Start Bootstrap Logo

Trends Sci. 2025; 22(5): 9551

Modulation of Gut Microbiota in Rats by Hydrolyzed-Glucomannan from Amorphophallus oncophyllus


Rani Satiti1, Tyas Utami1, Jaka Widada2 and Eni Harmayani1,*


1Department of Food and Agricultural Product Technology, Faculty of Agricultural Technology,

Universitas Gadjah Mada, Yogyakarta 55281, Indonesia

2Department of Microbiology, Faculty of Agriculture, Universitas Gadjah Mada, Yogyakarta 55281, Indonesia


(*Corresponding author’s e-mail: [email protected])


Received: 18 December 2024, Revised: 13 January 2025, Accepted: 20 January 2025, Published: 15 March 2024


Abstract

Gut microbiota plays a crucial role in maintaining host health, with dietary fibers being key modulators. This study evaluates the effects of porang glucomannan hydrolysate (PH), a novel prebiotic, on gut microbiota and short-chain fatty acid (SCFA) production in rats. For 21 days, rats were fed diets containing cellulose (CF), a fiber-free diet (NF), porang glucomannan (PG), PH, or inulin (IN). Gut microbiota composition was assessed using Ribosomal Intergenic Spacer Analysis (RISA) and 16S rRNA sequencing, while SCFA levels were measured via gas chromatography. The findings revealed differences in gut microbiota composition at the phylum level: the CF, NF, and PG groups were predominantly composed of Bacteroidota, Firmicutes, and Proteobacteria, whereas the PH and IN groups were mainly dominated by Firmicutes, Bacteroidota, and Actinobacteriota. Notably, at the genus level, SCFA-producing bacterial groups, such as Lactobacillus, Allobaculum, Bifidobacterium, and Blautia, were identified only in the PH and IN groups. This was further corroborated by the higher SCFA concentrations found in the PH and IN groups compared to the other treatment groups. These findings suggest that the inclusion of PH in rats’ diets positively affects the modulation of gut microbiota and increases SCFA concentrations in the cecum, showing effects similar to those of inulin, a commercial prebiotic. Consequently, PH holds the potential as a functional food that supports gastrointestinal health.


Keywords: Porang glucomannan hydrolysate, Ribosomal Intergenic Spacer Analysis (RISA), 16S rRNA sequencing, Gut microbiota modulation, Prebiotic, Short-chain fatty acid


Introduction

The gastrointestinal (GI) tract comprises diverse microorganisms, including bacteria, eukaryotes, and archaea, collectively called the gut microbiota [1]. This microbiota can produce signaling molecules that significantly maintain and support the host’s immune, metabolic, neurological, and digestive systems [2]. However, an imbalance in this microbial community, known as dysbiosis, can disrupt these essential processes [1,3]. Dysbiosis is commonly associated with several metabolic disorders, including obesity, type 2 diabetes mellitus (T2DM), and cardiovascular disease (CVD) [4].

Research has increasingly focused on the various factors that can modify the composition and function of the gut microbiota, with diet being recognized as one of the most significant modifiers [5]. Indigestible polysaccharides, commonly referred to as dietary fiber, serve as beneficial substrates for gut microbiota in the large intestine. The microbiota metabolizes these fibers into short-chain fatty acids (SCFA), which have been shown to support gut health [6,7]. Low molecular weight dietary fibers, such as inulin and oligosaccharides, selectively promote beneficial bacteria’s growth and/or activity in the large intestine, particularly lactobacilli and bifidobacteria. These fibers are classified as prebiotics due to their positive effects on host health [8].

A prebiotic fiber that has recently attracted considerable attention is glucomannan. Research suggests that konjac glucomannan (KG) degradation products with lower molecular weight demonstrate enhanced biological functions [9]. Our prior studies revealed that porang glucomannan hydrolysate (PH) promotes the growth of lactobacilli and bifidobacteria more effectively than native porang glucomannan (PG), as indicated by a significant increase in prebiotic activity scores [10]. Furthermore, PH has been found to exhibit bifidogenic, butyrogenic, and fermentation properties [11]. However, it is crucial to recognize that these evaluations were conducted in vitro.

While in vitro analysis for prebiotic potency is simpler, it does not provide insight into the physiological interactions that occur in vivo. Therefore, to confirm the beneficial effects of prebiotics identified through in vitro approaches, further research focusing on in vivo studies with experimental animals or human volunteers is essential [12]. Animal models are widely used to study the composition of the gut microbiota and its metabolic responses to prebiotics and various food ingredients [13].

Recent studies on dietary fibers have highlighted their role in gut health, yet research on hydrolyzed-glucomannan from Amorphophallus oncophyllus remains limited. This study aims to address this gap by investigating the effects of PH on gut microbiota composition and SCFA production in a rat model, using native PG and inulin as comparators.


Materials and methods

Preparation of hydrolyzed-glucomannan

PG was enzymatically hydrolyzed using β-mannanase (Mianyang Habio Bioengineering Co. Ltd.), a specific enzyme known to reduce molecular weight and enhance prebiotic activity, as per the method outlined in a previous study [10]. Specifically, an E/S ratio of 0.8 % (w/w) β-mannanase was added to a solution containing 2 grams of PG in 200 mL of phosphate-citrate buffer (pH 6.81). The mixture was incubated at 37.6 C in a water bath for 3 h. To halt the hydrolysis, the mixture was subsequently boiled for 15 min. The resulting sample was vacuum filtered, and the filtrate was dried using a spray dryer, resulting in PH powder.


