Start Bootstrap Logo

Trends Sci. 2025; 22(5): 9459

Enhancing Mechanical and Thermal Properties of Recycled Poly(Lactic Acid) with Multi-Branched Polyethyleneimine for Sustainable Recycling Applications


Rawinun Sutthikitivorakul1, Pranee Phinyocheep2 and Wasan Tessanan3,*


1Quality Management and Research Integrity Division, National Science and Technology Development Agency (NSTDA), Thailand Science Park, Pathum Thani 12120, Thailand

2Department of Chemistry, Faculty of Science, Mahidol University, Bangkok 10400, Thailand

3Department of Industrial Technology and Innovation Management, Faculty of Science and Technology,

Pathumwan Institute of Technology, Bangkok 10330, Thailand


(*Corresponding author’s e-mail: wasan.t@pit.ac.th)


Received: 7 December 2024, Revised: 7 January 2025, Accepted: 14 January 2025, Published: 15 March 2025


Abstract

The single-use plastic coffee cup made from poly(lactic acid) (PLA) was modified for sustainable recycling to widen its applications by melt blending with multi-branched polyethyleneimine. Different concentrations (0.25 to 1 wt.%) and molecular weights (Mw of 2,000 and 25,000 g/mol) of the multi-branched polyethyleneimine (MPEI) were utilized as a mechanical modifier for the recycled poly(lactic acid) (rPLA). As a result, an attenuated total reflectance accessory equipped with Fourier transform infrared spectroscopy (ATR-FTIR) and carbon nuclear magnetic resonance spectroscopy (13C-NMR) indicated the formation of the amide linkage between the carboxylic acid group of rPLA and the amine group of MPEI under the given melt mixing condition. Incorporating 0.75 wt.% of MPEI, with a molecular weight of 25,000 g/mol, significantly enhances the properties of recycled PLA, increasing tensile strength by about 9 MPa and impact resistance by around 3.6 kJ/m² compared to the unmodified rPLA. The phase morphological property of rPLA/MPEI blend system exhibited a typical miscible blend and ductile microstructure aspect, characterized by uniform homogeneity and visible microfibrils on the impact-fractured surface. A slight decrease in the glass transition temperature (Tg) further indicated enhanced interfacial interactions, contributing to improved mechanical performance. Furthermore, the incorporation of MPEI notably increases the thermal decomposition temperature of the blends, demonstrating its effectiveness in enhancing the mechanical and thermal properties of recycled PLA. This advancement paves a promising strategy for expanding the material’s applicability while fostering sustainable recycling into high-value products.

Keywords: Recycled poly(lactic acid), Biodegradable plastic, Sustainability, Recycling, Multi-branched polyethyleneimine, Mechanical properties, Impact strength, Thermal behavior


Introduction

Over the past few decades, increasing environmental concern and a shift toward conscious living to reduce ecological footprint have highlighted the global boiling crisis driven by the ecological consequences of pollution caused by human activities. The United Nations (UN) has driven the implementation of strict environmental regulations worldwide to achieve carbon neutrality by reducing greenhouse gas (GHG) emissions through renewable energy use and offsetting unavoidable emissions, aligning to support sustainable development goals (SDGs) across all aspects of the stakeholders and events, mitigate environmental impact, and encourage public participation in climate action [1-3]. These days, global plastic production is forecasted on track to triple by 2050 and the ongoing environmental challenge involves a significant amount of non-degradable petroleum-based plastic waste, which causes a detrimental impact on ecological balance and poses public health hazards to organisms [4,5]. Recycling has been suggested as a potential solution to address this issue. However, practical challenges emerge when managing small, lightweight, and contaminated plastic waste, particularly from single-use products in industries like personal protective equipment and food delivery. These difficulties frequently cause such waste to evade proper disposal systems, resulting in increasingly severe environmental impacts over time [6].

Several alternative strategies have been utilized to encourage sustainable practices. The development of biodegradable plastics is one of the substantial approaches for addressing sustainable practices to reduce environmental pollution and curb carbon emissions. A wide range of biodegradable plastics has been extensively developed and commercialized, including partially biobased poly(butylene succinate) (PBS), fully biobased poly(lactic acid) (PLA), and fully synthetic biodegradable polymers such as poly(butylene adipate-co-terephthalate) (PBAT) and poly(ε-caprolactone) (PCL). Furthermore, starch-based plastics and polyhydroxyalkanoates (PHAs) are increasingly utilized across various industries [7,8]. PLA, a linear aliphatic polyester made from biomass resources, such as rice, wheat, and corn, currently accounts for the highest proportion of the global market chain with notable aspects, such as high mechanical strength, good processability, biodegradability, and biocompatibility. The technological advancements have improved the properties and performance of PLA, making it more competitive with traditional plastics in terms of versatility, durability, and cost-effectiveness. The developing innovations in polymer chemistry and processing techniques have contributed to the desired PLA blend and composite system with enhanced mechanical strength, impact strength, thermal resistance, and processing characteristics, broadening its applicability in various industries [9,10]. Therefore, several additives have been proposed for blending with PLA, including wood powder [11], natural fiber [12], biochar [13], phenolic compound [14], polyethyleneimine [15], natural rubber [16], calcium carbonate [17] and nanoparticles [18]. Nevertheless, the primary feedstocks for synthesizing PLA are derived from sugar-rich food sources, raising concerns about potential threats to food security with large-scale production. Moreover, PLA exhibits a slow degradation rate, leading to substantial waste accumulation and contributing to environmental pollution. Recycling PLA waste, particularly from single-use products, remains challenging and can present a more environmentally sustainable alternative to direct degradation, given its role as a valuable carbon source or carbon sequestration [19-21].

