Start Bootstrap Logo
TF_Template_Word_Windows_2010

Trends Sci. 2025; 22(7): 10003


Anti-Cholesterol Activity, LC-MS/MS Compound Profiling, and In Silico Analysis of Menteng (Baccaurea racemosa Muell. Arg.) Leaves Extracts


Ade Heri Mulyati1,*, Diana Widiastuti1, Arsyana Kurniasari1,

Gina Nadifah1, Siska Elisahbet Sinaga2 and Wira Eka Putra3


1Department of Chemistry, Faculty of Mathematics and Natural Science, Universitas Pakuan, West Java, Indonesia

2Department of Food, Life, and Environmental Science, Faculty of Agriculture, Yamagata University, Yamagata, Japan

3Department of Biology, Faculty of Mathematics and Natural Sciences, Universitas Negeri Malang, Indonesia


(*Corresponding author’s e-mail: [email protected])


Received: 18 February 2025, Revised: 20 March 2025, Accepted: 27 March 2025, Published: 15 June 2025


Abstract

Hypercholesterolemia is recognized as a major risk factor for cardiovascular diseases and was commonly treated with long-term synthetic drugs, which were costly and associated with side effects. Medicinal plants, such as menteng (Baccaurea racemosa) leaves, have been explored as potential natural alternatives. This study investigated the anti-cholesterol activity of different menteng leaf extract fractions in vitro, identified the bioactive compounds in the most active fraction using LC-MS/MS, and assessed their potential as drug candidates through an in-silico approach. The research involved stepwise fractionation with n-hexane, ethyl acetate, and n-butanol solvents. Cholesterol level was evaluated in-vitro using the Liebermann-Burchard method by reacting with acetic anhydride and sulfuric acid, and bioactive compounds were identified through LC-MS/MS analysis. Molecular docking, biological activity prediction, and toxicity analysis were also performed. The results showed that the n-butanol fraction exhibited the highest in vitro anti-cholesterol activity (EC50 = 45.16 mg/L), surpassing the ethanol extract and other fractions. LC-MS/MS analysis revealed 7 bioactive compounds, including flavonoids (quercitrin, apiin and vitexin), phenolics (nicotiflorin), alkaloids (indole), phenylpropanoids (umbelliferone), and coumarins. The in-silico study demonstrated that these compounds had strong binding affinities compared to control drugs. These findings suggested that menteng leaf extracts, particularly the n-butanol fraction, could serve as a natural anti-cholesterol agent. Further in vivo studies and clinical trials are needed to confirm their therapeutic efficacy.


Keywords: Anti-cholesterol, Baccaurea racemosa, Fractionation, In vitro, Menteng leaves


Introduction

The World Health Organization (WHO) estimates that the global incidence of high cholesterol (hypercholesterolemia) ranges from 16 to 33 million cases. Indonesia is predicted to have one of the highest rates, with 350 to 810 cases per 100,000 population [1]. According to the 2018 Basic Health Research (Riskesdas) report, 21.2 % of Indonesians over the age of 15 have abnormal total cholesterol levels, 24.3 % have low High-Density Lipoprotein (HDL), 9.0 % have high Low-Density Lipoprotein (LDL), and 3.4 % have extremely high LDL levels. Elevated cholesterol is a major risk factor for diseases such as heart disease,


stroke, diabetes mellitus, and atherosclerosis (arterial blockage) [2]. Given the concerning prevalence of hypercholesterolemia globally and in Indonesia, as reported by WHO and Riskesdas, there is an urgent need for effective treatment strategies to regulate cholesterol levels and mitigate associated health risks [3].

The management of hypercholesterolemia and hyperglycemia often requires long-term therapy, which incurs high medical costs [4], and is associated with adverse effects from prolonged use of synthetic drugs. These side effects include nausea, itching, headaches, psychological disturbances, reversible hair loss, tachycardia, hyperuricemia, and even liver dysfunction (hepatitis) [5]. Statins, such as simvastatin, remain the first-line therapy for hypercholesterolemia management, as recommended by the American College of Cardiology (ACC) and the European Society of Cardiology (ESC). These guidelines highlight their effectiveness in reducing cardiovascular risk and improving lipid profiles. These medications inhibit 3-hydroxy-3-methyl-glutaryl-coenzyme A (HMG-CoA) reductase, effectively reducing endogenous cholesterol synthesis in the liver and leading to a significant decrease in total cholesterol levels [6]. However, the need for alternative treatments with fewer side effects has driven interest in herbal medicines derived from natural ingredients. Targeting reductase enzymes through bioactive compounds from natural sources presents a promising therapeutic strategy [7-10].