Experimental design

This study was approved by the Medical and Health Research Ethics Committee (MHREC) at Universitas Gadjah Mada (approval letter KE/FK/0697/EC/2022). It involved 30 male Sprague-Dawley rats, approximately 8 weeks old and weighing around 200 g. The rats were first adapted for one week on an AIN-93M diet (American Institute of Nutrition) [14] with unlimited access to water, housed individually under a 12-hour light/dark cycle at temperatures ranging from 20 to 25 C and humidity levels of 50 to 60 % [15].

Following the adaptation period, the rats were assigned to 5 groups (n = 6/group) based on their fiber composition. The groups comprised a positive control group (CF), a negative control group (NF), a PG group, a PH group, and an IN group. The CF group was administered the AIN-93M diet, while the NF group received a fiber-free version of the same diet, which contained no added cellulose. The PG, PH, and IN groups were provided with a modified AIN-93M diet, substituting cellulose with equal amounts of PG, PH, and commercial inulin (Beneo Orafti, Belgium). To maintain consistency across all groups, the corn starch content in the NF group’s fiber-free diet was increased in proportion to the amount of fiber added to the other groups.

The treatment lasted for 21 days, during which the remaining diet was weighed, and visual observation of feces was noted daily. Body weights were measured every 3 days. At the end of the study, the rats were euthanized, and cecal contents and fecal samples from the colon were collected for analysis. The cecal contents were preserved for short-chain fatty acid (SCFA) analysis, while the fecal samples were analyzed for gut microbiota composition.


Isolation of the DNA

Isolation of the DNA was conducted using the FavorPrep Stool DNA Isolation Mini Kit (Favorgen, Taiwan). The quality of the isolated DNA was assessed qualitatively through electrophoresis (Biorad, USA) on a 1 % agarose gel (Invitrogen, USA). For quantitative analysis, the DNA concentration was measured using a TECAN Spark 20 M spectrophotometer (Tecan Group Ltd., Switzerland). Out of 30 rats, 3 were found to have no feces in their colon, two from the CF group and one from the NF group. When analyzing the fecal samples with the agarose gel, we observed DNA bands in every sample except for one from the CF group. Consequently, a total of 26 fecal DNA samples from rats were stored at −20 C for further analysis.


Ribosomal intergenic spacer analysis (RISA)

The isolated DNA was amplified using Polymerase Chain Reaction (PCR) (DLAB TC1000-G). For RISA, intergenic spacer primers were employed: S926F (5’-AAA KGA ATT GAC GG-3’) and L189R (5’-TAC TGA GAT GYT TMA RTT-3’) [16]. The sample was prepared by mixing 9.5-µL ddH2O (Otsu), 12.5-µL PCR mix (Bioline (MyTaq HS Red Mix)), 1 µL of each forward and reverse primer, and 1-µL DNA template. The PCR was performed under the following conditions: An initial denaturation at 95 C for 2 min, followed by denaturation at 94 C for 30 s, annealing at 49 C for 30 s, elongation at 72 C for 2 min, and a final elongation at 72 C for 5 min. This procedure was executed for a total of 30 cycles. The amplified DNA was visualized through electrophoresis on a 3 % (w/v) agarose gel, utilizing a 1 kb DNA ladder marker (Smobio) and red gel dye (Biotium). The electrophoresis results were analyzed to assess microbial community similarities, represented in a dendrogram constructed using NTSYSPc software version 2.2 [17].


16S rRNA sequencing

A representative sample from each group was selected based on the dendrogram obtained from RISA for 16S rRNA sequencing. Prior to sequencing, the DNA from each sample underwent qualification and purification. All PCR reactions were performed using 15 µL of Phusion® High-Fidelity PCR Master Mix (New England Biolabs). The resulting PCR amplicons were combined with loading buffer (containing SYBR Green) in equal volumes and subjected to 2 % agarose gel electrophoresis for detection. Amplicons measuring between 400 and 450 bp were subsequently purified using the Universal DNA Purification Kit (TianGen, China).

16S rRNA sequencing and data processing were conducted by NovogeneAIT (Singapore), targeting the variable regions V3 to V4. The forward primer used was 341F: CCTAYGGGRBGCASCAG, and the reverse primer was 806R: GGACTACNNGGGTATCTAAT. Sequencing libraries were prepared using a DNA PCR-free Library Prep Kit (New England Biolabs, USA) and quantified using standard Qubit and real-time PCR protocols. Paired-end sequencing of 250 base pairs was performed on the Illumina HiSeq 2500 platform to achieve high-resolution microbial community profiling.


Bioinformatics analysis

The raw sequence pairs were merged using FLASH (version 1.2.7) [18] and subsequently subjected to quality filtering with QIIME (version 1.7.0), resulting in high-quality clean tags [19]. These tags were then compared against the reference database (SILVA138) using the UCHIME algorithm [20] to remove chimeric sequences [21], leading to the generation of Effective Tags. Sequence analysis was conducted with Uparse software (version 7.0.1090) [22], where sequences with 97 % or higher similarity were grouped into the same Operational Taxonomic Units (OTUs). Representative sequences from each OTU were classified using the Mothur method in QIIME (version 1.7.0) [23] against the SSUrRNA database of the SILVA138 database [24] at each taxonomic rank (threshold: 0.8 - 1) [25]. The phylogenetic relationships among all representative OTU sequences were determined using MUSCLE (version 3.8.31) [26]. OTU abundance was normalized based on the sample with the fewest sequences. Alpha diversity metrics (Chao1 and Shannon) were calculated to assess biodiversity complexity among the samples, and beta diversity analysis was performed to examine species complexity differences across samples, all conducted with QIIME (version 1.7.0).


