Start Bootstrap Logo
Synthesis of Patterned Media by self-assembly of magnetic nanoparticles

Trends Sci. 2025; 22(6): 9686

Can Artificial Intelligence and Machine Learning Predict the Performance of Nano-based Drilling Fluids? A Review


Moamen Gasser1,2, Mostafa M. Abdelhafiz3, Taha Yehia1,

Hossam Ebaid1, Nathan Meehan1 and Omar Mahmoud4,*


1Harold Vance Department of Petroleum Engineering, Texas A&M University, College Station,

Texas 77843-3116, United States

2Ignis H2 Energy, Texas 77042, United States

3Institute for Final Disposal Research, Clausthal University of Technology, Clausthal-Zellerfeld 38678, Germany

4Department of Petroleum Engineering, Faculty of Engineering and Technology, Future University in Egypt,

Cairo 11835, Egypt


(*Corresponding author’s e-mail: [email protected])


Received: 1 January 2025, Revised: 26 February 2025, Accepted: 5 March 2025, Published: 1 April 2025


Abstract

Drilling fluids play a crucial role in the control and functionality of oil and gas well operations. Continuous monitoring, enhancement, and optimization of their properties are essential for successful drilling processes. Recently, a variety of additives, including nanoparticles (NPs) and novel polymers, have been introduced to modify and improve the performance of drilling fluids, addressing the emerging challenges in the field. The behavior of these fluids can change over time or under extreme drilling conditions, necessitating the use of predictive models to optimize their properties, particularly their rheological characteristics. In the past decade, there has been a growing trend of developing new models and correlations through artificial neural networks (ANN) and machine learning (ML) techniques within the petroleum industry. These methods enable the development of mathematical formulas that can predict the behavior of specific parameters based on known variables. Compared to traditional models, ANN and ML offer enhanced reliability and accuracy in predicting drilling fluid properties. This review aims to provide a comprehensive overview of the latest applications and mechanisms of various additives, with a particular focus on NPs, in drilling fluids. Additionally, it highlights the valuable insights and advancements in using ANN and ML techniques to predict and optimize the behavior of drilling fluids, which could pave the way for innovative applications and more efficient utilization of these technologies.

Keywords: Drilling fluids, Nanoparticles, Novel additives, Artificial intelligence, Machine learning


Nomenclature

AAPE

=

Average absolute percentage error

AARE

=

Average absolute relative error

AI

=

Artificial intelligence

AdaBoost

=

Adaptive gradient boosting

ANN

=

Artificial neural networks

ARE

=

Average relative error

AV

=

Apparent viscosity

COA

=

Cuckoo optimization algorithm

DT

=

Decision tress

ECD

=

Equivalent circulation density

FCNN

=

Fully connected neural networks

HTHP

=

High pressure high temperature

GB

=

Gradient boosting

GS

=

Gel strength

gel-10 s

=

Initial gel strength at 10 s

gel-10 min

=

Final gel strength at 10 min

k

=

Consistency index

KNN

=

K-nearest neighbors regressor

LTLP

=

Low temperature low pressure

MAE

=

Mean absolute error

MAPE

=

Mean absolute percentage error

MELM

=

Multilayer extreme learning machine

MSE

=

Mean square error

ML

=

Machine learning

n

=

Flow behavior index

NPs

=

Nanoparticles

OBM

=

Oil-based mud

PAR

=

Passive aggressive regressor

PE

=

Processing element

PSO

=

Particle swarm optimization

PV

=

Plastic viscosity

R

=

Coefficient of correlation

RD

=

Relative deviation

RF

=

Random forest

RMSE

=

Root mean square error

RSS

=

Residual sum of squares 

SBM

=

Synthetic-based mud

SD


Standard deviation

SVM

=

Support vector machines

WBM

=

Water-based mud

XRF

=

X-ray fluorescence

XGB

=

Extreme gradient boosting

YP

=

Yield point


Introduction

Drilling fluids, also known as drilling muds, are essential in oil and gas drilling operations. They perform several critical functions, including cooling and lubricating the drill bit, carrying drill cuttings to the surface, maintaining pressure control, and stabilizing the wellbore [1,2]. Drilling fluids can be divided into 2 main categories [1]; the liquid-based fluids which are the most common and the gas-based fluids which are rarely used. There are 3 main different types of the commonly used liquid-based drilling fluids; water-based mud (WBM), oil-based mud (OBM), and synthetic-based mud (SBM). The selection of suitable drilling fluid depends mainly on the performance, the cost, and the environmental impact. WBMs are well known for their lower cost than the OBMs and SBMs, their better impact on the environment, and better chemical solubility [3,4]. However, some of their disadvantages are that they might cause problems with the wellbore stability, hydrate the clay formations, and less lubricity than the OBMs. The properties of these fluids - such as rheology, viscosity, filtration, thermal stability, and density - must be continuously monitored and optimized to ensure the efficiency and safety of drilling operations[5-7]. As industry advances, the increasing complexity of reservoirs and drilling environments presents new challenges that require more sophisticated solutions for fluid performance.

In response to these challenges, a variety of additives have been introduced to enhance the properties of drilling fluids. Among the most promising are nanoparticles (NPs) and novel polymers, which offer the potential to improve the rheological, mechanical, and thermal characteristics of drilling fluids. These advanced additives allow for better fluid control under harsh drilling conditions, such as extreme temperatures, pressures, and aggressive chemical environments. However, the behavior of drilling fluids can change over time due to the dynamics of the reservoir or variations in operational parameters. Therefore, effective monitoring and optimization strategies are required to predict and manage these changes.

Several mathematical models are used in describing the non-Newtonian rheological behavior of drilling fluids. Rheological models, such as Power Law, Hershel-Buckley, Casson, and Bingham Plastic models [6,8-10]. A proper model must be selected accurately to illustrate the shear stress/shear rate relationship of the drilling fluids. Over the past decade, there has been a noticeable trend in utilizing artificial intelligence (AI) techniques, such as artificial neural networks (ANN) and machine learning (ML), in the petroleum industry to predict and optimize the behavior of drilling fluids field [11,12]. These data-driven approaches are increasingly replacing traditional models by offering more reliable and accurate predictions of fluid properties based on known parameters [13,14]. By developing mathematical formulas through ANN and ML, it is possible to predict the behavior of drilling fluids under various conditions, which can greatly enhance operational efficiency and decision-making.

This paper aims to present a comprehensive review of the latest advancements in drilling fluid additives, particularly focusing on NPs, and the role of advanced computational techniques in optimizing fluid behavior. Furthermore, the review explores the growing importance of ANN and ML in predicting the performance of drilling fluids and discusses their potential for future applications. Ultimately, this paper seeks to highlight the synergistic effects of innovative additives and predictive modeling techniques, which can pave the way for more efficient, cost-effective, and sustainable drilling operations.


Nanoparticle applications as drilling fluid additives

The drilling fluids are non-Newtonian fluids which means that their viscosities are directly impacted by shear rate. In other words, shear dominates most of the viscosity related functions of drilling fluids. Hence, the sheer viscosity of drilling fluids is the property that is most tracked and optimized. Four viscosity-related parameters are usually measured and optimized for drilling fluid which are plastic viscosity (PV), apparent viscosity (AV), yield point (YP), and gel strength (GS).

According to the standard protocol (API RP 13B-1, 2003), AV is one-half of the dial reading at 600 rpm (1,022 s−1 shear rate) using a direct-indicating, rotational viscometer [5,6]. PV contingent on the solid content size, shape, and distribution and the friction between the inert solids. Minimum PV is always required to save the energy used by the mud pumps to circulate the drilling fluid, reduce losses that occurs due to excrescent equivalent circulation density (ECD) that may fracture the formation, and increase the rate of penetration required [7].

YP is an indication of the ability of the drilling fluids to lift the cutting to the surface. However, high YP can cause high frictional losses which will lead to high ECD. In large diameter wells high YP is regularly used for efficient hole cleaning. In addition, low YP may cause drilled cuttings and barite sag.

GS shows the capability of drilling fluids to suspend the solids and the cuttings cutting in times of no circulation. In other words, GS is the shear stress at very low shear rate after the drilling fluids were allowed to rest for a period. There are 2 types of GS, which are the initial GS or (gel-10 s) and the final GS or (gel-10 min). Both initial and final GS are measured based on the abovementioned protocols by stirring the fluid at high speed then allowing it to rest for 10 s and 10 min, respectively. The maximum value the knob reached at low speed (usually 3 rpm) after the resting time is observed and recorded as initial and final GS.

Recently, the oil industry is giving nanotechnology growing interest and expectations. NPs opened the door to the development of nano-fluids that can be used for drilling [15,16], production, and well stimulation applications. The optimistic performance of NPs can be attributed to their tiny sizes and their extraordinarily massive surface area to volume ratio. Nanotechnology might play an important role in all the aspects of the petroleum industry. NPs are key factors in the coming developments as they are friendly to the environment, more efficient and used in small quantities so they are less expensive materials. Many applications of NPs are still in the laboratory and research phases; however, their significant impact might fast their field applications. Different types of NPs have been investigated as rheological property controllers, fluid loss reducers, and shale stabilizers in many drilling fluid applications [17-19] brief discussion about the most valuable findings in the field of using them as drilling fluid property modifiers will be summarized herein.

In 2011, Amanullah et al. [20] formulated and investigated 3 nano-based drilling fluids. It was noticed that without using chemical additives it was difficult to stabilize the NPs in the drilling fluid. To reach a stabilize and homogeneous nanofluid, highly effective surfactants or polymers with high neutralizing capabilities were used. Further, Jung et al. [21] examined the rheological behavior of 5 wt. % bentonite drilling fluids containing ferric oxide NPs of 3 and 30 nm at different temperatures (20 - 200 °C) and pressures (1 - 100 atm). The results revealed an increase in the yield stress and viscosity by increasing the concentration of NPs. Later, Abdo and Haneef [22] produced and tested a new type of clay NPs that is mainly composed of montmorillonite. The drilling fluid formulated using this clay NPs with bentonite was found to have low viscosity and high GS at high pressure/high temperature conditions.

Ferric oxide NPs can maintain optimal rheological properties, reducing the filtration, and forming thin/low-permeable filter cake when used at small concentrations. Further, a custom-made magnetic iron oxide and iron oxide clay hybrid NPs were found to be able to improve the properties of bentonite-based and low solid content bentonite based drilling fluids under downhole conditions [23-28]. Moreover, a combination of Multi-Walled Carbon Nanotube (MWCNT) and nano silica, which showed improvements in PV, YP and GS of the drilling fluid as well as a fluid loss reduction lubricity and shale inhibition at temperatures up to 250 °F and pressures up to 500 Psi [29,30]. The fluids having NPs showed no phase-separation unlike the base-fluid that suffered from sagging effect and had 2 visible separate layers of fluids Figure 1 [31,32].

According to Aftab et al. [33], Zinc oxide NPs-acrylamide composite enhanced the lubricity of the WBM by 25 % as well as slightly increased the rheological properties (AV, YP, GS) of the treated fluids. Nizamani et al. [34] investigated a drilling fluid having titania-bentonite based nanocomposite as an additive at low (80 °F) and high (150 °F) temperatures. The base mud met the required operating values at 80 °F but it failed to meet them at 150 °F. Addition of titania-bentonite nanocomposite showed an improvement in the rheological properties as the AV, YP, GS increased by 19, 64 and 40 %, respectively. The addition of 1 g of titania nanocomposite at 150 °F helped in maintaining the rheological properties of the fluid at the correct operating values.



Figure 1 Sagging effect of the prepared drilling fluid after 3 weeks (a) without any additives and (b) with NPs [31].




Adding Fe2O3 NPs at small concentration yielded better rheological and filter cake characteristics of bentonite-based drilling fluids. However, the addition of silica NPs decreased the YP but showed better rheological stability [35-38]. Also, adding 0.05 vol % silica dioxide NPs can reduce the power consumption by up to 27 % [39]. It was also reported that the surface charge of NPs and their stability in suspension played a key role in NPs’ dynamics with the other drilling fluid additives as revealed from zeta potential measurements. Moreover, the effect of using different types of NPs (Fe2O3, Fe3O4, ZnO and SiO2) with a bentonite-based drilling fluid was evaluated [40]. A thorough discussion about the interaction of NPs with bentonite was presented in this study. Figure 2 shows the embedding of iron oxide NPs in the randomly formed pore structure on the surface of bentonite particles and the weak edge-to-edge platelet structure in the case of using SiO2 NPs at elevated temperatures



Figure 2 Schematic illustration shows the embedding of iron oxide NPs (Fe2O3 or Fe3O4) in the randomly formed pore structure on the surface of bentonite particles and the weak edge-to-edge platelet structure in the case of using SiO2 NPs at the elevated temperatures [35].


Al2O3, CuO, SiO2 and MgO NPs were examined at different concentrations and conditions with WBM [41-43]. The addition of NPs increased the GS with the best performance when adding higher concentration of CuO. However, increasing the concentration of Al2O3 and MgO decreased the gelation. Adding NPs were also reported to improve YP and PV at the studied conditions [41]. In 2018 a new type of NPs (Yttrium oxide, Y2O3) was introduced to be used as a drilling fluid additive at low and high pressure/temperature conditions [44]. It was found that the PV, YP, and GS increased with the increase in the concentrations of NPs at ambient temperature and pressure. It was also noticed that they decreased with the increase in temperature but with different reduction percentages. Further, WBM that doesn’t contain any NPs produced a very high shear thinning behavior and lost its viscosity and the ability to suspend cuttings. However, the mud treated with NPs was found to be more stable under high pressure and temperature with neither high thinning shear behavior nor high thickening shear behavior. Optimum concentration of Yttrium oxide NPs was reported to be 2.5 g [44].

It was found that with the increase in the concentration of the ZnO nanowires the reduction rate of density with the increase in the temperature becomes smaller. Using the same concept, the rate of reduction in the fluid viscosity with the increase in temperature was found to be decreasing with the increase of the ZnO nanowires concentration [45]. Later, Aramendiz et al. [46] checked both SiO2 and Graphene-NPs (GNPs). A significant improvement in the filtration properties were observed when using a mixture of 0.5 wt. % of SiO2 and 0.25 wt. % of GNPs with a neglect effect on the spurt loss, PV, and YP. However, the GNPs samples yielded higher gel strength compared to the fluids containing SiO2 NPs. adding graphene oxide NPs enhanced the stability of both fresh water and saline water in the saline environment [47]. In addition, nano graphene the thermal stability and the shale swelling properties of the salt polymer WBM at High Temperature High Pressure (HTHP) conditions [48].

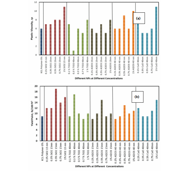
Later, NPs-based KCL-Polymer drilling fluid was formulated and examined based on the rheological and filtration characteristics. The impact of 4 different types of NPs with one of them having 2 particle sizes had been tested at 5 different concentrations. Based on the rheological properties of the tested nano-based fluids, higher NPs-concentrations (greater than 0.5 wt. %) were found to negatively affect the properties of KCL-Polymer mud because of the agglomeration of the excessive NPs. Adding 0.3 wt. % of nanotitanium, nanoaluminium-15 nm, and copper oxide NPs were found to cause a reduction in the PV of drilling fluid by 72, 10, and 10 %, respectively. On the other hand, using both nanosilica and nanoaluminium-40 nm increased the PV. Nanotitanium at 0.3 wt. % showed an increase of 30 % in the YP compared to the base-fluid, which implies less solids sagging and higher drilled cuttings carrying capacity. An increase in the GS was observed when using any concentration of nanosilica with the highest at NPs’ concentration of 0.7 wt. %, which caused an increase in gel-10 s and gel-10 min by 26 and 38 %, respectively. However, all the other NPs at the same concentration were found to have minimal or no effect on gel strength. Figure 3 shows the effect of NPs on the PV and YP of the KCl-Polymer mud [19]. Moreover, silicon oxide can improve the rheological properties, lubricity and colloidal stability of the OBM [49].

The impact of different NPs (Al2O3, TiO2 and CuO) on the rheological and filtration properties of WBM was investigated [50-52]. Cellulose nanofibers cellulose nanocrystals and different factors like flow rate, rheological properties, and hole size were studied in parametric research to explain their effect on the efficiency of cutting transport and hole cleaning [53-55]. Moreover, the influence of dual-functionalized cellulose nanocrystals on the toxicity, thermal tolerance, rheological and filtration properties of bentonite based drilling fluids have been investigated under variant temperatures [56]. The results revealed that NPs can be used as a promising additive to improve rheological behavior. In addition, using NPs has improved hole cleaning efficiency. The abovementioned study showed both the size of the cuttings, and the rheological properties have the largest effect on the hole cleaning efficiency. On the other hand, when the rheological properties were elevated the effect of the flow rate was minimal. Furthermore, especially in holes with big diameters, the addition of NPs enhanced the cleaning of the wellbore significantly regardless of the cutting sizes. Recently, Aftab et al. [57] showed that WBM treated with titania-bentonite nanocomposite has improved lubricity at different temperatures.


Figure 3 Impact of NPs on the (a) PV and (b) YP of the KCl-Polymer mud [19].


In 2021 the addition of synthetic zinc oxide NPs to WBM was investigated at 25 [58], 40, and 80 °C [59]. At 40 °C and 0.1 wt % concentration the YP and gel-10 s have increased by 61.54 and 125 %, respectively. While, at elevated temperatures the lower NPs concentrations show better enhancements for the rheological properties. Also, 0.05 wt. % concentration of ZnO NPs showed an increase of 60 and 50 % for YP and gel-10 s. The addition of ZnO and associative polymer with ratio of 0.1 to 1, respectively showed the highest impact on rheology, filtration and shale inhibition [58]. The effect of aluminum oxide and copper oxide on KCl-Polymer WBM was investigated. The addition of both NPs within the range of 0.3 - 0.5 wt. % improved the rheological parameters. While the filtration characterization was improved on the addition of 0.5 and 1 wt. % of aluminum oxide and copper oxide, respectively. Also, SEM and EDX have shown that the addition of NPs smoothens the surface and made it less pours compared to the base fluid [60].