One of Indonesia’s medicinal plants with therapeutic potential is menteng (Baccaurea racemosa). This plant is rich in phenolic and flavonoid compounds, contributing to its strong antioxidant properties. Traditionally, menteng leaves have been used to regulate menstruation and treat diarrhea [11,12]. Previous studies have demonstrated that various parts of Baccaurea racemosa, including the leaves, stems, fruit peels, and pulp, exhibit significant antioxidant activity [11,13]. According to Permatasari et al. [14], menteng leaves contain various chemical compounds, including 1-butenyl methyl ketone, 2,4-bis(tert-butyl)phenol, stearic acid, bis(2-ethylmethyl)phthalate, hydroxydodecane, 1-hexacosene, 1-hexadecene, n-pentadecene, palmitic acid, and phytol isomer. Additionally, the leaves contain secondary metabolites, including flavonoids, phenolics, tannins, and terpenoids, which exhibit antioxidant, antidiabetic, and antibacterial properties. Antioxidants inhibit LDL oxidation, reducing oxidative stress and inflammation, which are critical factors in atherosclerosis development. Additionally, they modulate cholesterol metabolism by influencing enzymes such as HMG-CoA reductase (cholesterol synthesis) and Lecithin Cholesterol Acyltransferase (LCAT), which facilitates cholesterol esterification and transport [15]. Thus, this study aims to evaluate the anti-cholesterol activity of different fractions of menteng leaves extract in vitro, identify the secondary metabolites present in the most active fraction using LC-MS/MS analysis, and evaluate the potential of active compounds as anti-cholesterol drug candidate by in silico approach.


Materials and methods

Preparation of menteng leaves & moisture content determination

The harvested menteng leaves were cleaned, sliced, and dried without direct exposure to sunlight. Once dried, the leaves were ground and sieved to obtain a uniform powder size [16]. Furthermore, the moisture content of the simplicia was determined following the method described by Mulyati et al. [17]. A porcelain crucible was first dried in an oven at 105 °C for 60 min, then cooled in a desiccator and weighed to determine the initial weight. One g of extract was weighed into the crucible and gently shaken to distribute the sample evenly. The crucible was then placed in an oven and heated at 105 °C for 60 min. After cooling, the crucible and sample were weighed. This process was repeated until a constant weight was obtained. The moisture content was calculated using the following formula:


where: A = Initial weight of the sample before drying (g); B = Final weight of the sample after drying (g); Extraction and fractionation of Menteng leaves extract.


The extraction process was carried out based on the method described by Sinaga et al. [18] with modifications. Menteng leaves were dried, ground into powder, and macerated in 96 % ethanol (1:10 w/v) for 3 days, with intermittent stirring. The residue was filtered and re-macerated with fresh solvent for an additional 3 days. The pooled extract was concentrated using a vacuum rotary evaporator at 40 °C and then dried. The crude ethanol extract was fractionated using n-hexane, ethyl acetate, and n-butanol in a 1:1 (v/v) ratio. Each fraction was concentrated under reduced pressure at 40 - 47 °C. The obtained fractions (n-hexane, ethyl acetate, n-butanol, and aqueous) were stored for further analysis. The extraction yield was calculated using:

where: A = Initial weight of the cleaned sample (g); B = Final weight of the obtained extract (g).


Phytochemical screening of menteng leaves

The identification of alkaloids was conducted by dissolving the extract in distilled water, followed by the addition of ammoniacal chloroform with gentle stirring. After separation, the chloroform-ammonia layer was treated with a few drops of either 2N hydrochloric acid or 2N sulfuric acid and stirred carefully. The acidic layer was then collected and mixed with Mayer’s reagent, leading to the formation of a white to yellowish precipitate, which indicated the presence of alkaloids. Excessive stirring was avoided to prevent the precipitate from dissolving [19].