Measurement of pH and SCFA in cecal content

The pH and short-chain fatty acids (SCFA) in cecal contents were analyzed using a method from Harmayani et al. [27] with slight modifications. A pH meter (Thermo Scientific, USA) was employed to measure the pH after diluting the cecal contents with distilled water at a 1:10 ratio. Readings were recorded once the pH stabilized. For SCFA analysis, the cecal contents were centrifuged at 11,000 rpm for 15 min. The supernatant was then collected and injected into a gas chromatography (Shimadzu GC-2010 Plus) equipped with a Flame Ionization Detector (FID) and a BP21 capillary column (25 m×0.53 mm×0.5 µm).


Statistical analysis

Experimental data were reported as mean ± standard deviation (SD). Statistical differences between groups were evaluated using one-way analysis of variance (ANOVA). When ANOVA revealed significant differences (p < 0.05), post-hoc comparisons were conducted using Duncan’s multiple range test to pinpoint which specific groups differed. All analyses utilized IBM SPSS Statistics software (Version 26, IBM Corp., Armonk, NY). Results were considered statistically significant if the p-value was less than 0.05.



Results and discussion

Average feed intake and body weight gain of rats

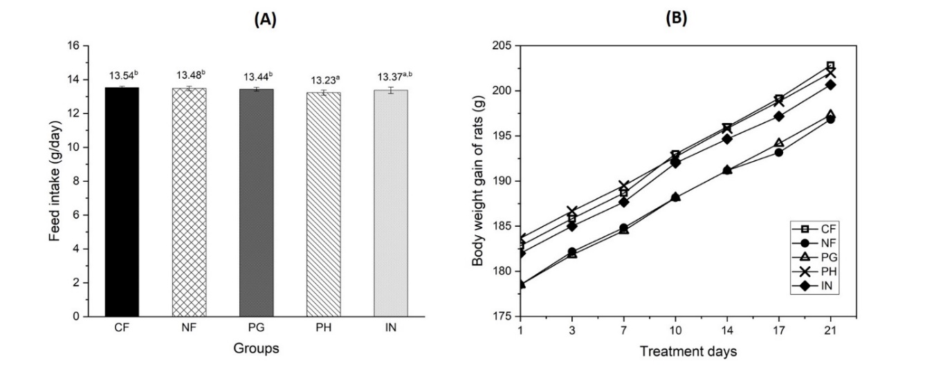
The average feed intake and weight gain of rats were monitored over a 21-day period. The group that received porang glucomannan hydrolysate (PH) as a fiber source exhibited the lowest average feed intake, which was significantly different (p < 0.05) from the control groups receiving standard diet (CF), fiber-free diet (NF), and porang glucomannan (PG) as a fiber source. However, the feed intake in the PH group was not significantly different (p > 0.05) from that of the group given inulin (IN) as a fiber source (Figure 1(A)).


Figure 1 (A) Daily average feed intake and (B) body weight gain of rats over 21 days of treatment from each group. Bars labeled with different lowercase letters indicate significantly different results (p < 0.05) among the groups.


No significant differences in body weight gain were observed among the groups, including the PH group (Figure 1(B)), suggesting that PH supplementation does not adversely affect weight regulation despite reduced feed intake. These results align with previous studies that reported that hydrolyzed-glucomannan can stabilize feed intake without significantly altering weight gain in rats [9]. The lack of significant differences in body weight gain may indicate that PH supplementation helps stabilize weight gain by reducing the tendency for increased feed consumption in rats [28].


Characteristics of cecal content

The weight and water content of the cecal contents in rats across all groups were detailed in Table 1. The cecal content weight did not differ significantly (p > 0.05) among the control and treatment groups, indicating that dietary fiber type did not influence overall cecal bulk. However, the water content in the CF and IN groups was significantly higher than in the other groups. Notably, the water content in the PH group exceeded that of the PG group, while the NF group exhibited the lowest water content.

Throughout the study, visual observations of rat feces revealed that those from the NF group appeared drier compared to the other groups (data not shown). These results align with Yeh et al. [29], who reported that a fiber-free diet leads to lower fecal water content, emphasizing the role of dietary fiber in maintaining fecal hydration and intestinal motility. Furthermore, Yin et al. [9] demonstrated that the intake of konjac glucomannan (KG) polysaccharides and their hydrolysates can promote intestinal peristalsis and facilitate defecation in rats, as indicated by an increase in fecal water content.


Table 1 Characteristics of the cecal content in each group after 21 days of treatment.

Groups

Weight (g)

Water content (%)

CF

1.53 ± 0.72a

63.69 ± 1.86d

NF

1.26 ± 0.16a

36.17 ± 2.29a

PG

2.14 ± 0.96a

45.56 ± 2.50b

PH

1.96 ± 0.49a

56.43 ± 0.64c

IN

1.71 ± 0.48a

62.39 ± 1.44d

Values are expressed as mean ± SD. Different superscripts in the same column indicate significant differences (p < 0.05) using one-way ANOVA and Duncan’s multiple comparison test.


Ribosomal intergenic spacer analysis (RISA)

RISA has been employed in the analysis of microbial communities by qualitatively comparing the banding patterns produced from PCR-RISA amplicon size separation [16]. The amplification results obtained through PCR-RISA yielded distinct DNA banding patterns, which were visualized using gel electrophoresis, as illustrated in Figure 2(A). Each specific DNA banding pattern serves as a genetic blueprint for different types of microbes, effectively mapping the community profile where each unique DNA band represents a particular microbial population within the sample [17]. The DNA banding pattern of the PH group closely resembled that of the IN group, suggesting that PH promotes a gut microbial profile similar to inulin, a recognized prebiotic, while distinctly differing from the CF, NF, and PG groups.

