Start Bootstrap Logo

Trends Sci. 2025; 22(5): 9458


Ethanolic Extract of Curcuma domestica Val. and Curcuma xanthorrhiza Roxb.: A Comparative Study In Vitro and In Silico Antibacterial Effect against Methicillin-Resistant Staphylococcus aureus


Halimah Raina Nasution1, Yuandani1,*, Abdi Wira Septama2, Teni Ernawati2,

Nur Aini Khairunnisa1, Sony Eka Nugraha3, Sufitni4 and Dinda Sari Utami5


1Departement of Pharmacology, Faculty of Pharmacy, Universitas Sumatera Utara, Medan, Indonesia

2Research Center for Pharmaceutical Ingredients and Traditional Medicine, National Research and Innovation Agency, Kawasan PUSPIPTEK Serpong, Banten, Indonesia

3Department of Pharmaceutical Biology, Faculty of Pharmacy, Universitas Sumatera Utara, Medan, Indonesia

4Department of Anatomy, Faculty of Medicine, Universitas Sumatera Utara, Medan, Indonesia

5Department of Pharmacy, Universitas Muslim Nusantara Al Washliyah, North Sumatera, Indonesia


(*Corresponding author’s e-mail: [email protected]; [email protected])


Received: 6 December 2024, Revised: 6 January 2025, Accepted: 3 February 2025, Published: 20 March 2025


Abstract

Methicillin-resistant Staphylococcus aureus (MRSA) is a priority pathogen due to its multidrug-resistant characteristics. This study compared the antibacterial, antibiofilm, bacteriolytic, and efflux pump inhibitory effects of Curcuma domestica and Curcuma xanthorrhiza rhizome extracts, both individually and in combination with tetracycline, against MRSA. Antibacterial activity and the combinatory effect with tetracycline were assessed using the microdilution method. Additionally, antibiofilm, bacteriolytic, and efflux pump inhibitory were investigated. Extracts from C. domestica and C. xanthorrhiza exhibited antibacterial effects against MRSA, with Minimum Inhibitory Concentration (MIC) values of 125 and 250 µg/mL, respectively. The combination of C. domestica and tetracycline demonstrated a synergistic interaction, with a Fractional Inhibitory Concentration Index (FICI) of 0.5. In contrast, the combination C. xanthorrhiza and tetracycline showed only an additive effect, with an FICI of 0.6. Computer simulations indicated that bisdemethoxycurcumin exhibited the strongest binding affinity to the protein inhibiting topoisomerase ATPase. Furthermore, when combined with tetracycline, each extract was effective in inhibiting biofilm formation and efflux pump activity in MRSA. This combination also induced cell death by altering membrane permeability. The combination of Curcuma extracts with tetracycline demonstrated enhanced antibacterial activity against MRSA compared to the extracts used alone.


Keywords: Antimicrobial resistance, Staphylococcus, Antibiotics, Bioactive molecules, Biofilms


Introduction

The spread of bacteria that are resistant to conventional antibiotics has become an issue of great concern and a global threat to health. Multidrug-resistant bacteria was correlated with the excessive or inefficiency use of antibiotics, causing infectious diseases to be untreatable, with higher mortality rates and increased healthcare costs [1]. Multidrug resistance is an acquired resistance in bacteria that can be brought on by a number of processes, including membrane change (whether by increasing the efflux or decreasing the drug uptake), drug inactivation, and drug modification. The spread of multidrug-resistant bacteria becomes a major problem when it comes to treatment [2]. Methicillin-resistant Staphylococcus aureus (MRSA) is one of the most cause nosocomial infection that has acquired resistance to various antibiotics, including tetracycline, fluorquinolones, β-lactams, and aminoglycosides [3]. MRSA has several virulence factors, one of which is the ability to form biofilms that prevent the antibiotic from penetrating through the bacterial membrane [4].

Natural compounds with antibacterial properties as potential alternatives for the classical antibiotic therapy are being discussed. Combining the conventional antibiotics with natural compounds that enhance antibacterial activity have been studied and offer a good solution to this problem [5]. It may be difficult and time-consuming to discover new antibacterial agents, and possibility of new resistance mechanisms will develop.

Numerous phytochemicals are potential novel antibacterial agents, such as polyphenols, essential oils, alkaloids, lectins, terpenoids, and polypeptides. The main mechanism of antibacterial agent of natural compounds includes inhibition of bacterial protein biosynthesis, inhibition of DNA synthesis and function, and disruption of cell wall function and structure [6].

Curcuma domestica Val. and Curcuma xanthorrhiza Roxb. are member of the Zingiberaceae family, more popular and widely used as condiments than for their medicinal purposes. The bioactive compounds of Curcuma species (spelling) are curcuminoids that includes curcumin, demethoxycurcumin, and bisdemethoxycurcumin [7]. Curcuminoid has been known to have a potent anticancer, antioxidant, also antibacterial activity. Curcuminoid content in C. longa and C. xanthorrhiza rhizome that were extracted using 96 % ethanol showed no significant difference in both samples [8]. The report of study by Teow et al. [9] also showed the curcumin compound has antibacterial activity against S. aureus. Furthermore, species of Curcuma exhibit immunomodulatory effects, primarily attributed to curcumin, their key bioactive compound [10]. However, this plant extract’s effect when combined with tetracycline to treat multidrug-resistant bacteria such as MRSA is unknown. Thus, the present study aimed to determine the synergistic effect of the ethanolic extract of C. domestica and C. xanthorrhiza with tetracycline on MRSA. The combination effect of extract and tetracycline as antibiofilm, bacteriolytic activity, and efflux pump inhibitor was also investigated. Computer simulations or docking study were performed to support the in vitro antibacterial activity of these extracts.


