatures occurred in July, while the lowest occurred in November. These months mark the seasonal transitions, from the dry season to the southwest monsoon season (post-May) and from the southwest monsoon season to the northeast monsoon season (post-October), still low value until January 2024, accorded the annual variation trends in seawater surface temperature in the Upper Gulf of Thailand [18]. Additionally, the certain months and stations, especially at stations 4 and 5, water temperature was slightly higher than air temperature. These stations located in open aquaculture ponds, which are exposed to directly sunlight, contribute to increased water temperatures. Temperature data showed that rising temperature comparing between years 2023 and 2024 in January can be indicated the mirror of climate change that led to high temperatures.

Rainfall data of Phetchaburi province provided by the Smart Water Operation Center, indicated low rainfall between January and July 2023 (~3.91 mm), with a peak in November 2023 (~319.39 mm; Figure 4) as the seasonal represented in season of Phetchaburi province, exhibits a tropical monsoon climate with 3 seasons: Hot, rainy (mid-May to mid-October), and cool (mid-October to February). The hot season typically start mid-February to mid-May. And then, it enters a seasonal change when northeast monsoon passed. Air temperatures increase - particularly from March to May. But the coastal areas were influenced by air currents and humidity from marine, thereby mitigating extremely heat. The rainy season was during the mid-May to mid-October, effected by the southwest monsoon that brings precipitation to many areas in Thailand. Coastal influences moderate temperature extremes. The southwest monsoon brings rainfall to the region, although rainfall persisted until December 2023. The cool season began around the middle of October and February, the return of the northeast monsoon. This period was characterized by a drop-in temperature and cooler conditions.

Salinity peaked from May to September in all 5 stations (Figure 5), with the highest value in July (38.10 ± 1.81 ppt), and decreased significantly in November (30.84 ± 0.80 ppt; Figure 5). Although no significant spatial variation was found, salinity tended to be slightly higher in open aquaculture ponds (Stations 4 and 5), likely due to higher evaporation under solar exposure—factors that contribute to higher salinity concentrations [19]. Although this period coincides with the monsoon season, when seawater salinity typically decreases due to increased freshwater runoff from estuaries into the ocean [20], aquaculture management practices for cultivating Caulerpa lentillifera (sea grapes) along the coast involve reducing the frequency of seawater exchange in and out of the ponds. This practice aims to maintain optimal water quality for cultivation while minimizing the influence of rainfall. As a result, seawater salinity in the aquaculture ponds remained high during the monsoon season.



Figure 2 Air temperature (Air Tm) among 5 stations (ST1 - ST5) throughout a year. Data were presented as mean ± SD values.



Figure 3 Water temperature (W Tm) among 5 stations (ST1 - ST5) throughout a year. Data were presented as mean ± SD values.



Figure 4 Rainfall in Phetchaburi province throughout a year. Data were presented as mean ± SD values.


Figure 5 Water Salinity (W Sal) among 5 stations (ST1 - ST5) throughout a year. Data were presented as mean ± SD values.


Water pH values (Figure 6) ranged from 7.45 ± 0.46 to 8.50 ± 0.20, slightly higher than sediment pH (Figure 7), which ranged from 7.25 ± 0.36 to 8.40 ± 0.13. Water pH peaked during July to November (8.42 ± 0.35 to 8.50 ± 0.19); lowest levels were in January to March 2023 by 7.60 ± 0.43 and 7.45 ± 0.46, respectively. Sediment pH peaked in March, May, and November 2023 (ranged from 8.22 ± 0.17 to 8.40 ± 0.13) and was lowest in January 2024 (7.25 ± 0.36). Even natural seawater has buffering properties [21], they could be influenced by tidal in rainy season at the sea month in this study area. Seasonal variation and tidal flushing may influence water pH more than sediment [22]. In terms of aquaculture water quality by Department of Marine and Coastal Resources, Water pH levels generally remained within the recommended range for aquaculture (7.0 - 8.5) [23]. However, the results from this study revealed that the water pH values did not meet the standard criteria for aquaculture water quality.