Additionally, each visible DNA band was further analyzed to assess the similarities among bacterial communities across all groups, as depicted in the dendrogram in Figure 2(B). The dendrogram reveals 2 distinct clusters. The 1st cluster primarily comprises the CF, NF and PG groups, which exhibit a similarity coefficient of approximately 0.7. This indicates that the microbial communities within these groups share about 70 % similarity. The 2nd cluster mainly consists of the PH and IN groups, which also display a similarity coefficient of around 0.7, suggesting that the microbial communities in these groups are similarly aligned at approximately 70 %. It is important to note that the PG and PH groups are positioned in separate clusters. This separation implies that the hydrolysis process can lead to significant changes in microbial composition. Specifically, the microbiota composition in the PH group becomes more akin to that of the IN group, distinguishing it from the PG group.


Figure 2 (A) The visualization of intergenic spacer region amplicons (16s rRNA - 23s rRNA) using Ribosomal Intergenic Spacer Analysis (RISA). Agarose gel concentration 3 %, 100 volts for 2 h at 20 C. (B) Dendrogram based on the pattern of DNA bands from PCR-RISA.


Upon examining each group individually, it was observed that within the CF group, samples CF-1 and CF-2 exhibited a very high similarity of approximately 91 %, whereas CF-3 demonstrated a slightly lower similarity at about 80 %. In the NF group, samples NF-2 and NF-3 displayed the highest degree of similarity at 100 %. Similarly, in the PG, PH, and IN groups, 3 samples from each group recorded a 100 % similarity: PG-3, PG-4, and PG-5 in the PG group; PH-1, PH-3, and PH-4 in the PH group; and IN-2, IN-3, and IN-4 in the IN group. For further analysis, specifically 16S rRNA sequencing, one sample with the highest similarity value that also passed DNA quality control was selected from each group. The samples chosen were CF-2, NF-2, PG-4, PH-4, and IN-4.


Diversity analysis of the gut microbial community in rats

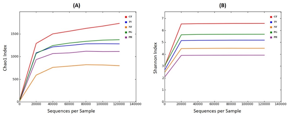
In this study, the microbial alpha diversity indices for each group were assessed using the Chao1 index and the Shannon index (Figure 3). The Chao1 index measures the richness of microbial species, while the Shannon index evaluates overall diversity [30]. The CF group exhibited the highest Chao1 index, indicative of the greatest microbial richness, followed by the PG, IN, and PH groups. Conversely, the NF group had the lowest Chao1 index, reflecting reduced microbial richness due to the absence of dietary fiber (Figure 3(A)).


Figure 3 Alpha diversity indices of microbiota for each group, including (A) the Chao index and (B) the Shannon index.


The lack of dietary fiber also adversely affected microbial diversity, as the NF group presented a low Shannon index (Figure 3(B)). Interestingly, the PH group also showed a low Shannon index, which suggests that the administration of PH as a fiber source had minimal impact on microbial diversity. Similar results have been reported in previous studies, which found that the hydrolysate product from the enzymatic hydrolysis of KG displayed a lower Shannon index value than its native counterpart [31,32].

Dietary fibers can be classified based on their specificity to gut microorganisms. Highly specialized fibers possess unique chemical and physical properties that allow only a limited range of gut bacteria to utilize them effectively, thereby reducing competition for these substrates [33]. PH has an oligomeric structure and a lower molecular weight compared to PG [10], leading to its rapid metabolism by certain bacterial populations. This process fosters the growth of those bacteria while concurrently causing a proportional decline in other bacterial populations due to competitive inhibition. As a result, the Shannon index value was lower in the PH group than in the other groups.

Beta diversity was evaluated through Weighted UniFrac Principal Coordinate Analysis (PCoA), which was based on the abundance of operational taxonomic units (OTUs). This analysis provided insights into the degree of similarity between microbial communities across various treatment groups [34]. The results are presented in Figure 4.



Figure 4 Weighted UniFrac Principal coordinate analysis (PCoA) plot based on OTU abundance for each group.


The PCoA identified 4 distinct clusters: the CF, NF, and PG groups were positioned in the upper left, upper right, and lower left quadrants, respectively, while the PH and IN groups formed a cluster in the lower right quadrant. These findings suggest that varying dietary fiber types elicited different variations in microbial composition among the rats. Notably, the PH and inulin treatments exhibited similarities in their microbiota structures, as indicated by their close proximity in the clustered coordinates [31]. This similarity was also reflected in the dendrogram analysis from PCR-RISA, which demonstrated that the PH and IN groups were in the same cluster (Figure 2(B)).


The composition and structure of the gut microbiota in rats

The composition of gut microbiota across all groups is illustrated in terms of taxonomy, particularly highlighting the top 10 relative abundances, as shown in Figure 5. At the phylum level (Figure 5(A)), all groups were primarily composed of Firmicutes (0.1502 - 0.6858) and Bacteroidota (0.1811 - 0.5622). This aligns with previous studies indicating that Bacteroidota and Firmicutes are the 2 most dominant bacterial phylum in the intestines of both rats and humans [35,36].



Figure 5 Top 10 relative abundances of gut microbiota composition for each group at (A) Phylum level and (B) Genus level.


The composition of gut microbiota at the phylum level in the PH group closely mirrored that of the IN group. However, compared to the control and PG groups, the PH group exhibited a significantly higher abundance of Firmicutes, with a notably lower abundance of Bacteroidota. Additionally, the PH group showed a considerable reduction in Proteobacteria (0.0259) compared to the PG group (0.2745), while the abundance of Actinobacteriota was greater in the PH group (0.0876) than in the PG group (0.0298).