Generally, the MPEI is a typical polyamine polymeric material with a high density of amine branch groups, which has been exploited in various fields, such as biomedicine and biotechnology [22], carbon capture and sequestration technology [23] and antibacterial capacity [24]. The application of MPEI as a mechanical modifier in brittle polymers such as PLA remains both limited and challenging, but its potential benefits are significant and worth exploring. Consequently, our current research aims to improve the properties of the recycled PLA from single-use coffee cups using multi-branched polyethyleneimine (MPEI) as a mechanical modifier through a melt blending process. As the previous research, Reungdech and Tachaboonyakiat [15] described the creation of an amide bond formed by the reaction between the acid anhydride group of poly(lactic acid) grafted with maleic anhydride (PLA-MA) and the amino groups of MPEI during a ring-opening process under reactive extrusion conditions. Although the prepared material demonstrated antimicrobial properties, its mechanical and thermal properties were not discussed. Subsequently, Niyomsin et al. [25] synthesized the multi-branched PLA ionomers as an additive for blending with PLA through 3 steps; synthesis of MPEI reacted with PLA (MPEI-PLA), modification of hydroxyl end groups into carboxylic acid end groups (mPEI-PLA-COOH), and neutralization into ionic groups (mPEI-PLA-COONa). The result showed improving stretchability and gas permeability by maintaining the crystallinity of the prepared films, indicating the synergistic effect as plasticizer and nucleating agent of the synthesized additive. Therefore, the amine-rich group of MPEI can form the physical and chemical interaction with the PLA matrix under the given melt mixing condition. The improved interfacial interaction between PLA and MPEI is expected to change the mechanical and thermal performance of the recycled PLA. The influence of MPEI in aspects of different molecular weights (2,000 and 25,000 g/mol) and contents (0.25, 0.5, 0.75 and 1 wt.%) of the recycled PLA/MPEI blends on the chemical structure, mechanical, morphological, and thermal properties was investigated for understanding and optimizing the performance of this sustainable blend. This research advancement paves a promising benefit for utilizing the single-use plastic waste from coffee cups to widen the material’s applicability while fostering sustainable recycling into high-value products.


Materials and methods

Materials

Multi-branched polyethyleneimine (MPEI) with different molecular weights (Mw ~2,000 and Mw ~ 25,000 g/mol) was procured from Sigma Aldrich (Missouri, USA). Recycled poly(lactic acid) (rPLA) coffee cups were collected from the local coffee shops in the university. Additionally, ethanol was purchased from Sigma Aldrich (Missouri, USA).


Preparation of dried specimens of the recycled poly(lactic acid)

The recycled poly(lactic acid) (rPLA) from the coffee cup was thoroughly cleaned with tap water several times to remove impurities. Afterward, the coffee cup was cut into small pieces and soaked in ethanol for 2 h to remove the grease stains from the surface of the plastic pieces before being dried in a hot oven at 60 C for 2 days.


Preparation of recycled poly(lactic acid)/multi-branched polyethyleneimine (rPLA/MPEI) blends

The small pieces of the rPLA were dried in a vacuum oven at 60 C for 24 h to eliminate the humidity before the blending process. The dried rPLA pieces were blended with multi-branched polyethyleneimine (MPEI) using an internal mixer (HaakeTM Rheomix 90, Thermo Fisher Scientific, Waltham, MA, USA) at 170 C for 10 min with a rotor speed of 60 rpm according to previous work [26]. Figure 1 demonstrates the schematic preparation of rPLA/MPEI blends through the melt blending procedure. Two types of MPEI with different molecular weights including Mw ~2,000 and Mw ~ 25,000 g/mol were defined as MPEI-2000 and MPET-25000, respectively, and utilized as a mechanical modifier for the rPLA. The compositions of the rPLA/MPEI blends are displayed in Table 1.


Characterization of rPLA/MPEI blends

Fourier transform infrared (FTIR) spectroscopy

An FTIR spectrometer equipped with an attenuated total reflectance (ATR) accessory (ATR-FTIR) (Paragon 1000, PerkinElmer, Waltham, MA, USA) was employed to record the ATR-FTIR spectra of the rPLA and its blends. The measurement was performed with 64 scans and a 4-cm–1 resolution scanning from 4,000 to 400 cm–1



Figure 1 Schematic preparation of rPLA/MPEI blend sheet: (a) preparation of rPLA pieces and (b) melt blending and shaping process.


Carbon nuclear magnetic resonance (13C-NMR) spectroscopy

The carbon nuclear magnetic resonance (13C-NMR) spectra were received by manipulating a nuclear magnetic resonance spectrometer with a 500-MHz frequency (Bruker Corporation, Karlsruhe, Germany). Approximately 10 mg of samples were dissolved in deuterated chloroform (CDCl3) as a solvent and tetramethylsilane (TMS) as an internal standard.


Tensile properties

The uniaxial tensile behavior of the rPLA and its blends was evaluated according to ASTM D882 using a universal tensile testing machine (Instron 5566, Instron, High Wycombe, UK). Twelve specimens of each sample were carried out using a constant 10-mm/min crosshead speed and a 1-kN static load cell capacity at room temperature (25 ± 2 C). Tensile properties, including Young’s modulus, tensile strength, and elongation at break, were obtained in this measurement.


Table 1 Formulation of PLA/MPEI blends.

Sample

PLA (wt.%)

MPEI (wt.%)

MPEI-2000

MPEI-25000

rPLA

100

0

0

rPLA/0.25MPEI-2000

99.75

0.25

-

rPLA/0.5MPEI-2000

99.50

0.5

-

rPLA/0.75MPEI-2000

99.25

0.75

-

rPLA/1MPEI-2000

99

1

-

rPLA/0.25MPEI-25000

99.75

-

0.25

rPLA/0.5MPEI-25000

99.50

-

0.5

rPLA/0.75MPEI-25000

99.25

-

0.75

rPLA/1MPEI-25000

99

-

1


Impact properties

The fracture resistance of the sample was conducted according to ASTM D256 using an impact tester machine (5102 Pendulum, Zwick, Ulm, Germany). Six specimens of each sample were proceeded with the notched Izod mode under room temperature (25 ± 2 C) and reported in the unit of kJ/m2.