Figure 6 Water pH value among 5 stations (ST1 – ST5) throughout a year. Data were presented as mean ± SD values.



Figure 7 Sediment pH value among 5 stations (ST1 - ST5) throughout a year. Data were presented as mean ± SD values.


The average of total dissolved solid (TDS) ranged from 25.93 ± 5.90 to 38.69 ± 8.91 ppt (Figure 8), were higher during May, July and September 2023 (35.07 ± 4.97 to 37.76 ± 3.33 ppt). In contrast, TDS in November 2023 and January 2024 were significantly lower than in other months (p < 0.05) with 26.73 ± 4.78 and 25.93 ± 5.90 ppt, respectively. These variations can be influenced by several factors that include salinity, evaporation and pH values, can affect TDS [24] which align with this research and showed that TDS tend to increase during higher salinity. The inability to collect TDS data during the first 2 months affects the loss of early-year data. However, this result had minimal impact on the overall analysis because the trend could be reasonably inferred from the salinity data.




Figure 8 Total Dissolve Solid (TDS) among 5 stations (ST1 - ST5) throughout a year. Data were presented as mean ± SD values.


The average of dissolved oxygen (DO) ranged from 0.32 ± 0.05 to 1.17 ± 0.21 mg/L (Figure 9). The highest levels were found in March and May 2023 (1.17 ± 0.21 and 1.14 ± 0.45 mg/L). In contrast, the low DO was found in July and September 2023 (0.43 ± 0.08 and 0.32 ± 0.05 mg/L). However, these values did not differ significantly from those observed in November 2023 and January 2024 (p > 0.05). DO levels tend to decrease during heavy rainfall due to surface runoff increased and had nutrient enrichment, which subsequently reduces oxygen levels in the water during the latter part of the year [25]. In terms of aquaculture water quality by Department of Marine and Coastal Resources, DO levels should not be lower than 4 mg/L [23]. However, the results from this study revealed that the dissolved oxygen did not meet the standard criteria for aquaculture water quality.


Figure 9 Dissolve Oxygen (DO) among 5 stations (ST1 - ST5) throughout a year. Data were presented as mean ± SD values.


Water nitrate concentrations (Figure 10) were approximately ten times lower than sediment (Figure 11) with ranged from 0.03 ± 0.01 to 1.19 ± 0.43 mg/L, whereas in sediment, nitrate levels ranged from 0.51 ± 0.15 to 14.25 ± 12.73 mg/kg. Higher nitrate was observed in water in November 2023 and January 2024 by 0.40 ± 0.02 and 1.19 ± 0.43 mg/L, respectively. Lower nitrate in water was recorded in March and May 2023 (0.07 ± 0.12 and 0.03 ± 0.01 mg/L, respectively). In sediment, nitrate levels peaked in January 2024 by 14.25 ± 12.73 mg/kg. The lowest nitrate in sediment were found in March and May 2023 by 0.83 ± 0.46 and 0.51 ± 0.15 mg/kg, respectively. In terms of aquaculture water quality by Department of Marine and Coastal Resources, water nitrate levels should be lower than 60 µg/L or 0.06 mg/L [23] and no standard value for sediment. However, the results from this study revealed that the water nitrate over meet the standard criteria for aquaculture water quality.

Figure 10 Water nitrate (W Nitrate) among 5 stations (ST1 - ST5) throughout a year. Data were presented as mean ± SD values.


Figure 11 Sediment nitrate (S Nitrate) among 5 stations (ST1 - ST5) throughout a year. Data were presented as mean ± SD values.

.