These results differ from those reported by Li et al. [32], where the administration of konjac glucomannan hydrolysate (KH) led to a decrease in Firmicutes and an increase in Bacteroidota compared to native KG. Despite this contrast, KH also increased the relative abundance of Actinobacteriota and decreased Proteobacteria, similar to the findings in this study. This suggests that different sources of glucomannan hydrolysates may induce varied effects on gut microbiota composition, potentially influenced by factors such as source, molecular structure, or the gut’s specific microbial environment.

Many probiotics, such as butyrate-producing bacteria and Lactobacillus, belong to the Firmicutes phylum [32]. Numerous studies have suggested a relationship between high levels of Firmicutes and low levels of Bacteroidota with the prevalence of obesity [35,37]. However, this association is still a topic of debate, as subsequent research has presented conflicting findings [32]. Proteobacteria are frequently associated with pathogenic bacteria and can disrupt the balance of gut microbiota, leading to inflammation [38,39]. Conversely, Actinobacteriota, which include Gram-positive bacteria such as Bifidobacterium, are regarded as common probiotics [32]. They also play a beneficial role in regulating diarrhea [40]. Thus, lower levels of Proteobacteria and higher levels of Actinobacteriota are generally considered more desirable.

The gut microbiota compositions exhibited greater diversity among the groups at the genus level, particularly in the CF, NF, and PG groups (Figure 5(B)). In contrast, the PH and IN groups demonstrated similar gut microbiota profiles. These results corroborate the findings from the PCoA conducted during the beta diversity analysis mentioned earlier (Figure 4). In the CF group, the Rikenellaceae_RC9_ gut_group and Muribaculaceae were the most abundant genera (0.1258 and 0.1256, respectively). The NF group was predominantly characterized by Lactobacillus, which comprised 0.3640 of its composition, followed by Bacteroides at 0.1125. Meanwhile, in the PG group, Succinivibrio and Alloprevotella were the most prevalent, with abundances of 0.2011 and 0.1440, respectively. The PH and IN groups demonstrated the highest relative abundances of Lactobacillus (0.5328 and 0.3824, respectively) and Prevotella (0.1235 and 0.1791, respectively), genera known for their roles in balancing gut microbiota, SCFA production, and anti-inflammatory effects [31,41]. Both groups also contained Bifidobacterium, with abundances of 0.0721 and 0.0575, which were not observed in the other groups.

A detailed composition of the gut microbiota at the genus level, focusing on the top 35 relative abundances along with their associated phylum, is presented in Figure 6. In the PH and IN groups, SCFA-producing bacterial groups, including Lactobacillus, Allobaculum, Bifidobacterium, Blautia, and Prevotella, were identified. These bacterial groups were either absent or present in smaller amounts in the control and PG groups. These findings suggest that, although PH was less effective at enhancing microbial diversity, as indicated by the low Shannon index in Figure 3(B), it did promote a beneficial shift in microbial composition by increasing the abundance of SCFA-producing bacteria, similar to the effects observed with inulin.


Figure 6 Heatmap of the top 35 relative abundance at the genus level of each group.


The relative abundance of SCFA-producing bacteria in each group, along with their role in gut health, is illustrated in Figure 7. Lactobacillus had the highest abundance in the PH group, even surpassing that in the IN group. Similarly, the PH group exhibited the highest abundance of Bifidobacterium compared to the IN group, while it was almost undetectable in the control and PG groups. The abundance of Prevotella in the PH group increased in comparison to the PG group, although it remained lower than that in the IN group. Allobaculum also showed increased abundance in the PH group compared to the PG group, but it was still lower than in the IN group. Additionally, the abundance of Blautia in the PH group was higher than in the control and PG groups, nearly equivalent to that in the IN group.

Lactobacillus serves as a significant producer of lactate, and studies have demonstrated that gut microbiota can convert lactate into propionate [32]. Bifidobacterium primarily generates acetate as the main SCFA during fermentation [42]. Furthermore, Prevotella can produce 2 to 3 times more propionate compared to the levels dominated by Bacteroides [43]. Both Allobaculum and Blautia are recognized as butyric acid producers [44,45]. Research has shown that Allobaculum has a negative correlation with inflammation, insulin resistance, and obesity in mice [44]. Additionally, Blautia plays a crucial role in breaking down complex molecules into simpler forms, which is essential for the growth of gut microbiota and the host [46].


Figure 7 Relative abundance of SCFA-producing bacteria in each group with their role in gut health [32,42-44].


SCFA concentration and pH level of cecal content

The concentrations of SCFA and pH levels in the cecal contents across all groups are shown in Table 2. The PG group, which received porang glucomannan as a fiber source, exhibited SCFA concentrations similar to those in the fiber-free diet (NF) group, suggesting that native porang glucomannan may have limited fermentability and SCFA production. In contrast, the PH group demonstrated significantly higher (p < 0.05) levels of total SCFA, acetic acid, propionic acid, and butyric acid compared to the PG group and was comparable to the IN group.

These findings differ from previous studies that indicated that native konjac glucomannan (KG) increases total SCFA in the cecum of rats and generates more SCFA than its hydrolysate counterpart [9,31]. This difference may be attributed to the gut microbiota composition in the PH group in this study, which was dominated by SCFA-producing bacteria such as Lactobacillus, Allobaculum, Bifidobacterium, and Blautia, which were absent in the PG group (Figure 7). Intestinal flora, such as Bifidobacterium and Lactobacillus, are rich in glycoside hydrolases that facilitate the degradation of dietary fiber into SCFA [47].