Scanning electron microscopy (SEM)

The phase morphology of the rPLA and its blends was measured from the impact-fractured surface using scanning electron microscopy (SEM) (Hitachi SU 8000, Hitachi, Ibaraki, Japan). the samples were sputter-coated with platinum/palladium (Pt/Pd, 80/20) before the SEM observation to prevent the accumulation of electrostatic charge.


Differential scanning calorimetry

The thermal transition temperature of all samples was investigated using a differential scanning calorimeter (DSC) (Q200-RCS90, TA Instrument, New Castle, Delaware, USA). Approximately 10 mg of each sample was weighed and put in the typical Tzero aluminum pan before heating from 30 to 200 C with a heat-cool-heat cycle analysis at a constant heating rate of 20 C/min under a nitrogen atmosphere. The glass transition temperature (Tg), cold crystallization temperature (Tcc) and melting temperature (Tm) were demonstrated, and the degree of crystallinity (Xc) was calculated using Eq. (1).


Degree of crystallinity (Xc) = ((ΔHm – ΔHcc) / (wPLA×ΔH°m))×100 (1)


where ΔHcc and ΔHm are the enthalpy of cold crystallization and melting of the blends, respectively. ΔHm is the enthalpy of PLA at 100 % crystallinity (93.7 J/g) [27]. wPLA is the weight fraction of PLA in the blend system.


Thermogravimetric analysis

The decomposition temperature of the rPLA and its blends was assessed by a thermogravimetric analyzer (TGA) (Mettler Q500, TA Instrument, New Castle, DE, USA). The measurement was conducted with temperature profiles ranging from 40 to 600 C at a constant heating rate of 20 C/min under a nitrogen atmosphere. The 5 % weight-loss temperature (T5%) and the maximum weight-loss rate temperature (TDTG) were evaluated.


Results and discussion

Chemical structure of rPLA/MPEI blend

The intricate chemical structure of rPLA and its blend was conducted by ATR-FTIR and 13C-NMR techniques. Figure 2 shows the ATR-FTIR spectra of rPLA and rPLA/0.25MPEI-2000 blend. The ATR-FTIR spectrum of rPLA displayed the unique characteristic absorption peaks at 868 cm1 (C-C stretching), 1,090 - 1,200 cm1 (C-O stretching), 1,360 - 1,384 cm1 (C-H bending), 1,451 cm–1 (CH3 bending), 1,746 cm–1 (C=O stretching), 2,880 cm–1 (C-H stretching) and 2,945 - 2,995 cm–1 (CH3 stretching) [28-30]. After blending MPEI as a mechanical modifier through the melt-blending process, the spectrum of rPLA/0.25MPEI-2000 blend revealed new vibrational peaks at 2,851 and 2,921 cm–1, associating with the CH2 stretching of MPEI in the blend system. Furthermore, 3 new small peaks (Orange box) were also observed at 1,539 and 1,596 cm–1 (C-N stretching and N-H bending, amide II) and 1,656 cm–1 (C=O stretching of amide functional group, amide I) [31,32]. As a result, it could attribute to the formation of amide linkage through the chemical reaction between the carboxylic acid terminal groups of rPLA and amine group of MPEI under the given condition with high temperature of melt blending process.




Figure 2 ATR-FTIR spectra of rPLA and rPLA/0.25MPEI2000 blend at various ranges of wavenumber: (a) 4,000 - 400 cm–1, (b) 1,700 - 1,500 cm–1 and (c) 3,100 - 2,800 cm–1.


The chemical structure and the formation of amide linkage can be asserted by 13C-NMR analysis as demonstrated in Figure 3. The spectrum of rPLA exhibited the main chemical shifts at 16.9 (a), 69.1 (b) and 170.1 (c) ppm, corresponding to the signals of the carbon of methyl group (-CH3), the α-carbon or methine carbon (-CH-), and the carbonyl (-C=O), respectively [15,33]. The addition of MPEI into rPLA under the melt blending process demonstrated the new chemical shifts at 29.6 ppm (d) and 171.3 ppm (e), attributing to the methylene group (-CH2-) of MPEI and the carbonyl group of the amide (-HN-C=O), respectively [15]. To sum up, these results confirmed the formation of amide linkage between rPLA and MPEI under the high temperature of the melt blending process. Furthermore, the formation of amide linkage may randomly occur through the carboxylic acid group of rPLA and the amine functional group of the polymeric main chain or the branches of polyethyleneimine.


Figure 3 13C-NMR spectra of rPLA and rPLA/0.25MPEI2000 blend.