Steroid glycoside identification began with placing 0.25 g of the extract in a test tube and combining it with 0.5 mL of acetic anhydride and 0.5 mL of chloroform. The mixture was then transferred to another test tube, where concentrated sulfuric acid was carefully added along the tube’s walls. The appearance of a reddish-brown ring signified the presence of steroid glycosides. In the identification of steroids and triterpenoids, the extract was mixed with chloroform, and the chloroform layer was separated. A dropper pipette containing cotton and Norit was used to filter the chloroform layer, which was then applied to a test plate. The solution was treated with acetic anhydride, followed by the careful addition of concentrated sulfuric acid. A blue-green coloration confirmed the presence of steroids, whereas a brownish or violet color indicated the presence of triterpenoids [20].

The presence of saponins was determined by placing 0.5 g of the extract in a test tube with 10 mL of distilled water, followed by heating. After cooling, the mixture was shaken vigorously for 10 s. The formation of foam that persisted for at least 10 min, with a height between 1 and 10 cm, indicated the presence of saponins. The addition of a drop of 2N hydrochloric acid without foam dissipation further confirmed the result [19].

Phenol compounds were identified by reacting the extract with ferric chloride (III) solution. The development of a dark blue, dark greenish-blue, or greenish-black color suggested the presence of phenolic compounds, though the test was not specific for tannins [21].

Flavonoids were detected by adding a small amount of magnesium powder to the extract, followed by a few drops of concentrated hydrochloric acid. The appearance of orange, pink, red, or purple coloration confirmed the presence of flavonoids [19].


Anti-cholesterol activity test of menteng leaves extract using the liebermann-burchard method

The Liebermann-Burchard method is a colorimetric assay that quantitatively measures cholesterol levels by reacting with acetic anhydride and sulfuric acid, producing a characteristic color change. It is widely used in lipid profile analysis rather than general phytochemical screening. The anti-cholesterol activity test was performed based on the procedure by Musa et al. [22] with slight modifications. A standard curve was created by preparing a 1,000-ppm stock solution of cholesterol, then making serial concentrations of 10, 20, 40, 60, 80, and 100 ppm. Each concentration (5 mL) was pipetted into a test tube, and 2 mL of anhydrous acetic acid and 0.1 mL of concentrated H2SO4 were added. The tube was sealed with aluminum foil and left to stand for 15 min. Absorbance was then measured at the maximum wavelength, and a curve was created relating concentration to absorbance.

For testing the anti-cholesterol activity of the n-hexane, ethyl acetate, n-butanol, water, and ethanol fractions of Baccaurea racemosa leaves, serial concentrations of 20, 40, 60, 80, and 100 ppm were made from a 1,000-ppm test solution. Each concentration (5 mL) was added to a test tube, followed by the addition of 5 mL of 200 ppm cholesterol solution, 2 mL of anhydrous acetic acid, and 0.1 mL of concentrated H2SO4. The mixture was incubated in the dark for 15 min until it turned green. The reaction was then measured using a UV-Vis spectrophotometer at a wavelength of 423 nm. A blank control was prepared using 5 mL of chloroform, 2 mL of anhydrous acetic acid, and 0.1 mL of concentrated H2SO4. Additionally, the negative control was prepared by adding 2 mL of anhydrous acetic acid and 0.1 mL of concentrated H2SO4 to 5 mL of 200 ppm cholesterol solution. For the positive control, simvastatin was used, prepared in the same manner as the sample extract, to compare the activity of the extract to a known anti-cholesterol agent [22].

The absorbance of the Baccaurea racemosa samples was compared with the cholesterol standard solution to determine the percentage of cholesterol reduction. The percentage reduction in cholesterol was calculated using the following formula:


where: A = Percentage reduction of cholesterol; B = Cholesterol concentration after treatment (extract + cholesterol standard); C = Cholesterol concentration in the negative control


The EC50 value (effective concentration at which 50 % of cholesterol reduction occurs) was calculated based on the linear regression equation between the sample concentration (X) and the average cholesterol reduction activity (Y) from the series of sample measurements.