Numerous studies have demonstrated a direct correlation between SCFA concentrations and gut health. Elevated SCFA production is linked to a more beneficial gut microbiota profile, diminished inflammation, and enhanced gut barrier function. In contrast, low SCFA levels, commonly observed in individuals with gut dysbiosis, are associated with various gastrointestinal disorders, including inflammatory bowel disease (IBD), colorectal cancer, cardiovascular diseases (CVD), and metabolic diseases [42,48].

Table 2 Concentration of SCFA and pH levels of cecal contents for each group.

SCFA (mmol/g cecal content)


CF

NF

PG

PH

IN

Total SCFA

49.15 ± 2.52d

32.54 ± 1.42b

28.87 ± 0.81a

45.21 ± 2.30c

46.80 ± 3.61c,d

Acetic acid

25.88 ± 1.57c

17.83 ± 0.99b

15.85 ± 0.50a

24.86 ± 0.99c

26.07 ± 1.59c

Propionic acid

17.70 ± 0.76c

11.30 ± 0.73a

10.24 ± 0.28a

16.09 ± 1.00b

16.11 ± 1.40b

Butyric acid

3.70 ± 0.44c

2.18 ± 0.12a

1.92 ± 0.06a

2.95 ± 0.31b

3.07 ± 0.27b

pH of cecal content


CF

NF

PG

PH

IN

pH

6.21 ± 0.09a

6.73 ± 0.10c,d

6.77 ± 0.09d

6.62 ± 0.08b,c

6.52 ± 0.07b

Total SCFA was calculated as the sum of acetic, propionic, iso-butyric, butyric, iso-valeric, valeric, and iso-caproic acid. Values are expressed as mean ± SD. Different superscripts in the same row indicate significant differences (p < 0.05) using one-way ANOVA and Duncan’s multiple comparison test.


The SCFA produced during colonic fermentation can influence pH levels [49]. The CF group, with the highest total SCFA concentration, recorded the lowest pH compared to all treatment groups. The pH values in the PH and IN groups were significantly lower than those in the NF and PG groups, correlating with the higher total SCFA concentrations observed in the PH and IN groups. A decrease in colonic pH can create an acidic environment that inhibits the growth of harmful bacteria, thereby reducing the risk of intestinal dysfunction [50].

The biological activity of polysaccharides is significantly influenced by their fundamental structure, which includes factors such as monosaccharide composition, the types of glycosidic bonds, bond sequences, the arrangement of anomeric carbons, molecular weight, as well as the location, length, and degree of substitution of branches [32]. The enzymatic hydrolysis of PG modifies their molecular structure, resulting in PH with a novel specific structure [10]. This transformation allows PH to potentially target a different spectrum of gut microbiota compared to existing commercial prebiotics, especially SCFA-producing bacteria identified in this study. However, it is essential to note that this study was conducted using a rat model, which features a simpler physiology and dietary composition than that of humans. Consequently, different outcomes may be observed when applied to human subjects [13]. Therefore, further studies involving human participants are highly encouraged.


Conclusions

This study demonstrated that porang glucomannan hydrolysate (PH) positively modulates gut microbiota by increasing SCFA-producing bacteria such as Lactobacillus, Allobaculum, Bifidobacterium, and Blautia, leading to higher SCFA concentrations compared to native porang glucomannan (PG). The microbiota structure in the PH group closely resembled that of the IN group, highlighting its comparable prebiotic benefits to inulin. These findings suggest that PH has strong potential as a functional food ingredient to support gut health.


Acknowledgments

The research work was funded by the Ministry of Research and Technology/National Research and Innovation Agency of the Republic of Indonesia (RISTEK-BRIN) under the research grant “Pendidikan Magister menuju Doktor untuk Sarjana Unggul (PMDSU) Batch III”. Grant number: 2970/UN1.DITLIT/DIT-LIT/LT/2019.


References

[1] K Maheshwari, P Musyuni, A Moulick, H Mishra, A Ekielski, PK Mishra and G Aggarwal. Unveiling the microbial symphony: Next-Gen sequencing and bioinformatics insights into the human gut microbiome. Health Sciences Review 2024; 11(S1), 100173.

[2] C Zhang, X Pi, X Li, J Huo and W Wang. Edible herbal source-derived polysaccharides as potential prebiotics: Composition, structure, gut microbiota regulation, and its related health effects. Food Chemistry 2024; 458, 140267.

[3] M Čoklo, DR Maslov and SK Pavelić. Modulation of gut microbiota in healthy rats after exposure to nutritional supplements. Gut Microbes 2020; 12(1), 1779002.

[4] P Cronin, SA Joyce, PW O’Toole and EM O’Connor. Dietary fibre modulates the gut microbiota. Nutrients 2021; 13(5), 1655.

[5] NB Danneskiold-Samsøea, HDFQ Barros, R Santos, JL Bicas, CBB Cazarin, L Madsen, K Kristiansen, GM Pastore, S Brix and MRM Júnior. Interplay between food and gut microbiota in health and disease. Food Research International 2019; 115, 23-31.

[6] H Li, G Wang, X Yan, X Hu and J Li. Effects of acetyl groups on the prebiotic properties of glucomannan extracted from Artemisia sphaerocephala Krasch seeds. Carbohydrate Polymers 2024; 330, 121805.

[7] D Ouyang, J Deng, K Zhou, Y Liang, Y Chen, D Wang, J Zhong, Y Sun and M Li. The effect of deacetylation degree of konjac glucomannan on microbial metabolites and gut microbiota in vitro fermentation. Journal of Functional Foods 2020; 66, 103796.