Mechanical properties

The uniaxial tensile properties of rPLA and its blends were assessed according to ASTM D882, as shown in Figure 4. Young’s modulus, also known as the elastic modulus, is calculated from the slope of the initial linear section of the stress-strain curve, where the material exhibits elastic behavior. Ultimate tensile strength refers to the highest stress a material can endure under tension before fracturing. Elongation at break represents the strain at which the material fails, indicating its ductility and showing how much the material can stretch or elongate before breaking, expressed as a percentage of its original length [34]. As a result, the stress-strain curve of rPLA showed the typical brittle and rigid fashion with high strength (~59 MPa) and Young modulus (~2.4 GPa) with low extensibility (3.7 %) [16,26]. The addition of MPEI as a mechanical modifier could enhance the mechanical strength and elongation ability of the prepared materials. The relevant values of the tensile properties, including Young’s modulus, tensile strength, and elongation at break, can be listed and illustrated in Figure 5. The values of Young’s modulus of the rPLA/MPEI blends fluctuated between approximately 2.3 and 2.5 GPa by adding MPEI contents 0.25 - 1 wt.% for both types (MPEI-2000 and MPEI-25000). Regarding tensile strength, rPLA/MPEI blends showed an improvement in mechanical strength compared to the neat rPLA. The tensile strength value increased from ~59 MPa (rPLA) to about 61 - 62 MPa by adding 0.25 wt.% MPEI content, and continuously escalated to the maximum value at around 65 - 68 MPa by adding 0.75 wt.% MPEI content, enhancing by around 6 - 9 MPa compared to the rPLA without adding MPEI. The addition of MPEI content up to 1 wt.% found a slight decline in mechanical strength to approximately 58 - 64 MPa; however, it is still higher than that of the neat rPLA. Compared to the previous research, the result is not consistent with Niyomsin et al. [25] that reported a decrement of tensile strength of the prepared material by adding the synthesized multi-branched PLA ionomers as an additive for blending with PLA. Also, Khamsarn et al. [15] revealed a decrement in tensile strength by adding the modified PLA with MPEI. This result may be attributed in the aspect of the mixing condition that could significantly affect on properties of the prepared blends. In the case of the extensibility of the blends, the presence of MPEI revealed a slight increment in stretchability from ~3.7 % (rPLA) toward approximately 4.3 - 4.6 % by adding 0.25 wt.% MPEI and increased to the highest value around 4.8 - 5.3 % by adding 0.75 wt.% MPEI, but slightly decreased by adding MPEI content up to 1 wt.%. These phenomena could be attributed to the formation of covalent bonds between the carboxylic acid group of rPLA and amine functional groups of the MPEI under the given condition [35,36], resulting in increased mechanical strength and elongation capabilities of the rPLA/MPEI blend system. The impact of the formation of covalent and hydrogen bonding between materials of the polymer blend and composite system on the improved tensile properties was reported in various articles. He et al. [37] reported that the formation covalent and hydrogen bonds between functionalized silica and polydicyclo pentadiene could improve tensile strength and ductility of the composite material. The role of improved interfacial interaction between components through the covalent and hydrogen bonding can help prevent the polymeric chain from flowing during the tensile test, resulting in the improved mechanical strength as revealed by Chino [38]. The reduction in tensile properties at 1 wt.% MPEI content may be linked to morphological changes in the material, as detailed in the subsequent morphological analysis. Compared to MPEI-2000, leveraging MPEI-25000 achieved greater efficacy for mechanical strengthening and stretching. This result may be attributed to the longer molecular chains of MPEI providing the material with enhanced flexibility than the shorter molecular chains, prolonging homogeneous stretching, and resisting breakage when the uniaxial extension tensile force is applied [39,40].


Figure 4 Stress-stain curves of rPLA and its blends: (a) rPLA/MPEI-2000 blends and (b) rPLA/MPEI-25000 at various MPEI contents.


Figure 5 Tensile properties of rPLA and its blends: (a) tensile modulus (b) tensile strength and (c) elongation at break.


Figure 6 demonstrates the impact-resistant value of the rPLA and rPLA/MPEI blends with different types and various MPEI contents. As a result, the neat rPLA revealed an impact strength value of approximately 3.8 kJ/m2 with the typical complete break behavior as illustrated in Figure 7, indicating the characteristic of brittle fashion. The fracture resistance of the prepared materials increased up to 5.1 - 5.3 kJ/m2 by adding 0.25 wt.% MPEI content and gently increased to the maximum value at approximately 6.0-7.4 kJ/m2 by adding 0.75 wt.% MPEI content with the typical complete break aspect, improving by about 2.2 - 3.6 kJ/m2 compared to the neat rPLA. However, the impact resistance decreased to 4.8-6.5 kJ/m2 by adding MPEI up to 1 wt.% but is still higher than the neat rPLA. Consequently, the interfacial interaction between rPLA and MPEI through covalent bonding, as aforementioned [15], could significantly elevate the ability of rPLA/MPEI blends to absorb energy without failure [41]. Additionally, the hydrogen bonding between the hydroxyl or carboxyl groups of rPLA and the amine groups of MPEI may substantially influence the enhancement of the fracture resistance in the prepared polymeric blends [42,43]. The decrease in impact resistance at 1 wt.% MPEI content may be attributed to microstructural changes in the material, likely caused by an extensive formation of covalent bonds between components, leading to increased brittleness in the prepared material. Subsequently, the incorporation of MPEI-25000 into rPLA demonstrated superior impact strength in the rPLA/MPEI blend system, which was closely associated with its tensile properties. This enhancement is likely attributable to the longer molecular chains of MPEI-25000, which impart greater flexibility to the material when compared to shorter molecular chains. To confirm the improving tensile and impact properties, the microstructure of the rPLA/MPEI blends was observed by SEM analysis, which will be discussed further in the morphological studies. Moreover, the information of published articles involving mechanical properties of different types of additives blended with PLA is summarized in Table 2. As compared, this current research showed the notable aspect in case of the mechanical strength when compared to the previous research.



Figure 6 Impact strength of rPLA and rPLA/MPEI blends with different types and contents of MPEI.



Figure 7 Photograph of physical appearance and fracture behavior of rPLA and its blends after impact test.


Table 2 Summary of the mechanical performance from the published articles of the PLA blended with other additives.

Entry

Comments

Tensile strength (MPa)

Elongation at break (%)

Impact strength (kJ/m2)

Ref.

1

Recycled PLA (rPLA)/multibranched polyethylenimine (rPLA/MPEI, 99.25/0.75 w/w)

~68

~5

~7

This present work

2

Recycled PLA/wood flour (PLA/WF, 80/20 w/w)

~44

~3

ND

[44]

3

PLA/Wood particles (90/10 w/w)

~58

ND

ND

[11]

4

PLA/Multi-branched polylactide ionomers (PLA/mPEI-PLA-COONa, 95/5 w/w)

~32

~175

ND

[25]


5

PLA/corncob fibers (PLA/CF, 90/10 w/w)

~40

~4

ND

[12]

6

PLA/biochar (99/1 w/w)

ND

~8

ND

[13]

7

PLA/ thermoplastic pineapple stem starch (TPSS)/modified natural rubber (MNR) (PLA/TPSS/MNR, 79/20/1 w/w/w)

~51

~4

~31

[16]

8

PLA/modified natural rubber (MNR)

(PLA/MNR 95/5 w/w)

~47

~114

~19

[45]

9

PLA/oil palm frond fibers (OPF)

(PLA/OPF, 70/30 w/w)

~72

~3

ND

[46]