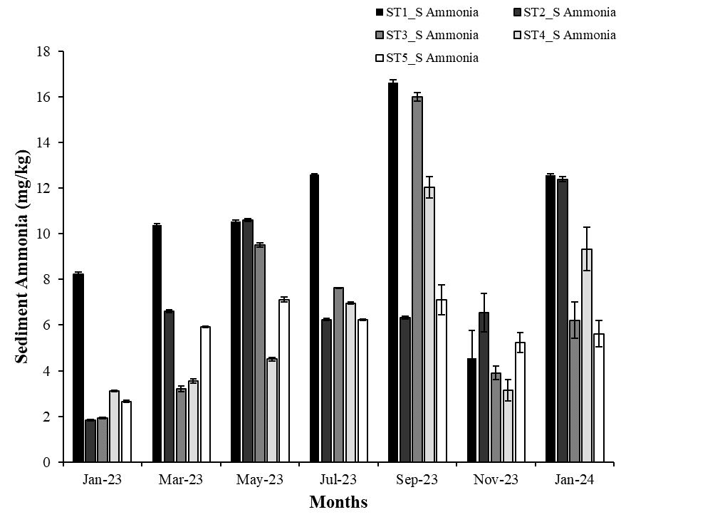
Ammonia was high variability in both water (Figure 12) and sediment (Figure 13), with levels in water being approximately twenty times lower than those in sediment. Water ammonia ranged from 0.05 ± 0.04 to 0.55 ± 0.46 mg/L, while in sediment they ranged from 3.55 ± 2.68 to 11.62 ± 4.82 mg/kg. Water Ammonia was highest in July 2023 and significantly different from other months (p < 0.05), with an average of 0.55 ± 0.46 mg/L. Lower ammonia in water were observed in May, September and November 2023 (0.05 ± 0.04 to 0.07 ± 0.06 mg/L).

In sediment, ammonia levels peaked in September 2023 (11.62 ± 4.82 mg/kg) and were significantly higher than in other months (p < 0.05). The lowest ammonia in sediment were recorded in January, March and November 2023 (3.55 ± 2.68 to 5.93 ± 2.88 mg/kg). Station 1 exhibited the highest ammonia in both water and sediment with significant differences from all other stations (p < 0.05). Observations indicated that Station 1 serves as a receiving site for wastewater discharge from the local community. Most community waste contains high levels of ammonia, which may contribute to elevated ammonia concentrations in this area, particularly during seasonal change. The average values at this station were 0.36 ± 0.42 mg/L for water and 10.79 ± 3.79 mg/kg for sediment. In terms of aquaculture water quality by Department of Marine and Coastal Resources, water ammonia levels should be lower than 100 µg/L or 0.1 mg/L [23]. Meanwhile, there was no standard value for sediment. However, this study revealed that the water ammonia over meet the standard criteria for aquaculture water quality.


Figure 12 Water ammonia (W Ammonia) among 5 stations (ST1 - ST5) throughout a year. Data were presented as mean ± SD values.


Figure 13 Sediment ammonia (S Ammonia) among 5 stations (ST1 - ST5) throughout a year. Data were presented as mean ± SD values.


Water phosphate (Figure 14) were approximately 5 times lower than those in sediment (Figure 15) with ranged from 24.72 ± 9.70 to 215.88 ± 139.23 µg/L. The phosphate in sediment ranged from 705.33 ± 155.97 to 1,391.75 ± 478.69 µg/kg. The highest phosphate in water were found in September 2023 (215.88 ± 139.23 µg/L). Conversely, lower were recorded in March, May and July 2023 (24.72 ± 9.70 to 26.96 ± 16.19 µg/L). Sediment phosphate concentrations were highest in November 2023 and January 2024 (1,381.40 ± 473.12 and 1,391.75 ± 478.69 µg/kg, respectively). In terms of aquaculture water quality by Department of Marine and Coastal Resources, water phosphate levels should be lower than 45 µg/L [23]. However, the results from this study revealed that the water phosphate over meet the standard criteria for aquaculture water quality.


Figure 14 Water phosphate (W Phosphate) among 5 stations (ST1 - ST5) throughout a year. Data were presented as mean ± SD values.

Figure 15 Sediment phosphate (S Phosphate) among 5 stations (ST1 - ST5) throughout a year. Data were presented as mean ± SD values.


