Trends
Sci.
2025; 22(7):
10042
Microwave-Assisted Extraction’s Kinetics of Phycobiliprotein from Spirulina Platensis: Influence of Citric Acid Concentration
Kevin Dyo Pamungkas1, Joko Nugroho Wahyu Karyadi1,
Widiastuti Setyaningsih2 and Devi Yuni Susanti1,*
1Department of Agricultural Engineering and Biosystems, Faculty of Agricultural Technology,
Universitas Gadjah Mada, Yogyakarta 55281, Indonesia
2Department of Food & Agriculture Products Technology, Faculty of Agricultural Technology,
Universitas Gadjah Mada, Yogyakarta 55281, Indonesia
(*Corresponding author’s e-mail: [email protected])
Received: 24 February 2025, Revised: 18 March 2025, Accepted: 25 March 2025, Published: 10 June 2025
Abstract
Phycobiliproteins (PBP), such as phycocyanin (PC), allophycocyanin (APC), and phycoerythrin (PE), are photosynthetic pigments in Spirulina platensis with antioxidant potential for food and medicine. This study optimized microwave-assisted extraction (MAE) of PBP with citric acid (1, 2, and 3 %) as a green solvent to enhance yield and stability using kinetic approach. MAE increased solvent temperature from 30 to 60 °C, accelerating PBP release while preserving its bioactivity. Three kinetic models, Peleg, pseudo-first order (PFO), and pseudo-second order (PSO), were applied to analyze extraction kinetics. Peleg effectively described the initial phase, indicating that higher CA concentrations enhanced PBP release. PFO captured the diffusion-driven phase, while PSO provided the most accurate equilibrium prediction by considering adsorption and solvent-protein interactions. Among the models, PSO showed the highest extraction capacity (Ce = 4.45 × 10⁻² mg/mL at 3 % CA), best R² (≥ 0.99), and lowest MAPE (3.45 %), confirming its superior fit at equilibrium. These findings highlight PSO as the best model for predicting maximum extraction, while Peleg and PFO remain relevant for the early and middle phases. The study confirms MAE with citric acid as an efficient, sustainable method for PBP extraction from Spirulina platensis.
Keywords: Phycobiliprotein, Citric acid, Peleg, Pseudo-first order, Pseudo-second order
Introduction
Blue-green algae (BGA) are microalgae of the cyanobacteria group, living organisms that have recently attracted much interest because of their use as food, cosmetic, and medicinal ingredients [1-4]. The superiority of microalgae bioactive compounds has encouraged their use in the food and health industries. Also, the rapid increase in population makes cyanobacteria such as blue-green algae a solution to be developed as a potential functional food need [5,6. Spirulina platensis is a type of cyanobacteria microalgae that is highly nutritious and beneficial due to its content of proteins, lipids, vitamins, and minerals [7-10]. The protein content in Spirulina platensis is very high compared to other types of microalgae, ranging from 60 - 70 % of its dry biomass. Spirulina platensis is also a source of bio pigments with high added value, such as phycobiliproteins, chlorophyll, and carotenoids [11-13].
Phycobiliproteins (PBP) are the main light-harvesting components found in cyanobacteria microalgae. The PBP are large, water-soluble supramolecular protein assemblies that play an essential role in light harvesting in Spirulina platensis and contribute to efficient photosynthesis. They can absorb light in a broad spectrum from 450 to 650 nm, making them versatile and efficient for capturing light energy for photosynthesis [14,15]. PBP not only acts as light harvesting agents, but also act as bio pigments with various benefits. Based on their structure, characteristics, and light absorption quality, PBP are divided into 3 groups: phycocyanin (PC), allophycocyanin (APC), and phycoerythrin (PE) [16,17]. Most PBPs are phycocyanins with a dark blue pigment color, a type of protein with antioxidant, anti-inflammatory, and anticancer activity. Most PBPs are phycocyanins, characterized by a dark blue pigment, and possess antioxidant, anti-inflammatory, and anticancer properties. Allophycocyanin is a small component of phycobiliprotein biomolecules with a bright blue pigment color, and phycoerythrin has a bright pink pigment color [12,18,19].
Extraction is an essential process supporting the collection and utilization of phycobiliprotein from Spirulina platensis as a source of potential antioxidant [20,21]. Various extraction techniques have been developed in many studies to extract bioactive compounds from microalgae biomass. MAE has shown significant potential in extracting bioactive compounds from Spirulina platensis which has benefits such as an efficient, fast process, and green process with reduced energy costs [22-25]. This method enhances the extraction of bioactive metabolites from Spirulina platensis. It allows for higher extraction yields due to efficient microwave penetration, which can disrupt cell walls and facilitate the release of bioactive compounds [26,27]. The success of the MAE method can be evaluated by kinetic approaches, which provide high accuracy in validation [28,29]. Kinetic modeling is crucial in optimizing microwave extraction processes across various applications [30,31].
Some parameters to evaluate the MAE process are temperature, solvent, and extraction time to maximize the extraction of bioactive compounds, including PBP [32]. This extraction method research was designed to develop technology for the renewable food industry by identifying, quantitatively analyzing, and evaluating target compounds [33]. These compounds have low stability capabilities, limiting their application in the industrial sector [34]. This biomolecule is very sensitive and has low stability to pH, heat, and light [35]. The application of solvents in the extraction process must maintain a high extract yield and be environmentally friendly [2,36]. Adopting green solvents, such as citric acid, in MAE processes reflects a broader trend towards sustainability in various industries, including biotechnology and agriculture [37,38]. Citric acid is one of the stabilizing agents that prevent the degradation of phycobiliprotein content [34,39]. Citric acid has been highlighted as a preferable food-grade additive for enhancing PBP extraction and stabilizing the compound, compared to other chemical preservatives, which may not be suitable for food applications due to toxicity concerns. The mechanism of preventing phycocyanin degradation by adding citric acid occurs because of the changes in physicochemical properties, which help reduce degradation caused by heat and acidity [35]. However, citric acid can also provide an acidic environment in solubilization that can lead to degradation of phycobiliproteins. The degradation pathway is modulated by environmental pH, with acidic conditions potentially leading to the degradation of phycobiliproteins to a certain extent [40,41]. Existing extraction methods for phycobiliproteins (PBP) often result in low efficiency and degradation, necessitating an improved technique. This study aims to optimize MAE with citric acid as a stabilizing agent, focusing on its role in enhancing extraction efficiency and PBP stability. The research evaluates the impact of citric acid concentration on heat generation, extraction kinetics, and yield, while comparing Peleg’s model with other kinetic approaches to determine the best-fit model for describing PBP extraction dynamics.
Materials and methods
Materials in this research included dry biomass powder of Spirulina platensis Merck Spiruganik Polaris food which is 100 % organic Spirulina platensis from Jakarta, Indonesia. The reagents in this research were aquades and citric acid food grade merck Ensign from Ensign Industry, produced by Weifang Ensign Industry, Shandong Province, China. A modified Electrolux EMM2308X microwave oven with a 23L capacity from Indonesia, 800 W of microwave power, and 220 - 240 V/50 Hz voltage was used to perform MAE. The power of MAE, temperature, timer, magnetic stirrer’s, and indicator lamp are all controlled by a control panel attached to the microwave. Up to 1600 RPM can be configured for the stirrer speed. The timer regulates the microwave radiation cycle. An additional temperature sensor is a type K thermocouple. During the extraction process, the temperature is regulated by the CKC Tinner DH48S(H5CN) temperature controller and indicators, which are manufactured in China. The solvent-filled flask was placed inside the microwave chamber. A thermocouple was used to measure the solvent’s temperature, which was adjusted with a knob. Utilizing aquadest as a solvent and citric acid as the extraction solvent, a magnetic stirrer was inserted into the bottom of the microwave flask to ensure the right amount of agitation. The extraction method with MAE is shown in Figure 1.
Extraction procedure
The extraction process was conducted with 10 g of dry biomass of Spirulina platensis in 300 mL of distilled water with various concentrations of citric acid 1, 2, and 3 % for 150 min in a flask in MAE at a temperature of 60 °C with a power percentage of 100 % and a capacity of 800 Watts. The content of the extracted phycobiliprotein was analyzed using a spectrophotometer UV-Vis with wavelengths of 562, 620, 652 nm to obtain the concentration of phycocyanin, allophycocyanin, and phycoerythrin levels. They were evaluated every 30 min with 3 repeated replications at each time point. The extracted sample was placed in a 15 mL centrifuge tube and then centrifuged at 4000 rpm for 10 min to separate the pellet and supernatant.