Later in 2021, Mirzaasadi et al. [61] have extracted silica oxide from agriculture wastes (rice husks) and then silica NPs were produced using 2 different approaches; one without any chemical addition and the other with chemically treating. The purity of the chemically treated and untreated NPs was 97.4 and 94.5 %, respectively, determined by x-ray fluorescence method (XRF). The effect of both NPs on WBM rheology and thermal stability were studied at 121.11 and 148.88 °C, which simulates the downhole conditions. The study showed that both NPs improved the rheological properties but increased the filtration loss. The chemically treated NPs prevented thermal degradation and improved rheological properties more than the untreated NPs. Among the tested the concentrations 3 % of chemically treated NPs showed better effect in enhancing the properties of the drilling fluids [61].

A comparison between the effect of silica oxide and copper oxide NPs on the polyamine based non-damaging drilling fluids and bentonite-based drilling fluids. Silica oxide NPs acted as a mud thicker in non-damaging drilling fluids while having the opposite effect on the bentonite-based drilling fluid. The addition of copper oxide NPs worked as mud thinner in both drilling fluids [62]. Furthermore, copper oxide and zinc oxide were used to enhance the thermal, electrical, and filtration properties of Polyethylene glycol-based and polyvinylpyrrolidone-based drilling fluids. It was observed that the addition of NPs to the drilling fluids enhanced all the above mentioned properties at room temperature [63]. Moreover, aluminum oxide nanorods were used to develop a thermally stable ethyl octanoate ester-based drilling fluid. The rheological properties for both the base and the nanomodified drilling fluid samples were measured at low (2.6 °C), room (26.8 °C) and elevated (70 °C) temperatures. While the filtrate loss was measured at the room temperature and 690 KPa. The addition of aluminum oxide nanorods enhanced the thermal stability of the drilling fluids over the wide range of the investigated temperatures [64].

In 2023, a systematic study of the influence of nano-additives of various concentrations, average sizes, and composition on the temperature dependence of the viscosity and rheological behavior of WBM was conducted [50]. Typical compositions of drilling fluids, such as water suspensions of various clay solutions and gammaxan-based polymer solutions, were considered. Hydrophilic silicon and aluminum oxides NPs were used as nano-additives at concentrations ranging from 0.25 to 3 wt. %. The average NPs size varied from 10 to 151 nm. The temperature of drilling fluids varied from 25 to 80 °C. It was found that the addition of NPs leads to a significant change in the rheological properties of WBM depending on the temperature. With increasing temperature, the yield stress and consistency index of drilling fluids with NPs increase, while the behavior index, on the contrary, decreases. This behavior depends on the size of the NPs. As the particle size increases, their influence on the temperature dependence of the drilling fluids’ viscosity increases. In general, it was shown that the addition of NPs makes the viscosity of drilling fluid more stable with regard to the temperature, which is an essential fact for practical application [50].

A modified polystyrene micro-nano spheres (MPS) was synthesized, then characterized, and tested to achieve wellbore stability by changing the hydrophobicity of the shale surface and plugging the micro-nano pores [65]. The inhibition and plugging performance of MPS were evaluated through linear expansion, shale recovery, and plugging of polytetrafluoroethylene (PTFE) microporous membrane. Contact angle, pore size distribution, and SEM analysis were performed to study the inhibition and plugging mechanisms of MPS. The results showed that MPS was spherical with a particle size distribution of 91 - 712 nm and had good thermal stability. The MPS had excellent compatibility with drilling fluids and better inhibition than KCl, polyamines, and SiO2. When using PTFE microporous filter membrane as a filtration medium, the API filtration loss volume of 3 wt. % MPS aqueous solution was only 42 mL, while that of the solution without MPS was 260 mL. The pore size of the PTFE microporous membrane decreased after plugging. The MPS adsorbed on the shale surface to form a hydrophobic layer, which could weaken the hydrophilicity of shale. The contact angle of shale slices treated with 2 wt. % MPS was 108.2 °. Furthermore, SEM observations indicated that MPS can improve the quality of mud cakes and plug the small pores [65].

Nano-WBM was prepared using nano-copper oxide and multiwalled carbon nanotubes (MWCNTs) as modification materials [66]. The effects of the temperature and concentration of the NPs on the rheological properties were studied using a rotational rheometer and viscometer. Also, the influence of 2 NPs on the filtration properties was studied using LTLP filtration apparatus, as well as a scanning electron microscope (SEM). It is found that MWCNTs with a concentration of 0.05 w/v % have the most obvious influence on the NWBDFs, which improves the stability of the gel structure against temperature and decreases the filtration rate. Also, a theoretical model predicating the YP and the PV as a function of the temperature considering the influence of the NPs was developed based on DLVO theory [66]. Tahr et al. [67] inspected the investigations’ results and any gains made by utilizing a new material in drilling fluids. As biodegradable materials, the filtration and rheological capabilities were indicated to be significantly improved by the powders of rice husk and pomegranate peel. Titanium oxide NPs and nano-clay also significantly altered the drilling fluid’s characteristics. Therefore, these qualities may be enhanced, and the wellbore stability may be provided by combining these 2 unique materials - titanium and pomegranate peel.

Ultrafine barite was utilized to obtain good suspension stability. Also, the method of modifying zwitterionic polymers on the surface of nano-silica was used to develop a temperature-resistant and salt-resistant fluid loss reducer FATG with a core-shell structure, and it was applied to ultra-fine clay-free WBM [68]. The results showed that the filtration loss of clay-free drilling fluid containing FATG can be reduced to 8.2 mL, and AV can be reduced to 22 mPa·s. The clay-free drilling fluid system obtained by further adding sepiolite reduced the filtration loss to 3.8 mL. After aging at 220 °C for 15 d, it had significant salt tolerance, the filtration loss was only 9 mL, the viscosity did not change much, a thinner and denser mud cake was formed, and the viscosity coefficient of the mud cake was smaller. The linear expansion test and permeability recovery evaluation were carried out. The hydration expansion inhibition rate of bentonite reached 72.5 %, and the permeability recovery rate reached 77.9 %, which can meet the long-term drilling fluid circulation work in the actual drilling process [68].

An industrially prepared silica NPs coated with AEAPTS ([3-(2-Aminoethylamino) propyl] trimethoxy silane) was used as an additive to enhance the rheology and control filtration of WBM [69]. Silica NPs were coated separately in a 2-step process, which involved the addition of a hydroxyl group first and then coating with AEAPTS. Different rheological and filtration tests were done with varying NPs concentrations of 0.2, 0.3, and 0.4 w/v %. The rheological values of the mud samples were recorded both before and after the thermal aging of mud in the roller oven at 105 °C for 16 h. The filtration test was carried out according to API standards with 100 psi differential pressure for 30 min. Both PV and AV of the drilling fluid were found to be increasing with silane-coated silica NPs when tested at 30 and 60 °C. The degradation in the rheology of the base mud without NPs after thermal aging was found to be around 60 % which was reduced to around 20 % with the addition of the coated silica NPs. Also, a remarkable reduction in the filtrate volume, when compared with base mud, was achieved with the addition of the silane coated NPs [69].

Martin et al. [70] aimed to establish the optimum concentration of a cationic surfactant that would successfully modify the surface of silica NPs and thereafter, evaluate the performance of modified nano silica as a rheological and filtration property enhancer in WBM. The surface of silica NPs was successfully modified by adding Hexadecyltrimethylammonium bromide (CTAB) to silica solution. Different mud formulations containing modified nano silica with varying zeta potential values, SNP3 -S2, SNP3 -S4, SNP3 -S5, SNP3 -S6, and SNP3 -S7 with −17.7, 20, 28.2, 35.4, and 37.1 mV, respectively, were investigated. Results showed that modified nano silica with the highest absolute value of zeta potential enhanced drilling mud rheology as temperature increased from 149 to 232 °C. The optimal amount of CTAB was found to be between 1.0 and 2.0 wt. %. Filtration loss was reduced by 11.4, 17.6, and 29.5 % on average for mud samples SNP3-S5, SNP3-S6, and SNP3-S7, respectively, at all temperatures. Mud cake thickness was reduced by 19.9, 11.6, and 28.7 % on average by mud samples SNP3-S5, SNP3-S6, and SNP3-S7, respectively, at all temperatures [70]. Figure 4 shows the interaction between unmodified silica NPs and bentonite as well as the interaction between modified silica NPs and bentonite.


Picture 3


Figure 4 Interaction between unmodified silica NPs and bentonite (top) and Interaction between modified silica NPs and bentonite (bottom) [70].

In 2024, CuO NPs were synthesized using a natural extract from Colocasia esculenta leaves and the potential of the biogenic CuO NPs to enhance the lubricity in mud had been explored [71]. The ability to form a continuous and thin lubricating film at the mud-drill string interface was expected to reduce the frictional resistance between them significantly. Besides this, the filtration and rheological performance of the developed mud had been investigated. The formulation exhibited significant enhancements in lubricity, with a 27 % increase, and filtering performance, with a 48 % increase. The rheological profile, which exhibited shear-thinning behavior, demonstrated strong agreement with the Herschel-Bulkley model. Furthermore, the NPs showed the capability of reducing the negative effects of heat-induced deterioration on the characteristics of mud [71]. This highlights their potential as advantageous substances for drilling operations conducted at high temperatures. The results emphasize the advancement of drilling fluid technologies that are both environmentally benign and economically feasible.

Ahmed et al. [72] synthesized SiO2/g-C3N4 NPs hybrid and investigated its addition in different concentrations to WBM and studied the impact on the rheological and fluid loss properties of the fluids. The studies were carried out at various SiO2/g-C3N4 NPs concentrations under before hot rolling (BHR) and after hot rolling (AHR) conditions. The outcomes demonstrated that the rheological and fluid loss properties were enhanced by the addition of SiO2/g-C3N4 NPs, as it worked in synergy with other additives. Additionally, it was discovered that the NPs improved the drilling fluid thermal stability. The experimental findings indicate a significant influence of SiO2/g-C3N4 NPs on base fluid properties including rheology and fluid loss as the most remarkable, especially at higher temperatures. The significant improvements in YP and gel-10 s were 55 and 42.8 % under BHR and 216 and 140 % under AHR conditions, respectively. Permeability plugging test fluid loss was reduced by 69.6 and 87.2 % under BHR and AHR conditions, respectively, when 0.5 lb/bbl NPs were used in formulations [72].

Abdullah et al. [73] conducted a comparative analysis between hydrophobic nanosilica (HNS) and potassium chloride (KCl), a widely used shale inhibitor but has negative impact on the environment and subsurface activities, to better understand how HNS can effectively manage water and shale interactions by restricting mud filtration into the formation. In this work, shale samples were collected from the Kolosh Formation in the Kurdistan Region of Iraq, known for being one of the most challenging formations to drill. Investigations into the properties of drilling fluid were conducted using LTLP and HTHP filter press, alongside analyzing rheological properties at 3 different temperatures (25, 50 and 75 °C). In addition, the impact of the HNS on clay swelling was examined using the liner swelling meter test, shale dispersion test and capillary suction time test. The obtaining results revealed that the shale hydration in the drilling fluids was reduced 24.36 - 15.53 % and the shale recovery at high temperatures was improved from 80.2 to 94 % by adding 0.4 wt. % HNS[73]. Furthermore, HNS demonstrated improved clay suspension in the capillary suction time test wherein the suspension time reduced from 303 to 80 s at the same HNS concentration. Utilizing HNS effectively reduced clay swelling in all experiments and enhanced the rheological properties of the mud, showcasing stability across a range of temperatures and significantly reducing the formation of filter cake and fluid loss. Figure 5 illustrates the results of shale dispersion test for the base mud and drilling fluids with KCl and HNS with 4 different concentrations of 0.05, 0.1, 0.2 and 0.4 wt. %.



Figure 5 The result of shale dispersion test for the base mud and drilling fluids with KCl and HNS with 4 different concentrations of 0.05, 0.1, 0.2 and 0.4 wt. % [73].


Bardhan et al. [74] introduced Mesoporous Nano-Silica (MNS) to enhance WBM’s inhibitive, rheological, and fluid loss characteristics. MNS was synthesized with a particle size of 134.47 nm and zeta potential of −32.2 meV. MNS was added to the fixed base formulation at varied concentrations (0.05, 0.1, 0.2, 0.5 and 1 wt. %) and were subjected to hot rolling at 180 °C temperatures at 100 psi pressure for 16 h to evaluate the influence of thermal aging on the properties of the drilling fluid. The rheological investigation was performed at 25 and 70 °C while the inhibitive properties were checked via shale recovery test and capillary suction timer. The filtration properties were examined at 100 psi and 500 psi pressure at 150 °C. The results revealed that MNS can substantially improve the thermal properties of WBM, maintaining rheological characteristics and drastically reducing fluid loss while imparting some shale inhibitive properties, which may be attributed to either the size effect or the synergistic influence of materials. After hot rolling PV of MNS-infused mud was 77 % better than that of the base mud [74]. Figure 6 presents the PV at 25 and 70 °C variations with increasing concentrations of MNS in the drilling fluids before and after hot rolling.
















Figure 6 PV at 25  and 70 °C variations with increasing concentrations of MNS in the drilling fluids before and after hot rolling [74].


Promising drilling fluid additives

Different rheological models as well as new additives have been introduced in the literature. Some of them showed optimistic performance. A pioneer trial had been presented by Vipulanandan and Mohammed [75] by introducing the hyperbolic model to predict the rheological behavior of bentonite WBM. In this study, acrylamide polymer was added to bentonite-based drilling mud at different concentrations. The results showed that the addition of bentonite increased the yield stress, while the addition of acrylamide polymer decreased the yield stress depending on the bentonite content. Also, the addition of bentonite increased the maximum shear stress. while the addition of 0.24 wt. % acrylamide polymer reduced the maximum shear stress as well as decreased the AV. The authors compared between the rheological parameters predicted using their hyperbolic model and that of Herschel-Bulkley [9]; Casson [10] models. The hyperbolic model was found to be more effective in predicting the shear stress, strain rates, and thinning behavior than the other models. Moreover, the model was the only one that can predict the maximum shear stress while the other 2 models can only predict the finite shear stresses [75].

In 2015, ball-milled functionalized -COOH carbon NPs with average size of 10 nm was dispersed in the drilling fluid sample with different concentrations ranging from 0 to 1 wt. %. The addition of NPs enhanced the thermal conductivity by 6 % and increased the viscosity of the nano-modified drilling fluid compared to the base fluid [76]. Green synthesized α-MnO2 NPs can help improve the thermal degradation of the polymer WBM under harsh conditions. Adding a small concentration of 0.01 w/v % of α-MnO2 NPs can improve the rheological properties and they keep increasing with the increase of concentration. Both HTHP and Low Temperature Low Pressure (LTLP) filtrate loss are reduced compared to the base fluid and the electrical conductivity increased on the addition of NPs [77].

Later, in 2018 the shear stress-shear strain rate was predicted for bentonite WBM treated with bentonite-based nano clay using the hyperbolic model [78]. The study aimed to reduce the fluid loss of the drilling fluids, alter the rheological properties, and improve the electrical resistivity using the nano clay particles. For all the drilling fluids studied in this work and compared to the other rheological models, Vipulanandan rheological model predicted shear stress-shear strain rate relationships better. Furthermore, the addition of 1 wt. % of nano clay particles yielded more than double the maximum shear stress tolerances and yield stresses for all cases except the one containing 8 wt. % bentonite at 25 °C.

In 2017, Afolabi et al. [79] investigated the mutation in rheological properties of bentonite mud on the addition of silica NPs using an optimization-based statistical approach. A feasible area was constructed for multiple parameters using an overlaid contour plot. The concentrations of 6.3 wt. % bentonite and 0.94 wt. % silica NPs were selected to be the optimal factors for minimum rheological properties using the steepest method. The rheological properties of the formulated mud were evaluated using the hyperbolic model [40] and compared with other rheological models. The shear stress limit and the rheological properties of the nano modified drilling fluids were precisely predicted using response surface design and the hyperbolic model [75], respectively. Figure 7 shows the overlaid contour plots of PV, YP, AV, and shear stress limit [79,80].

In 2016, a local bentonite clay had been collected from South Hamam, Egypt and investigated versus a commercial one in formulating drilling fluids [81]. The mineralogical and elemental analysis of the local bentonite had shown that it is composed mainly of Na-montmorillonite with the elemental composition shown in Tabel 1. The local bentonite had been activated using a constant ratio of polyvinylalchol, chitosan which was mixed with various ratios of N-vinyl-2-pyrolidene with and without diethyleglycal dimethylacrylate. The new prepared composition polymers were evaluated as filter loss additives and viscosifier. The results showed that the increase in the 3 mixtures concentrations increased the rheological properties of the fluids such as the PV, AV, YP and gel-10 s and gel-10 min. However, the efficiency of the formulated drilling fluids increased with the increase in the cross links in the polymer mixture and the decrease in the amount of N-vinyl-2-pyrrolidone [81]. Later, the effect of different types of clays like Organophilic clay with associative polymer, clay NPs, barite and bentonite NPs on the rheological, filtration and shale inhibition properties of the water based drilling fluids at harsh well like conditions [82-84].

In 2022, a combination of inorganic nanomaterials with organic macromolecules were used to formulate and test a potential filtrate loss reducer and rheology modifier called PAASM-CaCO3. PV, AV, and YP were measured at ambient temperature and atmospheric pressure while the filtrate loss was recorded at temperatures up to 180 °C and pressures up to 3.5 MPa. PAASM-CaCO3 was capable of increasing the PV and AV and reduce the volume of filtration compared to the base fluid [85]. Furthermore, a hybrid of NPs can significantly reduce the filtration volume in HTHP fluid loss and particle plugging tests at differential pressures up to 1,000 Psi [86].