Nitrate, ammonia, and phosphate from surface runoff and rapidly expanding anthropogenic activities converge in rivers and eventually discharge into estuarine areas, potentially leading to eutrophication [26-28]. The ammonia and phosphate in aquatic environments in the southeastern United States tend to peak during summer while nitrate are higher in winter [29]. However, in the current study area, elevated levels of all 3 biogens were observed during the rainy season. This pattern may reflect seasonal variation in land-use activities, which influence nutrient accumulation in aquatic environments.

Sediment nitrate was primarily concentrated within the upper 0 - 30 cm layer, where approximately 65% accumulated, while the remaining portion was released into the water as suspended particulate matter [30,31]. The accumulation of ammonia in sediments was also found to be related to nitrate levels as ammonia serves as a precursor in the nitrification which microbial activity transforms ammonia or ammonium into nitrate [26]. Moreover, sediment acidification was associated with increased ammonia accumulation in sediment [32].

The accumulation of phosphate was different between sediment and water with sediments exhibiting higher concentrations. This difference was influenced by the sediment phosphate adsorption capacity, which was affected by factors such as water temperature and salinity. According to [33], an increase in seawater temperature or a decrease in salinity enhances phosphate adsorption by sediments, resulting in higher phosphate accumulation in 14 sediments and lower concentrations in the water. Overall, it can be inferred that found the phosphate accumulation in sediment was more strongly influenced by salinity than by temperature with other conditions such as microbial community composition or hypoxia conditions [34].

Chemical oxygen demand (COD) ranged from 63.82 ± 9.29 to 287.83 ± 103.21 mg/L (Figure 16) throughout the year. The highest value of COD was in September 2023 by 287.83 ± 103.21 mg/L and significantly differences comparing among other months (p < 0.05). In contrast, the lowest COD concentrations were observed in January and March 2023 (91.60 ± 36.75 and 63.82 ± 9.29 mg/L, respectively). Water COD showed higher fluctuation than organic carbon in sediment. The COD showed high variability across both stations and months. They tended to increase during periods of elevated temperature [35] and a trend that parallels to the pattern observed in organic carbon concentrations [36].

Sediment organic carbon exhibited seasonal variation throughout the year (Figure 17) with ranged from 0.71 ± 0.27% to 1.35 ± 0.15%. Organic carbon concentrations varied between different stations by 0.86 ± 0.36% and 1.26 ± 0.28%. Higher levels of organic carbon were recorded in January, July and September 2023 (0.98 ± 0.42% to 1.35 ± 0.15%). In contrast, lower concentrations were observed in March and May 2023 and January 2024 (0.71 ± 0.27% to 0.90 ± 0.33%). Among all sampling stations, Station 1 showed the highest average organic carbon (1.26 ± 0.28%), which was significantly different from other stations (p < 0.05). This value may vary depending on the specific area. For example, in the mudflat area of Laem Pak Bia, Phetchaburi Province [37], organic matter ranged from 0.327% to 0.370%. Although this site is located near the present study area, the trend differed, with organic carbon ranging from 0.71% to 1.35% and organic matter from 1.22% to 2.32%.

In addition, circulation patterns in the Gulf of Thailand can impact the physicochemical factors. Especially, the seasonal change period (March - April) that has low seawater circulation, induced some key biogen elements to more accumulate in ecosystem. Moreover, in northeast monsoon (September - January) had circulate direction different southwest monsoon (May - August), clockwise and counterclockwise direction, respectively. These seasonal dynamics affect key biogens distribution and retention [38] as well as the biotic structure and distribution that reported by [39]. A seasonal physico-chemical change has an impact on community structure of microphytobenthos in inner Gulf of Thailand - Samut Prakan Province where is the close to this study site).