Analysis of phycobiliprotein
Phycobiliprotein of Spirulina platensis is classified into 3 types, namely phycocyanin, allophycocyanin, and phycoerythrin. Analysis of phycobiliprotein content in Spirulina platensis was measured using a N2S visible spectrophotometer with an absorbance of 562, 620, and 652nm. The calculation formula for phycocyanin (PC), allophycocyanin (APC), and phycoerythrin (PE) content uses the following equation (Eqs. (1) - (3)) [12].
Analysis the profile of PBP content using several kinetic models
Peleg’s model
To determine the rate of PBP extraction and the effect of citric acid concentration in preventing PBP degradation, temperature and microwave power need to be carried out using kinetic and modeling approaches to predict PBP content in the MAE process. One of the kinetic approaches used in the research is the Peleg model [42]. The Peleg model predicts the results and quality of phycobiliprotein extraction. The Peleg model in Eq. (4) is expected to provide good predictions of PC, APC, and PE content during MAE process. The value of Ct (mg/mL) is the PBP concentration at time t (min), C0 is the initial PBP concentration (mg/mL) at time t = 0, t is the extraction time (min), K1 is Peleg’s model rate constant (mL.min/mg), and K2 is Peleg’s capacity constant (mL/mg). As the initial concentration of PBP in the solvent was 0, Eq. (4) is changed to Eq. (5).
Peleg’s
rate constant K1
and Peleg’s
capacity constant K2
are
correlated to the value of initial extraction rate (
and equilibrium concentration (Ceq).
The
value of
(6)
and
(7)
was
employed to determine the value of B0
(mg/mL.min)
and
Ceq
(mg/mL).
Pseudo-first order kinetic model
The
pseudo-first
order
model is a kinetic model commonly used to describe changes in the
concentration of a compound over time in the extraction process.
This
study applied this model to analyze the extraction of
phycobiliproteins
such PC, APC and PE from Spirulina
platensis
using MAE.
This
model assumes that the extraction rate is proportional to the
difference between the compound concentration at the time t
and the equilibrium concentration
This
model is simpler to apply and faster for illustrating the extraction
curve behaviour, as it involves only the extraction rate constant
and initial concentration data.
The
pseudo-first
order
model provides an exponential relationship between the concentration
of the extracted PBP at time t
and
the equilibrium concentration
,
as described in Eqs.
(8)
- (9).
To
derive a more practical equation, we integrate Eq.
(5)
with
the initial condition
at
,
resulting in the following equation:
Where
is
the concentration of phycobiliproteins
at the time (mg/mL),
is the equilibrium concentration (mg/mL),
is the extraction rate constant for the pseudo-first
order kinetic
model (1/min),
and t
is the extraction time (min).
The pseudo-first
order model is
expected to provide a good prediction of the extraction dynamics and
can be used to determine the efficiency of the MAE process in
extracting PBP from Spirulina
platensis,
allowing for better control over the extraction process.
Pseudo-second order kinetic model
The
pseudo-second
order
kinetic model is used to explain the change in the concentration of
a substance over time during an extraction process, based on the
assumption that the rate of extraction is proportional to the square
of the difference between the substance’s concentration at time t
and its equilibrium concentration
,
as described in Eq (10)
and
(11).
This
model is applied to describe the extraction dynamics of
phycobiliproteins,
such as PC, APC and PE, from Spirulina
platensis
using MAE.
Compared
with the pseudo-first
order
and Peleg models, the pseudo-second
order
model provides a more complex relationship that accurately describes
the extraction process.
This
model is better at describing the change in concentration over time,
especially when the extraction rate is not linear initially and
approaches equilibrium.
The
equation for this model is expressed as:
where
is the concentration of phycobiliproteins
at time t
(mg/mL),
is
the equilibrium concentration (mg/mL),
is the extraction rate constant for the pseudo-second
order
model (mg/mL.min),
and t
is the extraction time (min).
To
derive this equation, we begin with the general rate law for
pseudo-second
order
reactions:
We
obtain the equation above by integrating this differential equation
with the initial condition
at
.
This
model assumes that the extraction rate is proportional to the square
of the concentration difference between the substance at time t
and its equilibrium concentration
.
Since
it is more complex than the pseudo-first
order model,
the pseudo-second
order
model better represents systems where the extraction rate
significantly changes over time.
This
model predicts that the extraction rate is fast initially and
gradually slows down as the system approaches equilibrium.
Evaluation the kinetic model
The comparison of the kinetic models was conducted using the sum of squared error (SSE) in Eq. (12), the root mean squared error (RMSE) in Eq. (13), the coefficient of determination (R²) in Eq. (14), and the mean absolute percentage error (MAPE) in Eq. (15). The selected model was chosen based on the values of SSE, RMSE, R², and MAPE in Eqs. (12) - (15).
where
is
the observed concentration,
is the predicted concentration,
is
the observed concentration at time t
for the
-th
data point,
is
the predicted concentration at time t
for the
-th
data point, and
is
the total number of data points.
Results and discussion
The temperature response in each concentration of solvent affected by microwave
The acceleration mechanism that occurs in microwave extraction is interesting to study. The solvent exposed to microwaves will experience heating caused by wave propagation, which results in collisions between particles. Heat generation through molecular vibrations in the solvent during extraction process occurs due to the interaction of solvent molecules with electromagnetic fields. The microwave energy is absorbed by the solvent and converted into heat energy. The amount of heat generated in the solvent varies depending on the concentration of citric acid in the solvent, as shown in Figure 2 The higher the concentration, the faster the heat is generated. This phenomenon is because CA is a polar solvent that enhances the absorption of microwave energy. This rapid heating is crucial for the extraction process as it helps to break down cell walls and increase the diffusion of analytes into the solvent. The fast heat of microwaves causes a vibration that can destroy cell tissue [43].
Figure 2 illustrates the change in solvent temperature for 30 min in MAE at 800 W power and a maximum control temperature of 60 °C with each citric acid concentration of 1, 2, and 3 %. The higher concentration of citric acid showed the fastest temperature increase and reached 60 °C within 4 min. Meanwhile, the temperature increase at citric acid concentrations of 1 and 2 % tends to be slower to reach a temperature of 60 °C, the time required being 10 and 7 min, respectively. The concentration of citric acid affects the rate of heat generation in different concentration ranges by influencing the thermal properties of the solvent, the heat transfer mechanisms, and the impeller configurations used in the extraction process.
The phenomenon of increasing heat generation rate along with increasing citric acid concentration in the solvent can be attributed to several factors related to the physical and chemical properties of citric acid, such as the dielectric properties of the solution. Increasing the concentration of citric acid results in increased dielectric properties that affect the heating rate. The dielectric constant is an important parameter that determines how effectively a solvent can absorb microwave energy and thus affects the heating rate during MAE [44].
Figure 2 The temperature change on various citric acid concentrations in MAE.
The MAE mechanism uses microwave energy generated by a magnetron to heat a solvent in contact with the sample. A waveguide or beam component directs the microwaves into the solvent in the microwave chamber. Waveguides are designed to transmit microwave power efficiently by confining the electronic and magnetic fields and minimizing power loss due to radiation. The waveguide or beam is usually made of a conducting material designed to guide the microwave energy from the microwave source to the solvent in the chamber [42]. The microwave energy transfer into a solvent reflects the powers from the magnetron to the solvent. This energy transfer occurs through the interaction of microwave radiation with the solvent, which can be polar or non-polar. Polar solvents, such as water, methanol, and ethanol, absorb microwave radiation well and heat up rapidly due to the dipole rotation of their molecules. The rapid heating effect of MAE enhances solvent penetration into the sample matrix, facilitating the release of phycobiliproteins. This mechanism significantly shortens extraction time while preserving compound stability and yield [45,46].
The effect of citric acid concentration on the phycobiliprotein content during MAE
The enhancement of the MAE process with the addition of citric acid has been evaluated based on the increase in the concentration of 3 types of phycobiliprotein compounds, as seen in Figure 3. The phycobiliprotein (PBP) concentration increased rapidly during the initial extraction phase due to the rapid rise in temperature, enhancing solvent penetration. As the process continued, extraction slowed and eventually stabilized, indicating the system had reached equilibrium. This is associated with the increase in heat generation that occurs rapidly in the solvent so that it can accelerate the extraction process. The increase in heat generation will accelerate the solvent diffusion process into the material’s pores to collect the target compound. This is because the increase in extraction temperature causes a decrease in the solvent’s viscosity so that the solvent molecules’ movement increases rapidly, and it is easier to enter the pores of the material and is easier to extract or dissolve phycobiliprotein compounds [47,48].