Figure 7 Overlaid contour plots of: (a) PV, (b) YP, (c) AV, and (d) shear stress limit [79].


Table 1 Elemental analysis of the local bentonite collected from South Hamam, Egypt using X-ray florescence [81].

Element

SiO2

TiO2

Al2O3

Fe2O3

Na2O

K2O

P2O5

Cl

Wt. %

54.91

1.53

17.01

9.31

2.75

1.03

0.16

1.20


Further, glass beads were investigated in various sizes of 90 - 150 and 250 - 425 μm as rheological property modifiers as well as drilling fluid lubricators [31]. For this aim, different samples were prepared with different sizes and concentrations of the glass beads. It was found that an optimum concentration of 4 ppb of glass beads reduces the coefficient of friction by 28 % compared to the base mud. In addition, increasing concentration of the glass beds increased the PV and the increase above 8 ppb increased the YP significantly. On the other hand, the increase of glass beads concentration from 2 to 6 ppb decreased the GS while at high concentrations of 6 to 12 ppb the GS slightly increased [31].

Adewle and Najimu [87] investigated the mutation in WBM performance on the addition of date seed based. Moreover, they investigated rheological/filtration properties, density, and thermal stability of WBM on the addition date-seed and the influence of particle size, date-pit fat content, and date-pit loading on the drilling fluids. It was revealed that particles with size less than 75 nm enhanced both the rheological and filtration properties of the WBM. However, the best performance was determined to be achieved on the dispersion of 15 to 20 wt. % date-pit to the base WBM. Figure 8 shows images of the date-pit processing (upper) and the effect of the date-pit loading on the shear thinning behavior (lower-left) and the AV and GS (lower-right) of the drilling fluid [87].





Figure 8 (Upper) date-pit processing, (Lower) effect of date-pit loading on the rheological performance of the drilling fluid [87].


In 2020, Ismail et al. [88] explored the feasibility of applying henna-leaf extracts and hibiscus-leaf extracts as ecological being products in WBM, which might minimize the environmental hazards. Rheological and filtration characterizations were carried out at 78 and 300 °F. The results of the low viscosity polyanionic cellulose were compared to plant extracts results. It was revealed that the volume of filtrate was dramatically decreased between 62 - 76 % on the addition of henna-leaf extracts and hibiscus-leaf extracts as well as significant improvement in the mud cake and rheological characteristics of the WBM. Furthermore, the viscosity and inhibition properties of WBM were both progressed when using both extracts as promising additives. Further, compatibility test data confirmed that the green additives are compatible with the other base fluid additives. The swelling behavior of sodium bentonite verified that the green plants are effective in inhibiting bentonite swelling. Figure 9 shows images of the leaf extracts and powder after processing henna (upper-left) and hibiscus (upper-right), and mud cake filter cakes (lower) for different test fluids [88].







Figure 9 (Upper) Leaf extracts and powder after processing henna and hibiscus, (Lower) mud cake filter cakes for different test fluids [88].

Khan et al. [89] examined the combination of hydrophobic ionic liquid (Trihexyltetradecyl phosphonium bis (2,4,4-trimethyl pentyl) phosphinate) - (Tpb-P) and cationic gemini surfactant (GB) as a WBM additive for clay swelling inhibition. Different concentrations of the combined ionic liquid and gemini surfactant were used to prepare the drilling fluids ranging from (0.1 to 0.5 wt. %), and their performances were compared with the base drilling fluid. The wettability results showed that novel drilling fluid having 0.1 % Tpb-P - 0.5 % GB wt. % concentration has a maximum contact angle indicating the highly hydrophobic surface. The linear swelling test yielded the least swelling of bentonite at a concentration of 0.1 % Tpb-P - 0.5 % GB wt. % combined solution. Furthermore, the results of the capillary suction test (CST) also suggested improved performance of the combined solution at 0.1 % Tpb-P - 0.1 % GB concentration [89].

The application of okra mucilage for the prevention of shale swelling was the objective of several studies [90,91]. Okra mucilage (hibiscus esculents) was extracted from the okra plant and used – as an alternate green additive – at 3 different concentrations (5, 10 and 20) vol. % for linear swell test at atmospheric conditions for 24 h on bentonite wafers. Further zeta potential, particles size and capillary suction timer test (CST) were conducted. An experimental study revealed that okra mucilage reduced the swelling of bentonite. For instance, 10 and 20 vol. % of okra mucilage solutions reduced the swelling by 36.8 and 50.5 %, respectively. Also, the Okra mucilage decreased the zeta potential of clay and increased its particle size. CST time decreased initially at low concentration and increased with concentration [90]. In the second study [91], the composition of okra powder was diagnosed by X-ray fluorescence (XRF) and Fourier-transform infrared spectroscopy (FTIR), and its thermal stability was tested using thermal gravimetric analysis (TGA). Then the okra powder was mixed in various concentrations (1, 2 and 3 g) in 350ml of WBM and its performance was compared with starch-based drilling fluid. The addition of okra reduced fluid loss in different proportions at different concentrations. For instance, drilling fluid with 3g okra concentration had 42 % lower fluid loss as compared to the base fluid. The cake thickness was reduced upon the addition of okra. The addition of okra powder also increased the viscosity and GS of the WBM. TGA analysis of okra powder showed that it has strong thermal stability as compared to starch [91]. Later in 2022, the okra mucilage showed comparable performance to the commonly used clay stabilizer (KCl) used in the industry [92]. It was observed that okra mucilage reduced the fluid loss and provided a thin filter cake. The rheological properties were improved with the addition of okra mucilage. The increase in clay particles and reduction in zeta potential showed the inhibition properties of the okra mucilage. In addition, okra mucilage reduced friction and provided lubricity, which suggests that okra mucilage could be a green and environmentally friendly alternative clay swelling inhibitor [90-93]. Figure 10 showed the scanning electron (SEM) micrograph images of filter cakes of the base mud and those of the base mud modified with 10 % okra mucilage [92].



Figure 10 Scanning electron micrograph images of filter cakes (a,b) base mud and (c,d) base mud modified with 10 % okra mucilage [92].


The formulation of a drilling fluid modified with a combination of NPs with their unique properties and cost-effective biodegradable materials (pomegranate peel powder, and Prosopis farcta plant powder) was the aim of another study [94]. The drilling fluids were identified and recognized using scanning electron microscopy (SEM), X-ray diffraction (XRD), and Fourier transform infrared spectroscopy (FTIR) techniques. Furthermore, experimental tests were conducted to investigate the performance of the newly formulated drilling fluid in improving fluid loss characteristics. The results showed that adding 0.3 wt. % of pomegranate peel powder to the reference (base) drilling fluid reduces the filter loss volume to 7.9 mL compared to the reference fluid (11.6 mL). As the optimal concentration of TiO2 was mixed with 0.3 wt. % of pomegranate peel powder then added to the reference fluid, the filter loss volume was reduced to 8.6 mL [94].

Yang et al. [95] used styrene, butyl acrylate, acrylamide, and 2-acrylamide-2-methylpropanesulfonic acid as the main raw materials to synthesize a polymer nanolatex (SBAA) employing a conventional emulsion polymerization approach (one-pot method). SEM, TEM, and PSD experiments demonstrated that SBAA is a NP with a particle size of around 150 nm and a distinct core-shell structure. The TGA analysis revealed that SBAA had a decomposition temperature of 296 °C. The experimental results showed that SBAA could reduce the medium pressure filtration loss by around 33 % compared with the basic bentonite fluid, and the reduction rate after aging at 200 °C is around 41 %. Moreover, it can reduce the filtrate loss velocity of WBM in heterogeneous pores, and the effects of filtration reduction and mud cake quality enhancement outperform those of commercial nanosilica particles [95].

Rambutan waste, one of Malaysia’s most produced fruit wastes, was regarded for the first time as a filtering additive in WBM [96]. Rambutan peel contains cellulose fibers that act as rheological modifiers. Rambutan fiber increases the pressure on the crack of the plug and reduces the loss of liquids. Low, medium, and high concentrations of rambutan waste (0.01, 0.1 and 0.5 g) were used to prepare samples of mud to compare the rheological and filtration properties of WBM. The results showed that by increasing the concentration of rambutan waste samples, the properties such as PV, YP, and GS are gradually increased. Furthermore, rambutan additives significantly improved the filtering performance by reducing the loss of filters and the thickness of mud cakes. It was observed that 0.01 g of raw rambutan peel reduced filtrate loss from 9 to 4 mL compared to 9 mL of base liquid. In addition, the lowest concentration of rambutan additive produced the thinnest mud cake of 1.09 mm compared to 2.82 mm of base liquid, respectively [96]. Figure 11 reveals a schematic illustration for the preparation of rambutan waste WBM, and the influence of different concentrations of rambutan waste on the drilling fluid properties.



Figure 11 (Upper) the preparation of rambutan waste WBM, (Lower) the effect of different concentrations of rambutan waste on the drilling fluid properties [96].


Fadairo and Oni [97] reported an examination of eggshell NPs (ESN) to enhance the efficiency of WBM at elevated temperature. The study was based on previous reported literature which revealed that ESN can withstand a lot of heat and at the same time retain their properties under extreme conditions. ESN was added at various weighted amounts to the petroleum industry’s approved mud composition for an elevated temperature well to design eggshell-boosted WBM samples. Filtration and rheological tests were conducted under HTHP conditions. The results showed that ESN helps WBM to withstand drilling operations in elevated temperature formations by delaying thermal degradation up to 270 °C. Specifically, the Fluid sample with 5 lb/bbl of ESN exhibited an 8 % reduction in HTHP filtrate volume when compared with an equal volume of commercial calcium carbonate (CCC), while a larger quantity of ESN (6 lb/bbl) yielded a 17 % reduction. Additionally, the inclusion of 5 lb./bbl of ESN was observed to be more effective than an equal quantity of CCC at 250 °C as it yielded a 28 % increase in 10 min GS. However, the rheological properties of 5 lb./bbl of ESN were not as effective as CCC at LTLP conditions which may be due to the presence of organic matter as a constituent of ESN at any temperatures below 200 °C [97].

A novel biosynthesized nanofluid system integrated with a natural surfactant was developed to tackle biological challenges and reduce the damage to hydrocarbon formations [98]. This innovative approach combines biosurfactants and NPs systems in WBM to minimize formation damage during hydrocarbon extraction while prioritizing environmental sustainability. Rheological measurements revealed that the PV and YP increased to 67.9 cP and 29.71 Pa, respectively, at a concentration of 0.1 wt. % zinc oxide NPs. The biosurfactant (Chuback) enhanced wettability by reducing the contact angle. This reduction, a crucial factor in wettability, led to a decrease of 51.53 % in the contact angle of WBM on sandstone slabs and 52.32 % on carbonate slabs, compared to more hydrophilic surfaces [98]. The research findings indicate that the optimized fluid obtained through Design of Experiments can significantly enhance the operational efficiency of drilling and production by minimizing the negative impacts on reservoir permeability. Finally, images taken before and after the flood using Computed Tomography Scans (CT-Scan) showed that the green additives proposed in the WBM have improved the factors that reduce formation damage.

Based on the articles reviewed in this work, 17 % of the additives used in the drilling fluids investigations contained silica while 16 % of the literature used iron to test its effect on the drilling fluids. Only 2 % used MgO NPs to enhance the properties of the bentonite WBM while 10 % used uncommon additives like yttrium oxide NPs and Nano ATR Figure 12. A compressive summary for the reviewed paper, the type of the investigated drilling fluids, the additives used, the experimental conditions, and the investigated parameters are listed in Table 2.



Figure 12 Comparison between the usage percentages of different additives.



Table 2 Summary of the presented papers in this review.

Year

Drilling fluid(s)

Additive(s)

Pressure(s)

Temperature(s)

Investigated parameter(s)

Reference

2011

Bentonite WBM

Iron oxide NPs

1 to 100 atm (R)*
API (F)**

20 to 200 °C (R)

Rheology, Filtration

[21]

2011

Bentonite WBM

Nano ATR

Ambient

Ambient

Rheology, Filtration, and
Lubricity

[22]

2012

Fresh WBM
Saline WBM

Graphene oxide NPs

API

20 °C

Stability of GO in saline environments, and
Filtration

[47]

2013

Polymer WBM

Ambient (R)
300 Psi (F)

120 °F (R)
225 °F (F)

Rheology, Filtration, and
Filter cake properties

[2]

2014

Ester-based drilling fluids
WBM

Multi-walled carbon nanotubes

API and HTHP (F)

80, 200, 250 °F (R)

Rheology, and Filtration

[29]

2014

Bentonite WBM

Acrylamide polymer

Ambient

Ambient

Rheology, and
Modeling

[75]

2015

Bentonite WBM

Silica NPs
Iron Oxide NPs

Ambient (R)
100 and 300 Psi (F)

78 to 140 °F (R)
78 and 250 °F (F)

Rheology, and
Filtration

[23]

2015

Low solid content bentonite fluids

Fe2O3 NPs
Iron-oxide clay hybrid
Aluminosilicate clay hybrid

6.9 and 70 bar

25 and 200 °C

Rheology and
Filtration

[27]

2015

Salt Polymer WBM

Nano graphene

HTHP

HTHP

Lubricity,
Thermal stability,
Shale swelling, and
Rheology

[48]

2015

-

Ball-milled functionalized –COOH carbon NPs

Ambient

5 to 75 °C

Thermal conductivity
Viscosity

[76]

2016

Bentonite WBM

Fe3O4 NPs

Ambient (R)
100 and 300 Psi (F)

78 to 158 °F (R)
78 and 250 °F (F)

Rheology, and
Filtration

[24]

2016

Bentonite WBM

Fe3O4 NPs
Fe
2O3 NPs

Ambient (R)
100 and 300 Psi (F)

78 to 140 °F (R)
78 and 250 °F (F)

Rheology,
Filtration, and
Degree of thixotropy

[25]

2016

KCl-Polymer WBM

Multi-walled carbon nanotube,
Nano silica
Glass beads

Ambient (R)
API (F)

Ambient

Rheology,
Filtration, and
Lubricity

[31]

2016

KCl-Polymer WBM

Zinc oxide NPs-acrylamide composite

Ambient (R)
100 and 500 Psi (F)

80 and 150 °F (R)
80 and 250 °F (F)

Rheology,
Shale swelling,
Lubricity, and
Filtration

[33]

2016

Bentonite WBM

Ferric Oxide NPs
Silica NPs

Ambient (R)
200 to 500 Psi (F)

120 to 200 °F (R)
175 to 350 °F (F)

Rheology, and
Filtration

[38]

2016

Low and High Ph bentonite WBM

SiO2 NPs

Ambient

Ambient

ECD,
Rheology, and
Filtration

[52]

2016

Polyethylene Glycol WBM
Polyvinylpyrrolidoe WBM

CuO NPs
ZnO NPs

Ambient

Ambient

Thermal properties,
Electrical properties, and
Filtration

[63]

2016

Bentonite WBM

A mixture of: Poly vinyl alcohol
&N-vinyl-2-pyrrolidone
&Diethylene glycol di methacrylate

Ambient (R)
API F

60 to 200 °F (R)
Ambient (F)

Rheology, and
Filtration

[81]

2016

KCl- polymer WBM

TiO2-bentonite nanocomposite

80 and 150 °F (R)
API and HTHP (F)

80 and 150 °F (R)
API and HTHP (F)

Rheology, and
Filtration

[34]

2017

High pH bentonite WBM

Nano silica
Nano titanium
Nano aluminum

Ambient (R)
API (F)

Ambient

Rheology,
Filtration, and
Hydraulic properties

[7]

2017

Bentonite WBM

Magnetic Fe3O4 NPs

Ambient

25 °C

Rheology

[26]

2017

KCl- polymer WBM

Partial hydrolytic polyacrylamide
Graphene nanoplatelet
Nano silica
multi-walled carbon nano tube

Ambient (R)
API and 500 Psi (F)

Ambient (R)
250 °F (F)

Rheology,
Lubricity,
Shale inhibition, and
Filtration

[30]

2017

Sarapar-based mud
Saraline-based mud

Multi-walled carbon nanotube

Ambient (R)
API (F)

80 to 350 °F (R)

Rheology,
Filtration,
Effect of hot rolling

[32]

2017

Calcium bentonite WBM

Ferric oxide NPs
Silica NPs

Ambient (R)
200 to 500 Psi (F)

120 to 200 °F (R)
175 and 350 °F (F)

Rheology, and
Static and
Dynamic Filtration

[35]

2017

Bentonite WBM

Silica NPs

Ambient

Ambient

Rheology, and
Modeling

[81]

2017

WBM

Henna leaf extracts
Hibiscus leaf extracts

Ambient (R)
100 to 500 Psi (F)

78 and 300 °F (R) & (F)

Rheology,
Filtration,
and Shale swelling

[88]

2018

Calcium bentonite WBM

Ferric oxide NPs

Ambient (R)
300 to 500 Psi (F)

140 °F (R)
250 to 350 °F (F)

Rheology,
Filtration, and
Filter cake properties

[36]

2018

Calcium bentonite WBM

Fe3O4 NPs
Fe
2O3 NPs
SiO
2 NPs
ZnO NPs

300 Psi

250 °F

Filtration,
Filter cake properties,
Formation damage analysis

[40]

2018

Bentonite WBM

Aluminum oxide NPs
Copper oxide NPs
Magnesium oxide NPs

Ambient (R)
100 and 500 Psi (F)

Ambient to 120 °F (R)
Ambient to 250 °F (F)

Rheology,
Filtration

[41]

2018

Bentonite WBM

Aluminum oxide and
Silica NPs

14.7 to 500 Psi

23 to 120 °C

Rheology,
Filtration, and
post-dynamic ageing effect

[42]