10

PLA/CaCO3/polyester-based plasticizer (PEP) (PLA/CaCO3/PEP, 86/10/4 w/w/w)

~44

~7

ND

[17]

11

PLA/ZnO (99/1 w/w)

~33

~8

ND

[47]

ND = No data in the published article


Morphology of the blends

The significant enhancement in the tensile properties and impact strength of the polymer blend and composite system aligns theoretically with its underlying microstructural characteristics [45,48,49]. Figure 8 displays the impact-fractured surface of the rPLA and its blends (rPLA/0.75MPEI-2000 and rPLA/0.75MPEI-25000 blends) to observe the morphological aspect. As a result, the neat rPLA showed a smooth fractured surface and homogeneity without yielding, revealing the characteristic of brittle material [26]. Using MPEI as a mechanical modifier in the rPLA/MPEI blend system demonstrated a fractured surface with homogeneous miscibility without the phase separation, indicating that thermodynamic equilibrium phase behavior between the 2 components of the polymer blends was achieved under the given condition [50,51]. The fractured surface of the rPLA/MPEI blends showed typical ductile failure characterized by yielding or plastic deformation. Additionally, the highly stretched microfibrils observed on the fractured surface’s microstructure helped assert the brittle-to-ductile transition of the prepared materials [52,53]. Considering the microstructure of the blends, the rPLA/0.75MPEI-25000 blend exhibited a higher number of microfibrils, indicating the higher ductile material. However, incorporating MPEI up to 1 wt.% resulted in a fractured surface that appeared smoother and exhibited fewer microfibrils compared to the rPLA/0.75MPEI blends, suggesting the material became more rigid and less ductile. This result is consistent with a decrement in mechanical strength and impact resistance after adding 1 wt.% MPEI.


Figure 8 SEM images of the impact-fractured surface of (a) rPLA, (b) rPLA/0.75MPEI-2000, (c) rPLA/1MPEI-2000, (d) rPLA/0.75MPEI-25000 and (e) rPLA/1MPEI-25000 blends.


Thermal properties

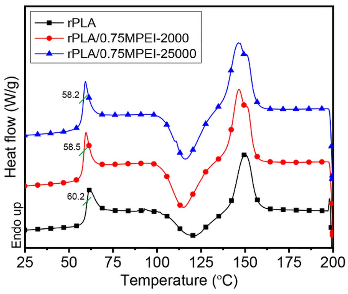
The thermal behavior of the rPLA and rPLA/MPEI blends was investigated using DSC and TGA analysis. Figure 9 shows the DSC thermograms of rPLA and its blends, and the relevant data can be summarized in Table 3. As a result, the neat rPLA revealed a low crystallinity level of about 0.04 % with the endothermic peak of the glass-transition temperature (Tg) at approximately 60 C, the broad exothermic peak of the cold crystallization temperature (Tcc) centered at about 121 C and the single endothermic peak of the melting temperature (Tm) at around 150 C [16]. The introduction of MPEI (MPEI-2000 and MPEI-25000) as a mechanical modifier resulted in a slight decrease in the Tg and Tcc values of the rPLA/MPEI blends by approximately 2 and 6 C, respectively. This result could reveal a probable increment of the segmental chain relaxation of the PLA matrix in the blend system during the heating process because of an increment of the free volume between polymer chains, allowing them to slide past each other at lower temperature [54]. Moreover, the steric hindrance of the multi-branch chain of MPEI in the blend system may promote chain mobility, resulting in a decline in the Tg and Tcc values of the desired materials [55]. Generally, the thermal transition behavior of polymeric materials is closely associated with the segmental chain motion related to polymer chain entanglement, the level of crosslinking [56,57], and the interfacial interactions [58,59] of the prepared material. Furthermore, the DSC thermograms of the rPLA/MPEI blends exhibited 2 distinct endothermic peaks of the Tm at approximately 147 and 151 C, revealing probably the structural change in the recrystallization and the lamellar rearrangement of PLA’s crystalline [60]. A double endothermic melting peak suggested that 2 distinct PLA crystal structures formed during the cold crystallization process. Both peaks were linked to the melting of the α phase. The 1st peak was associated with the simultaneous melting of the initial α crystals and the α′-α phase transition, which occurred via melt recrystallization. The 2nd peak corresponded to the melting of α crystals generated by the α′-α phase transition [61]. In the case of the degree of crystallinity, the addition of MPEI showed a slight increase in the crystallinity index of the PLA blends. This phenomenon could indicate that MPEI synergistically acted as a mechanical modifier and nucleating agent in the blend system. Generally, increasing the crystallinity index in the polymer blend can improve its mechanical properties, including stiffness, mechanical strength, and toughness [62]. This rationale is consistent with the improved tensile and impact properties of the rPLA/MPEI blends as aforementioned.


Table 3 Thermal properties of rPLA and its blends.

Sample

DSC analysis

TGA analysis

Tg (°C)

Tcc (C)

ΔHcc (J/g)

Tm (C)

ΔHm (J/g)

Xc (%)

T5% (C)

TDTG (C)

rPLA

60.2

120.6

16.8

150.0

20.5

4.0

350.8

389.1

rPLA/0.75MPEI-2000

58.5

115.1

22.4

146.4, 150.8

28.9

6.9

353.2

402.4

rPLA/0.75MPEI-25000

58.2

115.8

21.3

146.7, 150.8

30.6

10.0

353.5

413.7


Figure 9 DSC thermograms of rPLA and its blends.


Figure 10 demonstrates the TGA thermograms of the rPLA and the rPLA/MPEI blends, and the relevant information can be summarized in Table 3. As a result, the neat rPLA possessed the 5 % weight-loss temperature (T5%) at approximately 351 C with the maximum weight-loss rate temperature (TDTG) at about 389 C. The addition of MPEI increased the T5% and TDTG by approximately 3 and 13 - 25 C, respectively. It could probably be attributed to the network formation between rPLA and MPEI through the amide linkages created during the high-temperature melt blending process, resulting in the improved heat resistance of the material.