Identification of active compounds by LC-MS

The chemical compounds in the most active fraction of Baccaurea racemosa were determined using LC-MS/MS based on the procedure by Widiastuti et al. [23] with modifications. A total of 1.4 mg of the active extract sample was weighed and dissolved in 100 mL of methanol. The solution was filtered using a 0.2 μm GHP filter. A 5 μL aliquot of the sample solution was injected into the LC-MS/MS system through a C-18 column (2.1×150 mm2, 1.8 µm) with a flow rate of 0.2 mL/min. LC-MS/MS analysis was performed using an Ultra Performance Liquid Chromatography (UPLC) system (ACQUITY UPLC H-Class System, Waters, USA) and a mass spectrometer (Xevo G2-S QTof, Waters, USA) with Electrospray Ionization (ESI) in positive mode over a mass range of 50 - 1,200 m/z. The mobile phase consisted of 0.1 % formic acid in distilled water (A) and 0.1 % formic acid in acetonitrile (B). The total analysis time was 20 min at a column temperature of 100 °C. The elution system was run with a gradient: From 0 - 1 min, the solvent ratio was 70 % A and 30 % B; from 6 - 18 min, the ratio was 5 % A and 95 % B; and from 19-20 min, the ratio was 70 % A and 30 % B. Data obtained were processed using the MassLynx software. The identified compounds were confirmed based on the mass spectrum, showing high peak intensity in the chromatogram, which allowed for the determination of the molecular weight of each compound present in the sample [23].


Molecular docking, biological activity, and toxicity prediction

Before conducting molecular docking between the protein and ligand, the structures of bioactive compounds and control drugs were retrieved from the PubChem database (https://pubchem.ncbi.nlm.nih.gov), including Nicotiflorin (CID: 5318767), Quercitrin (CID: 5280459), Apiin (CID: 5280746), Vitexin (CID: 5280441), Indole (CID: 798), Umbelliferone (CID: 5281426), Coumarin (CID: 323), and Simvastatin (CID: 54454). The target protein structure, HMG-CoA reductase (ID: 2Q1L), was obtained from the RCSB PDB database (https://www.rcsb.org/). In this study, the grid box size was set to x: 16.7845, y: 6.8103, and z: 45.2153, while the coordinates used were x: 16.6660, y: 18.5313, and z: 17.9268. Molecular docking was carried out using PyRx 0.8 software (https://pyrx.sourceforge.io/), and the docking results were visualized using BIOVIA Discovery Studio (https://www.3ds.com/). Additionally, biological activity prediction and toxicity assessment were performed using the Way2Drug webserver (https://www.way2drug.com/passonline/) and ProTox 3.0 (https://tox.charite.de/protox3/), respectively [23,24].


Results and discussion

Characteristics of menteng leaves samples

The collected Baccaurea racemosa leaves were carefully sorted to ensure they were fresh and in good condition. A total of 8 kg of fresh menteng leaves were washed thoroughly and then cut into small pieces to facilitate and accelerate the drying process. The drying was conducted over several days under natural conditions, avoiding direct sunlight to minimize the risk of chemical compound degradation caused by heat exposure. Once dried, the leaves were ground into a fine powder to produce the simplicia. This grinding process increases the surface area of the menteng leaves powder, allowing better contact between the powder and the solvent, which enhances the extraction of secondary metabolites and optimizes the extraction process.

The finely ground simplicia was then subjected to water content determination, an important parameter for establishing the maximum allowable moisture content in the simplicia. High moisture content can serve as a medium for bacterial and fungal growth, which can degrade the active compounds in the simplicia. The measured water content is shown in Figure 1.



Figure 1 Water content of Menteng leaves simplicial.



Based on the data, the average water content of the Baccaurea racemosa leaves simplicia was found to be 6.89 ± 0.15 %. This result is in accordance with the standards set by the Indonesian National Agency of Drug and Food Control (BPOM) for traditional medicine, which specifies that the maximum allowable water content in simplicia is 10 %. This indicates that the menteng leaves simplicia has relatively optimal stability for long-term storage, preventing microbial growth, and making it suitable for further extraction processes.



Extraction and fractionation

The Baccaurea racemosa leaves simplicia was then extracted using the maceration method with 96 % ethanol at a ratio of 1:5 (w/v). Specifically, 2 kg of leaves simplicia was macerated in 10 L of 96 % ethanol for 3 days, followed by a second maceration using 5 L of the same solvent for an additional 3 days. The maceration method was chosen for its ability to preserve thermolabile compounds (those sensitive to heat) and its simple procedure and equipment. Ethanol was selected as the solvent due to its polarity, universal solvent properties, and ease of availability. Additionally, ethanol is commonly used in the extraction of secondary metabolites due to its low toxicity [25].