2018

KCl-Polymer WBM

Yttrium Oxide NPs

Ambient to 10,000 Psi

75 to 300 °F

Rheology

[44]

2018

Salt-Polymer WBM

Carbon NPs
ZnO NPs

Ambient (R)
API (F)

20 to 85 °C (R)

Rheology,
Sagging effect, and
Filtration

[45]

2018

Bentonite WBM

Nano clay

Ambient (R)
100 Psi (F)

25 to 85 °C (R)
25 and 85 °C (F)

Rheology
Filtration
Modeling
Electrical resistivity

[78]

2018

KCl- polymer WBM

SiO2
Clay NPs

Ambient (R)
100 Psi (F)

25 and 90 °C

Rheology,
Filtration, and
Thermal stability

[83]

2019

Sodium bentonite WBM

Fe3O4 NPs
SiO
2 NPs
custom-made bare Fe
3O4 NPs
Citric acid coated Fe
3O4 NPs

Ambient

20 to 60 °C

Rheology

[28]

2019

Salt-polymer WBM

Aluminum oxide NPs

Ambient

30, 60, and 80 °C

Rheology, and
Filtration

[43]

2019

Bentonite WBM

SiO2 NPs
Graphene Oxide nanoplatelets

Ambient (R)
100 to 500 Psi (F)

Ambient (R)
77 to 250 °F (F)

Rheology,
Filtration, and
Shale inhibition

[46]

2019

WBM

Organophilic clay,
Associative polymer
Synthesized Gemini surfactant

300 Psi

100, 150, 200 °F

Rheology,
Filtration, and
Shale inhibition

[82]

2020

Bentonite and KCl-based drilling fluids

Fe2O3 NPs

Ambient

22, 50, 80 °C

Rheological properties,
Viscoelastic properties,
Lubricity, and
Filtration

[37]

2020

Bentonite WBM

Aluminum oxide NPs
Titanium oxide NPs
Copper oxide NPs
Magnesium oxide NPs

Ambient

Ambient

Rheology
Hole cleaning efficiency

[53]

2020

Bentonite WBM

Dual-functionalized cellulose nanocrystals

Ambient (R)
API (F)

25, 40, 60, and 80 °F (R)

Rheology,
Toxicity,
Thermal tolerance, and
Filtration

[56]

2020

KCl-Polymer WBM

TiO2/bentonite nanocomposite

Ambient
100 and 500 Psi (F)

299 and 338K
Ambient to 394K (F)

Lubricity,
Filter cake properties,
Shale and clay inhibition

[57]

2020

Polyamine-based non-damaging mud Bentonite-based drilling fluids

Silica oxide NPs
Copper oxide NPs

Ambient (R)
200 Psi (F)

Ambient

Rheology, and
Filtration

[62]

2020

Polymer WBM

Barite NPs
Bentonite NPs
CLOISITE5 NPs
TiO
2 NPs
SiO
2 NPs

Ambient (R)
100 and 500 Psi (F)

Ambient (R)
75 and 200 °F (F)

Rheology, and
Filtration

[84]

2021

Bentonite WBM

SiO2 NPs

Ambient

Ambient

Rheology,
Energy saving, and
Modeling

[39]

2021

Low bentonite content WBM

Cellulose nanofibers, and
Cellulose nanocrystals

Ambient

Ambient

Rheology, and
Cuttings transport

[54]

2021

Bentonite WBM

ZnO NPs
Associative polymer

Ambient (R)
API (F)

25 °C (R& F)

Rheology,
Filtration, and
Shale inhibition

[58]

2021

KCl-Polymer WBM

Aluminum oxide NPs
Copper oxide NPs

Ambient (R)
API (F)

120 °F (R)

Rheology,
Filtration,
Filter cake properties

[59]

2021

KCl-Polymer WBM

ZnO NPs

Ambient (R)
API (F)

40 and 80 °C (R)

Rheology, and
Filtration

[60]

2021

ethyl octanoate ester-based drilling fluid

Aluminum oxide nanorods

Ambient (R)
API (F)

2.6, 26.8, 70 °C (R)
Ambient (F)

Rheology, and
Filtration

[64]

2021

Polymer WBM

α-MnO2 NPs

Ambient (R)
API and 500 Psi (F)

25 °C (R)
Ambient to 150 °C (F)

Rheology,
Electrical conductivity,
Filtration, and
Heat tolerance

[77]

2022

OBM

Silicon oxide NPs

Ambient (R)
API (F)

40 °C Density
Ambient (R&F)

Rheology,
Filtration, and
Colloidal stability

[49]

2022

KCl-polymer WBM

Titania NPs
Alumina NPs
Silica NPs

Specific heat capacity, and
Rheology

[51]

2022

Low bentonite content WBM

Cellulose nanofibers, and
Cellulose nanocrystals

Ambient

Ambient

Rheology, and
Cutting transport

[55]

2022

Fresh WBM
Saline WBM

Hybrid NPs

Ambient (R)
300 to1000 Psi (F)

120 °F (R)
180 to 300 °F (F)

Rheology,
Filtration, and
Effect of hot rolling

[86]

2022

Sodium bentonite WBM

PAASM-CaCO3

Ambient (R)
API and 3.5 MPa (F)

Ambient (R)
180 °C (F)

Rheology,
Filtration, and
Effect of hot rolling

[85]

2022

WBM

Okra mucilage

Ambient

Ambient

Rheology,
Filtration,

Lubricity, and
Shale swelling

[92]

2023

Bentonite WBM
Polymer WBM

SiO2 NPs
Al
2O3 NPs

Ambient

25, 40, 55, and 80 °C (R)

Rheology

[50]

2023

WBM

modified polystyrene micro-nano spheres (MPS)

API (F)

Ambient

Filtration,
Shale inhibition, and contact angle

[65]

2023

WBM

copper oxide NPs and multiwalled carbon nanotubes (MWCNTs)

Ambient (R)

API (F)

Ambient

Rheology,
Filtration

[66]

2023

WBM

silica NPs coated with AEAPTS ([3-(2-Aminoethylamino) propyl] trimethoxy silane)

Ambient (R)

API (F)

After aging at 105 °C for 16 h and measured at 30 °C and 60 °C (R)

Ambient (F)

Rheology,
Filtration

[69]

2023

WBM

silica NPs modified by Hexadecyltrimethylammonium bromide (CTAB) cationic surfactant

149 to 232 °C

Rheology,
Filtration

[70]

2023

WBM

TiO2 NPs, pomegranate peel powder, and Prosopis farcta plant powder

Ambient

Ambient

Filtration

[94]

2023

WBM

synthesize a polymer nanolatex

0.69 MPa and 3.5 MPa (R)

120 °C (R)

Filtration, Thermal stability

[95]

2024

WBM

Biogenic CuO NPs synthesized using a natural extract from Colocasia esculenta leaves

Ambient

Ambient

Rheology,
Filtration, and
Lubricity

[71]

2024

WBM

Synthesized SiO2/g-C3N4 NPs hybrid

before hot rolling (BHR) and after hot rolling (AHR))

before hot rolling (BHR) and after hot rolling (AHR)

Rheology,
Filtration, and
Thermal stability

[72]

2024

WBM

hydrophobic nanosilica (HNS)

LTLP and HTHP filter press (F)

25, 50 and 75 °C (R)

Rheology,
Filtration, and
Shale swelling

[73]

2024

WBM

Mesoporous Nano-Silica (MNS)

Ambient (R)

100 psi and 500 psi (F)

hot rolling at 180 °C at 100 psi pressure for 16 h measured at 25 and 70 °C (R)

150 °C (F)


Rheology,
Filtration,

[74]

2024

WBM

Rambutan waste

Ambient

Ambient

Rheology, and
Filtration

[96]

2024

Industry-standardized WBM

Eggshell NPs

Ambient (R)

100 psi and 400 psi (F)

100, 150, 200, and 250 °C (R)

100 and 270 °C (F)

Rheology, and
Filtration

[97]

2025

WBM

Synthesized ZnO NPs + biosurfactant (Chuback)

Ambient

Ambient

Rheology,
Core flooding (filtration and formation damage), and

Contact angle

[98]

(R)*: Rheological measurements; (F)**: Filtration measurements; API: room temperature and 100 psi


Machine learning and artificial intelligence applications

AI can be defined as the teaching of computers to perform an action or series of actions that usually require human intelligence to be done. AI can use either explicit approaches like writing a code or implicit techniques like using ML algorithm. On the other hand, ML is teaching the computers how to do a certain task without telling it how to perform this task, instead you provide it with appropriate number of exemplars [99]. Hence, ML is located within the domain of AI, while AI is located within the computer science (CS) domain which has a common domain with data science domain as shown in Figure 13. The petroleum filed like a lot of the other fields has grown an interest in utilizing AI and ML techniques to optimize the several operations[11].



Figure 13 Different domains of computer science branches.


ANN is one of the widely used algorithms in the petroleum field especially in the drilling fluids applications with over 54 % [13]. ANN is a powerful tool that can simulate the human brain learning process through creating networks of artificial neurons. The ANN can learn and train by experience with appropriate learning examples just as people do (i.e. they build their awareness by detecting the relationships and patterns in the data) [100]. Neurons are fully connected and, in a network, shaped form. Neurons act like messengers sending and receiving impulse. However, each neuron can have multiple inputs, it will generate only one output then pass it to the neurons in the next layer which results as an intelligent artificial brain capable of predicting, learning, and recognizing patterns (Figure 14). Artificial neurons can also be referred to as processing elements (PEs), single units and/or simply neurons. An ANN is usually created by from hundreds of PEs which are entirely connected with weights (coefficients). PEs construct the structure of ANN as they are marshaled in the input layer, the hidden layer(s) and the output layer (Figure 14). The power of neural computations comes from connecting neurons in a network. Each PE has weighted input, activation function, and one output. The combination of the weighted inputs controls the activation of the neuron. Each layer has a bias which is the value that combination of the weighted inputs must exceed to activate the neurons and pass the signal to next layer. If the signal is activated, it passes through the transfer function to produce a single output of the neuron that proceeds to neurons in the next layer. The performance and the behavior of ANN is based on the network’s architecture, number of PEs, activation functions of its PEs, and learning rule [100,102].

Indeed, the problems of predicting, classifying, and controlling neural networks are being faced. This sweeping success can be attributed to a few key factors. Most conventional modeling techniques seek a presumed mathematical formula for the modeling to be efficient. However, on the other hand, ANN models are considered soft models as they don’t demand an exciting mathematical function beforehand and suitable of multivariant calibration modelling [103]. Usually, the presence of clear and unnoisy data sets is very challenging. ANN has the capability and flexibility to safeguard its performance even in the presence of considerable amount of noise in the input data.



Figure 14 ANN general architecture. ANN consists of 3 or more layers; an input layer, an output layer, and one or more hidden layer(s). Each layer consists of number of neurons and are fully connected with weights [101].


ML is a subset of AI around the idea that we should feed the machines with data and let them learn for themselves. If programming is automated, then ML automates the process of automation. In traditional programming, data and program are both run on the computing machine to compute the output but in ML; both data and output are run on the computer together to develop a program. This program can be used in traditional programming [104]. This concept is visualized in Figure 15.



Figure 15 Traditional programming versus machine learning [104].


Every ML algorithm has 3 stages during the process of building the automated model; Representation: The algorithm used to represent the data pattern knowledge. Examples include regressors, classifiers, support vector machines (SVM), model ensembles and others. Evaluation: The way to evaluate the chosen algorithms’ performance. Examples include accuracy, precision, recall, mean squared error, cost function, etc. Optimization: The process of adjusting the model hyper-parameters to improve performance [105].

There are different styles in ML problems [106]; Supervised Learning: Algorithms in which when given a sample of data and its desired outputs, the algorithm approximates a function that maps inputs to outputs. A model is developed through a training phase where prediction is made and then corrected when they proved wrong. The training phase remains until the model reaches to a desired accuracy level on the training data. Unsupervised Learning: Algorithms in which the given sample of data does not contain the desired output. The algorithm learns the inherent pattern of the data without using explicitly provided labels. A model is prepared by inferring structures hidden in the input data. Semi-Supervised Learning: The input data is a mixture of labelled and unlabeled examples, aims to label unlabeled data points using knowledge learned from the labelled data points. The model must learn the structures to organize the data as well as make predictions. Reinforcement Learning: It works the following way, there is a presence of an agent and environment. The agent would be able to take some action on the environment, based on which it would be rewarded or punished.

To build ML model, the appropriate package should be selected for scientific computing, performing different operations, data manipulation and analysis, and data visualization. In addition to having good data, you need to make sure that it is in a useful scale, format and even that meaningful features are included. Steps of building a ML model are [105]; Data Gathering: Different data sets should be collected from many wells and/or fields. Data Pre-Processing: Is a long and burdensome process to get unseen knowledge. Pre-processing of data refers to the transformations applied to the data before feeding it to the algorithm (i.e., cleaning data to have homogeneity by deal with Missing Values and Detecting Outliers). Feature Engineering: Is the process of incorporating domain knowledge to identify attributes from raw data. Relevancy of features to the output varies from one feature to another, so to make the proposed model more accurate, it is mandatory to investigate all the dataset features and assess their importance and focus on features with high relevancy to the output. Algorithm Selection and Training: The field of ML includes an enormous number of algorithms, some of which are easy to use, while some others necessitate more difficult understanding of the algorithms. Predictive modeling is the method of developing a model using historical data to make a prediction on new data where we do not have the answer. It can be described as a mathematical problem of approximating a mapping function (f) from input variables (x) to output variables (y). Table 3 shows a list of the ML algorithms that were duly applied in this research with their advantages and disadvantages [105]. Model Training and Evaluation: Typically, when dataset is separated into a training set and testing set, most of the data are used for training, and a smaller portion of the data are used for testing. Splitting data is an important stage of model evaluation and determining the performance of the model when it is used in real life. Testing model performance on held-out data is the best way to evaluate model accuracy. The most common split of data is 70 % training and 30 % testing parts [107]. This action identifies the precision in the selected algorithm depending on result. A better way to check the accuracy of the model is to see it performs well on data which was not used during training. It’s worth mentioning that diversity of data (not necessarily huge dataset) is a significant factor that enhances the model’s performance and enables model generalization (i.e., model is efficient in forecasting or classifying unseen datasets). For better generalization, cross validation is required during training phase to ensure all portions of dataset are exploited. The nature of ML algorithm and model complexity also play an obvious role in model generalization.


Table 3 The advantages and disadvantages of different ML algorithms [105].


ML Algorithm

Advantages

Disadvantages

Logistic Regression (LR)

  • It is used extensively because of its efficiency, high interpretability, and no scaling or tuning required.

  • Logistic regression has higher efficiency when irrelevant and correlated features removed.

  • Other algorithms will outperform Logistic regression in case of similar or correlated variables.

Decision Trees (DT)

  • Easier data preparation during preprocessing phase.

  • Decision tree does not prerequisite data normalization or scaling.

  • Missing values in the data also doesn’t affect the process of building decision tree to any considerable extent.

  • The decision tree model can be easily explained because it is very intuitive.

  • Instability of models can result from any minor change in data.

  • Long time of model training.

Random Forest (RF)

  • It can handle large number of features (dimensions).

  • It can calculate the contribution of each feature.

  • Less training time.

  • Difficult interpretation of some random forest models.

  • For very large datasets, the size of the trees can take up a lot of memory.

Support Vector Machines (SVM)

  • Higher accuracy in case of having classes with clear separation margin.

  • SVM shows more efficiency in case of high dimensional spaces.

  • The presence of noise in data badly affects SVM performance.

K-Nearest Neighbors (KNN)

  • Simple and easy to interpret.

  • It can be directly implemented in non-linear cases because it doesn’t include any assumption.

  • Model speed decreases with increasing number of data points increases.

  • Not memory efficient.

  • Sensitive to outliers.

Stochastic Gradient Descent (SGD)

  • Efficiency and ease of implementation.

  • Requiring several hyper parameters and being sensitive to feature scaling.

Adaptive Boosting (AdaBoost)

  • Simple to implement.

  • Few Parameters.

  • Sensitive to noisy data and outliers.

Naïve Bayes

  • Better performance compared to other models in case of independent predictors.

  • It performs well in case of categorical input variables compared to numerical variables.

  • It is almost impossible that we get a set of predictors which are completely independent.


Quadratic Discriminant Analysis (QDA)

  • More efficient compared to other models like logistic regression in case of having more than 2 non-ordinal classes.

  • More stable than other models in case of well-separated classes.

  • Performance severely declines as the number of predictor variables approaches sample size.

ANN

  • Good performance with linear and nonlinear data

  • Capable to learn from the analyzed data and reprogramming not required

  • Needs a large and diverse training data for real-life applications.

  • In many cases, referred to as “black box” as it offers little insights.

AI and ML have been introduced and used thoroughly to generate more reliable models and correlations in different petroleum engineering aspects. AI and ML have been used for drill bit diagnosis, well-log analysis, surveillance of major drilling and completion activities, and reservoir simulation, encompassing seismic pattern identification, history matching, and reservoir characterization, prediction of permeability and porosity, pressure-volume-temperature (PVT) analysis, production optimization, and well performance evaluation [105,108-125]. Figure 16 shows better summarization of ML applications in the oil and gas industry [105]. In the following lines, we briefly present some of those AI and ML journeys in the field of drilling fluid property prediction.


Figure 16 Applications of AI and ML in oil and gas industry [105].


In 2016, almost 9,000 data points of invert emulsion mud were used as the modeling and testing layer to convert ANN black box to a white box to obtain visible mathematical equation of its rheological properties [126]. The developed ANN can be used to easily predict the dial readings at 600 and 300 rpm, which can then be used to obtain the values of AV, PV, YP as well as the consistency index (k) and the flow behavior index (n) as shown in Table 3. In those equations, x represents the input parameter, j is the number of input variables, N is the number of neurons which was optimized to be 12 for one hidden layer, b1 is bias of the hidden layer, and b2 is bias of the output layer, w1 is weight of hidden layer, w2 is weight of the output layer. About 70 % of the data were used to train and obtain the mathematical equation [126].