Phetchaburi possesses an extensive coastline that not only plays a significant role in an aquaculture but also tourism that have been promoted and supported for Thai government [40]. However, anthropogenic activities are major drivers of coastal geomorphological changes and ecological disturbances [41]. The distinct geographic characteristics of this region highlight the necessity for further studies in adjacent coastal areas of the Gulf of Thailand to better understand environmental dynamics. Previous research has demonstrated that biotic structure and species diversity are highly sensitive to biogenic inputs and pollution, making certain sites particularly vulnerable [37,42]. In this context, implementing long-term monitoring programs is essential for tracking changes in physicochemical and biotic parameters in sensitive areas. The present study revealed that temporal variation is strongly influenced by seasonal patterns, which are further intensified by current climate change scenarios, whereas spatial variation was not detected in the seawater flow from offshore areas to culture ponds at Laem Phak Bia. These findings provide critical insights for developing coastal management strategies, improving aquaculture practices, and informing policy frameworks that address climate change and ensure the sustainable use of commercial coastlines. Without effective management, ongoing coastal activities are likely to exacerbate environmental degradation and contribute to the accumulation of pollutants in the future.



Figure 16 Water chemical oxygen demand (W COD) among 5 stations (ST1 - ST5) throughout a year. Data were presented as mean ± SD values.


Figure 17 Organic carbon (S OC) among 5 stations (ST1 - ST5) throughout a year. Data were presented as mean ± SD values.


Conclusions

Physicochemical factors across the 5 stations - from the seashore to the aquaculture area - were primarily influenced by seasonal variation. Sediment samples exhibited higher accumulation of biogenic compounds, including nitrate, ammonia, phosphate, and organic carbon, compared to seawater. The findings of this study also indicate that all coastal stations are affected by environmental stressors, suggesting a broader impact on the ecosystem. Given the ongoing progression of global warming and climate change, it is likely that environmental conditions in coastal aquaculture ponds will continue to deteriorate. Therefore, Thailand must implement adaptive strategies to ensure food security in the near future.


Acknowledgements

This research was partly supported by the Thailand Research Fund (MRG6080095) and Kasetsart University Research and Development Institute, Thailand (KURDI grant number FF65(KU)15.65). Authors sincerely thank anonymous reviewers for their insightful feedback and constructive suggestions, which have greatly improved the clarity of this research.


Declaration of generative AI in scientific writing

Generative AI tools were used in some parts to improve the language of a final manuscript in English version.


CRediT author statement

Sirinya Sirimahawan: Writing- original draft, field collecting, Laboratory, Investigation, software analysis. Bongkot Wichachucherd: Conceptualization, Field collecting, Data curation, Supervision, Validation, Writing- final manuscript, Review and Editing of the Revision, Funding acquisition.


References

[1] J Zhang, PY Tishchenko, ZJ Jiang, PY Semkin, PP Tishchenko, W Zheng, VB Lobanov, AF Sergeev and S Jiang. Diverse nature of the seasonally coastal eutrophication dominated by oceanic nutrients: An eco-system based analysis characterized by salmon migration and aquaculture. Marine Pollution Bulletin 2023; 193, 115150.

[2] B Timur. Spatio-temporal variations of climate variables and extreme indices over the aral sea basin during 1960 - 2017. Trends in Sciences 2023; 20(12), 5664.

[3] A Limsakul and P Singhruck. Long-term trends and variability of total and extreme precipitation in Thailand. Atmospheric Research 2015; 169, 301-317.

[4] B Wichachucherd, S Sirimahawan, P Duanghwang and E Rodcharoen. Year-round occurrence of crustacean holoplankton in Mae Klong River Mouth as indicators of natural food availability in the Gulf of Thailand. ScienceAsia 2025; 51(3), 1.

[5] S Sarker, M Akter, MS Rahman, MM Islam, O Hasan, MA Kabir and MM Rahman. Spatial prediction of seaweed habitat for mariculture in the coastal area of Bangladesh using a Generalized Additive Model. Algal Research 2021; 60, 102490.

[6] L Xu, Y Yang, Z Cui and Q Wang. Carbon dynamics in seawater and sediment: A case study of shellfish and seaweed mariculture systems. Marine Environmental Research 2025; 204, 106897.

[7] J Luo, N Wang, Y Zhu, Z Wu, Z Ye, G Christakos and J Wu. Seasonal effects of fish, seaweed and abalone cultures on dissolved organic matter and carbon sequestration potential in Sansha Bay, China. Science of the Total Environment 2024; 945, 174144.