[8] P Stribling and F Ibrahim. Dietary fibre definition revisited - The case of low molecular weight carbohydrates. Clinical Nutrition ESPEN 2023; 55, 340-356.

[9] JY Yin, LY Ma, MY Xie, SP Nie and JY Wu. Molecular properties and gut health benefits of enzyme-hydrolyzed konjac glucomannans. Carbohydrate Polymers 2020; 237, 116117.

[10] R Satiti, T Utami, J Widada and E Harmayani. Characterization and prebiotic activity in vitro of hydrolyzed glucomannan extracted from fresh porang tuber (Amorphophallus oncophyllus). Trends in Sciences 2025; 22(1), 8617.

[11] A Anggela, E Harmayani, W Setyaningsih and S Wichienchot. Prebiotic effect of porang oligo-glucomannan using fecal batch culture fermentation. Food Science and Technology 2021; 42(1), 1-7.

[12] B Gómez, B Míguez, R Yáñez and JL Alonso. Manufacture and properties of glucomannans and glucomannooligosaccharides derived from konjac and other sources. Journal of Agricultural and Food Chemistry 2017; 65(10), 2019-2031.

[13] G Paturi, S Mishra, DI Hedderley and JA Monro. Gut microbiota responses to dietary fibre sources in rats fed starch-based or quasi-human background diets. Journal of Functional Foods 2021; 83, 104565.

[14] PG Reeves, FH Nielsen and GC Fahey. AIN-93 purified diets for laboratory rodents: Final report of the American Institute of Nutrition and Ad Hoc Writing Committee on the reformulation of the AIN-76A diet. Journal of Nutrition 1993; 123(11), 1939-1951.

[15] ES Rahayu, IH Rusdan, A Athennia, RZ Kamil, PC Pramesi, Y Marsono, T Utami and J Widada. Safety assessment of indigenous probiotic strain Lactobacillus plantarum Dad-13 isolated from Dadih using Sprague Dawley rats as a model. American Journal of Pharmacology and Toxicology 2019; 14(1), 38-47.

[16] Z Yu and WW Mohn. Bacterial diversity and community structure in an aerated lagoon revealed by ribosomal intergenic spacer analyses and 16S ribosomal DNA sequencing. Applied and Environmental Microbiology 2001; 67(4), 1565-1574.

[17] G Baskara, N Gofar, U Harun, J Widada, PA Hardini, R Wandri and D Asmono. Profiling of rhizobacteria to alleviate drought stress in oil palm using ribosomal intergenic spacer analysis. IOP Conference Series: Earth and Environmental Science 2024; 1308(1), 012035.

[18] T Magoč and LS Steven. FLASH: Fast length adjustment of short reads to improve genome assemblies. Bioinformatics 2011; 27(21), 2957-2963.

[19] NA Bokulich, S Subramanian, JJ Faith, D Gevers, JI Gordon, R Knight, DA Mills and JG Caporaso. Quality-filtering vastly improves diversity estimates from Illumina amplicon sequencing. Nature Methods 2013; 10(1), 57-59.

[20] RC Edgar, BJ Haas, JC Clemente, C Quince and R Knight. UCHIME improves sensitivity and speed of chimera detection. Bioinformatics 2011; 27(16), 2194-220.

[21] BJ Haas, D Gevers, AM Earl, M Feldgarden, DV Ward, G Giannoukos, D Ciulla, D Tabbaa, SK Highlander, E Sodergren, B Methé, TZ DeSantis, Human Microbiome Consortium, JF Petrosino, R Knight and BW Birren. Chimeric 16S rRNA sequence formation and detection in Sanger and 454-pyrosequenced PCR amplicons. Genome Research 2011; 21(3), 494-504.

[22] RC Edgar. UPARSE: Highly accurate OTU sequences from microbial amplicon reads. Nature methods 2013; 10(10), 996-998.

[23] SF Altschul, W Gish, W Miller, EW Myers and DJ Lipman. Basic local alignment search tool. Journal of Molecular Biology 1990; 215(3), 403-410.

[24] Q Wang, GM Garrity, JM Tiedje and JR Cole. Naive Bayesian classifier for rapid assignment of rRNA sequences into the new bacterial taxonomy. Applied and environmental microbiology 2007; 73(16), 5261-5267.

[25] C Quast, E Pruesse, P Yilmaz, J Gerken, T Schweer, P Yarza, J Peplies and FO Glöckner. The SILVA ribosomal RNA gene database project: Improved data processing and web-based tools. Nucleic Acids Research 2013; 41(D1), D590-D596.

[26] RC Edgar. MUSCLE: Multiple sequence alignment with high accuracy and high throughput. Nucleic Acids Research 2004; 32(5), 1792-1797.

[27] E Harmayani, V Aprilia and Y Marsono. Characterization of glucomannan from Amorphophallus oncophyllus and its prebiotic activity in vivo. Carbohydrate Polymers 2014; 112(3), 475-479.

[28] D Desnilasari, E Harmayani, J Widada and Nurliyani. Using kefir glucomannan to modify the diversity and composition of cecum bacterial in Sprague Dawley rats with metabolic syndrome. IOP Conference Series: Materials Science and Engineering, 2021; 1011(1), 012009.

[29] S Yeh, M Lin and H Chen. Partial hydrolysis enhances the inhibitory effects of konjac glucomannan from Amorphophallus konjac C. Koch on DNA damage induced by fecal water in Caco-2 cells. Food Chemistry 2010; 119(2), 614-618.