After modeling, 30 % of the data was used to test the developed equations, which showed good values of the average absolute percentage error (AAPE) and the coefficient of correlation (R). The models constructed for the dial readings at 300 and 600 rpm, AV, PV, YP, k, and n gave AAPE of 3.48, 3.7, 3.7, 5, 3, 4.2, and 1.2 %, respectively. In addition, they gave correlation coefficients (R) of 0.898, 0.92, 0.91, 0.91, 0.90, 0.92, and 0.954 for models constructed for the same parameters, respectively. The developed ANN models can save huge times if one knows that AV, PV, YP of the drilling fluids are measured twice a day on the rig in the petroleum fields, while Marsh funnel viscosity, solid content, and density are measured every 10 - 20 min [126,127]. Correlations to predict fluid rheological properties using ANN visible mathematical model are shown in Table 4.


Table 4 Correlations to predict drilling fluid rheological properties using ANN visible mathematical model [126].

Rheological Parameter

ANN Correlation

Plastic Viscosity


Yield Point


Herschel-Bulkley

Consistency Index


Herschel-Bulkley

Flow Behavior Index



Using the same concepts, Gowida et al. [128] used the ANN to developed mathematical correlations of the rheological properties of the high-bentonite WBM and OBM [129] by knowing only the marsh funnel viscosity and the mud density. While developing their model, 200 data points for WBM were gathered and divided into 2 datasets with 70 % of the data being used for training while the rest were used for testing. The developed model used one hidden layer with 20 neurons processed by Levenberg-Marquardt algorithm as training rate and Tan-sigmoidal as a transfer function. The new ANN was then tested by evaluating the AAPE and R, which were less than 6 % and more than 0.9, respectively, which shows higher accuracy compared to the other already used models in the petroleum industry [128]. While 522 data points were collected for OBM to predict PV, YP, AV and Herschel-Bulkley flow behavior index. The model has R of 0.94, 0.92, 0.92, and 0.95 for the abovementioned parameters, respectively [129].

In order to better understand the rheology of the drilling fluids, Jondahl and Viumdal [130] in used ML and AI for frequent monitoring their properties like density, viscosity, and GS. For that, Non-invasive ultrasonic measurement techniques and ANN have been used at 3 different levels of ultrasonic frequencies on the WBM to create an atomized sensor. This sensor is aimed at predicting the drilling fluid density, viscosity, and GS depending on the time of flight, signal amplitude, and the distance between receiver and transmitter. A setup was built for ultrasonic measurements, and 11 different types of drilling fluids were tested. The gathered experimental data were then used in training, validating, and testing the ANN model. Compared to the actual experimental data, the developed model gave promising accuracy with 0.84 to 95 % mean absolute percentage error (MAPE) for density, challenging values of 4.4 to 7 % and not accurate values of 15 to 19 % for PV and GS, respectively [130].

Ahmadi et al. [131] suggested a rigorous predictive model for estimating drilling fluid density (g/cm3) at wellbore conditions utilizing a couple of particle swarm optimization (PSO) and artificial neural network (ANN) was utilized. Moreover, 2 competitive ML models including fuzzy inference system (FIS) model and a hybrid of genetic algorithm (GA) and FIS (called GA-FIS) method were employed. To construct and examine the predictive models the data samples of the open literature were used. Based on the statistical criteria the PSO-ANN model has reasonable performance in comparison with other intelligent methods used in this study.

Agwu et al. [132] developed an ANN model to predict the density of OBM under varying conditions of pressure and temperature. Drilling fluid density is a very important parameter during the drilling operation to determine the hydrostatic pressure of the mud column. This property is highly affected by the pressure and temperature, especially in the deep wells. For this purpose, several data points of OBM were collected, 60 % of those data were used for the ANN training, 20 % were used for the ANN testing, and the last 20 % were used in validation. R, mean square error (MSE), root mean square error (RMSE), residual sum of squares (RSS), mean absolute error (MAE), and MAPE of the developed models were very satisfactory with values of 0.9999, 0.000477, 0.022, 0.056, 0.017, and 0.127, respectively [132]. The relative importance of independent variables in the ANN model was also sensitively studied using the connection weights algorithm to Determine the contribution of each input variable to the prediction of the dependent variable. Figure 17 reveals that increases in initial mud density and downhole pressure would lead to increased downhole mud density (positive sign). However, the negative sign for the temperature indicates that increasing the downhole temperature would surely lead to decreased downhole mud density.



Figure 17 Relative importance of input variables in the ANN model [132].


In 2019, 2 ECD models were constructed using ANN and adaptive neuro-fuzzy inference system (ANFIS) algorithms. The model used 16,64 data points for training and another 712 for testing the model. Mud weight, ROP, and surface drill pipe pressure are the factors taken into consideration as input parameters for the model. The models results showed an AAPE of 0.2252 % for training and 0.2237 % for testing dataset while R for the ANN model were 0.9971 and 0.9982 for training and testing datasets, respectively [133] . Later in 2021, using a similar approach ECD of the drilling fluids was estimated using ANN and ANFIS based on 3,570 data points. While developing the model, more input parameters were considered like standpipe pressure, weight on bit (WOB), rate of penetration (ROP), flow rate, revolution per min (RPM), and torque. The proposed models have an efficiency of R = 0.98 for ANN model and 0.96 for ANIFS model [134].

Different AI algorithms like linear regression, polynomial regression, hybrid regression, ensemble method, and ANN were used to determine the shear dial reading at 600, 300, 200, 100, 6, 3, gel-10 s, and gel-10 min at elevated temperatures[135]. Seventeen selected features were used as input parameters at ambient temperature in addition to the field temperature as feed to the models. A total of 8 features related to the composition of the drilling fluid, 6 components for the rheological properties at ambient temperature, 2 features for gel-10 s and gel-10 min, and one feature describes the field temperature. Ensemble method had the best performance with MAPE of 1.88 % while the rest of the models had 13.22, 8.75, 7.26, and 6.18 for linear regression, ANN, polynomial regression, and hybrid regarrison models [135].

Later in 2020, The volume of filtration for WBM and OBM was predicted using, random forest (RF), XGBoost, support vector machine (SVM), ANN, and multi-linear regression algorithms. For this aim, 1,298 clay and polymer-based mud, 1,786 KCl-polymer WBM, and 105 OBM data points were collected and used to train and test the models. The input parameters for the WBM models were PV, YP, mud density, and temperature while AV, mud density, electrical stability, and water content were the input parameters for OBM models. The relative importance of each input parameter was evaluated, and the results showed that PV has the highest impact in WBM models while the water content had the highest importance in OBM models [136]. In 2022, Linear regression, ANN, and ERT decision tree were used to predict PV, YP, gel 10 s, gel 10 min, pH, and the filtration volume of WBM. A dataset containing 6878 data points were used in developing the models. The accuracy of the models was evaluated using MAE for the models which was 1.17 for linear regression, 0.74 for ANN, and 0.27 for ERT decision tree [137].

Golsefatan and Shahbazi [138] presented one of the trails of applying ANN in predicting the properties of drilling fluid. In this study, the authors developed ANN that can predict the effect of NPs if used as additives to modify the characteristics of the drilling fluids according to what’s needed in drilling operation. The authors collected about 1003 data points from the literature and used them to develop the model, which can then be used in predicting the filtration volume of KCl-polymer WBM. Different parameters were taken into consideration in this model, especially the type and concentration of NPs, KCl concentration, temperature, pressure, rate of penetration, and time. The developed ANN model was made of 3 layers, 2 of them are hidden layers (Figure 18). Almost 803 data points were used in developing and training while the other 200 were used for testing the developed model. After that several statistical tests were made to indicate the accuracy of the constructed model, which showed that the model can describe and predict the filtrate volume efficiently and precisely. Furthermore, this study showed that the volume of filtrate is very sensitive to the concentration of NPs as shown in Figure 19 [138]. In 2021, a similar approach has been used to predict the volume of filtrate using ANN and SVM algorithms were used considering the same aforementioned input parameters for 1,003 data point [139].



Figure 18 General architecture of an ANN model (a), and a neuron structure (b) [138].


As above-mentioned, ANN was applied to predict the density and rheological properties of drilling fluids that have no NPs [126,128,130,132] in addition to predicting the filtration characteristics of NPs-based drilling fluids [138]. A novel application of ANN to predict the rheological properties of NPs-based drilling fluids is introduced by Gasser et al. [140]. In this study, promising ANN models were developed to predict the 4 viscosity-related parameters that are usually measured and optimized (AV, PV, YP, gel-10 s, and gel-10 min) for a nano-based drilling fluid.

Experimental data were collected and used to feed the ANN. Four types of NPs with different sizes and characteristics were used in those experiments: Al2O3, SiO2, TiO2, and CuO NPs. The experimental data was collected for 3 different types of NPs-based drilling fluids (KCl-polymer, low solid non-dispersed, and bentonite-based mud). The data was then divided into 70 % for training, 15 % for validating, and 15 % for testing. MATLAB–ANN tool was used to develop the models. N-encoded method was used to convert the categorical data of the NPs, and the drilling fluid types into numerical data. The input used to construct the models were: 1) the drilling fluid type, 2) the NPs’ type, 3) NPs’ concentration, 4) NPs’ size, and 5) NPs’ molecular weight. The targets (outputs) of the models were the rheological parameters. Statistical description of the data for different NPs-based drilling fluids is shown in Table 5 [140].



Figure 19 Sensitivity analysis of filtration volume [138]. Figure shows that in modeling the filtration volume, the most sensitive parameter is NPs concentration, and the least sensitive parameter is RPM.


Table 5 Statistical description of the data sets for different NPs-based drilling fluids [140].


KCl-polymer mud

Low solid non-dispersed mud

Bentonite-based mud

Parameter

Min.

Max.

Avg.

SD

Min.

Max.

Avg.

SD

Min.

Max.

Avg.

SD

NPs’ Type

Aluminum oxide (Al2O3), silica oxide (SiO2), titanium oxide (TiO2), copper oxide (CuO)

NPs’ Concentration (wt. %)

0

1

0.5

0

1

0.5

0

1

0.5

NP’s Size (nm)

15

40

27.5

15

40

27.5

15

40

27.5

NPs’ Molecular Weight

60.08

101.96

81.02

60.08

101.96

81.02

60.08

101.96

81.02

PV (cP)

1

14

8.03

2.99

4

8

6.11

1.07

6

15

12.03

2.25

AV (cP)

6.5

13.5

9.09

2.09

8.5

25

16.9

3.16

7.5

17.5

13.17

2.66

YP (lb/100 ft2)

8

19

11.8

3.14

8

21

14.3

3.42

8

21

14.3

3.42

Gel-10 s (lb/100 ft2)

2

7

4.11

1.27

4

21

15.65

3.18

2

10

5.23

1.9

Gel-10 min. (lb/100 ft2)

3

29

7.92

6.36

5

24

17.8

3.57

4

46

24

9.9

Temperature (˚F)

120

Pressure (atm)

1



Statistical tests were conducted to evaluate the performance of the newly developed models. The R was used to measure the fitness of the curve. The deviation of the predicted and the actual values for each point are determined using the relative deviation (RD), while the standard deviation of the predicted and real values are obtained by the standard deviation (SD). The mean difference between the predicted and the actual data with respect to the actual data is calculated using the average relative error (ARE) and average absolute relative error (AARE). The MSE was originally used in constructing and evaluating the model at the training phase. The accuracy of the developed ANN-model showed promising results. The overall R were 0.975, 0.987, 0.962, 0.997 and 0.991 for the developed PV, AP, YP, gel-10 s, and gel-10 min models, respectively. The overall MSE were 0.257, 0.208, 1.476, 0.08, and 0.81 for the aforementioned rheological properties, respectively, while the overall AARE were 5.425, 0.566, 5.869, 5.553, and 6.437, respectively [140].

In 2022, the filtration volume for 3 types of WBM was predicted for nano-based drilling fluids using ANN. A MATLAB script was developed to conduct 6,750 different combinations of different parameters like transfer function of the hidden layer, transfer function of the output layer, number of neurons of the hidden layer, the number of hidden layers, and the training function [141]. The categorical data were converted into numerical data using N-encoded method with a total of 2,863 data points. The developed model predicts the filtration volume based on the composition (drilling fluid type, NPs type, concentration, size, molecular weight, temperature, pressure, and time). The input parameters were normalized to be ranging between 0 and 1 while the filtration volume was transformed to have more normal distribution like curve. The overall accuracy of the model was measured using R, RMSE, ARE, RD, SD, and AARE which were found to be 0.9941, 0.5838, 0.0042, 0.3408, 0.1855, and 0.0515, respectively [141]. Later in 2023, the authors extended the ANN model to predict the extent of filtrate invasion under various operational conditions. The model is trained using experimental data from laboratory tests on nanoparticle-enhanced drilling fluids as well as from literature (Table 6) [101]. The model’s ability to predict filtrate invasion provides a valuable tool for engineers to optimize drilling fluid formulations in real-time, reducing the risks of formation damage and improving the overall efficiency of drilling operations. Figure 20 shows a comparison between the proposed model and the Golsefatan and Shahbazi model [138] based on R, RMSE, ARE, MSE, SD, and AARE. The model’s ability to predict filtrate invasion provides a valuable tool for engineers to optimize drilling fluid formulations in real-time, reducing the risks of formation damage and improving the overall efficiency of drilling operations [101].

Figure 20 Comparison between the proposed model and the Golsefatan and Shahbazi model [138] based on R2, RMSE, ARE, MSE, SD, and AARE. The statistical parameters confirm the better accuracy of the newly developed model [101].


Table 6 Statistical description of the data sets for different NPs-based drilling fluids [101].

Parameter

Maximum

Minimum

Mean

Median

Mode

SD

Skewness

Drilling Fluid Type

Salt-Polymer WBM, low solid non-dispersed mud (LSNDM),

And bentonite water-based mud (BWBM)

NPs’ Type

Ferric oxide (Fe2O3), aluminum oxide (Al2O3), silica oxide (SiO2), titanium oxide (TiO2), copper oxide (CuO), magnesium oxide (MgO), and zinc oxide (ZnO)

NPs’ Concentration (wt %)

2.5

0.001

0.627

0.5

0.5

0.569

1.597

NPs’ Molecular Weight (g/mol)

159.69

40.3044

80.757

79.866

60.08

47.289

0.239

NPs’ Size (nm)

100

3

34.454

30

50

29.982

0.974

Temperature (℉)

350

77

121.419

80

80

75.787

1.408

Pressure (Psi)

500

100

157.692

100

100

114.435

1.929

Time (s)

5,400

10

1,044.025

900

1,800

935.568

2.105

Filtrate Volume (mL)

140

0.1

8.473

7.5

9

7.671

6.426

Davoodi et al. [142] predicted the rheological and filtration characteristics of WBM using a field dataset of 1,160 records collected from 14 wells in 2 oil and gas fields in southwest Iran. The target properties for prediction include PV, YP, and filtrate volume (FV). Six different models were tested, and the study found that the Multilayer Extreme Learning Machine (MELM) hybridized with the Cuckoo Optimization Algorithm (COA) delivered the best predictions for PV, YP, and FV. The model demonstrated the ability to generate reliable predictions using more readily available variables such as flow density, mud filtrate volume, and solids content, which are typically easier to measure during drilling operations. MELM-COA provides the best PV, YP, and FV predictions. It achieves RMSE values of 0.6357 mL (FV), 0.6086 cP (PV), and 0.6796 lb/100 ft 2 (YP). MELM-COA proved to be a rapid and accurate method for predicting drilling fluid properties, offering a real-time alternative to time-consuming laboratory tests for filtration and rheological properties.

Al-Rubaii et al. [143] presented 2 novel models to predict ECD and mud weight using surface drilling parameters, including standpipe pressure, rate of penetration, drill string rotation, and mud properties. The study employed ANN and SVM to predict ECD with an impressive correlation coefficient of 0.9947 and an AAPE of 0.23 %. For predicting mud weight, a decision tree (DT) model was used, achieving a correlation coefficient of 0.9353 and an AAPE of 1.66 %. The results demonstrated that these 2 novel models outperformed other AI techniques when compared to values obtained from pressure-while-drilling tools. The models showed greater accuracy and offer a cost-effective alternative to traditional methods.

Kandil et al. [144] predicted ECD using 3 ML algorithms: ANN, K Neighbors Regressor (KNN), and Passive Aggressive Regressor (PAR). These models are based on 14 critical operational parameters, such as annular pressure, annular temperature, and rate of penetration, provided by downhole sensors during drilling operations. Almost 4,663 data points, with 80 - 85 % of the data used for training and validation, while the remaining data is reserved for testing. The ANN model demonstrated exceptional performance, with a R of nearly 0.999 for training, validation, and testing phases. The RMSE values for overall, training, validation, and testing were 0.000211, 0.000253, 0.00293, and 0.00315, respectively.

Other studies addressed the challenge of optimizing fracture fluid viscosity in high-salinity mediums like seawater and produced water. A series of rheology experiments were conducted using an Anton Paar rheometer to gather viscosity data across varying conditions, including different polymer types and concentrations, crosslinkers, chelating agents, water salinities, shear rates, temperatures, pressures, and mixing orders [145]. The experiment resulted in 645 data points from 86 tests, which were then input into several ML models, including fully connected neural networks (FCNN), gradient boosting (GB), adaptive gradient boosting (AdaBoost), extreme gradient boosting (XGB), RF, and DT. The models’ hyperparameters were optimized using a grid search technique during the training phase, and their performance was further enhanced using K-fold cross-validation. The model accuracy was evaluated using metrics like RMSE, R, AAPE, and cross-plots. Among all the models tested, the FCNN model outperformed the others, yielding a 95 % accuracy in predicting the viscosity of fracturing fluids, with significantly lower error rates. Furthermore, the study used particle swarm optimization (PSO) to maximize fracturing fluid viscosity by optimizing input parameters where the FCNN model was trained. This methodology offers a promising approach to predict fracturing fluid viscosity and potentially minimize the experimental costs associated with measuring fluid rheology [145].