In addition to increasing the heat generation rate, citric acid has also been reported to help damage the cell pores in the material, thereby accelerating the diffusion of solvents into the internal part of the material to dissolve phycobiliprotein compounds. Citric acid enhances cell membrane permeability by disrupting lipid-protein interactions, facilitating solvent penetration into intracellular compartments. Higher citric acid concentrations (3 %) resulted in greater membrane disintegration, leading to improved phycobiliprotein diffusion into the solvent. This is evidenced by the higher concentrations of PC, APC, and PE in 3 % citric acid compared to other concentrations [49].
|
|
|
|
Figure 3 The PBP content in various CA concentrations of (a) phycocyanin (b) allophycocyanin (c) phycoerythrin in MAE.
Although disrupting cell structures can increase extraction efficiency, the same property can damage the structure of compounds if not carefully managed. However, Citric acid has also been reported as an effective stabilizing agent for phycobiliproteins, particularly phycocyanin, which is sensitive to environmental factors such as light, temperature, and pH. Research indicates that citric acid can significantly enhance the stability of phycocyanin, indicating its potential to prevent colour loss due to PBP degradation [35,50].
The PC, APC, and PE values from Spirulina platensis were tested for the main effect of extraction and interaction with citric acid concentration in preventing the degradation and loss of the content. The effect of CA concentration on preventing colour loss due to PBP concentration is illustrated in Figure 3. Citric acid has been proven to prevent the degradation of content in all types of phycobiliprotein (PBP), namely phycocyanin (PC), allophycocyanin (APC), and phycoerythrin (PE). The concentration of CA 3 showed the most effective solvent condition to maintain colour loss from phycocyanin content. The highest PC concentration was obtained with the solvent condition of CA 3 % at 150 min with a value of 0.031 mg/mL. Likewise, in the solvent condition of CA 2 %, the highest PC concentration was obtained at 150 min with a value of 0.023 mg/mL. While in the solvent condition of CA 1 %, the highest PC concentration was obtained at 120 min with a value of 0.013 mg/mL. Solvent conditions at CA concentrations of 2 and 3 % showed more stable conditions in extracting and preventing degradation of PC content. While in CA 1 % conditions, the PC extraction trend tended to increase until min 120, then at min 150, the PC content decreased. This shows that the CA 1 % solvent condition is less effective in extracting and maintaining PC content in the MAE.
The solvent concentration of CA 3 % also showed the most effective conditions in extracting and preventing allophycocyanin (APC) and phycoerythrin (PE) content degradation. The APC content ranged from 0.038 to 0.045 mg/mL at a concentration of CA solvent 3 %, 0.015 to 0.021 mg/mL at a concentration of CA solvent 2 %, and 0.011 to 0.013 mg/mL at a concentration of CA solvent 1 %. The phenomenon of extraction kinetics at a concentration of CA 3% showed the most effective conditions for maintaining the loss of APC pigment compared to other solvent concentration conditions, which showed a trend of extraction that tended to fluctuate. Likewise, with the phenomenon of the extraction trend in phycoerythrin (PE), the concentration of CA 3 % showed the most stable and effective conditions in maintaining PE degradation compared to other concentrations with a fluctuating trend. PE content ranges from 0.009 to 0.019 mg/mL at 3 % CA concentration, 0.005 to 0.013 mg/mL at 2 % CA concentration, and 0.006 to 0.012 mg/mL at 1 % CA concentration.
The effect of citric acid concentration on pH Solvent
Citric acid plays an important role in lowering the pH of the extraction solution due to its acidic nature and ability to form complexes with various ions. The dissociation of citric acid in solution releases hydrogen ions (H⁺), directly lowering the pH value. This property is often utilized in extraction to create optimal conditions for specific chemical reactions or separations [51,52].
Figure 4 The pH Value of solvent on various citric acid concentrations in MAE.
Based on the data, increasing the concentration of citric acid causes a significant decrease in the solutions’s pH value. At a concentration of 1 %, the pH value obtained was 2.27, indicating that the solution was in a stable condition with relatively moderate acidity. When the concentration increased to 2 %, the pH value dropped to 2.06, indicating an increase in the solution’s acidity. This decrease became more significant at a concentration of 3 %, where the pH value reached 1.88.
Extreme pH conditions, such as at a CA concentration of 3 %, are one of the challenges in the extraction process of phycobiliproteins (PC, APC, and PE). This is due to the nature of PC, APC, and PE, which are low-stable to extreme pH and temperature [53]. In addition, the extraction method used, namely MAE, is a type of heat-based extraction that has the potential to cause degradation of PC, APC, and PE. Although high citric acid concentrations (3 %) significantly lower pH (1.88), their chelating and antioxidant properties outweigh the negative effects of extreme acidity by stabilizing phycobiliproteins. The ability of citric acid to bind metal ions reduces oxidative stress, while its pH-buffering capacity prevents excessive protein denaturation during microwave heating [54].
As previously explained, citric acid plays an essential role in increasing the effectiveness of phycobiliprotein extraction. The effectiveness of MAE on PBP occurs through the synergistic mechanism of citric acid, which accelerates the extraction process while preventing PBP degradation. Citric acid increases the extraction rate at higher concentrations by strengthening microwave heating. This is because citric acid is a weak acid that allows more excellent absorption of microwave energy. The interaction of citric acid ions with the microwave field causes molecular vibrations, essential for generating heat during microwave-assisted processes. The absorbed microwave energy is converted into kinetic energy, increasing molecular vibrations and the system’s heat energy. This increase in energy produces faster and more even heat, thus accelerating cell wall disruption in microalgae [55,56].
Along with accelerating extraction, citric acid acts as an effective PBP stabilizing agent. In extreme conditions such as high heating, proteins are susceptible to degradation, including denaturation and oxidation. Citric acid acts as a chelating agent that helps bind metal ions that can trigger oxidation reactions and cause PBP degradation. By reducing the availability of metal ions, citric acid can protect the protein structure from oxidative reactions during the extraction process, maintaining the integrity of phycobiliproteins [57-59]. Thus, using citric acid provides 2 main advantages: accelerating the extraction through a more efficient heating mechanism and preventing phycobiliprotein degradation through a chemical stabilization mechanism [60,61].
When different treatments and extraction solvents were tested, the extraction yield of bioactive compounds varied widely. PBP extraction yields can vary depending on the method and condition used [62,63]. These results evaluate the most efficient extraction conditions with citric acid solvent for phycobiliprotein content of Spirulina platensis with high extraction yield.
As previously known, a concentration of 3 % CA solvent effectively extracted and prevented degradation of PBP content during the MAE process at extraction conditions of 800 W power and 60 °C. In addition to the rapid heat effect caused by adding CA to the solvent, CA can maintain PBP content in the MAE process to prevent degradation caused by the heat generated [64].
Extraction kinetics of PC, APC and PE during MAE
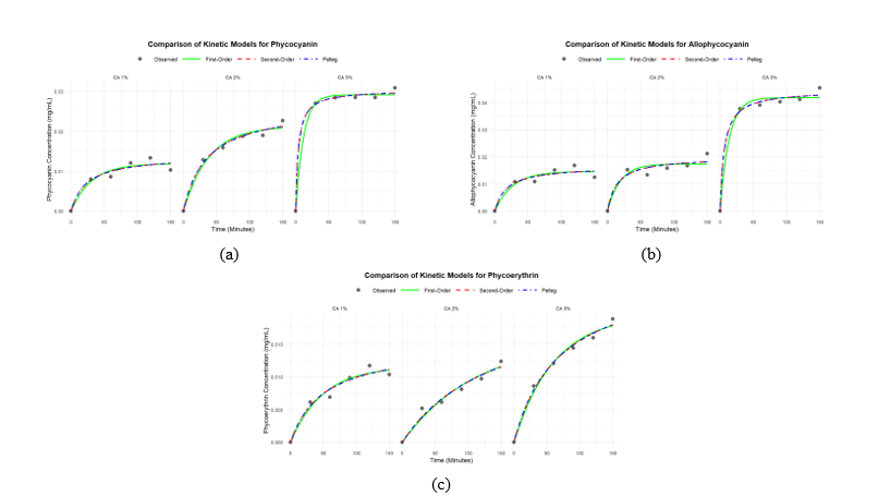
Kinetic approaches are vital in optimizing PBP extraction in cyanobacteria such as Spirulina platensis [65,66]. By using a kinetic modelling approach, this study was able to predict the increase in PBP accumulation by understanding the impact of factors such as CA concentration on the mechanism of PBP extraction by microwave. Kinetic modelling also helps to overcome the challenge of low extract productivity and allows for higher prediction of extract yield through a robust optimization approach [64,67]. In extraction kinetics studies, more than 1 model is often applied to understand the extraction mechanism better. No single kinetic model can explain the entire complexity of the extraction process. Using various kinetic models lets us obtain a more comprehensive picture of the extraction rate and the underlying mechanisms. Figure 5. Shows the performance of 3 different kinetic models, namely Peleg’s model, pseudo-first order model, and pseudo-second order model, in explaining the extraction kinetics of phycobiliproteins (PBP), including phycocyanin (PC), allophycocyanin (APC), and phycoerythrin (PE) from Spirulina platensis using MAE at various concentrations of citric acid (CA). The results presented in Tables 1 - 3. provide model parameters for each model, including extraction rate constant and maximum extraction capacity with SSE, RMSE, R², and MAPE parameters as model evaluation materials.
|
|
Figure 5 The observed and predicted of PBP content in various CA concentration of (a) phycocyanin (b) allophycocyanin (c) phycoerythrin.