[30] M Wang, Y Chen, Y Wang, Y Li, H Zheng, F Ma, CW Ma, X Zhang, B Lu, Z Xie and Q Liao. The effect of probiotics and polysaccharides on the gut microbiota composition and function of weaned rats. Food and Function 2018; 9(3), 1864-1877.

[31] Y Zhang, Y Zhao, W Yang, G Song, P Zhong, Y Ren and G Zhong. Structural complexity of konjac glucomannan and its derivatives governs the diversity and outputs of gut microbiota. Carbohydrate Polymers 2022; 292, 119639.

[32] Y Li, T Gong, H Lu, S Ma and X Liu. In vitro fermentation characteristics of oxidized konjac glucomannan and its modulation effects on gut microbiota. Food Hydrocolloids 2023; 141(2), 108693.

[33] TM Cantu-Jungles and BR Hamakera. New view on dietary fiber selection for predictable shifts in gut microbiota. MBio 2020; 11(1), e02179-02119.

[34] Y Li, Y Kang, Y Du, M Chen, L Guo, X Huang, T Li, S Chen, F Yang, F Yu, J Hong and X Kong. Effects of konjaku flour on the gut microbiota of obese patients. Frontiers in Cellular and Infection Microbiology 2022; 12, 771748.

[35] H Wang, X Zhang, S Wang, H Li, Z Lu, J Shi and Z Xu. Mannan-oligosaccharide modulates the obesity and gut microbiota in high-fat diet-fed mice. Food and Function 2018; 9(7), 3916-3929.

[36] RZ Kamil, A Murdiati, M Juffrie, J Nakayama and ES Rahayu. Gut microbiota and short-chain fatty acid profile between normal and moderate malnutrition children in Yogyakarta, Indonesia. Microorganisms 2021; 9(1), 1-15.

[37] JY Ou, JQ Huang, Y Song, SW Yao, XC Peng, MF Wang and SY Ou. Feruloylated oligosaccharides from maize bran modulated the gut microbiota in rats. Plant Foods for Human Nutrition 2016; 71(2), 123-128.

[38] YF Li, CR Zhu, XL Gong, HL Li, LK Xiong, KJ Wang and GS Liu. Beneficial effects of probiotic treatment on gut microbiota in very low birth weight infants. Gastroenterology Research and Practice 2019; 2019, 3682836.

[39] X Zhang, JJ Aweya, ZX Huang, ZY Kang, ZH Bai, KH Li, XT He, Y Liu, XQ Chen and KL Cheong. In vitro fermentation of Gracilaria lemaneiformis sulfated polysaccharides and its agaro-oligosaccharides by human fecal inocula and its impact on microbiota. Carbohydrate Polymers 2020; 234, 115894.

[40] Y Wang, W Zhang, J Wang, C He and X Zhu. Effect of selenium-rich konjac glucomannan on intestinal microbial diversity in mice. Journal of Biological Regulators and Homeostatic Agents 2023; 37(6), 2877-2887.

[41] Y Li, H Lu, C Liao and X Liu. Oxidized konjac glucomannan: A safe dietary fiber influencing mouse gut microbiota. Food Chemistry: X 2024; 21, 101089.

[42] W Fusco, MB Lorenzo, M Cintoni, S Porcari, E Rinninella, F Kaitsas, E Lener, MC Mele, A Gasbarrini, MC Collado, G Cammarota and G Ianiro. Short-chain fatty-acid-producing bacteria: key components of the human gut microbiota. Nutrients 2023; 15(9), 2211.

[43] T Chen, W Long, C Zhang, S Liu, L Zhao and BR Hamaker. Fiber-utilizing capacity varies in Prevotella- versus Bacteroides-dominated gut microbiota. Scientific Reports 2017; 7(1), 2594.

[44] Z Zheng, W Lyu, Y Ren, X Li, S Zhao, H Yang and Y Xiao. Allobaculum involves in the modulation of intestinal ANGPTLT4 expression in mice treated by high-fat diet. Frontiers in Nutrition 2021; 8, 690138.

[45] RZ Kamil, A Murdiati, M Juffrie and ES Rahayu. Gut microbiota modulation of moderate undernutrition in infants through gummy Lactobacillus plantarum Dad-13 consumption: A randomized double-blind controlled trial. Nutrients 2022; 14(5), 1049.

[46] YN Larasati, E Harmayani, J Widada, N Nurliyani and A Perdinan. Caecal bacterial composition of broiler chickens affected by porang glucomannan. Journal of the Indonesian Tropical Animal Agriculture 2021; 46(3), 187-198.

[47] J Deng, X Zou, Y Liang, J Zhong, K Zhou, J Zhang, M Zhang, Z Wang, Y Sun and M Li. Hypoglycemic effects of different molecular weight konjac glucomannans via intestinal microbiota and SCFAs mediated mechanism. International Journal of Biological Macromolecules 2023; 234, 122941.

[48] P Portincasa, L Bonfrate, M Vacca, MD Angelis, I Farella, E Lanza, M Khalil, DQH Wang, M Sperandio and AD Ciaula. Gut microbiota and short chain fatty acids: Implications in glucose homeostasis. International Journal of Molecular Sciences 2022; 23(3), 1105.

[49] Y Li, HS Faden and L Zhu. The response of the gut microbiota to dietary changes in the first two years of life. Frontiers in Pharmacology 2020; 11, 334.

[50] O Hernandez, ML Sanz, S Kolida, RA Rastall and FJ Moreno. In vitro fermentation by human gut bacteria of proteolytically digested caseinomacropeptide nonenzymatically glycosylated with prebiotic carbohydrates. Journal of Agricultural and Food Chemistry 2011; 59(22), 11949-11955.