Two data-driven ML approaches were proposed for predicting the rheology and filtration properties of nano-SiO2 WBM, which are ANN and least-square-support-vector-machine (LSSVM) [146]. Parameters involved for the prediction of shear stress were SiO2 NPs concentration, temperature, and shear rate, whereas SiO2 NPs concentration, temperature, and time were the inputs to simulate filtration volume. A feed-forward multilayer perceptron was constructed and optimized using the Levenberg–Marquardt learning algorithm. The parameters for the LSSVM were optimized using Couple Simulated Annealing. The performance of each model is evaluated based on several statistical parameters. The predicted results achieved R value higher than 0.99 and MAE and MAPE values below 7 % for both the models [146]. The developed models were further validated with experimental data that reveals an excellent agreement between predicted and experimental data. Figure 21 shows the general workflow to develop the ML models.



Figure 21 General workflow to develop the ML models [146].


Gasser et al. [147] studied the effects of MgO and ZnO NPs on the rheological properties of KCl-polymer WBM. The results showed that the MgO improves the rheological properties of the drilling fluids when added at a high concentration of 0.7 wt %, while ZnO has shown a significant improvement at low concentration of 0.1 wt %. In addition, 5 ANN models were constructed to predict the rheological properties (at 120 °F and atmospheric pressure) of the nano-modified drilling fluids based on their composition. The effect of NPs’ type, size, concentration, and drilling fluid formulations were considered. The 5 models showed good accuracy with an overall correlation coefficient of 0.9017, 0.941, 0.878, 0.961, and 0.9, for PV, AV, YP, gel-10 s, and gel-10 min, respectively.

ML-based methodology for optimal hyperparameter determination and prediction of the drilling fluid rheological behavior at HTHP was proposed [148]. The dataset used in this study was obtained from extensive rheometric tests of WBM and olefin-based drilling fluid in steady-state flow curves. The optimal hyperparameters were guided by performance metrics and compared with alternative models such as Power-law and Herschel-Bulkley rheological models. Different configurations with different hidden layers, using neuron sequences of 16, 32, and 64, learning rates of 0.001 and 0.01, and the ReLU activation function were used to improve the model’s performance. Additionally, the work delved into the impact of the number of training epochs on the accuracy of shear stress predictions. Finding this equilibrium was identified as a crucial factor in achieving precise results. The neural network model demonstrated remarkable accuracy when using the ML-C3 configuration, with MAE value of 0.535 and R of 0.987 in predicting the steady-state flow curves of drilling fluids, establishing itself as a powerful tool for forecasting the rheological behavior of these fluids under diverse operational conditions [148]. Figure 22 illustrates the process flowchart and the methodology implemented with each step followed in developing the ANN to predict steady-state flow curve data.


Figure 22 Prediction process flowchart. The methodology implemented with each step followed in developing the ANN to predict steady-state flow curve data [148].


Based on the articles reviewed in this paper, ANN is by far the most common AI algorithm in predicting the properties of drilling fluids. Figure 23. Shows a comparison of the number of existing models for each drilling fluids property. A summary of the reviewed articles is presented in Table 7.



Figure 23 The number of existing models for drilling fluids parameters.


Table 7 A compressive summary for the AI and ML studies on drilling fluids.

Year

Used algorithm(s)

Target parameter(s)

Input parameter(s)

Accuracy

Number of data

Reference(s)

2016

ANN

R300
R600
n
PV
AV
k
YP

Marsh funnel viscosity
Solid content
Density

R = 0.8981,
0.9235,
0.954,
0.917,
0.9235,
0.9205
ABE = 3

9,000

[126]

2018

ANN

Density
Viscosity
Gel strength

Distance between receiver and transmitter
Amplitude
Time of flight

MAPE = 0.84 - 0.95,
4.4 - 7,
15 - 19 %

700 - 800

[130]

2018

ANN, PSO

Mud density

Initial fluid density

Pressure

Temperature

R = 0.9964 MSE = 0.0001374

664

[131]

2019

ANN

PV
YP
AV
n

R300

R600

Mud density
Marsh funnel viscosity
Solid percent

R = 0.95,
0.93,
0.96,
0.92

1,029

[127]

2019

ANN
Adaptive neuro-fuzzy inference system

ECD

Mud weight
Surface drill pipe pressure
Rate of penetration

R = 0.9971

2,376

[133]

2020

ANN

YP
PV
AV

Marsh funnel viscosity
Density

R = 0.94,
0.95,
0.98

200

[128]

2020

ANN

Downhole density

Downhole pressure
Downhole temperature
Initial mud density
Final mud density

R = 0.9999

117

[132]

2020

Linear regression
polynomial regression
Hybrid regression
Ensemble method
ANN

All at elevated temperature:
Shear reading at 600 RPM
Shear reading at 300 RPM
Shear reading at 200 RPM
Shear reading at 100 RPM
Shear reading at 6 RPM
Shear reading at 3 RPM
Gel-10 s
Gel-10 min

All at ambient temperature:
8 features for the composition
6 features for the rheology
Gel 10 s
Gel 10 min
________________
Field temperature

MAPE = 13.22,
7.26,
6.18,
1.88,
8.75 %

[141]

2020

RF
XGBoost
SVM
ANN
multi-linear regression

Filtration

WBM:
PV
YP
Mud density
Temperature
--------------------------
OBM:
AV
Mud density
Electrical stability
Water content

R = 0.86,
0.82,
0.83,
0.81,
0.75,

1,298 WBM,
1,786 KCl-polymer WBM, and
105 OBM

[136]

2020

ANN

Filtration volume of nano-based fluids

NP type
NP Conc,
KCl Conc.
Temperature
Pressure
RPM
Time

R = 0.9928

1,003

[138]

2021

ANN
Adaptive neuro-fuzzy inference system

ECD

Standpipe pressure
WOB
ROP
Flow rate
RPM
Torque

R = 0.98,
0.96

3,570

[134]

2021

SVM and
ANN

Filtration of nano-based fluids

NP type
NP Conc,
KCl Conc.
Temperature
Pressure
RPM
Time

R= 0.998,
0.999

1,003

[139]

2021

ANN

For nano-based fluids:
PV
AV
YP
Gel 10 s
Gel 10 min

Fluid type
NPs type
NPs Conc.
NP molecular weight
NPs size

R = 0.978,
0.987,
0.962,
0.997,
0.991

400 - 500

[140]

2022

ANN

PV, YP, AV,
and
n

Mud density
Marsh funnel viscosity
Solid percent

R = 0.94,
0.92,
0.92,
0.95

522

[129]

2022

Linear regression
ANN
ERT decision trees

YP
PV
Gel 10 s
Gel 10 min
Filtration
pH

MAE = 1.17,
0.74,
0.27

6,878

[139]

2022

ANN

Filtration of nano- based fluids

Fluid type

NP type
NP Concentration
NP molecular weight
NP size
Temperature
Pressure
Time

R = 0.9942

2,863

[141]

2023

ANN

Least-square-support-vector-machine (LSSVM)

Prediction of shear stress/

and Filtration volume

SiO2 NPs concentration, temperature, and shear rate/

and SiO2 NPs concentration, temperature, and time

R higher than 0.99 and MAE and MAPE values below 7 % for both the models

254

[146]

2024

ANN

PV

AV

YP

gel-10 s, and

gel-10 min

Fluid type
NPs type
NPs Conc.
NP molecular weight
NPs size

R = 0.9017, 0.941, 0.878, 0.961,

0.90

-

[147]

2024

ANN

Steady-state flow curves

Fluid type, pressure, temperature, and shear rate

MAE value of 0.535 and R of 0.987

-

[148]


Despite the clear benefits of NPs and their significant potential in enhancing the properties of drilling fluids, further research is essential to optimize the types and concentrations of NPs for different drilling conditions [149-151]. Moreover, while laboratory studies under controlled conditions have demonstrated promising results, the performance of nanofluids in real-world field applications remains underexplored. Field studies are crucial to validate the potential of nanofluids, as the actual drilling environment often presents unpredictable variables that could affect their efficacy [152-154]. Moreover, despite the challenges of data cleaning and processing, ANN and ML have proven to be reliable tools for predicting drilling fluid properties [155-158]. Developing hybrid models that integrate these techniques with traditional physical and chemical models could provide even more accurate and robust predictions.


Recommendations and future perspectives

As NPs have shown significant potential in enhancing the properties of drilling fluids, further research should explore the optimal types and concentrations of NPs for various drilling conditions. Additionally, the interaction mechanisms between NPs and other fluid components should be studied in more detail to fully understand their impact on fluid performance under extreme conditions. While the positive aspects of using NPs in the drilling industry are undeniable, several challenges remain. Another significant challenge is the development of models that can accurately capture the effects of NPs on overall drilling fluid performance, providing reliable predictions under varying conditions. Other recommendations and future research perspectives are:

1) One of the primary challenges is the efficient synthesis and large-scale production of NPs. Despite the promising potential of NPs, their large-scale production remains costly and complex. As a result, it is crucial to develop cost-effective and efficient methods for nanoparticle production.

2) The high cost of NPs is another significant hurdle. However, recent advancements in enhanced synthesis methods have reduced the cost of various types of NPs, making them more affordable compared to several expensive chemicals currently used by oil and gas companies.

3) The development and implementation of a comprehensive methodology for assessing the formation damage caused by NPs-based drilling fluids is crucial for optimizing drilling operations. Accurately evaluating the extent of formation damage helps in understanding how drilling fluids interact with the formation, affecting reservoir permeability, wellbore stability, and overall production efficiency.

4) While NPs and advanced polymers are promising, other emerging additives should also be explored. For instance, bio-based additives or those derived from renewable resources could offer promising alternatives to traditional chemical-based solutions. Research into these alternatives could lead to more sustainable and eco-friendly drilling fluids.

5) Future studies should consider the environmental impact and sustainability of additives, especially NPs, used in drilling fluids. Research into biodegradable and non-toxic alternatives could reduce the ecological footprint of drilling operations. The life cycle analysis of these materials, including their impact on both the environment and the economy, should be prioritized.

6) It is essential to continue developing models that predict and optimize the rheological properties of drilling fluids under harsh conditions, such as high pressure and temperature environments. These models should account for time-dependent changes in fluid behavior and provide strategies for maintaining optimal flow and performance during the entire drilling process.

7) While ANN and ML have proven to be reliable tools for predicting drilling fluid properties, developing hybrid models that integrate these techniques with traditional physical and chemical models could provide even more accurate and robust predictions. This approach could enable better forecasting of fluid behavior under different operational conditions.

8) To improve the reliability of ANN and ML models, continuous data collection during actual drilling operations is necessary. This will help refine the models, ensuring that they adapt to changing fluid characteristics over time and under varying environmental factors. Real-time monitoring systems should be implemented to gather comprehensive data on fluid properties, enabling adaptive control strategies.

9) To validate the predictive capabilities of ANN and ML models, they should be tested across a wide range of reservoir conditions and geographic locations. By ensuring the models’ applicability in various real-world scenarios, their adoption can be more widespread in industry.


Conclusions

This paper highlights the significant advancements in the field of drilling fluid optimization, particularly the introduction of NPs and novel polymers, and the growing role of AI methods such as ANN and ML. The use of these advanced techniques enables more precise predictions of drilling fluid behavior, offering improved control over fluid properties and operational efficiency. The integration of ANN and ML models with traditional models can enhance their reliability and provide valuable insights for fluid management under various operational conditions. Furthermore, the ongoing development of new additives and optimization models paves the way for more sustainable and efficient drilling practices. Future research should focus on refining these models and exploring alternative, environmentally friendly additives to further enhance the performance and sustainability of drilling fluids. Based on this review of the previous literature research, the following conclusions can be drawn:

1) The monitoring and optimization of the rheological behavior of drilling fluids are crucial during drilling operations. Continuous control of shear viscosity is essential to ensure efficient fluid performance, especially in non-Newtonian fluids where shear stress significantly impacts viscosity. Effective optimization can improve drilling efficiency and reduce operational costs.

2) The addition of NPs to drilling fluids has shown significant improvements in key rheological properties. Laboratory studies report up to a 20 - 30 % increase in viscosity, 25 - 40 % enhancement in yield stress, and up to 35 % better gel strength when small concentrations of NPs are added. These results suggest that NPs can greatly enhance fluid performance, although field testing is necessary for broader validation.

3) NPs have also been shown to positively impact the filtration properties of drilling fluids. The addition of NPs can reduce fluid loss by up to 15 - 25 % by forming a more stable filter cake that enhances the sealing properties. This helps to minimize fluid loss into porous formations, reducing costs associated with excessive fluid consumption and improving wellbore stability. NPs, particularly those with surface-active characteristics, contribute to better fluid-barrier formation, improving the overall efficiency of the drilling process.

4) Several new materials have shown promising results as drilling fluid additives. Studies on henna-leaf and hibiscus-leaf extracts, glass beads, local bentonites, and date-pits have demonstrated improvements in fluid properties. These materials have provided up to a 15 - 20 % increase in fluid stability and enhanced lubrication, suggesting their potential for use in various drilling conditions.

5) ANN has been shown to provide more accurate predictions of drilling fluid behavior compared to traditional rheological models. ANN-based models can predict fluid viscosity with an accurate improvement of approximately 10 - 15 % over existing models. This increased precision makes ANN a valuable tool for real-time optimization and better decision-making in drilling operations.

6) Despite laboratory successes, further research is required to validate these findings under real-world conditions. The implementation of NPs and novel additives in field applications could result in 10 - 20 % improvement in overall drilling efficiency, depending on the specific material and drilling environment. Moreover, future research should explore the integration of AI models with advanced materials to enhance sustainability and reduce environmental impacts.


Acknowledgements

The authors would like to express their sincere thanks and appreciation to their universities (Texas A&M and Future University in Egypt) and institutions for their continuous encouragement and support.


References

  1. AT Bourgoyne, KK Millheim, ME Chenevert and SF Young. Applied drilling engineering. Vol II. Society of Petroleum Engineers, Richardson, United States, 1991.

  2. S Elkatatny, M Mahmoud and HA Nasr-El-Din. Filter cake properties of water-based drilling fluids under static and dynamic conditions using computed tomography scan. Journal of Energy Resources Technology 2013; 135(4), 042201.

  3. FB Growcock, TP Frederick, AR Reece, GW Green and MD Ruffin. Novel lubricants for water-based drilling fluids. In: Proceedings of the SPE International Symposium on Oilfield Chemistry, Houston, Texas, United States. 1999.

  4. WE Foxenberg, SA Ali, TP Long and J Vian. Field experience shows that new lubricant reduces friction and improves formation compatibility and environmental impact. In: Proceedings of the SPE International Symposium and Exhibition on Formation Damage Control, Lafayette, Louisiana, United States. 2008.

  5. American Petroleum Institute. API RP 13-B1: Recommended practice for field testing of water-based drilling fluids. 5th ed. American Petroleum Institute, Washington, D. C., United States, 2003.

  6. EC Bingham. Fluidity and plasticity. McCraw-Hill, New York, United States, 1922.

  7. AH Salih and H Bilgesu. Investigation of rheological and filtration properties of water-based drilling fluids using various anionic nanoparticles. In: Proceedings of the at the SPE Western Regional Meeting, Bakersfield, California, United States. 2017.

  8. T Hemphill, W Campos and A Pilehvari. Yield-power law model more accurately predicts mud rheology. Oil and Gas Journal 1993; 91, 34.

  9. WH Herschel and R Bulkley. Konsistenzmessungen von Gummi-Benzollösungen. Kolloid-Zeitschrift 1926; 39(4), 291-300.

  10. C Mark. Rheology of disperse systems. In: Proceedings of the Conference Organized by the British Society of Rheology, Swansea, Massachusetts, United States. 1959.

  11. H Rahmanifard and T Plaksina. Application of artificial intelligence techniques in the petroleum industry: A review. Artificial Intelligence Review 2019; 52(4), 2295-2318.

  12. TA Olukoga and Y Feng. Practical machine-learning applications in well-drilling operations. SPE Drilling & Completion 2021; 36(04), 849-867.

  13. OE Agwu, JU Akpabio, SB Alabi and A Dosunmu. Artificial intelligence techniques and their applications in drilling fluid engineering: A review. Journal of Petroleum Science and Engineering 2018; 167, 300-315.

  14. S Choubey and GP Karmakar. Artificial intelligence techniques and their application in oil and gas industry. Artificial Intelligence Review 2021; 54(5), 3665-3683.

  15. G Cheraghian. Nanoparticles in drilling fluid: A review of the state-of-the-art. Journal of Materials Research and Technology 2021; 13, 737-753.

  16. C Zamora-Ledezma, C Narváez-Muñoz, VH Guerrero, E Medina and L Meseguer-Olmo. Nanofluid formulations based on 2-dimensional nanoparticles, their performance, and potential application as water-based drilling fluids. ACS Omega 2022; 7(24), 20457-20476.

  17. A Mady, O Mahmoud and A Dahab. Can nanoparticles improve the characteristics of drilling fluids? In: Proceedings of the 13th International Conference on Mining, Metallurgical, and Petroleum Engineering, Suez, Egypt. 2019.

  18. A Mady, O Mahmoud and A Dahab. Nanoparticle-based drilling fluids as promising solutions to enhance drilling performance in Egyptian oil and gas fields. International Journal of Industry and Sustainable Development 2020; 1(1), 24-38.