The extraction process, as simulated by the Peleg model, begins with solvent molecules penetrating the solid matrix, leading to the dissolution of extract particles into the solvent. This empirical kinetic Peleg model effectively captures the extraction mechanism, transitioning from the initial fast extraction phase to the slower phase as equilibrium approaches. This model uses parameters such as the initial rate of extraction (B0) and the maximum extraction capacity (Cₑ) to predict the yield and quality of phycobiliproteins [68-70]. As seen in Table 1, the initial extraction rate of the Peleg model (B0) increases in line with the rise in the concentration of citric acid in the extraction solution. This shows that citric acid has been proven to stabilize the content of PC, APC, and PE by interacting with their molecular structure. In particular, anio citrate disrupts the water structure around PC, APC, and PE, which helps maintain their stability during the extraction process. This interaction is critical to maintaining the functional properties of pigments in the extraction process with high temperatures and extreme pH conditions [70-72]. The parameters of the Peleg model describe the extraction rate and the prevention of thermal and extreme pH degradation. From the effect of Citric Acid concentration on phycocyanin (PC) content, the highest B0 value is 7.63 × 10-4 mg/mL. min at a CA concentration of 3 %, and the lowest value is 5.95 × 10-4 mg/mL. min at a CA concentration of 1 %. In the effect of CA concentration on allophycocyanin (APC) content, the highest B0 value, is 1.39 × 10-3 mg/mL. min at a CA concentration of 2 %, and the lowest value is 7.14 × 10-4 mg/mL. min at a CA concentration of 3 %. Meanwhile, the effect of CA concentration on Phycoerythrin (PE) content, the highest B0 value is 3.85 × 10-4 mg/mL. min at 3 % CA concentration and the lowest value is 1.57 × 10-4 mg/mL. min at 2 % CA concentration. The highest B0 value indicates the optimal conditions for obtaining the highest PC, APC, and PE extraction content using a citric acid solution. The maximum capacity value (Cₑ) of Citric acid at the highest PC content is 3.03 × 10-3 mg/mL at 3 % CA concentration and the lowest value (Cₑ) is 1.39 × 10-4 at 1 % CA concentration. The maximum capacity value (Cₑ) of Citric acid at the highest APC content is 4.45 × 10-3 mg/mL at 3 % CA concentration and the lowest value (Cₑ) is 1.65 × 10-4 mg/mL at 1 % CA concentration. Also the maximum capacity value (Cₑ) of CA at the highest PE content is 2.62 × 10-4 mg/mL at 3 % CA concentration and the lowest value (Cₑ) is 1.49 × 10-4 mg/mL at 1 % CA concentration. The highest value (Cₑ) indicates the maximum extraction capacity of PC, APC, and PE from Spirulina platensis using MAE.
Table 1 Peleg’s model parameter for extraction kinetics in various CA concentration.
CA |
PBP |
K1 (mL. min/mg) |
K2 (mL/mg) |
B0 (mg/mL. min) |
|
SSE |
RMSE |
R2 |
MAPE % |
1 % |
PC |
1.68 × 103 |
72.20 |
5.95 × 10-4 |
1.39 × 10-4 |
8.67 × 10-6 |
1.20 × 10-3 |
0.922 |
11.22 |
APC |
1.05 × 103 |
60.69 |
9.52 × 10-4 |
1.65 × 10-4 |
1.67 × 10-5 |
1.67 × 10-3 |
0.904 |
4.75 |
|
PE |
3.35 × 103 |
67.17 |
2.99 × 10-4 |
1.49 × 10-4 |
3.98 × 10-6 |
8.14 × 10-4 |
0.956 |
2.08 |
|
2 % |
PC |
1.33 × 103 |
38.15 |
7.52 × 10-4 |
2.62 × 10-4 |
4.73 × 10-6 |
8.88 × 10-4 |
0.985 |
12.57 |
APC |
7.21 × 102 |
50.42 |
1.39 × 10-3 |
1.98 × 10-4 |
2.25 × 10-5 |
1.93 × 10-3 |
0.914 |
12.04 |
|
PE |
6.38 × 103 |
44.03 |
1.57 × 10-4 |
2.27 × 10-4 |
3.34 × 10-6 |
7.46 × 10-4 |
0.963 |
3.45 |
|
3 % |
PC |
1.31 × 102 |
32.97 |
7.63 × 10-4 |
3.03 × 10-3 |
2.87 × 10-6 |
6.92 × 10-4 |
0.996 |
9.50 |
APC |
1.40 × 102 |
22.49 |
7.14 × 10-4 |
4.45 × 10-3 |
1.23 × 10-5 |
1.43 × 10-3 |
0.991 |
10.69 |
|
PE |
2.60 × 103 |
38.21 |
3.85 × 10-4 |
2.62 × 10-4 |
1.83 × 10-6 |
5.53 × 10-4 |
0.992 |
4.13 |
*Abbreviations: K1: Peleg’s model rat contant; K2: Peleg’s capacity contant; B0: Initial extraction rate; Ce: Equilibrium concentration; SSE: Sum of Squared Errors; RMSE: Root Mean Squared Errors; R2: Coefficient of determination; MAPE: Mean Absolute Percentage Error.
The pseudo-first order kinetic model is used here to describe the mass transfer in the extraction process, where the extraction rate is determined by the diffusion of PBP from the cellular matrix to the solvent [73,74]. This model states that the rate of PBP extraction is directly proportional to the difference between the maximum capacity (Cₑ) and the amount of PBP extracted at a given time. As time passes, the extraction rate decreases as less PBP compound remains in the cellular matrix to be extracted, eventually reaching equilibrium.
The
results presented in Table
2.
showed
that at a concentration of 1
% Citric
Acid (CA),
the maximum extraction capacity (Cₑ)
for
PC was 1.16
× 10⁻²
mg/mL,
with an extraction rate constant (
)
of
2.05
× 10⁻²
1/min.
Increasing
the concentration of Citric Acid to 2
% increased
the Cₑ to 1.29
× 10⁻²
mg/mL,
and the extraction rate constant (
)
increased
to 2.38
× 10⁻²
1/min.
At
3%
concentration,
Cₑ reached 1.57
× 10⁻²
mg/mL
but
decreased slightly to 1.77
× 10⁻²
1/min.
The
decrease in the extraction rate constant at this high concentration
indicates that although the extraction capacity increased, the
extraction rate began to slow down due to solvent saturation.
Allophycocyanin,
with slightly different characteristics, showed that at 1
% CA,
Cₑ was 1.56
× 10⁻²
mg/mL,
with
of 9.03
× 10⁻³
1/min.
When
the Citric Acid concentration increased to 2
%,
Cₑ increased to 1.81
× 10⁻²
mg/mL,
but
decreased slightly to 7.23
× 10⁻³
1/min.
At
3%
CA,
Cₑ reached 2.23
× 10⁻²
mg/mL,
but
further decreased to 4.75
× 10⁻³
1/min.
Although
the maximum extraction capacity increased, the extraction rate
decreased at higher concentrations, possibly due to the influence of
increasingly inhibited diffusion or solvent-matrix
interactions.
As
for PE, at 1
% CA,
Cₑ was 1.95
× 10⁻²
mg/mL,
and
was 1.66
× 10⁻²
1/min.