Materials and methods

Chemicals and media

Tetracycline (Lot number 94F-0497) from Sigma Chemical Company, Sodium chloride (NaCl), ethanol 96 % (pro analysis grade), and dimethyl sulfoxide were obtained from Merck, Germany. Crystal violet, Phosphate Buffer Saline (PBS) tablets were obtained from Oxoid, UK. Brain Heart Infusion (BHI) Broth and agar base were purchased from Himedia, India.

Plant collection and identification

Curcuma domestica Val. and Curcuma xanthorrhiza Roxb. rhizomes were collected from Binjai, Sumatera Utara. Plants were determined by Medanense (MEDA) Herbarium, Faculty of Mathematics and Natural Science (FMIPA) USU (Voucher No. 192/MEDA/2022 and 193/MEDA/2022). The fresh rhizomes were sorted, thoroughly cleaned, cut into smaller pieces, and dried in an oven maintained at 40 - 45 °C for several days. The dried rhizomes were then ground to produce a fine powder.


Bacterial strains

The testing bacteria used in this study were obtained from clinical isolates which are regularly collected by Marine Education and Research Oranisation (MERO) Foundation in Bali (Indonesia).


Preparation on ethanolic extract of Curcuma domestica Val. rhizome and Curcuma xanthorrhiza Roxb. rhizome

The fine powder of crude plant of C. domestica and C. xanthorrhiza were extracted by maceration using ethanol 96 % (pro analysis grade). Extracts were concentrated by Rotary evaporator (Buchi R-125) and the viscous extracts were stored in a closed container at room temperature and protected from light.


Protein and ligand preparation

The investigation began with the design of curcuminoid compounds. In this study, curcumin, demethoxycurcumin, and bisdemethoxycurcumin were used as ligands to interact with protein molecules, targeting the crystal structure of a topoisomerase ATPase inhibitor to optimize antibacterial activity and efficacy. The data of tetracycline and 2-[(3S,4R)-4-{[(3,4-dichloro-5-methyl-1H-pyrrol-2-yl)carbonyl]amino}-3fluoropiperidin-1-yl]-1,3-thiazole-5-carboxylic acid), which represent the native ligand for the protein crystal structure 3TTZ was also included. The chemical structures of the ligands were generated in both 2D and 3D configurations using Chem Draw 16.0. The structure of the targeted protein, a topoisomerase ATPase inhibitor, was obtained from the Protein Data Bank with the PDB ID 3TTZ (https://www.rcsb.org/structure/3TTZ).


Assessment of antibacterial activity

In vitro antibacterial activity test was determined in 96-well microplate to obtained Minimum Inhibitory Concentration (MIC). The bacterium suspensions were prepared in sterile normal saline solution, adjusted to 0.5 McFarland (equivalent to 1×108 CFU/mL) and then diluted to obtained 1×106 CFU/mL [11]. A stock solution was prepared by dissolving 4 mg of each extract and 4 mg of tetracycline in 1 mL of DMSO. A 2-fold serial dilution was performed by transferring 100 µL of the stock solution into a sterile microplate containing 100 µL of BHI broth. Subsequently, 100 µL of the MRSA suspension (1×106 CFU/mL) was added to each well, and the microplate was incubated at 37 °C for 24 h. The Minimum Bactericidal Concentrations (MBC) were determined for each test sample. Briefly, aliquots from wells showing clear, non-turbid solutions were reinoculated onto BHI agar plates and incubated at 37 °C for 24 h [12].


Checkerboard assay

A synergistic interaction between extracts and tetracycline was analyzed using a modest modification of checkerboard broth microdilution method [13]. Two-fold serial dilutions of the plant extracts were carried out along the x-axis, while the y-axis of the microplate allowed for serial dilution of antibiotic. Bacterial suspension was prepared according to the above-described MIC determination method.

The Fractional Inhibitory Concentration Index (FICI) for all the combinations were determined using this following equation:



Interpretation of FICI values as follow: Less than 0.5, as synergy; ranging from 0.5 to 1, as additive; ranging from 1 to 4, as indifferent; and more than 4, as antagonistic [14].


Molecular docking studies

The molecular docking procedure was conducted using AutoDock [15-18]. The target protein’s PDB file format was imported and transformed into a macromolecule in PDBQT file format. The ligand structures underwent energy minimization (EM) and were then converted to the PDBQT format using Chem3D 16.0. In AutoDock, the ligand structures and the target protein were chosen. A grid box was defined to encompass the binding site residues, with dimensions of X: 15 Å, Y: 15 Å, and Z: 15 Å. The center of this grid box was positioned at x = −0.450, y = −0.835, z = 1.078. The exhaustiveness parameter was set to the default value of 8. Subsequently, the most favorable pose with the lowest binding affinity and zero RMSD was selected for each ligand. A cubic box measuring 40×40×40 Å3 was generated, with a grid spacing of 0.375 Å. Additionally, the interaction between the docked protein and ligand was visualized, and saved conformations were analyzed using BIOVIA Discovery Studio 2021.