Figure 2 Yield of ethanol extract, n-hexane, ethyl acetate, and n-butanol fractions from Baccaurea racemosa leaves.


The filtered extract from the maceration process was then evaporated using a rotary evaporator to obtain a thick, paste-like extract. The evaporation was conducted at 40 °C with a rotation speed of 80 rpm to avoid excessive heating, which could degrade the chemical compounds present in the extract. The concentrated extract was then weighed, and the yield was calculated based on the final weight (extract) compared to the initial weight of the raw material, multiplied by 100. The yield percentage met the required standard of ≥ 10 % as specified by the Indonesian Pharmacopoeia. The results of the ethanol extract yield for Baccaurea racemosa leaves are shown in Figure 2. The water content in the material influences its weight and, consequently, affects the yield of the final product.

The thick ethanol extract obtained was then partitioned using a liquid-liquid fractionation method. The solvents used in this study were n-hexane, ethyl acetate, and n-butanol, with increasing polarity in the same order. The fractionation process was repeated with the solvents until a clear solution was obtained, indicating that no compounds remained in the extract. The results of the fractionation were then concentrated using a rotary evaporator at temperatures of 40 - 55 °C and a speed of 80 rpm. The highest extract yield was obtained using n-hexane, indicating that the leaves of Baccaurea racemosa contain many compounds with a polarity similar to n-hexane.



Figure 3 Phytochemical screening of the ethanol extract of Baccaurea racemosa leaves.


The ethanol extract and the results of the fractionation were then subjected to phytochemical screening to determine the phytochemical profile of the secondary metabolites and the results were compared with the study conducted by in the Baccaurea racemosa leaves, as shown in Figure 3.


In vitro assay of anti-cholesterol activity

The anti-cholesterol activity was tested on the extract using the Lieberman Burchard method with UV-Visible spectrophotometry. The test aimed to determine the ability of the sample to reduce cholesterol levels based on the amount of free cholesterol reacting with the Lieberman Burchard reagent. The cholesterol activity test was performed by comparing the absorbance of the colored compound resulting from the reaction of the negative control (cholesterol standard + anhydrous acetic acid + concentrated H2SO4) and simvastatin, which reacted with the same reagent and served as the positive control in this test. The cholesterol concentration used was 200 ppm, with chloroform as the solvent. Chloroform was chosen as the solvent because cholesterol is soluble in lipid solvents such as ether, chloroform, benzene, and hot alcohol. The reaction must occur in an anhydrous state as water affects the stability of the compounds formed [26].

The anti-cholesterol activity in the test samples was performed on a series of concentrations: 10, 20, 40, 80, and 100 ppm from a 1,000 ppm concentration of ethanol extract of Baccaurea racemosa leaves in chloroform. Each concentration was taken in 5 mL, placed in a test tube, and then 5.0 mL of cholesterol standard with a concentration of 200 ppm in chloroform was added. A 5 mL mixture was then added with 2.0 mL of anhydrous acetic acid and 0.1 mL of concentrated H2SO4. The solution was left in a dark place for the operating time until a color change to green occurred. The test was carried out for each ethanol extract of B. racemosa leaves obtained. The resulting color was read with a UV-Vis spectrophotometer at its maximum wavelength. The blank solution used was 5 mL chloroform with 2 mL anhydrous acetic acid and 0.1 mL of concentrated H2SO4. The negative control used was 5 mL of a 200 ppm cholesterol solution in chloroform with 2 mL of anhydrous acetic acid and 0.1 mL of concentrated H2SO4. The EC50 value for the B. racemosa leaves extract can be seen in Figure 4.


Figure 4 In vitro assay of anti-cholesterol activity [22,27].