Figure 10 Thermal decomposition temperature of rPLA and its blends: (a) TGA and (b) DTG thermograms.



Conclusions

Recycled poly(lactic acid) (rPLA) from coffee cups is a valuable plastic waste that can be developed for innovative recycling applications. The multi-branched polyethyleneimine (MPEI) was utilized as a mechanical modifier at different concentrations (0.25 to 1 wt.%) and molecular weights (Mw of 2,000 and 25,000 g/mol) for blending with recycled polylactic acid (rPLA) to enhance its mechanical and thermal properties through a physical melt mixing process. This finding result is supporting the objectives of the research objective. As a result, the ATR-FTIR and 13C-NMR analysis asserted the formation of the amide linkage between rPLA and MPEI under the given melt mixing condition. The addition of 0.75 wt.% MPEI with a molecular weight of 25,000 g/mol can lead to the greatest enhancements in tensile strength and impact resistance, increasing by about 9 MPa and 3.6 kJ/m², respectively, compared to the neat rPLA. The microstructure of the rPLA/MPEI blends showed homogeneity and some microfibrils on the fractured surface, indicating the miscibility of the 2 components and the brittle-to-ductile transition of the prepared material. A slight shift in the Tg value of the rPLA/MPEI blends towards the lower temperature boundary helped confirm an increment in the segmental chain motion of the PLA matrix in the blend system. Additionally, the thermal decomposition temperature of the blends improved by adding small amount of MPEI. This study proposes an alternative approach to enhancing the mechanical and thermal properties of recycled PLA, thereby increasing the value of single-use products and expanding their end-use applications while promoting sustainable recycling into high-value products.

As concerned, the addition of MPEI affects the color of the prepared blend, producing a brown shade that deepens as the MPEI content increases. This change could restrict certain potential applications of the rPLA/MPEI blend. Furthermore, in this research, the MPEI content was limited to less than 1 wt.% due to a significant reduction in mechanical properties observed when the content exceeded 1 wt.%.


Acknowledgements

The authors would like to gratefully thank the Department of Chemistry and Rubber Technology Research Center, Faculty of Science, Mahidol University, Thailand for the instrument support.


References

[1] X Luan, X Kou, X Cui, L Chen, W Xue, W Liu and Z Cui. Greenhouse gas emissions associated with plastics in China from 1950 to 2060. Resources, Conservation and Recycling 2023; 197(10), 107089.

[2] S Yadav, A Samadhiya, A Kumar, A Majumdar, JA Garza-Reyes and S Luthra. Achieving the sustainable development goals through net zero emissions: Innovation-driven strategies for transitioning from incremental to radical lean, green and digital technologies. Resources, Conservation and Recycling 2023; 197(3), 107094.

[3] Q Zhang, S Deng, H Yang, A Wang, J Wang, X Lai, P Sun and R Zhao. Life cycle assessment and carbon neutrality analysis of ‘waste plastics - upcycling plastics’ system based on adsorption carbon capture. Journal of Industrial and Engineering Chemistry 2024; 130, 600-611.

[4] T Sokolova, A Krishna and T Döring. Paper meets plastic: The perceived environmental friendliness of product packaging. Journal of Consumer Research 2023; 50(2), 468-491.

[5] PGC Nayanathara Thathsarani Pilapitiya and AS Ratnayake. The world of plastic waste: A review. Cleaner Materials 2024; 11, 100220.

[6] B Wongprapinkul and S Vassanadumrongdee. A systems thinking approach towards single-use plastics reduction in food delivery business in Thailand. Sustainability 2022; 14(15), 9173.

[7] OK Cakmak. Biodegradable polymers-a review on properties, processing, and degradation mechanism. Circular Economy and Sustainability 2024; 4(1), 339-362.

[8] MS Kim, H Chang, L Zheng, Q Yan, BF Pfleger, J Klier, K Nelson, ELW Majumder and GW Huber. A review of biodegradable plastics: Chemistry, applications, properties, and future research needs. Chemical Reviews 2023; 123(16), 9915-9939.

[9] L Ranakoti, B Gangil, SK Mishra, T Singh, S Sharma, RA Ilyas and S El-Khatib. Critical review on polylactic acid: Properties, structure, processing, biocomposites, and nanocomposites. Materials 2022; 15(12), 4312.

[10] TA Swetha, V Ananthi, A Bora, N Sengottuvelan, K Ponnuchamy, G Muthusamy and A Arun. A review on biodegradable polylactic acid (PLA) production from fermentative food waste - Its applications and degradation. International Journal of Biological Macromolecules 2023; 234(6), 123703.

[11] D Krapež Tomec, M Schwarzkopf, R Repič, J Žigon, B Gospodarič and M Kariž. Effect of thermal modification of wood particles for wood-PLA composites on properties of filaments, 3D-printed parts and injection moulded parts. European Journal of Wood and Wood Products 2024; 82(2), 403-416.

[12] M Buddhakala and N Buddhakala. Physical, mechanical and antibacterial properties of biodegradable bioplastics from polylactic acid and corncob fibers with added nano titanium dioxide. Trends in Sciences 2023; 20(4), 6473.

[13] C Botta, CM Grottola, D Amato and MR Acocella. Biochar as sustainable filler of recycled polylactic acid (PLA): A new generation of processable biocomposites. Polymers 2024; 16(23), 3347.

[14] D Rahmadiawan, H Abral, MK Ilham, P Puspitasari, RA Nabawi, SC Shi, E Sugiarti, AN Muslimin, D Chandra, RA Ilyas and R Zainul. Enhanced UV blocking, tensile and thermal properties of bendable TEMPO-oxidized bacterial cellulose powder-based films immersed in PVA/Uncaria gambir/ZnO solution. Journal of Materials Research and Technology 2023; 26, 5566-5575.

[15] T Khamsarn, R Supthanyakul, M Matsumoto, and S Chirachanchai. PLA with high elongation induced by multi-branched poly(ethylene imine) (mPEI) containing poly(l-lactic acid) (PLLA) terminals. Polymer 2017; 112, 87-91.