Inhibition of biofilm-formation assay

The anti-biofilm formation activity was evaluated by quantitative crystal violet staining assay with slight modification [19]. Briefly, 100 μL of fresh inoculated MRSA in BHI broth (final concentration 1×106 CFU/mL) was aliquoted into each well in presence of MIC concentration of extract and tetracycline, also in concentration on synergistic combination. DMSO 0.5 % (v/v) was using as control. The microplate was incubated for a full day at 37 °C to initiate the process of biofilm formation. After incubation, the supernatant was removed, and the microplate was rinsed thoroughly with PBS (pH 7.3) and air-dried. To stain the formed biofilm, a 0.3 % aqueous solution of crystal violet was added, followed by incubation at 37 °C for 30 min. Thereafter, mix solution in microplate were removed and washed 3 times using PBS pH 7.3. Finally, as much as 200 μL of ethanol 96 % were added to solubilize the dye bound in every cell in microplate and incubated for 15 min in room temperature. The optical density at wavelength of 560 nm (OD560) was measured using Microplate reader (Thermo Scientific/Multiskan GO). This following formula conducted was used to calculate the percentage of biofilm formation in samples.


Bacteriolytic assay

This study was performed with a modest modification as reported by Septama et al. [20]. Bacteriolysis activity was analyzed which determined the degradation of cell membrane integrity allowed by measuring the loss of 260-nm absorbing materials and absorbance of crystal violet that was not bound on MRSA membrane. The bacterial suspensions were prepared in sodium chloride 0.9 % aqueous solution and adjusted to 04 of OD600. As much as 500 μL of bacterial suspensions were mixed with sample solution (extract alone (125 µg/mL for C. domestica and 250 µg/mL for C. xanthorrhiza) and combination of each extract with tetracycline (62.5 µg/mL C. domestica + 0.975 µg/mL tetracycline and 125 µg/mL C. xanthorrhiza + 1.95 µg/mL tetracycline) in Eppendorf Tube. Mixture solution centrifuged at 13,000 rpm for 1 h. As a negative control, the untreated cell suspension was employed. Supernatant was transferred into microplate to determine the Optical Density 260 nm using Microplate reader (Thermo Scientific/Multiskan GO). The precipitate was treated with crystal violet 0.001 % to stain the membrane cell of bacteria and the Optical Density 590 nm (OD590) was determined to find out how much crystal violet did not bind to the bacterial cell membrane. Thus, the percentage of crystal violet uptake in supernatant was counted using below equation:



Efflux pump inhibitor assay

This assay was performed to analyze the effect of efflux pump inhibitor from plant extracts on MRSA. Briefly, overnight bacterial cultures were inoculated into BHI broth and incubated with shaking at 120 rpm at 37 °C for 12 h. The bacterial cells were harvested by centrifugation at 3,000 rpm for 15 min, washed 3 times with PBS (pH 7.3), and resuspended in 0.9 % NaCl. The suspension was then adjusted to an OD600​ of 0.4. Briefly, 100 µL bacterial suspension was added into a 96-well black microplate containing each of 50 µL testing solution [21].

The plates were incubated at 37 °C for 15 min, after which and 50 µL EtBr (0.5 mg/L) was added to each assay well. Fluorescence was measured as Relative Fluorescence Unit (RFU) at an excitation wavelength of 530 nm and an emission wavelength of 600 nm. Measurements were recorded at 0, 5, 15 and 45 min to monitor accumulation.


Data analysis

The results of this study was presented as mean followed by standard deviation (SD). Statistical analysis was performed using ANOVA method followed by Tukey’s HSD post hoc test that performed by software IBM SPSS v.26. The different value of treated sample and control was considered by p value < 0.05.


Results and discussion

Antibacterial activity

Ethanolic extract of C. domestica possessed the potency against MRSA with MIC value of 125 µg/mL, while C. xanthorrhiza has MIC value 250 µg/mL. Tetracycline inhibited MRSA with MIC value 31.25 µg/mL (Table 1). This data indicated that both extracts had a moderate activity in suppressed the growth of selected bacterial resistance.


Table 1 MIC and MBC value of extracts and tetracycline against MRSA.

Samples

MIC (µg/mL)

MBC (µg/mL)

Ethanolic extract of C. domestica

125


> 250

Ethanolic extract of C. xanthorrhiza

250

500

Tetracycline

31.25

> 62.5


Synergistic effects of extracts and tetracycline against MRSA

As shown in Table 2, the combination of C. domestica extract and tetracycline produced a synergistic effect with FICI of ≤ 0.5. In this mixture the extract enabled to reduce MIC value of tetracycline against MRSA up to 1/32 MIC. On the other hand, interaction C. xanthorrhiza with tetracycline against MRSA showed additive effect (FICI 0.6). According to FICI value, combination of C. domestica with tetracycline against MRSA had a very potent activity to reduce the concentration of tetracycline by 32 times, so the dose of this antibiotic could be suppressed.


Table 2 Fractional inhibitory concentration of C. domestica and C. xanthorrhiza extract in combination with tetracycline against MRSA.