  19. A Mady, O Mahmoud and A Dahab. Nanoparticles as promising additives to improve the drilling of Egyptian oil and gas fields. In: Proceedings of the ASME 39th International Virtual Conference on Ocean, Offshore and Arctic Engineering. Florida, United States, 2020.

  20. M Amanullah, MK Al-Arfaj and Z Al-Abdullatif. Preliminary test results of nano-based drilling fluids for oil and gas field application. In: Proceedings of the SPE/IADC Drilling Conference and Exhibition, Amsterdam, Netherlands. 2011.

  21. Y Jung, M Barry, JK Lee, P Tran, Y Soong, D Martello and M Chyu. Effect of nanoparticle-additives on the rheological properties of clay-based fluids at high temperature and high pressure. In: Proceedings of the AADE National Technical Conference and Exhibition, Houston, Texas, United States. 2011.

  22. J Abdo and MD Haneef. Nano-enhanced drilling fluids: Pioneering approach to overcome uncompromising drilling problems. Journal of Energy Resources Technology 2012; 134, 014501.

  23. Z Vryzas, O Mahmoud, HA Nasr-El-Din and VC Kelessidis. Development and testing of novel drilling fluids using Fe2O3 and SiO2 nanoparticles for enhanced drilling operations. In: Proceedings of the International Petroleum Technology Conference, Doha, Qatar. 2015.

  24. Z Vryzas, O Mahmoud, HA Nasr-El-Din, V Zaspalis and VC Kelessidis. Incorporation of Fe3O4 nanoparticles as drilling fluid additives for improved drilling operations. In: Proceedings of the ASME 35th International Conference on Ocean, Offshore and Arctic Engineering, Busan, South Korea. 2016.

  25. Z Vryzas, V Zaspalis, L Nalbantian, O Mahmoud, HA Nasr-El-Din and VC Kelessidis. A comprehensive approach for the development of new magnetite nanoparticles giving smart drilling fluids with superior properties for hp/ht applications. In: Proceedings of the International Petroleum Technology Conference, Bangkok, Thailand. 2016.

  26. Z Vryzas, VC Kelessidis, MB Bowman, L Nalbantian, V Zaspalis, O Mahmoud and HA Nasr-El-Din. Smart magnetic drilling fluid with in-situ rheological controllability using Fe3O4 nanoparticles. In: Proceedings of the SPE Middle East Oil & Gas Show and Conference, Manama, Kingdom of Bahrain. 2017.

  27. MM Barry, Y Jung, JK Lee, TX Phuoc and MK Chyu. Fluid filtration and rheological properties of nanoparticle additive and intercalated clay hybrid bentonite drilling fluids. Journal of Petroleum Science and Engineering 2015; 127, 338-346.

  28. Z Vryzas, L Nalbandian, VT Zaspalis and VC Kelessidis. How different nanoparticles affect the rheological properties of aqueous wyoming sodium bentonite suspensions. Journal of Petroleum Science and Engineering 2019; 173, 941-954.

  29. AR Ismail, NM Rashid, MA Jaafar, WRW Sulaiman and NA Buang. Effect of nanomaterial on the rheology of drilling fluids. Journal of Applied Sciences 2014; 14, 1192-1197.

  30. A Aftab, AR Ismail and ZH Ibupoto. Enhancing the rheological properties and shale inhibition behavior of water-based mud using nanosilica, multi-walled carbon nanotube and graphene nanoplatelet. Egyptian Journal of Petroleum 2017; 26, 291-299.

  31. AR Ismail, A Aftab, ZH Ibupoto and N Zolkifile. The novel approach for the enhancement of rheological properties of water-based drilling fluids by using multi-walled carbon nanotube, nanosilica and glass beads. Journal of Petroleum Science and Engineering 2016; 139, 264-275.

  32. AR Ismail, WRW Sulaiman, MZ Jaafar, A Aftab, AA Razi and ZH Ibupoto. The application of MWCNT to enhance the rheological behavior of drilling fluids at high temperature. Malaysian Journal of Fundamental and Applied Sciences 2017; 12(3), 95-98.

  33. A Aftab, AR Ismail, S Khokhar and ZH Ibupoto. Novel zinc oxide nanoparticles deposited acrylamide composite used for enhancing the performance of water-based drilling fluids at elevated temperature conditions. Journal of Petroleum Science and Engineering 2016; 146, 1142-1157.

  34. AA Nizamani, AR Ismail, R Junin, AQ Dayo, AH Tunio, ZH Ibupoto and MAM Sidek. Synthesis of titania-bentonite nanocomposite and its applications in water-based drilling fluids. Chemical Engineering Transactions 2017; 56, 949-954.

  35. O Mahmoud, HA Nasr-El-Din, Z Vryzas and VC Kelessidis. Using ferric oxide and silica nanoparticles to develop modified calcium bentonite drilling fluids. SPE Drilling & Completion 2018; 33(1), 12-26.

  36. O Mahmoud, HA Nasr-El-Din, Z Vryzas and VC Kelessidis. Effect of ferric oxide nanoparticles on the properties of filter cake formed by calcium bentonite-based drilling muds. SPE Drilling & Completion 2018; 33(4), 363-376.

  37. MAA Alvi, M Belayneh, S Bandyopadhyay and MW Minde. Effect of iron oxide nanoparticles on the properties of water-based drilling fluids. Energies 2020; 13(24), 6718.

  38. O Mahmoud, HA Nasr-El-Din, Z Vryzas and VC Kelessidis nanoparticle-based drilling fluids for minimizing formation damage in HTHP applications. In: Proceedings of the International Conference & Exhibition on Formation Damage Control, Lafayette, Louisiana, United States. 2016.

  39. M Rashidi, A Sedaghat, B Misbah, M Sabati and K Vaidyan. Use of SiO2 nanoparticles in water-based drilling fluids for improved energy consumption and rheology: A laboratory study. SPE Journal 2021; 26(6), 3529-3543.

  40. O Mahmoud and HA Nasr-El-Din. Formation damage assessment and filter cake characterization of NPs/Ca-bentonite fluids for drilling harsh environments using computed-tomography scan. In: Proceedings of the SPE Trinidad and Tobago Section Energy Resources Conference, Port of Spain, Trinidad and Tobago. 2018.

  41. MT Al-saba, A Al Fadhli, A Marafi, A Hussain, F Bander and MF Al Dushaishi. Application of nanoparticles in improving rheological properties of water based drilling fluids. In: Proceedings of the SPE Kingdom of Saudi Arabia Annual Technical Symposium and Exhibition, Dammam, Saudi Arabia. 2018.

  42. SR Smith, R Rafati, AS Haddad, A Cooper and H Hamidi. Application of aluminium oxide nanoparticles to enhance rheological and filtration properties of water based muds at HPHT conditions. Colloids and Surfaces A: Physicochemical and Engineering Aspects 2018; 537, 361-371.

  43. S Medhi, S Chowdhury, JS Sangwai and DK Gupta. Effect of Al2O3 nanoparticle on viscoelastic and filtration properties of a salt-polymer-based drilling fluid. Energy Sources, Part A: Recovery, Utilization, and Environmental Effects 2019; 45(1), 2385-2397.

  44. PAL Anawe and AJ Folayan. Investigation of the effect of Yttrium Oxide (Y2O3) nanoparticle on the rheological properties of water based mud under high pressure high temperature environment. International Journal of Mechanical Engineering and Technology 2018; 9(7), 545-559.

  45. MS Al Ruqeishi, Y Al Salmi and T Mohiuddin. Nanoparticles as drilling fluids rheological properties modifiers. Progress in Petrochemical Science 2018, 1(5), 97-103.

  46. J Aramendiz, AH Imqam and SM Fakher. Design and evaluation of a water-based drilling fluid formulation using SiO and graphene oxide nanoparticles for unconventional shales. In: Proceedings of the International Petroleum Technology Conference, Beijing, China. 2019.

  47. DV Kosynkin, G Ceriotti, KC Wilson, JR Lomeda, JT Scorsone, AD Patel, JE Friedheim and JM Tour. Graphene oxide as a high-performance fluid-loss-control additive in water-based drilling fluids. ACS Applied Materials & Interfaces 2012; 4(1), 222-227.

  48. NM Taha and S Lee. Nano graphene application improving drilling fluids performance. In: Proceedings of the International Petroleum Technology Conference, Doha, Qatar. 2015.

  49. EI Mikhienkova, SV Lysakov, AL Neverov, VA Zhigarev, AV Minakov and VY Rudyak. Experimental study on the influence of nanoparticles on oil-based drilling fluid properties. Journal of Petroleum Science and Engineering 2022; 208, 109452.

  50. AV Minakov, MI Pryazhnikov, EI Mikhienkova and YO Voronenkova. Systematic experimental study of the temperature dependence of viscosity and rheological behavior of water-based drilling fluids with nano-additives. Petroleum 2023; 9, 534-544.

  51. M Cheraghi, M Hajipour and A Emamzadeh. Enhancement of the heat capacity of water-based drilling fluids for deep drilling applications. Brazilian Journal of Chemical Engineering 2022; 39(1), 77-86.

  52. AH Salih, TA Elshehabi and HI Bilgesu. Impact of nanomaterials on the rheological and filtration properties of water-based drilling fluids. In: Proceedings of the SPE Eastern Regional Meeting, Canton, Ohio, United States. 2016.

  53. MT Alsaba, MF Al Dushaishi and AK Abbas. Application of nano water-based drilling fluid in improving hole cleaning. SN Applied Sciences 2020; 2(5), 905.

  54. AK Abbas. Experimental investigation of cuttings transport with nanocomposite water-based drilling fluids modified by cellulose nanoparticles. Colloids and Surfaces A: Physicochemical and Engineering Aspects 2021; 615, 126240.

  55. AK Abbas, HH Dahm and FA Hadi. Experimental study of cuttings transport efficiency of low solid bentonite drilling fluids modified by cellulose nanoparticles. Arabian Journal for Science and Engineering 2022; 47(9), 11863-11878.

  56. MC Li, Q Wu, T Lei, C Mei, X Xu, S Lee and J Gwon. Thermothickening drilling fluids containing bentonite and dual-functionalized cellulose nanocrystals. Energy Fuels 2020; 34(7), 8206-8215.

  57. A Aftab, M Ali, M Arif, S Panhwar, N M C Saady, E A Al-Khdheeawi, O Mahmoud, A R Ismail, A Keshavarz and S Iglauer. Influence of tailor-made TiO2/API bentonite nanocomposite on drilling mud performance: towards enhanced drilling operations. Applied Clay Science 2020; 199, 105862.

  58. HM Ahmad, TA Iqbal, M Al Harthi and MS Kamal. Synergistic effect of polymer and nanoparticles on shale hydration and swelling performance of drilling fluids. Journal of Petroleum Science and Engineering 2021; 205, 108763.

  59. O Mahmoud, A Mady, A S Dahab and A Aftab. Al2O3 and CuO nanoparticles as promising additives to improve the properties of KCl-polymer mud: An experimental investigation. The Canadian Journal of Chemical Engineering 2022; 100(1), 1384-1397.

  60. MH Ahasan, FA Alvi, N Ahmed and S Alam. An investigation of the effects of synthesized zinc oxide nanoparticles on the properties of water-based drilling fluid. Petroleum Research 2021; 7(1), 131-137.

  61. M Mirzaasadi, V Zarei, M Elveny, SM Alizadeh, V Alizadeh and A Khan. Improving the rheological properties and thermal stability of water-based drilling fluid using biogenic silica nanoparticles. Energy Reports 2021; 7, 6162-6171.

  62. S Medhi, S Chowdhury, DK Gupta and A Mazumdar. An investigation on the effects of silica and copper oxide nanoparticles on rheological and fluid loss property of drilling fluids. Journal of Petroleum Exploration and Production Technology 2020; 10(1), 91-101.

  63. S Ponmani, R Nagarajan and JS Sangwai. Effect of nanofluids of CuO and ZnO in polyethylene glycol and polyvinylpyrrolidone on the thermal, electrical, and filtration-loss properties of water-based drilling fluids. SPE Journal 2016; 21(02), 405-415.

  64. A Ahmed, AS Haddad, R Rafati, A Bashir, AM AlSabagh and AA Aboulrous. Developing a thermally stable ester-based drilling fluid for offshore drilling operations by using aluminum oxide nanorods. Sustainability 2021; 13(6), 3399.

  65. C Zhang, J Sun, X Huang, Y Zhang, J Zong, K Lv and J Dai. Use of modified polystyrene micro-nano spheres to improve the inhibition and plugging performance of water-based drilling fluids. Colloids and Surfaces A: Physicochemical and Engineering Aspects 2023; 668, 131409.

  66. Y Lin, Q Tian, P Lin, X Tan, H Qin and J Chen. Effect of nanoparticles on rheological properties of water-based drilling fluid. Nanomaterials 2023; 13, 2092.

  67. Z Tahr, JA Ali and AS Mohammed. Sustainable aspects behind nano-biodegradable drilling fluids: A critical review. Geoenergy Science and Engineering 2023; 222, 211443.

  68. G Wang, W Li, S Qiu, J Liu, Z Ou, X Li, F Ji, L Zhang, S Liu, L Yang and G Jiang. Application of a core-shell structure nano filtration control additive in salt-resistant clay-free water-based drilling fluid. Polymers 2023; 15, 4331.

  69. A Bardhan, F Khan, H Kesarwani, S Vats, S Sharma and S Kumar. Performance evaluation of novel silane coated nanoparticles as an additive for high-performance drilling fluid applications. In: Proceedings of the International Petroleum Technology Conference, Bangkok, Thailand. 2023.

  70. C Martin, M Babaie, A Nourian and GG Nasr. Designing smart drilling fluids using modified nano silica to improve drilling operations in Geothermal wells. Geothermics 2023; 107, 102600.

  71. A Bardhan, A Singh, H Nishanta, S Sharma, AK Choubey and S Kumar. Biogenic copper oxide nanoparticles for improved lubricity and filtration control in water-based drilling mud. Energy & Fuels 2024; 38(10), 8564-8578.

  72. A Ahmed, E Pervaiz, U Abdullah and T Noor. Optimization of water based drilling fluid properties with the SiO2/g-C3N4 Hybrid. ACS Omega 2024; 9(13), 15052-15064.

  73. AD Abdullah, JA Ali and M Abdalqadir. Exploring the role of hydrophobic nanofluids in reducing shale swelling during drilling: A step towards eco-friendly and sustainable practices. Colloids and Surfaces A: Physicochemical and Engineering Aspects 2024; 694, 134164.

  74. A Bardhan, S Vats, DK Prajapati, D Halari, S Sharma and A Saxena. Utilization of mesoporous nano-silica as high-temperature water-based drilling fluids additive: Insights into the fluid loss reduction and shale stabilization potential. Geoenergy Science and Engineering 2024; 232, 212436.

  75. C Vipulanandan and AS Mohammed. Hyperbolic rheological model with shear stress limit for acrylamide polymer modified bentonite drilling muds. Journal of Petroleum Science and Engineering 2014; 122, 38-47.

  76. YH Chai, S Yusup and VS Chok. Study on the effect of nanoparticle loadings in base fluids for improvement of drilling fluid properties. Journal of Advanced Chemical Engineering 2014; 4(3), 115.

  77. V Srivastava, M Beg, S Sharma and AK Choubey. Application of manganese oxide nanoparticles synthesized via green route for improved performance of water-based drilling fluids. Applied Nanoscience 2021; 11(8), 2247-2260.

  78. C Vipulanandan, A Mohammed and RG Samuel. Fluid loss control in smart bentonite drilling mud modified with nanoclay and quantified with vipulanandan fluid loss model. In: Proceedings of the Offshore Technology Conference, Houston, Texas, United States. 2018.

  79. RO Afolabi, OD Orodu, VE Efeovbokhan and OJ Rotimi. Optimizing the rheological properties of silica nano-modified bentonite mud using overlaid contour plot and estimation of maximum or upper shear stress limit. Cogent Engineering 2017; 4(1), 1287248.

  80. OE Agwu, JU Akpabio, ME Ekpenyong, UG Inyang, DE Asuquo, IJ Eyoh and OS Adeoye. A comprehensive review of laboratory, field and modelling studies on drilling mud rheology in high temperature high pressure (HTHP) conditions. Journal of Natural Gas Science and Engineering 2021; 94, 104046.

  81. MM Dardir, IA Awadallah, SI Abd El-Wahab and HI Al-Shefey. Improvement of the rheological properties of local bentonite clay using new blending polymers for water-based drilling fluids. Egyptian Journal of Chemistry 2016; 59(1), 59-78.

  82. HM Ahmad, MS Kamal, M Mahmoud, SMS Hussain, M Abouelresh and MA Al-Harthi. Organophilic clay-based drilling fluids for mitigation of unconventional shale reservoirs instability and formation damage. Journal of Energy Resources Technology 2019; 141(9), 093102.

  83. G Cheraghian, Q Wu, M Mostofi, M-C Li, M Afrand and SJ Sangwai. Effect of a novel clay/silica nanocomposite on water-based drilling fluids: improvements in rheological and filtration properties. Colloids and Surfaces A: Physicochemical and Engineering Aspects 2018; 555, 339-350.

  84. V Nooripoor, R Nazemi and A Hashemi. Employing nano-sized additives as filtration control agent in water-based drilling fluids: study on barium sulfate, bentonite, surface-modified bentonite, titanium oxide, and silicon oxide. Energy Sources, Part A: Recovery, Utilization, and Environmental Effects 2020; 46(1), 1-17.

  85. Z Tang, Z Qiu, H Zhong, H Mao, K Shan and Y Kang. Novel acrylamide/2-acrylamide-2-3 methylpropanesulfonic acid/styrene/maleic anhydride polymer-based CaCO3 nanoparticles to improve the filtration of water-based drilling fluids at high temperature. Gels 2022; 8(5), 322.