[16] W Tessanan, P Phinyocheep and T Amornsakchai. Sustainable materials with improved biodegradability and toughness from blends of poly(lactic acid), pineapple stem starch and modified natural rubber. Polymers 2024; 16(2), 232.

[17] J Cisar, P Drohsler, M Pummerova, V Sedlarik and D Skoda. Composite based on PLA with improved shape stability under high-temperature conditions. Polymer 2023; 276, 125943.

[18] A Jeżo, F Poohphajai, R Herrera Diaz and G Kowaluk. Incorporation of nano-zinc oxide as a strategy to improve the barrier properties of biopolymer-suberinic acid residues films: A preliminary study. Materials 2024; 17(15), 3868.

[19] FR Beltrán, C Infante, MUDL Orden and JM Urreaga. Mechanical recycling of poly(lactic acid): Evaluation of a chain extender and a peroxide as additives for upgrading the recycled plastic. Journal of Cleaner Production 2019; 219, 46-56.

[20] S Samaimai, S Krajangsang, V Kitpreechavanich, J Borthong and T Lomthong. Degradation of poly(butylene succinate) and poly(butylene succinate)/poly(lactide) blends using serine protease produced from Laceyella sacchari LP175. Trends in Sciences 2021; 18(20), 37.

[21] C Sun, S Wei, H Tan, Y Huang and Y Zhang. Progress in upcycling polylactic acid waste as an alternative carbon source: A review. Chemical Engineering Journal 2022; 446(11), 136881.

[22] Z Chen, Z Lv, Y Sun, Z Chi and G Qing. Recent advancements in polyethyleneimine-based materials and their biomedical, biotechnology, and biomaterial applications. Journal of Materials Chemistry B 2020; 8(15), 2951-2973.

[23] H Shi, J Yang, Z Ahmad, H Zhang and J Chen. Co-grafting of polyethyleneimine on mesocellular silica foam for highly efficient CO2 capture. Separation and Purification Technology 2023; 325, 124608.

[24] J Ren, R Kong, Y Gao, L Zhang and J Zhu. Bioinspired adhesive coatings from polyethylenimine and tannic acid complexes exhibiting antifogging, self-cleaning, and antibacterial capabilities. Journal of Colloid and Interface Science 2021; 602(41), 406-414.

[25] S Niyomsin, T Thongsima, S Phongtamrug and S Chirachanchai. Synergistic effects of a novel multi-branched polylactide ionomer on polylactide film. MRS Communications 2022; 12(2), 160-167.

[26] W Tessanan, R Chanthateyanonth, M Yamaguchi and P Phinyocheep. Improvement of mechanical and impact performance of poly(lactic acid) by renewable modified natural rubber. Journal of Cleaner Production 2020; 276, 123800.

[27] M Maroufkhani, A Katbab, W Liu and J Zhang. Polylactide (PLA) and acrylonitrile butadiene rubber (NBR) blends: The effect of ACN content on morphology, compatibility and mechanical properties. Polymer 2017; 115, 37-44.

[28] D Garlotta. A literature review of poly(lactic acid). Journal of Polymers and the Environment 2001; 9(2), 63-84.

[29] C Kaynak and Y Meyva. Use of maleic anhydride compatibilization to improve toughness and other properties of polylactide blended with thermoplastic elastomers. Polymers for Advanced Technologies 2014; 25(12), 1622-1632.

[30] H Fang, L Zhang, A Chen and F Wu. Improvement of mechanical property for PLA/TPU blend by adding PLA-TPU copolymers prepared via in situ ring-opening polymerization. Polymers 2022; 14(8), 1530.

[31] S Li, K Hu, W Cao, Y Sun, W Sheng, F Li, Y Wu and X-J Liang. pH-responsive biocompatible fluorescent polymer nanoparticles based on phenylboronic acid for intracellular imaging and drug delivery. Nanoscale 2014; 6(22), 13701-13709.

[32] YR Dangi, X Lin, JW Choi, CR Lim, MH Song, M Han, JK Bediako, CW Cho and Y-S Yun. Polyethyleneimine functionalized alginate composite fiber for fast recovery of gold from acidic aqueous solutions. Environmental Technology and Innovation 2022; 28(221), 102605.

[33] IP Gross, FSS Schneider, MSB Caro, TFD Conceição, GF Caramori and ATN Pires. Polylactic acid, maleic anhydride and dicumyl peroxide: NMR study of the free-radical melt reaction product. Polymer Degradation and Stability 2018; 155, 1-8.

[34] N Tohluebaji, R Siri, N Muensit, C Putson, P Channuie, P Porrawatkul and J Yuennan. Hydrophobic and optical properties of P(VDF-HFP) nanofiber filled with nickel (II) chloride hexahydrate for dye-sensitized solar cells application. Trends in Sciences 2024; 21(9), 8762.

[35] AM Pinilla-Torres, PY Carrión-García, CN Sánchez-Domínguez, H Gallardo-Blanco and M Sánchez-Domínguez. Modification of branched polyethyleneimine using mesquite gum for its improved hemocompatibility. Polymers 2021; 13(16), 2766.

[36] HS Lim, S Chae, L Yan, G Li, R Feng, Y Shin, Z Nie, BM Sivakumar, X Zhang, Y Liang, DJ Bazak, V Shutthanandan, V Murugesan, S Kim and W Wang. Crosslinked polyethyleneimine gel polymer interface to improve cycling stability of RFBs. Energy Material Advances 2022; 2022, 9863679.

[37] ZL He, JK Xu, L Zhang, HY Ren and SY Fu. Dramatically enhanced tensile strength and impact toughness of polydicyclopentadiene composites by covalent bond formation between phenyl-functionalized silica and dicyclopentadiene. Composites Part B: Engineering 2019; 170(21), 31-40.

[38] K Chino. Multinetwork elastomer using covalent bond, hydrogen bond, and clay plane bond. ACS Omega 2021; 6(46), 31168-31176.