Samples

MIC a (µg/mL)

MIC c (µg/mL)

FICI

Interaction

Ethanolic extract of
C. domestica/ Tetracycline

125/31.25


62.5/0.98

0.5

Synergy

Ethanolic extract of
C. xanthorrhiza/ Tetracycline

250/31.25

125/1.95

0.6

Additive

Note: a = alone; c = combination


Molecular docking

Figure 1 indicates that curcuminoid compounds display notable affinity values within the protein responsible for inhibiting topoisomerase ATPase. According to molecular docking data, there are predictions about the biological effectiveness of curcuminoid compounds, the tetracycline compound, and natural ligands serving as positive benchmarks. These predictions pertain to their positions within the active site of the 3TTZ protein. The evaluation function employed to calculate binding affinities between ligands and receptors proves to be an effective gauge of binding robustness and durability. Elevated negative figures signify robust binding energy connections between the investigated compounds and the receptor. Among the curcuminoid compounds, computer simulations reveal that the bisdemethoxycurcumin compound possesses the highest binding affinity when compared to demethoxycurcumin and curcumin (Table 3)


Table 3 Docking score of curcuminoid inside toposimerase ATPase inhibitor active site and its surrounding amino acids and binding interactions.

No

Compound

ΔG (kcal/mol)

Ki (µM)

1

Curcumin

5.89

48.41

2

Demethoxycurcumin

6.21

27.94

3

Bisdemethoxycurcumin

6.79

10.61

4

2-[(3S,4R)-4-{[(3,4-dichloro-5-methyl-1H-pyrrol-2-yl)carbonyl]amino}-3-fluoropiperidin-1-yl]-1,3-thiazole-5-carboxylic acid (native ligand)

4.64

397.45

5

Tetracycline (positive control)

6.41

20.04






Figure 1 2D and 3D interaction of binding mode with 3TTZ enzyme; (a,b) represent the interaction of Curcumin with 3TTZ enzyme; (c,d) represent the interaction of Demetoxycurcumin with 3TTZ enzyme; (e,f) represent the interaction of Bisdemetoxycurcumin with 3TTZ enzyme; (g,h) represent the interaction of 2-[(3S,4R)-4-{[(3,4-dichloro-5-methyl-1H-pyrrol-2-yl)carbonyl]amino}-3-fluoropiperidin-1-yl]-1,3-thiazole-5-carboxylic acid (native ligand) with 3TTZ enzyme; (i,j) represent the interaction of Tetracycline with 3TTZ enzyme.




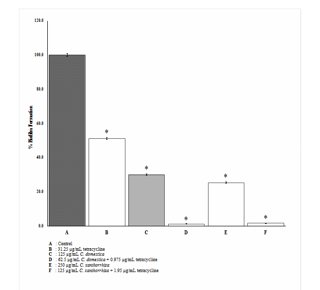
Anti-biofilm formation activity of the extracts

The result of antibiofilm activity in this study revealed a concentration-dependent reduction in biofilm formation. The combination of extract with tetracycline had the better activity compared with single dose of them. Percentage of biofilm formation in combination C. domestica (62.5 µg/mL) and tetracycline (0.975 µg/mL) was only 1.3 and 1.7 % when treated with combination C. xanthorrhiza (125 µg/mL) and tetracycline (1.95 µg/mL) (Figure 2).



Figure 2 Effect of combined C. domestica and C. xanthorrhiza extract with tetracycline on biofilm formation of Methicillin-resistant Staphylococcus aureus. The sign (*) indicated that the sample was significantly different from the untreated sample (p < 0.05).

Bacteriolytic assay

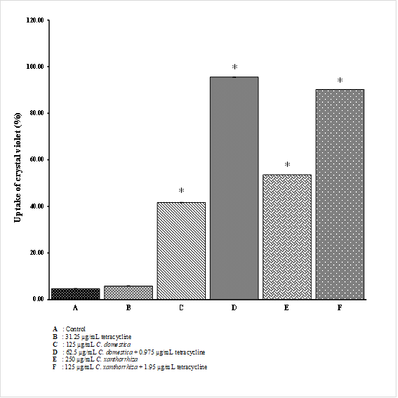
The activity of both extracts on the selected antibiotic-resistant bacteria was assessed by measuring cell membrane disruption, as indicated by the optical density (OD) at 260 nm, which reflects nucleic acid leakage from the cells. Additionally, the OD at 590 nm was measured to evaluate the amount of free crystal violet in the solution, indicating the extent of biofilm disruption. As the result, treatment with combination of each extract and tetracycline had a higher OD260 value and percentage uptake of crystal violet. OD260 value of single treated with C. domestica and C. xanthorrhiza ethanolic extracts was 0.245 and 0.408, respectively against MRSA (Figures 3 and 4). Treatment with tetracycline only gave a OD260 value of 0.039. Meanwhile, the OD260 results after administering a combination of each extract with tetracycline increased the absorbance to 0.986 for C. domestica and 1.037 for the combined effect with C. xanthorrhiza. Data analysis using ANOVA showed the results of test samples treated were significantly different compared to the control (p < 0.05).




Figure 3 Effect of combined C. domestica and C. xanthorrhiza extract with tetracycline on bacteriolysis activity on Methicillin-resistant Staphylococcus aureus (optical density 260 nm). The sign (*) indicated that the sample was significantly different from the untreated sample (p < 0.05).



Figure 4 Effect of combined C. domestica and C. xanthorrhiza extract with tetracycline on bacteriolysis activity on Methicillin-resistant Staphylococcus aureus (optical density 590 nm). The sign (*) indicated that the sample was significantly different from the untreated sample (p < 0.05)


Efflux pump inhibitor with EtBr accumulation assay

EtBr accumulation assay was used to confirm that 2 extracts directly inhibited efflux pump in MRSA. The ethanolic extract of C. domestica at concentration 125 µg/mL had a higher accumulation of EtBr in MRSA compared to the combination with tetracycline and single samples. In contrast, combination C. xanthorrhiza extract with tetracycline had higher accumulation than extract alone (Figures 5 and 6).