The EC50 value represents the concentration of a metabolite required to reduce cholesterol levels by 50 % of the initial total cholesterol content. The EC50 value is obtained from the linear regression equation that represents the relationship between the concentration of the ethanol extract of Baccaurea racemosa leaves (x) and the average percentage of cholesterol reduction (y) from a series of sample measurements [28]. Based on Figure 4, it can be seen that the n-butanol fraction has the lowest EC50 value, indicating that it has the greatest anti-cholesterol activity compared to the other extracts. In this context, the lower the EC50 value, the stronger the ability to act as an anti-cholesterol agent [27]. According to Figure 4, the highest anti-cholesterol activity in leaves was observed with an EC50 value of 45.16 ppm on the n-Butanol fraction group. Based on the present findings, we suggest that the n-butanol fraction exhibits potent anti-cholesterol activity compared to other groups. This enhanced activity may be attributed to a higher concentration of bioactive compounds with cholesterol-lowering properties, such as flavonoids and phenolic compounds. A previous study demonstrated that a flavonoid-rich diet can improve lipid profiles by decreasing LDL-cholesterol levels and increasing HDL-cholesterol levels [29]. Similarly, another study reported that phenolic compounds contribute to cholesterol-lowering effects by regulating cholesterol metabolism [30]. Another key factor influencing the EC₅₀ value is the polarity and solubility of the extraction solvent. n-Butanol, being a moderately polar solvent, efficiently extracts both hydrophilic and lipophilic compounds. This enhances the extraction yield of a broader range of active compounds, potentially leading to synergistic interactions that further amplify its anti-cholesterol activity [31].


Secondary metabolite identification with LC-MS/MS

The n-butanol fraction extract of Baccaurea racemosa leaves, which exhibited the best anti-cholesterol activity, was then analyzed for active compounds using LC-MS/MS (Liquid Chromatography-tandem Mass Spectrometry) with methanol as the solvent (pro analysis). The chromatogram obtained from the LC-MS/MS identification is shown in Figure 5.



Figure 5 LC-MS chromatogram of n-butanol fraction from Menteng leaves.



LC-MS/MS analysis identified 7 secondary metabolites, including alkaloids, flavonoids, and phenylpropanoids. The compound names were determined based on the molecular formula obtained using Masslynx 4.1. Each peak was selected based on its mass (m/z) with the highest fit confidence score (fit conf. %) ranging from 90 - 100 %, which indicates a high concentration and a theoretical match. After determining the compound names from the molecular formulas, they were confirmed using an online library. The results of the LC-MS/MS identification of the n-butanol fraction extract of Baccaurea racemosa leaves are summarized by grouping the secondary metabolite classes in Table 1.


Table 1 LC-MS/MS compound identification in n-butanol fraction extract of Baccaurea racemosa leaves.

RT and Intensities (%)

m/z

Structure

Name and molecular formula

IUPAC name

Group

A binding affinity (kcal/mol)

4.115

(74.55)

595.167

Nicotiflorin C27H30O15

5,7-Dihydroxy-2-(4-hydroxyphenyl)-4-oxo-4H-chromen-3-yl 6-O-(6-deoxy-alpha-L-mannopyranosyl)-beta-D-glucopyranoside

Flavonoid

8.1

4.395

(67.77)

449.109

Quercitrin C21H20O11

2-(3,4-Dihydroxyphenyl)-5,7-dihydroxy-4-oxo-4H-chromen-3-yl 6-deoxy-alpha-L-mannopyranoside

Flavonoid

7.7

4.487

(70.00)

565.155

Apiin C26H28O14

5-Hydroxy-2-(4-hydroxyphenyl)-4-oxo-4H-chromen-7-yl 2-O-[(2S,3R,4R)-3,4-dihydroxy-4-(hydroxymethyl)tetrahydro-2-furanyl]-beta-D-glucopyranoside

Flavonoid

7.8

5.410

(54.40)

433.112

Vitexin - C21H20O10

(1S)-1,5-Anhydro-1-[5,7-dihydroxy-2-(4-hydroxyphenyl)-4-oxo-4H-chromen-8-yl]-D-glucitol

Flavonoid

8.0

7.061

(89.50)

120.082

Indole - C8H7N

1H-indole

Alkaloid

4.6

7.237

(99.21)

163.04

Umbelliferone - C9H6O3

7-Hydroxy-2H-chromen-2-one

Phenylpropanoid

5.6

7.321

(80.00)