[39] G Liu, H Ma, H Lee, H Xu, S Cheng, H Sun, T Chang, RP Quirk and SQ Wang. Long-chain branched polymers to prolong homogeneous stretching and to resist melt breakup. Polymer 2013; 54(24), 6608-6616.

[40] C Xiang, Z Wang, C Yang, X Yao, Y Wang and Z Suo. Stretchable and fatigue-resistant materials. Materials Today 2020; 34, 7-16.

[41] ZL He, JK Xu, L Zhang, HY Ren and SY Fu. Dramatically enhanced tensile strength and impact toughness of polydicyclopentadiene composites by covalent bond formation between phenyl-functionalized silica and dicyclopentadiene. Composites Part B: Engineering 2019; 170(21), 31-40.

[42] BR Francis, K Watkins and J Kubelka. Double hydrogen bonding between side chain carboxyl groups in aqueous solutions of poly (β-L-malic acid): Implication for the evolutionary origin of nucleic acids. Life 2017; 7(3), 35.

[43] L Fang, X Guo, M Todorović, P Rinke and X Chen. Exploring the conformers of an organic molecule on a metal cluster with bayesian optimization. Journal of Chemical Information and Modeling 2023; 63(3), 745-752.

[44] K Copenhaver, T Smith, K Armstrong, D Kamath, M Rencheck, S Bhagia, M Korey, M Lamm and S Ozcan. Recyclability of additively manufactured bio-based composites. Composites Part B: Engineering 2023; 255(9), 110617.

[45] W Tessanan and P Phinyocheep. Toughening modification of poly(lactic acid) using modified natural rubber. Iranian Polymer Journal 2022; 31(4), 455-469.

[46] N Hongsriphan, J Subsanga, P Suebsai, S Sitthipong, and P Patanathabutr. Use of oil palm frond waste to reinforce poly(lactic acid) based composites with the improvement of interfacial adhesion by alkali treatment. Journal of Metals, Materials and Minerals 2022; 32(1), 134-143.

[47] T Jamnongkan, O Jaroensuk, A Khankhuean, A Laobuthee, N Srisawat, A Pangon, R Mongkholrattanasit, P Phuengphai, A Wattanakornsiri and CF Huang. A comprehensive evaluation of mechanical, thermal, and antibacterial properties of PLA/ZnO nanoflower Biocomposite filaments for 3D printing application. Polymers 2022; 14(3), 600.

[48] P Juntuek, C Ruksakulpiwat, P Chumsamrong and Y Ruksakulpiwat. Effect of glycidyl methacrylate-grafted natural rubber on physical properties of polylactic acid and natural rubber blends. Journal of Applied Polymer Science 2012; 125(1), 745-754.

[49] NA Rosli, I Ahmad, FH Anuar and I Abdullah. Mechanical and thermal properties of natural rubber-modified poly(lactic acid) compatibilized with telechelic liquid natural rubber. Polymer Testing 2016; 54, 196-202.

[50] J Mishra, SK Tiwari, MM Abolhasani, S Azimi and GC Nayak. 2-Fundamental of polymer blends and its thermodynamics. In: RK Mishra, S Thomas and N Kalarikkal (Eds.). Micro and nano fibrillar composites (MFCs and NFCs) from polymer blends. Woodhead Publishing, Delhi, India, 2017, p. 27-55.

[51] M Romay, N Diban and A Urtiaga. Thermodynamic modeling and validation of the temperature influence in ternary phase polymer systems. Polymers 2021; 13(5), 678.

[52] J Yin, Y Zhang, and Y Zhang. Fracture behavior and deformation mechanism of polypropylene/ ethylene–octene copolymer/magnesium hydroxide ternary phase composites. Journal of Applied Polymer Science 2005; 98(3), 957-967.

[53] SB Mohd Yasin, JS Terry and AC Taylor. Fracture and mechanical properties of an impact toughened polypropylene composite: modification for automotive dashboard-airbag application. RSC Advances 2023; 13(39), 27461-27475.

[54] SP Espíndola, B Norder, GJM Koper and SJ Picken. The glass transition temperature of heterogeneous biopolymer systems. Biomacromolecules 2023; 24(4), 1627-1637.

[55] D Berne, G Tanguy, S Caillol, R Poli, V Ladmiral and E Leclerc. Transamidation vitrimers enabled by neighbouring fluorine atom activation. Polymer Chemistry 2023; 14(30), 3479-3492.

[56] R Anastasio, W Peerbooms, R Cardinaels and LCAV Breemen. Characterization of ultraviolet-cured methacrylate networks: From photopolymerization to ultimate mechanical properties. Macromolecules 2019; 52(23), 9220-9231.

[57] W Tessanan, P Daniel and P Phinyocheep. Mechanical properties’ strengthening of photosensitive 3D resin in lithography technology using acrylated natural rubber. Polymers 2023; 15(20), 4110.

[58] J Zhang, R Zhang, H Chen, Y Li, YC Wu, R Suzuki, TC Sandreckski, T Ohdaira and YC Jean. Surface and interfacial effect on polymer glass transition temperature studied by positron annihilation. Radiation Physics and Chemistry 2003; 68(3-4), 535-539.

[59] N Wu, H Zhang and G Fu. Super-tough poly(lactide) thermoplastic vulcanizates based on modified natural rubber. ACS Sustainable Chemistry & Engineering 2017; 5(1), 78-84.

[60] T Tábi, IE Sajó, FJ Szabó, AS Luyt and JG Kovács. Crystalline structure of annealed polylactic acid and its relation to processing. Express Polymer Letters 2010; 4(10), 659-668.

[61] L Benkraled, A Zennaki, L Zair, K Arabeche, A Berrayah, A Barrera, Z Bouberka and U Maschke. Effect of plasticization/annealing on thermal, dynamic mechanical, and rheological properties of poly(lactic acid). Polymers 2024; 16(7), 974.

[62] N Dusunceli and OU Colak. Modelling effects of degree of crystallinity on mechanical behavior of semicrystalline polymers. International Journal of Plasticity 2008; 24(7), 1224-1242.