Figure 5 Effect of combined C. domestica extract with tetracycline in accumulation EtBr Methicillin-resistant Staphylococcus aureus.



Figure 6 Effect of combined C. xanthorrhiza extract with tetracycline in accumulation EtBr Methicillin-resistant Staphylococcus aureus.



Discussion

This current study showed the different MIC value of C. domestica and C. xanthorrhiza ethanolic extract. C. domestica has MIC value of 125 µg/mL and combination of C. domestica (62.5 µg/mL) and tetracycline (0.975 µg/mL) has a synergy interaction with FICI value 0.5. When used in conjunction with C. domestica ethanolic extract, the MIC value of tetracycline was decreased until 1/32 MIC. The data demonstrate that C. domestica exhibits potent activity against MRSA. On the other hand, ethanolic extract of C. xanthorrhiza has a moderate activity in treating MRSA with MIC value 250 µg/mL and additive interaction among C. xanthorrhiza (125 µg/mL) and tetracycline (1.95 µg/mL) with FICI value 0.6. The result of study that has been known, curcuma species contain any sesquiterpenes group compounds. Sesquiterpenes impact 2 critical bacterial mechanisms essential for survival: Oxygen absorption, which affects cellular respiration, and oxidative phosphorylation [22].

Negi et al. [23] studied the antibacterial activity of secondary metabolite in C. domestica. They reported that curlone and turmerone, compounds present in C. domestica, exhibited strong antibacterial activity against a wide range of microbes, including Bacillus subtilis, Bacilus cereus, Staphylococcus aureus, Pseudomonas aeruginosa, and Escherichia coli. The antibacterial activity of C. domestica is reported to be due to the presence of curcuminoids, tumerol, curcumins, veleric acid, essential oil and turmeric oil [24]. Whereas in C. xanthorrhiza ethanolic extract, numerous active compounds has been isolated and identified, including curcuminoids, terpenoids, and other phenolic compounds. The antibacterial capability of this extract is possibly due to its phenolic compounds content particularly curcuminoid and xanthorrhizol as the main ingredient. By changing the permeability of the cell, the phenolic compounds have been shown to have an inhibitory effect on the cell walls or membrane of bacteria [25]. As the study by Górniak et al. [26], phenol and polyphenol compounds has the complex on antibacterial action, such as instability of the plasma membrane and block the channel of extracellular enzymes. Due to their different mechanism from conventional antibiotics, plants that are rich in these compounds would be taken into consideration as a possible treatment for antibiotic resistance.

Additive or synergistic effects of 2 compounds together can increase their pharmacological activity. This might be because several compounds occupied the same target site or controlled different sites of action to provide the same effect, which would elevate biological activity [27]. It has been known the different components may influence the various targets in diverse pathways inside the cells in the case of each combination of C. domestica and C. xanthorrhiza with tetracycline against MRSA. Mechanism of tetracycline is known by attaching bacterial ribosome and engaged with 30S subunit ribosome binding site [22]. The presence of secondary metabolites in plants with several effects on bacteria, provides access for tetracyclines to enter and occupy their sites of action. The combination of natural compound with antibacterial activity that contained in C. domestica and C. xanthorrhiza with tetracycline, could offer the ability of extract to boost tetracycline’s antibacterial efficacy against MRSA.

The addition in inhibiting MRSA growth also can be done by targeting topoisomerase, which relaxes supercoiled DNA. In order to analyzed this mechanism, the molecular docking study, using DFT method was performed to ascertain the binding mode of curcuminoids compounds for the target enzymes, accomplished using X-ray crystal structure of DNA gyrase (PDB: 3TTZ).

The binding affinity of bisdemethoxycurcumin within its active site reaches a peak at −6.79 kcal/mol, surpassing the tetracycline, which stands at −6.41 kcal/mol. This particular bisdemethoxycurcumin compound achieves a favorable docking score at the active site of the 3TTZ protein by creating hydrogen bonds with Glu100, Gln151, and Asp161 residues. Each compound showcases distinct non-binding interactions that contribute to the stability of the coordination bond. The molecule with the strongest affinity predominantly engages in hydrogen bonding at the active site of the 3TTZ receptor within the topoisomerase ATPase enzyme. This hydrogen bond interacts with specific residues featuring hydroxyl chemical groups at the active site. Additionally, this interaction is surrounded by unbound amino acids, effectively depicting the mode through which curcuminoid binds with the 3TTZ enzyme.

Previous research by Jantan et al. [28] has succeeded in isolating curcuminoid compounds from C. domestica and C. xanthorrhiza rhizome. The results from fractionation using vacuum liquid chromatography showed that 14 g of C. domestica methanolic extract obtained 500 mg curcumin (3.6 %), 200 mg demethoxycurcumin (1.4 %), and 300 mg bisdemethoxycurcumin (2.1 %). Meanwhile, from 14 g of C. xanthorrhiza methanolic extract obtained 300 mg curcumin (2.3 %), 250 mg demethoxycurcumin (1.9 %), and 100 mg bisdemethoxycurcumin (0.8 %). C. domestica extract had a higher bisemethoxycurcumin content compared to C. xanthorrhiza, this may contribute to their differential activity in inhibiting MRSA growth.