At
2
% CA,
Cₑ increased to 2.24
× 10⁻²
mg/mL,
and
was 1.49
× 10⁻²
1/min.
At
3
% CA
concentration, Cₑ increased to 2.58
× 10⁻²
mg/mL,
with
increasing to 2.40
× 10⁻²
1/min,
indicating that the PE extraction rate continued to increase with
increasing citric acid concentration.
This
suggests that PE is more responsive to increasing solvent
concentration, allowing for increased extraction efficiency at
higher concentrations.
The pseudo-first-order model effectively describes the initial diffusion-dominated extraction phase. However, it has limitations in capturing the full complexity of the extraction mechanism, particularly during the equilibrium phase. This model assumes that diffusion is the only factor controlling the extraction rate [75,76]. In contrast, the extraction process is also influenced by the chemical interaction between the solvent (citric acid) and phycobiliprotein molecules and the physical conditions of the Spirulina platensis matrix. Therefore, although the pseudo-first order model provides a good description of the initial extraction rate, it cannot fully explain the overall extraction dynamics. After applying the pseudo-first order kinetic model, we can proceed with a theoretical approach to further understand the extraction mechanism.
Table 2 Pseudo-First order kinetic model parameter for extraction kinetics in various CA concentration.
CA |
PBP |
|
|
SSE |
RMSE |
R2 |
MAPE |
1 % |
PC |
1.16 × 10⁻² |
2.05 × 10-2 |
4.08 × 10⁻⁶ |
8.25 × 10⁻⁴ |
0.955 |
9.87 |
APC |
1.56 × 10-2 |
9.03 × 10⁻³ |
3.75 × 10⁻⁶ |
7.90 × 10⁻⁴ |
0.959 |
11.08 |
|
PE |
1.95 × 10⁻² |
1.66 × 10⁻² |
3.09 × 10⁻⁶ |
7.18 × 10⁻⁴ |
0.986 |
5.58 |
|
2 % |
PC |
1.29 × 10⁻² |
2.38 × 10⁻² |
3.33 × 10⁻⁶ |
9.13 × 10⁻⁴ |
0.964 |
11.74 |
APC |
1.81 × 10⁻² |
7.23 × 10⁻³ |
3.50 × 10⁻⁶ |
6.72 × 10⁻⁴ |
0.965 |
8.54 |
|
PE |
2.24 × 10⁻² |
1.49 × 10⁻² |
2.72 × 10⁻⁶ |
6.18 × 10⁻⁴ |
0.989 |
3.25 |
|
3 % |
PC |
1.57 × 10⁻² |
1.77 × 10⁻² |
2.96 × 10⁻⁶ |
7.26 × 10⁻⁴ |
0.983 |
8.92 |
APC |
2.23 × 10⁻² |
4.75 × 10⁻³ |
2.17 × 10⁻⁶ |
5.37 × 10⁻⁴ |
0.973 |
5.03 |
|
PE |
2.58 × 10⁻² |
2.40 × 10⁻² |
2.04 × 10⁻⁶ |
4.51 × 10⁻⁴ |
0.994 |
1.98 |
*Abbreviations:
:
Equilibrium
concentration;
:
Pseudo-first
order rate constant; SSE:
Sum
of Squared Errors; RMSE:
Root
Mean Squared Errors; R2:
Coefficient
of determination; MAPE:
Mean
Absolute Percentage Error.
In theory, diffusion is still considered the main factor in the extraction process. However, other factors, such as temperature and the properties of phycobiliprotein molecules, such as size and polarity, also need to be considered. In MAE-based extraction, microwaves selectively heat the solvent, accelerating the diffusion of phycobiliproteins from inside the cell to the solvent [27]. In addition, citric acid stabilizes the molecular structure of phycobiliproteins, preventing thermal degradation or degradation due to extreme pH and allowing for more efficient extraction. As a next step, the pseudo-second order kinetic theory can be used to describe more deeply the chemical interactions between solvents and phycobiliproteins. This model is more suitable for describing conditions where the extraction rate depends on diffusion and adsorption or chemical bonds between the solvent and phycobiliprotein molecules [77,78]. We can obtain a more comprehensive picture of the extraction mechanism using various kinetic models such as pseudo-first order and pseudo-second order. We can optimize extraction conditions to increase extract yields.
The pseudo-second order kinetic model provides a more comprehensive understanding of the phycobiliprotein (PBP) extraction mechanism by considering both diffusion and adsorption or chemical interactions between phycobiliproteins and the solvent (citric acid) [79]. This model assumes that the extraction rate is influenced by the available PBP concentration and the solvent’s ability to interact with the PBP molecules. Unlike the pseudo-first order model which primarily describes the diffusion dominated phase, the pseudo-second order model is more effective in explaining the equilibrium phase where the interactions between the solvent and PBP molecules control the extraction rate [80]. The application of the pseudo-second order kinetic model to the extraction data, as presented in Table 3. reveals significant insights into the mechanism of PBP extraction at different citric acid concentrations.
For
PC, at 1
% citric
acid, the maximum extraction capacity (Cₑ)
is
1.39
× 10⁻²
mg/mL,
with a rate constant (
)
of
3.112
1/min.
Increasing
the citric acid concentration to 2
% results
in a higher Cₑ 2.62
× 10⁻²
mg/mL
but a lower
value 1.091
1/min,
suggesting that although more PC can be extracted, the rate of
extraction slows due to possible interactions between PC molecules
and the solvent.
At
3
% citric
acid, Cₑ further increases to 3.03
× 10⁻²
mg/mL.
reaches its highest value 8.324
1/min,
indicating a more favourable interaction between PC and the solvent,
leading to a more efficient extraction process.
For
APC, the results follow a slightly different trend.
At
1
% citric
acid, Cₑ is 1.65
× 10⁻²
mg/mL,
with a
value of 3.493
1/min.
Increasing
the citric acid concentration to 2
% increases
Cₑ to 1.98
× 10⁻²
mg/mL,
with a slightly higher
of
3.528
1/min.
However,
at 3
% citric
acid, Cₑ significantly increases to 4.45
× 10⁻²
mg/mL,
but
remains
relatively stable at 3.610
1/min.
This
suggests that while the solvent can extract more APC, the adsorption
or stabilization of APC within the solvent medium becomes a more
dominant factor in controlling the extraction rate.
The
extraction behaviour of PE under the pseudo-second
order
model exhibits a unique pattern.
At
1
% citric
acid, Cₑ is 1.50
× 10⁻²
mg/mL,
with a
value of 1.348
1/min.
At
2
% citric
acid, Cₑ increases to 2.27
× 10⁻²
mg/mL,
but
drops significantly to 0.304
1/min,
indicating a slower extraction rate as equilibrium approaches.
At
3%
citric
acid, Cₑ reaches 2.62
× 10⁻²
mg/mL.
However,
remains
relatively low at 0.560
1/min,
suggesting that PE extraction is less dependent on rapid diffusion
and more influenced by solvent interactions and stabilization
effects.
Table 3 Pseudo-second order kinetic model parameter for extraction kinetics in various CA concentration.
CA |
PBP |
|
|
SSE |
RMSE |
R2 |
MAPE |
1 % |
PC |
1.39 × 10⁻² |
3.112 |
8.68 × 10-6 |
1.20 × 10⁻³ |
0.922 |
11.22 |
APC |
1.65 × 10⁻² |
3.493 |
1.67 × 10-5 |
1.67 × 10⁻³ |
0.904 |
12.57 |
|
PE |
1.50 × 10⁻² |
1.348 |
3.98 × 10-6 |
8.15 × 10⁻⁴ |
0.956 |
9.50 |
|
2 % |
PC |
2.62 × 10⁻² |
1.091 |
4.73 × 10-6 |
8.88 × 10⁻⁴ |
0.985 |
4,75 |
APC |
1.98 × 10⁻² |
3.528 |
2.25 × 10-5 |
1.94 × 10⁻⁴ |
0.914 |
12.04 |
|
PE |
2.27 × 10⁻² |
0.304 |
3.34 × 10-6 |
5.53 × 10⁻⁴ |
0.963 |
10.69 |
|
3 % |
PC |
3.03 × 10⁻² |
8.324 |
2.87 × 10-6 |
6.92 × 10⁻⁴ |
0.996 |
2.08 |
APC |
4.45 × 10⁻² |
3.610 |
1.24 × 10-6 |
1.44 × 10⁻⁴ |
0.991 |
3.45 |
|
PE |
2.62 × 10⁻² |
0.560 |
1.83 × 10-6 |
5.53 × 10⁻⁴ |
0.992 |
4.13 |
*Abbreviations:
:
Equilibrium
concentration;
:
Pseudo-second
order rate contant; SSE:
Sum
of Squared Errors; RMSE:
Root
Mean Squared Errors; R2:
Coefficient
of determination; MAPE:
Mean
Absolute Percentage Error.