147.046

Coumarin - C9H6O2

2H-Chromen-2-one

Phenylpropanoid

5.8



Potential of menteng leaf extract bioactive compounds as anti-cholesterol drug candidates

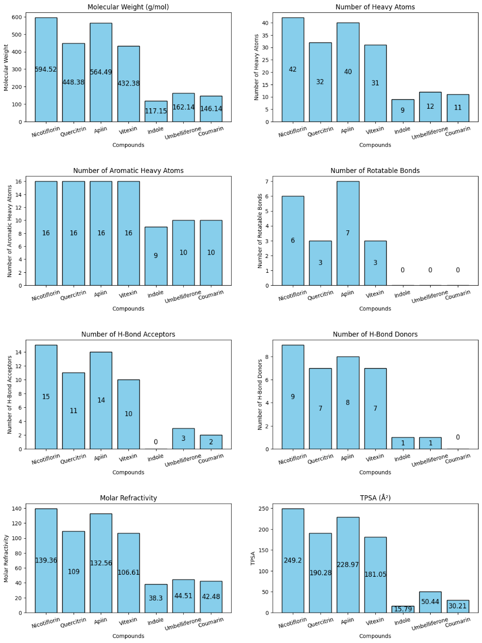
The bioactive compounds from menteng leaf extracts exhibit diverse physicochemical characteristics. Variations in properties such as molecular weight, the number of hydrogen bond acceptors and donors, and molar refractivity are critical factors that determine drug-likeness (Figure 6). In this study, molecular docking was performed to evaluate the interaction between bioactive compounds from Menteng leaf extract and HMG-CoA reductase. HMG-CoA reductase plays a critical role in cholesterol biosynthesis, serving as the rate-limiting enzyme in the mevalonate pathway, which is responsible for cholesterol production in the liver. Given its central role in cholesterol metabolism, targeting HMG-CoA reductase has emerged as a promising approach for drug development aimed at cholesterol regulation [32,33]. Furthermore, molecular docking analysis predicted the binding affinity and binding regions of these compounds (Figure 7). The results indicated that nicotiflorin, vitexin, apiin, and quercitrin demonstrated superior binding affinity compared to Simvastatin, a known HMG-CoA reductase inhibitor. Interestingly, these compounds shared the same binding region as the control drug and native ligand, suggesting competitive interactions and the potential to exert therapeutic effects similar to those of the control drug [34].

The hydrogen bonds, depicted in green, indicate a strong binding affinity, contributing to the stabilization of the ligand within the active site. Moreover, chemical interaction analysis demonstrated that these compounds established a higher number of hydrogen bonds compared to the reference drug (Figure 8). Specifically, nicotiflorin formed 3 hydrogen bonds, vitexin 6, apiin 8, and quercitrin 4, whereas the control drug Simvastatin exhibited only 2 hydrogen bonds. This increased hydrogen bond formation suggests enhanced ligand-protein interactions, which may contribute to the superior binding affinity and potential bioactivity of these compounds. Hydrogen bonding is crucial for maintaining the stability of ligand-protein interactions [35]. Several amino acid residues involved in hydrogen bonding interactions with the docked ligands were identified, underscoring their critical role in ligand binding. These residues include HIS-752, GLY-560, ASN-686, ASN-755, ASP-690, ARG-590, LYS-692, LYS-691, LYS-735, ALA-751, SER-661, and GLU-559. Their physicochemical properties, including positive and negative charge, polarity, or hydrophobicity, influence ligand interactions and contribute to binding stabilization. Furthermore, the ability of these residues to form hydrogen bonds is strongly correlated with the binding affinity of the ligands. These interactions suggest that the bioactive compounds may effectively inhibit HMG-CoA reductase, thereby potentially exerting cholesterol-lowering effects. Therefore, these findings suggest that nicotiflorin, vitexin, apiin, and quercitrin have the potential to be developed as anti-cholesterol drug candidates due to their stronger binding affinities and similar binding regions with the control drug and native ligand.