MRSA has a virulence factor which is, it can produce biofilm to prevent foreign compounds in penetrating the bacterial cell wall. Biofilm are highly resistant to the human immune system and medications, so the presence of biofilms can cause chronic, persistent, even recurrent infections [29]. Exopolysaccharide-protected bacteria in biofilms are up to 1,000 times are more resistant to antibiotics than planktonic cells [30]. Resistance of biofilm is due to several reasons, like restricted diffusion of antibiotics into biofilm matrix, overexpression of efflux pumps, and decreased permeability of membrane bacteria [31].

This present study showed a very potential activity from combination of each both extracts with tetracycline. The biofilm that formed in the treatment with the combination of each extract with tetracycline only ranged from 1.3 - 1.7 %. Inhibition of biofilm formation was dose-dependent. As studied by Vikram et al. [32], who reported that flavonoid compounds such as quercetin, kaempferol, naringenin, and apigenin can inhibit the activity of the autoinducer-2 responsible for cell-to-cell communications thus capable of reducing biofilm synthesis. So, the presence of flavonoid can be used to explain the inhibition of biofilm formation. Other secondary metabolites, such as the polyphenolic extract from Rosa rugose tea, the methanolic fraction of Zingiber officinale, or other leaf extracts, were also shown to have an inhibitory effect on the formation of QS and biofilms [33].

In order to determine the activity of combined effect with tetracycline, also observed the bacteriolytic activity on selected bacteria, namely MRSA. The bacterial membrane function as a structural component that can be influenced by the presence of several antibacterial compounds. Leakage of cytoplasmic components is an indication of damage to the bacterial cytoplasmic membrane. Therefore, the release of intracellular components is a good indicator for measuring the integrity of bacterial membrane. Small ions, such as potassium and phosphate, tend to break down first, followed by the release of large molecules, such as DNA, RNA and other materials. This nucleotide has strong UV absorption at 260 nm and is thus described as a compound that can absorb energy at a wavelength of 260 nm [34].

The other bacteriolysis assay present in this study was to calculate the percentage uptake of crystal violet. The percentage uptake of crystal violet from treated sample with a combination of extract and tetracycline also gave higher results than single treated with extract against MRSA. Crystal violet can attach to the bacterial cell membrane. When the bacterial cell membrane was damaged, crystal violet will be concentrated in the supernatant and indicated the high percentage uptake of crystal violet. It’s probable there are any different target site of action from C. domestica and C. xanthorrhiza compared with tetracycline. Secondary metabolite that are contained in these extracts, such as flavonoids, have a mechanism on increasing the permeability of cell membranes. Indirectly, tetracycline can penetrate into cells and eventually become established inside the cell and also occupy the target of action whenever the permeability of the cell membrane is disrupted [35].

Ethidium bromide was used as an indicator to analyze efflux pump inhibitor activity. The resistance mechanism of EtBr has been known due to the presence of efflux pumps. EtBr will be fluorescent when intercalates with DNA in cells. The low fluorescence value indicates that only a few compounds in extract had an effect on inhibiting the efflux pump, thus only a few of EtBr can enter into cells and produce fluorescence and vice versa [36]. In this study, efflux pump inhibition was assessed indirectly by evaluating the overall activity of efflux pump systems in the MRSA strains, rather than targeting a specific efflux pump protein. The focus was to measure the inhibition of efflux activity using fluorescence accumulation assays. The MRSA strains used in this study naturally harbor efflux pumps, including, but not limited to, members of the major facilitator superfamily (MFS) [37].

Other essential oils, as volatile compounds, have been analyzed for their antibacterial activity, which includes disruption of cellular architecture, impairment of plasma membrane integrity leading to increased permeability, and disturbance of the proton pump [38]. The monoterpenes including menthol, geraniol and thymol had effect on Gram positive also on Gram negative bacteria [39]. The action on this strain was based on their ability to inhibit the efflux pump [40]. Based on the mechanism of action of the terpene group compounds, C. domestica and C. xanthorrhiza ethanolic extract probably have the same antibacterial mechanism considering that these plant extracts are rich in essential oils, and most of which are terpene derivative compounds also. The results of this study are also supported by previous research which states that natural compounds such as coumarin and curcumin also can inhibit the NorA and Tetk efflux pumps found in S. aureus [41].

The ability of these natural compounds to inhibit the efflux pumps in bacteria can help antibiotics constantly in sufficient concentration until they reach their site of action to eradicate pathogenic bacteria. Thus, the synergistic combination of plant extracts with antibiotics has proven to be useful in the treatment of bacterial infections and also to overcome the problem of drug resistance, although in vivo testing is still needed to confirm the efficacy and toxicity of these extracts. Therefore, the combination of natural antibacterial compounds with antibiotics is one approach that can be taken to reduce the dose of antibiotics consumed and is expected to solve the problem of resistance globally.


Conclusions

In conclusion, these findings indicate that extracts from Curcuma species can inhibit bacterial resistance mechanisms and also inhibit the topoisomerase ATPase enzyme which is essential in bacterial growth. Additionally, the use of plant extracts in combination with antibiotics may be effective in treating infectious bacterial diseases and reducing drug resistance problems, although clinically controlled studies are needed to confirm efficacy and potential side effects. Combining antimicrobial compounds with antibiotics is an alternative strategy to reduce the dose of antibiotic consumption and ultimately is expected to overcome the problem of resistance globally.