After applying the pseudo-second order kinetic model, further understanding of the extraction mechanism can be gained by considering other factors such as solvent polarity, pH stability, and structural changes in PBPs during extraction. The interaction between citric acid and PBP molecules may involve a complexation effect. This study used 3 kinetic models, namely Peleg, pseudo-first order, and pseudo-second order, to understand the phycobiliprotein (PBP) extraction mechanism from Spirulina platensis. The Peleg model effectively describes the early extraction phase, indicating that increasing citric acid concentration accelerates the initial release of PBP into the solvent. However, this model does not consider the diffusion mechanism or chemical interactions, making it less able to explain the equilibrium phase [81,82]. The pseudo-first order model is more suitable for explaining the early to middle phase of extraction, where diffusion is the main factor in determining the extraction rate [83]. However, this model does not capture the interaction between the solvent and PBP, which becomes more dominant when the extraction reaches equilibrium. Meanwhile, the pseudo-second order model provides a more comprehensive description because it considers the adsorption and chemical interactions between the solvent and PBP [84]. This model showed a higher maximum extraction capacity (Cₑ) compared to the other 2 models, especially at a citric acid concentration of 3 %, and had the highest R² value (≥ 0.99), indicating the best fit with the experimental data. Thus, although the Peleg and pseudo-first order models are better at describing the initial phase of extraction, the pseudo-second order is more accurate in describing the equilibrium phase, making it a more appropriate model for predicting the maximum extraction capacity of PBP in MAE systems and mobilising the extracted protein, thereby preventing degradation and increasing the extraction yield. In addition, Figure 6 shows how the representation of the accuracy of the prediction data generated by each kinetic equation model with the obtained observation data.
Based on the analysis of kinetic parameters, the pseudo-second order model was shown to have the best performance in describing the extraction of phycobiliproteins from Spirulina platensis, with the highest R² value (≥ 0.99) and the lowest MAPE (4.13 % at CA 3 %), indicating a perfect match with the experimental data, especially at the equilibrium phase. The Peleg model was quite effective in explaining the early phase of extraction, especially at CA 3 %, where the R² value reached 0.996, but at lower CA concentrations, its accuracy decreased. Meanwhile, the pseudo-first order model was better at explaining the early to the middle phase of extraction, with a reasonably good R² value, but less accurate in predicting the equilibrium phase than the pseudo-second order model. Therefore, the pseudo-second order model is the best choice if the analysis aims to understand the extraction mechanism thoroughly, especially when considering the solvent-protein interaction. At the same time, the Peleg and pseudo-first order models are still relevant to understanding the early phase and the role of diffusion in the extraction process.
|
|
|
|
Figure 6 Correlation of the observed and predicted PBP content in various CA concentration of (a) phycocyanin (b) allophycocyanin (c) phycoerythrin.
Conclusions
The CA concentration affected the temperature increase and PBP extraction from Spirulina platensis using MAE. Higher CA concentrations in MAE enhanced heat generation, accelerating extraction by disrupting cell structures, increasing solvent penetration, and stabilizing PBPs in the solvent. The concentration of CA also affects the concentration and yield of each pigment of PC, APC, and PE. This study confirms that citric acid effectively prevents PBP thermal degradation in MAE, providing a quantified approach to optimizing solvent conditions for enhanced extraction yield. Additionally, increasing CA concentration decreased the pH value of the solution, yet this did not lead to a significant degradation of PBP, which remained stable throughout the extraction process. The pseudo-second order model is the most accurate in describing phycobiliprotein extraction using MAE, with the lowest SSE and RMSE and the highest R² (≥ 0.99), indicating the best fit with experimental data. Additionally, its lower MAPE, especially at 3 % CA, confirms its superiority in extraction prediction. While the Peleg and pseudo-first order models remain relevant for understanding the initial phase and diffusion mechanisms, pseudo-second order excels in describing the equilibrium phase, making it the best model for optimizing phycobiliprotein extraction.
Acknowledgements
The author would like to thank the “Kementerian Pendidikan, Kebudayaan, Riset dan Teknologi Indonesia and Direktorat Penelitian Universitas Gadjah Mada” for funding the research through “Penelitian Tesis Magister BIMA” with agreement number “048/E5/PG.02.00.PL/2024 and 2891/UN1/DITLIT/ PT.01.03/2024”.
References
[1] S Priyanka, R Varsha, R Verma and AS Babu. Spirulina: A spotlight on its nutraceutical properties and food processing applications. Journal of Microbiology, Biotechnology and Food Sciences 2023; 12(6), e4785.
[2] BR Kiran and SV Mohan. Microalgal cell biofactory-therapeutic, nutraceutical and functional food applications. Plants 2021; 10(5), 836.
[3] AH Khalil, EA Aidy, MA Said, R Kebeish and AH Al-Badwy. Biochemical and molecular docking-based assessment of Spirulina platensis’s bioactive constituents for their potential application as natural anticancer drug. Algal Research 2024; 82, 103624.
[4] X Lv, Y Wu, M Gong, J Deng, Y Gu, Y Liu, J Li, G Du, R Ledesma-Amaro, L Liu and J Chen. Synthetic biology for future food: Research progress and future directions. Future Foods 2021; 3, 100025.
[5] A Al-Farga, H Zhang, A Siddeeg, M Shamoon, MVM Chamba and N Al-Hajj. Proximate composition, functional properties, amino acid, mineral and vitamin contents of a novel food: Alhydwan (Boerhavia elegana Choisy) seed flour. Food Chemistry 2016; 211, 268-273.
[6] KD Pamungkas, K Anam and T Budiati. Effect of high cell density to lipid content microalgae chlorella vulgaris on photoautotrophic cultivation. Food Science and Technology Journal 2023; 6(2), 78-85.
[7] J Assuncao, HM Amaro, FX Malcata and AC Guedes. Factorial optimization of ultrasound-assisted extraction of phycocyanin from synechocystis salina: Towards a biorefinery approach. Life 2022; 12(9), 1389.
[8] L Wils, C Leman-Loubiere, N Bellin, B Clement-Larosiere, M Pinault, S Chevalier, C Enguehard-Gueiffier, C Bodet and L Boudesocque-Delaye. Natural deep eutectic solvent formulations for spirulina: Preparation, intensification, and skin impact. Algal Research 2021; 56, 102317.
[9] W Chen, J Xu, Q Yu, Z Yuan, X Kong, Y Sun, Z Wang, X Zhuang, Y Zhang and Y Guo. Structural insights reveal the effective Spirulina platensis cell wall dissociation methods for multi-output recovery. Bioresource Technology 2020; 300, 122628.
[10] WF Elkot, A Elmahdy, TH El-Sawah, OA Alghamdia, SK Alhag, EA Al-Shahari, A Al-Farga, HA Ismail. Development and characterization of a novel flavored functional fermented whey-based sports beverage fortified with Spirulina platensis. International Journal of Biological Macromolecules 2024; 258(Part2), 128999.
[11] T Lafarga, JM Fernandez-Sevilla, C Gonzalez-Lopez and FG Acien-Fernandez. Spirulina for the food and functional food industries. Food Research International 2020; 137, 109356.
[12] N Hidhayati, KD Pamungkas, B Adinda and K Anam. Quality of arthrospira maxima in different water sources for cultivation media and biomass storage conditions. AIP Conference Proceedings 2023; 2972, 0500166.
[13] Y Ladjal-Ettoumi, M Hamadi, LH Douik, Z Cherifi and A Nazir. Physicochemical, functional, and nutraceutical properties of spirulina and chlorella biomass: A comparative study. Algal Research 2024; 81, 103561.
[14] X Li, W Hou, J Lei, H Chen and Q Wang. The unique light-harvesting system of the algal phycobilisome: Structure, assembly components, and functions. Prerpints.org, Basel, Switzerland, 2023.
[15] H Chen, H Qi and P Xiong. Phycobiliproteins-a family of algae-derived biliproteins: Productions, characterization and pharmaceutical potentials. Marine Drugs 2022; 20(7), 450.
[16] RDP Rodrigues, ASE Silva, TAV Carlos, AKP Bastos, RSD Santiago-Aguiar and MVP Rocha. Application of protic ionic liquids in the microwave-assisted extraction of phycobiliproteins from Arthrospira platensis with antioxidant activity. Separation and Purification Technology 2020; 252, 117448.