  86. J P Deville, PA May and JJ Miller. Nanoparticle fluid loss control additive enables zero-spurt loss in high performance water-based drilling fluids. In: Proceedings of the IADC/SPE International Drilling Conference and Exhibition, Galveston, Texas, United States. 2022.

  87. JK Adewole and MO Najimu. A study on the effects of date pit-based additive on the performance of water-based drilling fluid. Journal of Energy Resources Technology 2017; 140(5), 052903.

  88. AR Ismail, NMNA Mohd, NF Basir, JO Oseh, I Ismail and SO Blkoor. Improvement of rheological and filtration characteristics of water-based drilling fluids using naturally derived henna leaf and hibiscus leaf extracts. Journal of Petroleum Exploration and Production Technology 2020; 10, 3541-3556.

  89. RA Khan, M Murtaza, HM Ahmad, A Abdulraheem, MS Kamal and M Mohamed. Development of novel shale swelling inhibitors using hydrophobic ionic liquids and gemini surfactants for water-based drilling fluids. In: Proceedings of the SPE Middle East Oil & Gas Show and Conference, event canceled. 2021.

  90. M Murtaza, Z Tariq, MS Kamal, M Mahmoud and D Al Sheri. Application of okra mucilage for the prevention of shale swelling. In: Proceedings of the Abu Dhabi International Petroleum Exhibition & Conference, Abu Dhabi, UAE. 2021.

  91. M Murtaza, Z Tariq, X Zhou, D Al Sheri, M Mahmoud and MS Kamal. Application of a novel ecofriendly okra powder as fluid loss controller in water based drilling fluids. In: Proceedings of the SPE Middle East Oil & Gas Show and Conference, event canceled. 2021.

  92. M Murtaza, HM Ahmad, X Zhou, D Al-Shehri, M Mahmoud and MS Kamal. Okra mucilage as environment friendly and non-toxic shale swelling inhibitor in water based drilling fluids. Fuel 2022; 320, 123868.

  93. M Murtaza, MS Kamal, M Mahmoud and D Al-Shehri. 2023, Okra composition as a shale swelling inhibitor in water-based drilling fluids, US Patent US20240158684A1.

  94. JA Ali, RN Ahmed, AD Abdullah, NH Ali, AM Kalhury, AN Sabir, AK Manshad, A Keshavarz and AH Mohammadi. Development of a nanobiodegradable drilling fluid using Prosopis farcta plant and pomegranate peel powders with metal oxide nanoparticles. ACS Omega 2022; 7(35), 31327-31337.

  95. J Yang, G Jiang, G Wang, L Yang, Y He, T Dong and X Yuan. Performance evaluation of polymer nanolatex particles as fluid loss control additive in water-based drilling fluids. Geoenergy Science and Engineering 2023; 223, 211462.

  96. R Ikram, BM Jan, W Ahmad, HSC Metselaar, A Sidek, MAM Sarjidan and G Kenanakis. An experimental study to improve filtration properties of water-based drilling fluids using rambutan as green additive. Biomass Conversion and Biorefinery 2024. https://doi.org/10.1007/s13399-024-06203-y

  97. AS Fadairo and O Oni. The suitability of eggshell for improving the performance of water-based drilling mud in a high-temperature well. Geothermics 2024; 119, 102920.

  98. MG Zahiri, JJ Sheng and E Esmaeilnezhad. Optimal design of a water-based mud of nanoparticles-natural surfactant and its potential green application to oil well drilling. Journal of Cleaner Production 2025; 490, 144784.

  99. F Khan. Basics of artificial intelligence and machine learning. Kindle Edition, 2024.

  100. F Bre, JM Gimenez and VD Fachinotti. Prediction of wind pressure coefficients on building surfaces using artificial neural networks. Energy and Buildings 2018; 158, 1429-1441.

  101. M Gasser, A Naguib, MM Abdelhafiz, SA Elnekhaily and O Mahmoud. Artificial neural network model to predict filtrate invasion of nanoparticle-based drilling fluids. Trends in Sciences 2023; 20(5), 6736.

  102. S Agatonovic-Kustrin and R Beresford. Basic concepts of artificial neural network (ANN) modeling and its application in pharmaceutical research. Journal of Pharmaceutical and Biomedical Analysis 2000; 22(5), 717-727

  103. GE Hint. How neural networks learn from experience. Scientific American 1992; 267(3), 144-151.

  104. J Brownlee. Basic concepts in machine learning. Machinelearningmastery 2015. https://machinelearningmastery.com/basic-concepts-in-machine-learning/

  105. AM Salem, MS Yakoot and O Mahmoud. Addressing diverse petroleum industry problems using machine learning techniques: Literary methodology-spotlight on predicting well integrity failures. ACS Omega 2022; 7(3), 2504-2519.

  106. J Brownlee. A tour of machine learning algorithms. Machinelearningmastery 2019. https://machinelearningmastery.com/a-tour-of-machine-learning-algorithms/

  107. Q Yin, J Yang, M Tyagi, X Zhou, X Hou, N Wang, G Tong and B Cao. Machine learning for deepwater drilling: Gas-kick-alarm classification using pilot-scale rig data with combined surface-riser-downhole monitoring. SPE Journal 2021; 26(4), 1773-1799.

  108. M Ahmadi and Z Chen. Machine learning-based models for predicting permeability impairment due to scale deposition. Journal of Petroleum Exploration and Production Technology 2020; 10, 2873-2884.

  109. CI Noshi and JJ Schubert. The role of machine learning in drilling operations; A review. In: Proceedings of the SPE/AAPG Eastern Regional Meeting, Pittsburgh, Pennsylvania, United States. 2018.

  110. CI Noshi, SF Noynaert and JJSchubert. Failure predictive analytics using data mining: How to predict unforeseen casing failures. In: Proceedings of the Abu Dhabi International Petroleum Exhibition & Conference, Abu Dhabi, UAE. 2018.

  111. CI Noshi, SF Noynaert and JJSchubert. Data mining approaches for casing failure prediction and prevention. In: Proceedings of the International Petroleum Technology Conference, Beijing, China. 2019.

  112. AMS Ragab, MS Yakoot and O Mahmoud. Managing well integrity of mature fields by employing machine learning algorithms. In: Proceedings of the SPE/IATMI Asia Pacific Oil & Gas Conference and Exhibition (Virtual). 2021.

  113. MS Yakoot, AMS Ragab and O Mahmoud. Machine learning application for gas lift performance and well integrity. In: Proceedings of the SPE Europec Featured at 82nd EAGE Conference and Exhibition, Amsterdam, The Netherlands. 2021.

  114. MS Yakoot, AMS Ragab and O Mahmoud. Multi-class taxonomy of well integrity anomalies applying inductive learning algorithms: Analytical approach for artificial-lift wells. In: Proceedings of the SPE Annual Technical Conference and Exhibition (ATCE), Dubai, UAE. 2021.

  115. S Gomaa, R Emara, O Mahmoud and AN El-hoshoudy. New correlations to calculate vertical sweep efficiency in oil reservoirs using nonlinear multiple regression and artificial neural network. Journal of King Saud University-Engineering Sciences 2021; 34(7), 368-375.

  116. Z Tariq, M Mahmoud and A Abdulraheem. Machine learning-based improved pressure-volume-temperature correlations for black oil reservoirs. Journal of Energy Resources Technology 2021; 143(11), 11300.

  117. AM Salem, MS Yakoot and O Mahmoud. A novel machine learning model for autonomous analysis and diagnosis of well integrity failures in artificial-lift production systems. Advances in Geo-Energy Research 2022; 6(2), 123-142.

  118. M Nour, MS Farahat and O Mahmoud. Picking the optimum directional drilling technology (RSS vs PDM): A machine learning-based model. In: Proceedings of the 41st International Conference on Ocean, Offshore and Arctic Engineering, Hamburg, Germany. 2022.

  119. MY Saad, AA Gawish and O Mahmoud. Dimensionless data-driven model for cuttings concentration prediction in eccentric annuli: Statistical and parametric approach. Arabian Journal for Science and Engineering 2024; 49, 8699-8726.

  120. T Yehia, M Gasser, H Ebaid, N Meehan and ER Okoroafor. Comparative analysis of machine learning techniques for predicting drilling rate of penetration (ROP) in geothermal wells: A case study of FORGE site. Geothermics 2024; 121, 103028.

  121. S Thabet, A Elhadidy, M Elshielh, A Taman, A Helmy, H Elnaggar and T Yehia. Machine learning models to predict total skin factor in perforated wells. In: Proceedings of the SPE Western Regional Meeting, Palo Alto, California, United States. 2024.

  122. S Thabet, H Zidan, A Elhadidy, A Taman, A Helmy, H Elnaggar and T Yehia. Machine learning models to predict production rate of sucker rod pump wells. In: Proceedings of the SPE Western Regional Meeting, Palo Alto, California, United States. 2024.

  123. SA Thabet, AA Elhadidy, M Heikal, A Taman, T Yehia, H Elnaggar, O Mahmoud and A Helmy. Next-gen proppant cleanout operations: Machine learning for bottom-hole pressure prediction. In: Proceedings of the Mediterranean Offshore Conference, Alexandria, Egypt. 2024.

  124. MY Saad, AM Salem and O Mahmoud. An automated approach for discriminating hole cleaning efficiency while predicting penetration rate in egyptian western desert wells. Arabian Journal for Science and Engineering 2024. https://doi.org/10.1007/s13369-024-09706-y

  125. M Nour, SK Elsayed and O Mahmoud. A supervised machine learning model to select a cost-effective directional drilling tool. Scientific Reports 2024; 14, 26624.

  126. S Elkatatny, Z Tariq and M Mahmoud. Real time prediction of drilling fluid rheological properties using artificial neural networks visible mathematical model (white box). Journal of Petroleum Science and Engineering 2016; 146, 1202-1210.

  127. K Abdelgawad, S Elkatatny, T Moussa, M Mahmoud and S Patil. Real-time determination of rheological properties of spud drilling fluids using a hybrid artificial intelligence technique. Journal of Energy Resources Technology 2019; 141(3), 032908.

  128. A Gowida, S Elkatatny, K Abdelgawad and R Gajbhiye. Newly developed correlations to predict the rheological parameters of high-bentonite drilling fluid using neural networks. Sensors 2020; 20(10), 2787.

  129. A Alsabaa, H Gamal, S Elkatatny and Y Abdelraouf. Machine learning model for monitoring rheological properties of synthetic oil-based mud. ACS Omega 2022; 7(18), 15603-15614.

  130. MH Jondahl and H Viumdal. Estimating rheological properties of non-Newtonian drilling fluids using ultrasonic-through-transmission combined with machine learning methods. In: Proceedings of the IEEE International Ultrasonics Symposium (IUS), Kobe, Japan. 2018.

  131. MA Ahmadi, SR Shadizadeh, K Shah and A Bahadori. An accurate model to predict drilling fluid density at wellbore conditions. Egyptian Journal of Petroleum 2018; 27(1), 1-10.

  132. OE Agwu, JU Akpabio and A Dosunmu. Artificial neural network model for predicting the density of oil-based muds in high-temperature, high-pressure wells. Journal of Petroleum Exploration and Production Technology 2020; 10, 1081-1095.

  133. KZ Abdelgawad, M Elzenary, S Elkatatny, M Mahmoud, A Abdulraheem and S Patil. New approach to evaluate the equivalent circulating density (ECD) using artificial intelligence techniques. Journal of Petroleum Exploration and Production Technology 2019; 9, 1569-1578.

  134. H Gamal, A Abdelaal and S Elkatatny. Machine learning models for equivalent circulating density prediction from drilling data. ACS Omega 2021; 6(41), 27430-27442.

  135. M Samnejad, MG Shirangi and R Ettehadi. A digital twin of drilling fluids rheology for real-time rig operations. In: Proceedings of the Offshore Technology Conference, Houston, Texas, United States. 2020.

  136. S Gul and E van Oort. A machine learning approach to filtrate loss determination and test automation for drilling and completion fluids. Journal of Petroleum Science and Engineering 2020; 186, 106727.

  137. MJ Aljubran, HI AlBahrani, J Ramasamy and A Magana-Mora. Drilling fluid properties prediction: A machine learning approach to automate laboratory experiments. Research Square 2022. https://doi.org/10.21203/rs.3.rs-1407939/v1

  138. A Golsefatan and K Shahbazi. A comprehensive modeling in predicting the effect of various nanoparticles on filtration volume of water-based drilling fluids. Journal of Petroleum Exploration and Production Technology 2019; 10, 859-870.

  139. A Lekomtsev, A Keykhosravi, MB Moghaddam, R Daneshfar and O Rezvanjou. On the prediction of filtration volume of drilling fluids containing different types of nanoparticles by ELM and PSO-LSSVM based models. Petroleum 2022; 8(3), 424-435.

  140. M Gasser, O Mahmoud, F Ibrahim and M Abadir. Using artificial intelligence techniques in modeling and predicting the rheological behavior of nano-based drilling fluids. In: Proceedings of the ASME 40th International Virtual Conference on Ocean, Offshore and Arctic Engineering (OMAE). 2021.

  141. M Gasser, A Naguib and O Mahmoud. New approach to predict the filtrate invasion of nanoparticle-based drilling mud using artificial neural network. In: Proceedings of the ASME 41st International Conference on Ocean, Offshore and Arctic Engineering (OMAE). 2022.

  142. S Davoodi, M Mehrad, DA Wood, H Ghorbani and VS Rukavishnikov. Hybridized machine-learning for prompt prediction of rheology and filtration properties of water-based drilling fluids. Engineering Applications of Artificial Intelligence 2023; 123(C), 106459.

  143. M Al-Rubaii, M Al-Shargabi, B Aldahlawi, D Al-Shehri and KM Minaev. A developed robust model and artificial intelligence techniques to predict drilling fluid density and equivalent circulation density in real time. Sensors 2023; 23(14), 6594.

  144. A Kandil, S Khaled and T Elfakharany. Prediction of the equivalent circulation density using machine learning algorithms based on real-time data. AIMS Energy 2023; 11(3), 425-453.

  145. A Othman, Z Tariq, M S Aljawad, B Yan and MS Kamal. Enhancing fracturing fluid viscosity in high salinity water: a data-driven approach for prediction and optimization. Energy Fuels 2023; 37(17), 13065-13079.

  146. YC Ning, S Ridha, SU Ilyas, S Krishna, I Dzulkarnain and M Abdurrahman. Application of machine learning to determine the shear stress and filtration loss properties of nano-based drilling fluid. Journal of Petroleum Exploration and Production Technology 2023; 13, 1031-1052.

  147. M Gasser, T Yehia, H Ebaid, N Meehan and Mahmoud. Nano-enhanced drilling fluids: Effects of MgO and ZnO nanoparticles on rheological properties and ANN modeling for predictive analysis. In: Proceedings of the SEG/AAPG International Meeting for Applied Geoscience & Energy, Houston, Texas, United States. 2024.

  148. LH Quitian-Ardila, YJ Garcia-Blanco, ADJ Rivera, RS Schimicoscki, M Nadeem, OP Calabokis, V Ballesteros-Ballesteros and AT Franco. Developing a machine learning-based methodology for optimal hyperparameter determination - A mathematical modeling of high-pressure and high-temperature drilling fluid behavior. Chemical Engineering Journal Advances 2024; 20, 100663.

  149. A Aftab, AR Ismail, ZH Ibupoto, H Akeiber and MGK Malghani. Nanoparticles based drilling muds a solution to drill elevated temperature wells: A review. Renewable and Sustainable Energy Reviews 2017; 76, 1301-1313

  150. O Mahmoud, HA Nasr-El-Din, Z Vryzas and VC Kelessidis. Characterization of filter cake generated by nanoparticle-based drilling fluid for HP/HT applications. In: Proceedings of the SPE International Conference on Oilfield Chemistry, Montgomery, Texas, United States. 2017.

  151. A Mady, MM Abdelhafiz, AS Dahab, G Hegazy and O Mahmoud. Influence of nanoparticle–based drilling fluids on egyptian shale swelling - an experimental investigation. In: Proceedings of the Abu Dhabi International Petroleum Exhibition and Conference (ADIPEC), Abu Dhabi, UAE. 2023.

  152. V Gokapai, P Pothana and K Ling. Nanoparticles in drilling fluids: A review of types, mechanisms, applications, and future prospects. Eng 2024; 5(4), 2462-2495.

  153. MS Asad, MT Jaafar, FL Rashid, H Togun, MK Rasheed, MA Al-Obaidi, QR Al-Amir, HI Mohammed and IE Sarris. Sustainable drilling fluids: A review of nano-additives for improved performance and reduced environmental impact. Processes 2024; 12(10), 2180.

  154. S Medhi, S Chowdhury, R Dehury, GH Khaklari, S Puzari, J Bharadwaj, P Talukdar and JS Sangwai. Comprehensive review on the recent advancements in nanoparticle-based drilling fluids: Properties, performance, and perspectives. Energy Fuels 2024; 38(15), 13455-13513.

  155. T Yehia, H Khattab, M Tantawy and I Mahgoub. Improving the shale gas production data using the angular- based outlier detector machine learning algorithm. Journal of University of Shanghai for Science and Technology 2022; 24(8), 152-172.

  156. T Yehia, H Khattab, M Tantawy and I Mahgoub. Removing the outlier from the production data for the decline curve analysis of shale gas reservoirs: A comparative study using machine learning. ACS Omega 2022; 7(36), 32046-32061.

  157. T Yehia, A Wahba, S Mostafa and O Mahmoud. Suitability of different machine learning outlier detection algorithms to improve shale gas production data for effective decline curve analysis. Energies 2022; 15(23), 8835.

  158. T Yehia, S Mostafa, M Gasser, MM Abdelhafiz, N Meehan and O Mahmoud. Investigating curve smoothing techniques for enhanced shale gas production data analysis. Journal of Natural Gas Geoscience 2024; 9(6), 431-458.