Acknowledgements

Authors are very grateful for the research funding assistance that has been provided by TALENTA with contract number 11119/UN5.1.R/PPM/2022 which is under the auspices of Universitas Sumatera Utara, Indonesia. We also express our deepest gratitude for the time and facilities provided by National Research and Innovation Agency so that this research could be carried out.


References

  1. BM Aiesh, MA Nazzal, AI Abdelhaq, SA Abutaha, SH Zyoud and A Sabateen. Impact of an antibiotic stewardship program on antibiotic utilization, bacterial susceptibilities, and cost of antibiotics. Scientific Reports 2023; 13(1), 5040.

  2. MA Abushaheen, AJ Fatani, M Alosaimi, W Mansy, M George, S Acharya, S Rathod, DD Divakar, C Jhugroo, S Vellappally, AA Khan, J Shaik and P Jhugroo. Antimicrobial resistance, mechanisms, and its clinical significance. Diseasea-Month 2020; 66(6), 100971.

  3. KMG O’Connell, JT Hodgkinson, HF Sore, M Welch, GPC Salmond and DR Spring. Combating multidrug-resistant bacteria: Current strategies for the discovery of novel antibacterials. Angewandte Chemie International Edition 2013; 52(41), 10706-10733.

  4. MS Meah, M Lertcanawanichakul, P Pedpradab, W Lin, K Zhu, G Li and P Panichayupakaranant. Synergistic effect on anti-methicillin-resistant Staphylococcus aureus among combinations of α-mangostin-rich extract, lawsone methyl ether and ampicillin. Letters in Applied Microbiology 2020; 71(5), 510-519.

  5. AW Septama and P Panichayupakaranant. Synergistic effect of artocarpin on antibacterial activity of some antibiotics against methicillin-resistant Staphylococcus aureus, Pseudomonas aeruginosa, and Escherichia coli. Pharmaceutical Biology 2016; 54(4), 686-691.

  6. N Vaou, E Stavropoulou, C Voidarou, C Tsigalou and E Bezirtzoglou. Towards advances in medicinal plant antimicrobial activity: A review study on challenges and future perspectives. Microorganisms 2021; 9(10), 2041.

  7. H Itokawa, Q Shi, T Akiyama, SL Morris-Natschke and KH Lee. Recent advances in the investigation of curcuminoids. Chinese Medicine 2008; 3, 11.

  8. S Hadi, AN Artanti, Y Rinanto and DSC Wahyuni. Curcuminoid content of Curcuma longa L. and Curcuma xanthorrhiza rhizome based on drying method with NMR and HPLC-UVD. IOP Conference Series: Materials Science and Engineering 2018; 349(1), 012058.

  9. SY Teow, K Liew, SA Ali, ASB Khoo and SC Peh. Antibacterial action of curcumin against Staphylococcus aureus: A brief review. Journal of Tropical Medicine 2016; 2016(1), 2853045.

  10. Yuandani, I Jantan, AS Rohani and IB Sumantri. Immunomodulatory effects and mechanisms of Curcuma species and their bioactive compounds: A review. Frontiers in Pharmacology 2021; 12, 643119.

  11. P Panichayupakaranant, AW Septama and A Sinviratpong. Synergistic activity of lawsone methyl ether in combination with some antibiotics and artocarpin against methicillin-resistant Staphylococcus aureus, Candida albicans, and Trychophyton rubrum. Chinese Herbal Medicines 2019; 11, 321-325.

  12. P Wayne. Performance standards for antimicrobial susceptibility testing. 28th ed. Clinical and Laboratory Standards Institute, Pennsylvania, United States, 2018.

  13. G Aktas. In vitro synergistic effect of vancomycin combined with daptomycin against vancomycin-resistant enterococci. Microbial Drug Resistance 2019; 25(10), 1484-1489.

  14. KEN Milne and IM Gould. Combination antimicrobial susceptibility testing of multidrug-resistant Stenotrophomonas maltophilia from cystic fibrosis patients. Antimicrobial Agents and Chemotherapy 2012; 56(8), 4071-4077.

  15. J Eberhardt, D Santos-Martins, AF Tillack and S Forli. AutoDock Vina 1.2.0: New docking methods, expanded force field, and python bindings. Journal of Chemical Information and Modeling 2021; 61(8), 3891-3898.

  16. F Stanzione, I Giangreco and JC Cole. Use of molecular docking computational tools in drug discovery. Progress in Medicinal Chemistry 2021; 60, 273-343.

  17. FA Ikwu, Y Isyaku, BS Obadawo, HA Lawal and SA Ajibowu. In silico design and molecular docking study of CDK2 inhibitors with potent cytotoxic activity against HCT116 colorectal cancer cell line. Journal of Genetic Engineering and Biotechnology 2020; 18(1), 51.

  18. S Dallakyan and AJ Olson. Small-molecule library screening by docking with PyRx. Chemical Biology: Methods and Protocols 2015; 1263, 243-250.

  19. AW Septama, AN Tasfiyati, R Kristiana and A Jaisi. Chemical profiles of essential oil from Javanese turmeric (Curcuma xanthorrhiza Roxb.), evaluation of its antibacterial and antibiofilm activities against selected clinical isolates. South African Journal of Botany 2022; 146, 728-734.

  20. AW Septama, J Xiao and P Panichayupakaranant. A synergistic effect of artocarpanone from Artocarpus heterophyllus L. (moraceae) on the antibacterial activity of selected antibiotics and cell membrane permeability. Journal of Intercultural Ethnopharmacology 2017; 6(2), 186-191.