[17] S Tavakoli, H Hong, K Wang, Q Yang, HH Gahruie, S Zhuang, Y Li, Y Liang, Y Tan and Y Luo. Ultrasonic-assisted food-grade solvent extraction of high-value added compounds from microalgae Spirulina platensis and evaluation of their antioxidant and antibacterial properties. Algal Research 2021; 60, 102493.
[18] TJ Ashaolu. The powerful phycobiliproteins-phycocyanin and phycoerythrin: Pleiotropic applications and biofunctional uses. Algal Research 2024; 82, 103636.
[19] K Limrujiwat, S Supan and W Khetkorn. Cyanobacterial biodiversity from Thai karstic caves as a potential source for phycobiliprotein production. Algal Research 2022; 64, 102666.
[20] DY Susanti, WB Sediawan, M Fahrurrozi and M Hidayat. Optimization of agitation and kinetic studies on proanthocyanidin compound extraction from red sorghum grains in agitated vessel. IOP Conference Series: Materials Science and Engineering 2020; 778, 012085.
[21] JM Santos, BC Jesus, H Ribeiro, A Martins, J Marto, M Fitas, P Pinto, C Alves, J Silva, R Pedrosa and IM Marrucho. Extraction of macroalgae phenolic compounds for cosmetic application using eutectic solvents. Algal Research 2024; 79, 103438.
[22] E Ponthier, H Dominguez and MD Torres. The microwave assisted extraction sway on the features of antioxidant compounds and gelling biopolymers from Mastocarpus stellatus. Algal Research 2020; 51, 102081.
[23] G Huschek, HM Rawel, T Schweikert, J Henkel-Oberlander and ST Sagu. Characterization and optimization of microwave-assisted extraction of B-phycoerythrin from Porphyridium purpureum using response surface methodology and Doehlert design. Bioresource Technology Reports 2022; 19, 101212.
[24] S Zhou, W Chen and K Fan. Recent advances in combined ultrasound and microwave treatment for improving food processing efficiency and quality: A review. Food Bioscience 2024; 58(5), 103683.
[25] V Darakai, C Punsawad, J Jitonnom, M Nisoa and P Rattanakit. Microwave-assisted ultrafine silver nanoparticle synthesis using Mitragyna speciosa for antimalarial applications. Green Processing and Synthesis 2024; 13(1), 20230257.
[26] DA Esquivel-Hernandez, J Rodriguez-Rodriguez, M Rostro-Alanis, SP Cuellar-Bermudez, EI Mancera-Andrade, JE Nunez-Echevarria, JS Garcia-Perez, R Chandra, R Parra-Saldivar. Advancement of green process through microwave-assisted extraction of bioactive metabolites from Arthrospira Platensis and bioactivity evaluation. Bioresource Technology 2017; 224, 618-629.
[27] N Orthesin, IT Hidayat, WT Wahyuni, UD Syafitri, Y Herbani and YW Sari. Optimization of chlorophyll extraction from dried spirulina platensis using low power microwave assisted extraction method. IOP Conference Series: Earth and Environmental Science 2024; 1359, 012021.
[28] RN Fathimah, W Setyaningsih, C Carrera, AD Astari, RE Masithoh, IT Suryaningtyas and M Palma. A microwave-based technique to determine saccharides and polyols contents in Spirulina (Arthrospira platensis). Arabian Journal of Chemistry 2021; 14(4), 103094.
[29] Y Liu, H Zhang, C Yi, K Quan and B Lin. Chemical composition, structure, physicochemical and functional properties of rice bran dietary fiber modified by cellulase treatment. Food Chemistry 2021; 342, 128352.
[30] H Berrou, M Saleh and K Al-Ismail. Hydration kinetics of nixtamalized white bitter lupin (lupinus albus L.) seeds. Polish Journal of Food and Nutrition Sciences 2022; 72(4), 361-370.
[31] X Cai, X Zhao, W Miao, Z Wu, HM Liu and X Wang. Optimization and kinetics modeling of microwave-assisted subcritical n-butane extraction of tigernut oil. Journal of Oleo Science 2022; 71(12), 1799-1811.
[32] DY Susanti, WB Sediawan, M Fahrurrozi and M Hidayat. The effects of ultrasound wave on the extraction of proanthocyanidins from red sorghum grain using green solvent and a kinetics model of the extraction. Key Engineering Materials 2021; 884, 212-219.
[33] DY Susanti, WB Sediawan, M Fahrurrozi and M Hidayat. A mechanistic model of mass transfer in the extraction of bioactive compounds from intact sorghum pericarp. Processes 2019; 7(11), 837.
[34] DP Jaeschke, IR Teixeira, LDF Marczak and GD Mercali. Phycocyanin from spirulina: A review of extraction methods and stability. Food Research International 2021; 143, 110314.
[35] A Adjali, I Clarot, Z Chen, E Marchioni and A Boudier. Physicochemical degradation of phycocyanin and means to improve its stability: A short review. Journal of Pharmaceutical Analysis 2022; 12(3), 406-414.
[36] K Wang and G Luo. Microflow extraction: A review of recent development. Chemical Engineering Science 2017; 169, 18-33.
[37] M Hassan, M Rahman, BC Ghos, I Hossain, A Amin and KA Zuhanee. Extraction, and characterization of CNC from waste sugarcane leaf sheath as a reinforcement of multifunctional bio-nanocomposite material: A waste to wealth approach. Carbon Trends 2024; 17, 100400.
[38] AM Alomran and II Louki. Impact of irrigation systems on water saving and yield of greenhouse and open field cucumber production in Saudi Arabia. Agricultural Water Management 2024; 302(7), 108974.
[39] JF Fabre, NUF Niangoran, C Gaignard, D Buso, Z Mouloungui and R Valentin. Extraction, purification and stability of C-phycocyanin from Arthrospira platensis. European Food Research and Technology 2022; 248, 1583-1599.
[40] W Pan-utai, W Kahapana and S Iamtham. Extraction of C-phycocyanin from arthrospira (Spirulina) and its thermal stability with citric acid. Journal of Applied Phycology 2017; 30(1), 231-242.
[41] B. Yuan, Z Li, H Shan, B Dashnyam, X Xu, DJ McClements, B Zhang, M Tan, Z Wang and C Cao. A review of recent strategies to improve the physical stability of phycocyanin. Current Research in Food Science 2022; 5, 2329-2337.
[42] HF Izza, DY Susanti, S Mariyam and AD Saputro. Performance of microwave-assisted extraction of proanthocyanidins from red sorghum grain in various power and citric acid concentration. Journal of the Saudi Society of Agricultural Sciences 2023; 22(7), 480-492.
[43] MM Hossain, R Ara, F Yasmin, M Suchi and W Zzaman. Microwave and ultrasound assisted extraction techniques with citric acid of pectin from Pomelo (Citrus maxima) peel. Measurement: Food 2024; 13, 100135.
[44] W Routray and V Orsat. Variation of dielectric properties of aqueous solutions of ethanol and acids at various temperatures with low acid concentration levels. Physics and Chemistry of Liquids 2014; 52(2), 209-232.
[45] Y Mao, J Robinson and E Binner. Understanding heat and mass transfer processes during microwave-assisted and conventional solvent extraction. Chemical Engineering Science 2021; 233, 116418.
[46] V Lopez-Avila. Extraction with supercritical fluid inorganic extractions microwave-assisted extraction. Academic Press. California, United States, 2000.
[47] I Efthymiopoulos, P Hellier, N Ladommatos, A Russo-Profili, A Eveleigh, A Aliev, A Kay and B Mills-Lamptey. Influence of solvent selection and extraction temperature on yield and composition of lipids extracted from spent coffee grounds. Industrial Crops and Products 2018; 119, 49-56.
[48] DN Jamal, MSM Shajahan, N Cruzs, M Abhineshjayram and S Goutham. Empirical investigation and comparison of different viscosity liquids with increasing temperature. IEEE, New York, 2020.
[49] X Liu, Y Tang, W Ning, Y Bao, T Luo and J Wang. Responses of issatchenkia terricola WJL-G4 upon citric acid stress. Molecules 2022; 27(9), 2664.
[50] S Hussain, M Sharma, T Jarg, R Aav and R Bhat. Natural pigments (anthocyanins and chlorophyll) and antioxidants profiling of European red and green gooseberry (Ribes uva-crispa L.) extracted using green techniques (UAE-citric acid-mediated extraction). Current Research in Food Science 2023; 7, 100629.