[8] H Liu, Y Fan, E Su, S Liu, Y Ming, Z Huang, H Yu, F Liu, C Wang, X Yu, M Niu, K Wu, Y Yang, Z He, T Zhang and Q Yan. Mariculture increases microbially-driven carbon metabolism and sequestration in coastal ecosystems. Journal of Environmental Management 2025; 386, 125756.

[9] Y Xiong, L Gao, L Qu, J Xu, Z Ma and G Gao. The contribution of fish and seaweed mariculture to the coastal fluxes of biogenic elements in 2 important aquaculture areas, China. Science of the Total Environment 2023; 856, 159056.

[10] JF de Oliveira-Júnior, D Mendes, HD Porto, KRA Cardoso, JAF Neto, EBC da Silva, M de Aquino Pereira, MCD Mendes, BBD Baracho and P Jamjareegulgarn. Analysis of drought and extreme precipitation events in Thailand: Trends, climate modeling, and implications for climate change adaptation. Scientific Reports 2025; 15(1), 4501.

[11] The Nation. Department of Fisheries accelerates seaweed production, positioning it as “food of the future, Available at: https://www.nationthailand.com/life/food/40048582, accessed April 2025.

[12] B Wichachucherd, K Sagulsawasdipan and E Rodcharoen. Changing of chlorophyll contents in Caulerpa lentillifera after 5-day harvest. ASEAN Journal of Scientific and Technological Reports 2023; 26(4), 7.

[13] Smart Water Operation. Rainfall data for Ban Laem District, Phetchaburi Province (in Thai), Available at: https://swocrf.rid.go.th, accessed January 2025.

[14] AOAC International. Official method of analysis. 16th ed. AOAC International, Washington, D. C., United States, 2002

[15] American Public Health Association. Standard methods for the examination of water and wastewater. American Water Works Association and Water Environmental Federation, Washington, D. C., United States, 1998.

[16] Climate Data, Available at: https://diva-gis.org/data.html, accessed June 2025.

[17] Natural Earth. 1:10 m physical vectors, Available at: www.naturalearthdata.com, accessed June 2025.

[18] T Na-U-Dom, A Buranapratheprat and S Tong-U-Dom. The spatial and temporal variations and trends of sea surface temperature in the Gulf of Thailand from satellite imageries (in Thai). 2020; 19(1), 110-123.

[19] L Yu, F Bingham, T Lee, E Dinnat, S Fournier, O Melnichenko, W Tang and S Yueh. Revisiting the global patterns of seasonal cycle in sea surface salinity. Journal of Geophysical Research: Oceans 2021; 126(4), e2020JC016789.

[20] D Yi, O Melnichenko, P Hacker and J Potemra. Remote sensing of sea surface salinity variability in the South China Sea. Journal of Geophysical Research: Oceans 2020; 125(12), e2020JC016827.

[21] TG Thompson and RU Bonnar. The buffer capacity of sea water. Industrial & Engineering Chemistry Analytical Edition 1931; 3(4), 393-395.

[22] U Krummea, LS Herbeck and T Wang. Tide- and rainfall-induced variations of physical and chemical parameters in a mangrove-depleted estuary of East Hainan (South China Sea). Marine Environmental Research 2012; 82, 28-39.

[23] Marine Tourism Warning System. Seawater quality standards (in Thai), Available at: https://warning.dmcr.go.th/, accessed December 2024.

[24] Z Xun, Z Hua, Z Liang, S Ye, Y Xia, L Rui and Z Li. Some factors affecting TDS and pH values in groundwater of the Beihai coastal area in southern Guangxi, China. Environmental Geology 2007; 53(2), 317-323.

[25] K Yang, M Peng, Y Liu, S Zhang, S Weng, C Zhong, S Liu and H Chen. Identifying key drivers of short-term abnormally low dissolved oxygen concentrations at a trans-provincial reservoir in the Dongjiang Headwater Watershed, China. Journal of Hydrology: Regional Studies 2025; 58, 102202.