  21. L Paixão, L Rodrigues, I Couto, M Martins, P Fernandes, CCCR de Carvalho, GA Monteiro, F Sansonetty, L Amaral and M Viveiros. Fluorometric determination of ethidium bromide efflux kinetics in Escherichia coli. Journal of Biological Engineering 2009; 3, 18.

  22. DF Pancu, A Scurtu, IG Macasoi, D Marti, M Mioc, C Soica, D Coricovac, D Horhat, M Poenaru and C Dehelean. Antibiotics: Conventional therapy and natural compounds with antibacterial activity a pharmaco-toxicological screening. Antibiotics 2021; 10(4), 401.

  23. PS Negi, GK Jayaprakasha, L Jagan Mohan Rao and KK Sakariah. Antibacterial activity of turmeric oil a byproduct from curcumin manufacture. Journal of Agricultural and Food Chemistry 1999; 47(10), 4297-4300.

  24. JO Momoh, AA Manuwa and YO Bankole. Phytochemical screening, atomic absorption spectroscopy, GC-MS and antibacterial activities of turmeric (Curcuma longa L.) rhizome extracts. Journal of Advances in Microbiology 2022; 22(9), 116-131.

  25. E Rahmat, J Lee and Y Kang. Javanese turmeric (Curcuma xanthorrhiza Roxb.): Ethnobotany, phytochemistry, biotechnology, and pharmacological activities. Evidence‐Based Complementary and Alternative Medicine 2021; 2021(1), 9960813.

  26. I Górniak, R Bartoszewski and J Króliczewski. Comprehensive review of antimicrobial activities of plant flavonoids. Phytochemistry Rreviews 2019; 18(1), 241-272.

  27. Y Yang, Z Zhang, S Li, X Ye, X Li and K He. Synergy effects of herb extracts: Pharmacokinetics and pharmacodynamic basis. Fitoterapia 2014; 92, 133-147.

  28. I Jantan, FC Saputri, MN Qaisar and F Buang. Correlation between chemical composition of Curcuma domestica and Curcuma xanthorrhiza and their antioxidant effect on human low-density lipoprotein oxidation. Evidence-Based Complementary and Alternative Medicine 2012; 2012, 438356.

  29. SS Grant and DT Hung. Persistent bacterial infections, antibiotic tolerance, and the oxidative stress response. Virulence 2013; 4(4), 273-283.

  30. TB Rasmussen and M Givskov. Quorum-sensing inhibitors as anti-pathogenic drugs. International Journal of Medical Microbiology 2006; 296(2-3),149-161.

  31. MN Alekshun and SB Levy. Molecular mechanisms of antibacterial multidrug resistance. Cell 2007; 128(6), 1037-1050.

  32. A Vikram, GK Jayaprakasha, PR Jesudhasan, SD Pillai and BS Patil. Suppression of bacterial cell-cell signaling, biofilm formation and type III secretion system by citrus flavonoids. Journal of Applied Microbiology 2010; 109(2), 515-527.

  33. L Lu, W Hu, Z Tian, D Yuan, G Yi, Y Zhou, Q Cheng, J Zhu and M Li. Developing natural products as potential anti-biofilm agents. Chinese Medicine 2019; 14(1), 11.

  34. D Wang, W Zhang, T Wang, N Li, H Mu, J Zhang and J Duan. Unveiling the mode of action of 2 antibacterial tanshinone derivatives. International Journal of Molecular Sciences 2015; 16(8), 17668-17681.

  35. MS Moghadam, S Maleki, E Darabpour, H Motamedi and SMS Nejad. Antibacterial activity of eight Iranian plant extracts against methicillin and cefixime resistant Staphylococcus aureus strains. Asian Pacific Journal of Tropical Medicine 2010; 3(4), 262-265.

  36. A Lamut, L Peterlin Mašič, D Kikelj and T Tomašič. Efflux pump inhibitors of clinically relevant multidrug resistant bacteria. Medicinal Research Reviews 2019; 39(6), 2460-2504.

  37. M Lekshmi, P Ammini, J Adjei, LM Sanford, U Shrestha, S Kumar and MF Varela. Modulation of antimicrobial efflux pumps of the major facilitator superfamily in Staphylococcus aureus. AIMS Microbiology 2018; 4(1), 1-18.

  38. NY Saad, CD Muller and A Lobstein. Major bioactivities and mechanism of action of essential oils and their components. Flavour and Fragrance Journal 2013; 28(5), 269-279.

  39. NA Mahizan, SK Yang, CL Moo, AAL Song, CM Chong, CW Chong, A Abushelaibi, SHE Lim and KS Lai. Terpene derivatives as a potential agent against antimicrobial resistance (AMR) pathogens. Molecules 2019; 24(14), 2631.

  40. V Lorenzi, A Muselli, AF Bernardini, L Berti, JM Pages, L Amaral and JM Bolla. Geraniol restores antibiotic activities against multidrug-resistant isolates from gram-negative species. Antimicrobial Agents and Chemotherapy 2009; 53(5), 2209-2211.

  41. G Kumar and AK Tudu. Tackling multidrug-resistant Staphylococcus aureus by natural products and their analogues acting as NorA efflux pump inhibitors. Bioorganic & Medicinal Chemistry 2023; 80(1), 117187.