[51] VS Kislik. Principles of solvent extraction of organic and mineral acids. Elsevier Science, Amsterdam, Netherlands, 2012.
[52] M Tang, H Zhang and L Li. Extraction remediation technologies of arsenic contaminated soils using citric acid. IEEE, New York, 2020.
[53] J Wang, S Qin, J Lin, Q Wang, W Li and Y Gao. Phycobiliproteins from microalgae: Research progress in sustainable production and extraction processes. Biotechnology for Biofuels and Bioproducts 2023; 16, 170.
[54] K Li, C Jiang, S Han, S Kang, J Chen, D Won, Y Kang, B Bae, Y Choi, HS Kim and J Lee. Green and efficient method to acquire high-value phycobiliprotein from microalgal biomass involving deep eutectic solvent-based ultrasound-assisted extraction. Food Chemistry 2024; 449, 139196.
[55] Y Shmatok, H Potapenko and S Kirillov. Optimal design of LiMn2O4 for high-rate applications by means of citric acid aided route and microwave heating. Journal of Electrochemical Science and Engineering 2024; 14(3), 369-382.
[56] M Jorns, S Strickland, M Mullins and D Pappas. Improved citric acid-derived carbon dots synthesis through microwave-based heating in a hydrothermal pressure vessel. RSC Advances 2022; 12(50), 32401-32414.
[57] A Martinez, R Vargas and A Galano. Citric acid: A promising copper scavenger. Computational and Theoretical Chemistry 2018; 1133, 47-50.
[58] YH Ju, SK Roy, AR Choudhury, S Kwon, J Choi, MA Rahman, T Katsube-Tanaka, T Shiraiwa, M Lee, K Cho and S Woo. Proteome changes reveal the protective roles of exogenous citric acid in alleviating cu toxicity in brassica napus L. International Journal of Molecular Sciences 2021; 22(11), 5879.
[59] YC Shinta, B Zaman and S Sumiyati. Citric Acid and EDTA as chelating agents in phytoremediation of heavy metal in polluted soil: A review. IOP Conference Series: Earth and Environmental Science 2021; 896, 012023.
[60] R Chaiklahan, N Chirasuwan and B Bunnag. Stability of phycocyanin extracted from Spirulina sp.: Influence of temperature, pH and preservatives. Process Biochemistry 2012; 47(4), 659-664.
[61] VK Kannaujiya and RP Sinha. Thermokinetic stability of phycocyanin and phycoerythrin in food-grade preservatives. Journal of Applied Phycology 2016; 28(2), 1063-1070.
[62] R Sharma, B Bhunia, A Mondal, TK Bandyopadhyay, I Devi, G Oinam, R Prasanna, G Abraham and ON Tiwari. Statistical optimization of process parameters for improvement of phycobiliproteins (PBPs) yield using ultrasound-assisted extraction and its kinetic study. Ultrasonics Sonochemistry 2020; 60, 104762.
[63] F Wang, X Yu, Y Cui, L Xu, S Huo, Z Ding, Q Hu, W Xie, H Xiao and D Zhang. Efficient extraction of phycobiliproteins from dry biomass of Spirulina platensis using sodium chloride as extraction enhancer. Food Chemistry 2023; 406, 135005.
[64] M Faieta, C Toong, MG Corradini, RD Ludescher and P Pittia. Degradation kinetics of C-Phycocyanin under isothermal and dynamic thermal treatments. Food Chemistry 2022; 382, 132266.
[65] SM Zakaria, SMM Kamal, MR Harun, R Omar and SI Siajam. Extraction of phenolic compounds from Chlorella sp. microalgae using pressurized hot water: Kinetics study. Biomass Conversion and Biorefinery 2022; 12(1), 2081-2089.
[66] OR Alara and NH Abdurahman. Microwave-assisted extraction of phenolics from Hibiscus sabdariffa calyces: Kinetic modelling and process intensification. Industrial Crops and Products 2019; 137, 528-535.
[67] Hadiyanto, M Christwardana, H Sutanto, M Suzery, D Amelia and RF Aritonang. Kinetic study on the effects of sugar addition on the thermal degradation of phycocyanin from Spirulina sp. Food Bioscience 2018; 22, 85-90.
[68] N Milicevic, P Kojic, M Sakac, A Misan, J Kojic, C Perussello, V Banjac, M Pojic and B Tiwari. Kinetic modelling of ultrasound-assisted extraction of phenolics from cereal brans. Ultrasonics Sonochemistry 2021; 79, 105761.
[69] PR More and SS Arya. Intensification of bio-actives extraction from pomegranate peel via microwave irradiation: Effect of factors, optimization, kinetics, and bioactive profiling. Chemical Engineering and Processing - Process Intensification 2024; 202, 109839.
[70] A Galetovic, F Seura, V Gallardo, R Graves, J Cortes, C Valdivia, J Nunez, C Tapia, I Neira, S Sanzana and B Gomez-Silva. Use of phycobiliproteins from atacama cyanobacteria as food colorants in a dairy beverage prototype. Foods 2020; 9(2), 244.
[71] M Gomaa, SA Ali and AF Hifney. Enhancement of phycocyanin productivity and thermostability from Arthrospira platensis using organic acids. Microbial Cell Factories 2023; 22(1), 248.
[72] B Nowruzi, M Ahmadi, N Bouaicha, AE Khajerahimi and SAA Anvar. Studying the impact of phycoerythrin on antioxidant and antimicrobial activity of the fresh rainbow trout fillets. Scientific Reports 2024; 14(1), 2470.
[73] C Yang, D Lazidou, E Kampasakali, E Pavlidou and J Stratis. Mass transfer process of peanut protein extracted by bis(2-ethylhexyl) sodium sulfosuccinate reverse micelles. Grain and Oil Science and Technology 2024; 7(1), 60-67.
[74] X Huang, J Wang, X Qu, C Huang and KL Yam. A release model considering chemical loss from a double-layer material into food. Thermal Science 2020; 24(4), 2419-2426.
[75] A Delanney, A Ledoux and L Estel. Absorption in a pseudo-first-order regime with two irreversible reactions: Influence of the second reaction on the transfer rate. Chemical Engineering Journal 2024; 496, 153724.
[76] P Zhou, X Li, J Zhou, Y Yang, J Zhi and L Shen. Mass transfer mechanism of the multivariate consecutive extraction process of pectin and hesperidin from Citrus aurantium L.: Kinetics, thermodynamics, diffusion and mass transfer coefficients. Separation and Purification Technology 2023; 311, 123339.
[77] MG Fadl. Prediction of heavy metal biosorption mechanism through studying isotherm kinetic equations. Scientific Reports 2023; 13, 1576.
[78] LAD Silva, MRDS Scapim, JFD Silva, AP Stafussa, ACR Aranha, LMDM Jorge, RO Defendi, ODOS Junior and GS Madrona. Modeling the extraction of bioactive compounds of green and red camu-camu peel and identification using UPLC-MS/MS. Chemical Engineering Research and Design 2023; 196, 1-12.
[79] X Peng, P Yang, K Dai, Y Chen, X Chen, W Zhuang, H Ying and J Wu. Synthesis, adsorption and molecular simulation study of methylamine-modified hyper-cross-linked resins for efficient removal of citric acid from aqueous solution. Scientific Reports 2020; 10(1), 9623.
[80] HN Tran. Differences between chemical reaction kinetics and adsorption kinetics: Fundamentals and discussion. Journal of Technical Education Science 2022; 70(1), 33-47.
[81] L Gulua, T Khutsidze and T Turmanidze. Modeling of polyphenols extraction process from green tea and the effect of temperature on the process. International Journal of Science and Research Archive 2024; 12(1), 2115-2124.
[82] Y Wang, C Wang, H Xue, Y Jin, M Yang and F Leng. Comparative analysis of three kinds of extraction kinetic models of crude polysaccharides from Codonopsis pilosula and evaluate the characteristics of crude polysaccharides. Biomass Conversion and Biorefinery 2023; 13, 12917-12933.
[83] J Eilertsen, S Schnell and S Walcher. The michaelis–menten reaction at low substrate concentrations: Pseudo-first-order kinetics and conditions for timescale separation. Bulletin of Mathematical Biology 2024; 86, 68.
[84] R Ezzati. A new insight into the pseudo-second-order model and the physical meaning of its rate constant in adsorption. Journal of Dispersion Science and Technology 2023; 46(2), 222-229.