[26] M Hou, J Xiong, K Wang, X Ye, R Ye, Q Wang, C Hu and D Zhang. Communities of sediment ammonia-oxidizing bacteria along a coastal pollution gradient in the East China Sea. Marine Pollution Bulletin 2014; 86(1), 147-153.

[27] Y Li, D Cheng, NA Adam, S Mirzalevens and G Zhang. Exploring the nexus between coastal tourism growth and eutrophication: Challenges for environmental management. Marine Pollution Bulletin 2025; 216, 117922.

[28] Y Suteja and AIS Purwiyanto. Nitrate and phosphate from rivers as mitigation of eutrophication in Benoa bay, Bali-Indonesia. IOP Conference Series: Earth and Environmental Science 2018; 162, 012021.

[29] D Tufford, C Samarghitan, N Hank, D Porter and J Hussey. Impact of urbanization on nutrient concentrations in small southeastern coastal streams. JAWRA Journal of the American Water Resources Association 2003; 39(2), 301-312.

[30] MZ Iqbal and CL Fields. Mapping of accumulated nitrogen in the sediment pore water of a eutrophic lake in Iowa, USA. Environmental Geology 2009; 57(2), 465-475.

[31] Z Ning, R Xia, B Yang, C Fang, W Jiang and G Song. Sedimentary nitrogen dynamics in a coastal reef area with relatively high nitrogen concentration. Acta Oceanologica Sinica 2023; 42(4), 33-40.

[32] KJA Vendel, RJ Wichink Kruit, M Blom, P van den Bulk, B van Egmond, A Frumau, S Rutledge-Jonker, A Hensen and MC van Zanten. Dry deposition of ammonia in a coastal dune area: Measurements and modeling. Atmospheric Environment 2023; 298, 119596.

[33] JZ Zhang and X Huang. Effect of temperature and salinity on phosphate sorption on marine sediments. Environmental Science & Technology 2011; 45(16), 6831-6837.

[34] B Sundby, C Gobeil, N Silverberg and A Mucci. The phosphorus cycle in marine sediments. Limnology and Oceanography1992; 37(6), 1129-1145.

[35] Y Hayami and N Fujii. Decadal-scale variation in COD and DIN dynamics during the summer in the inner area of the Ariake Sea, Japan. Journal of Oceanography 2018; 74(6), 551-563.

[36] D Dubber and N Gray. Replacement of chemical oxygen demand (COD) with total organic carbon (TOC) for monitoring wastewater treatment performance to minimize disposal of toxic analytical waste. Journal of Environmental Science and Health Part A 2010; 45(12), 1595-600.

[37] S Kerdmolee, N Damphin, A Piwnil and S Huntayung. Population and distribution of hard clams (Meretrix spp.) in the mudflat area front of the king’s royally initiated laem phak bia environmental research and development project, Phetchaburi Province, Thailand. EnvironmentAsia 2025; 18, 30-42.

[38] P Lorpittayakorn. Circulation patterns in the Gulf of Thailand from model (in Thai). Science and Technology Journal 2015; 23(3), 20.

[39] C Chindanonda, S Saramul, P Bhattarakosol and A Piumsomboon. Seasonal physico-chemical impacts on community structure of microphytobenthos in a mudflat inside vs outside a breakwater system in the inner Gulf of Thailand. Tropical Natural History 2019; 19(2), 51-69.

[40] O Sarajit, K Nakhapakorn, S Jirakajohnkool, K Tienwong and A Pansuwan. EnvironmentAsia 2015; 8(1), 115-123.

[41] T Tochamnanvita and W Muttitanon. Investigation of coastline changes in 3 provinces of Thailand using remote sensing. International Archives of the Photogrammetry, Remote Sensing and Spatial Information Sciences 2014; 40, 1079-1083.

[42] T Lee, JH Moon, SK Jung, G Park, S Kwon, SH Min and YB Son. Changes in the nutrient budget due to physiochemical factors in the coastal area of Jeju, Korea. Journal of Coastal Research 2020; 95(SI), 57-74.