Biological activity predictions revealed that nicotiflorin, vitexin, apiin, and quercitrin predominantly exhibit anti-hypercholesterolemic properties (Figure 9). This finding aligns with the results from previous in vitro experiments, where menteng leaf extracts demonstrated strong anti-cholesterol activity (Figure 4). In line with these findings, several previous studies have also demonstrated the role of these compounds in cholesterol regulation. A study has demonstrated the broad-spectrum biological potential of nicotiflorin in combating various conditions, including coronavirus, ischemia, renal impairment, hepatic complications, memory dysfunction, and myocardial infarction. Additionally, nicotiflorin has shown potency against α-glucosidase and α-amylase enzymes, which are associated with diabetes mellitus and hypertensive diseases [36]. Similarly, vitexin has been reported to reduce body weight, serum total cholesterol, and low-density lipoprotein cholesterol levels in high-fat diet (HFD)-fed mice [37]. Interestingly, quercetin has also been shown to exhibit anti-cholesterol properties by regulating hepatic cholesterol metabolism [38]. Together, this accumulating evidence highlights the potential of these compounds for anti-cholesterol drug development. Moroever, toxicity prediction is a crucial aspect of drug discovery studies, as it ensures the safety of compounds and evaluates their potential to cause organ damage [39]. In silico toxicity assessments indicated that these 4 compounds predominantly pose risks of nephrotoxicity and respiratory toxicity (Figure 10). Given these findings, further studies, particularly in vivo research, are necessary to assess the toxic effects on organs. Additionally, dosage optimization is essential to ensure the compounds’ effectiveness, efficiency, and safety for therapeutic use.




Figure 6 Chemical features of bioactive compounds.

Figure 7 Binding affinity value and the 3D visualization of protein-ligand complex. (A) Binding affinity scores of each ligand after molecular docking, (B) Complex of protein and all tested ligands, (C) The 3D visualization of nicotiflorin binding to target protein, (D) The 3D visualization of vitexin binding to target protein, (E) The 3D visualization of apiin binding to target protein, and (F) The 3D visualization of quercetin binding to target protein.


Figure 8 The 2D visualization of protein-ligand complex: (A) Nicotiflorin, (B) Vitexin, (C) Apiin, (D) Quercitrin, (E) Simvastatin, and (F) Native ligand.


The cholesterol-lowering activity of menteng leaves can be attributed to the presence of secondary metabolites, particularly flavonoids. Flavonoids in the menteng leaves extract inhibit the activity of the enzyme 3-hydroxy-3-methylglutaryl-coenzyme A reductase (HMG-CoA reductase), which catalyzes cholesterol biosynthesis. Additionally, these compounds enhance the activity of Lecithin Cholesterol Acyltransferase (LCAT), an enzyme responsible for converting free cholesterol into more hydrophobic cholesterol esters, which can bind to lipoprotein particles and form new HDL, thereby increasing serum HDL levels. The chemical interaction between cholesterol and flavonoids is most stable at the 3 - 4 hydroxyl group positions, where the hydroxyl group of cholesterol reacts with the ketone group of flavonoids [40].


Figure 9 The predicted biological activities of selected bioactive compounds related to the cholesterol regulations. n.d.: No data.

In addition to flavonoids, steroids inhibit cholesterol synthesis by increasing HDL levels without affecting LDL concentrations [41]. Bioactive alkaloids also contribute to cholesterol reduction by inhibiting HMG-CoA reductase activity, enhancing bile secretion, and promoting cholesterol excretion through feces [42]. Nicotiflorin, a natural flavonol glycoside isolated from various plants, exhibits numerous pharmacological effects, including vasodilation, hepatoprotection, antioxidant, anti-inflammatory, antihypertensive, and neuroprotective properties. It has also demonstrated protective effects against memory dysfunction and oxidative stress in multi-infarct dementia models [43]. Quercitrin, another natural flavonoid glycoside, exhibits antioxidant, immunomodulatory, neuroprotective, lipid-regulating, and anti-allergic effects, as well as antiviral and antitumor activities [44]. Apiin, known for its diuretic properties, can dilate blood vessels and act as a beta-blocker, reducing heart rate and contractile strength to lower blood pressure [45]. Vitexin, an apigenin flavone glycoside found in mung beans, beetroot, and bamboo, has antioxidant, anti-inflammatory, neuroprotective, and cardioprotective activities. It also aids in glucose homeostasis, lipid metabolism, and liver protection. It has potential cardiovascular benefits, including ganglion inhibition, antihistamine, and anti-serotonin activities [46]. Notably, Vitexin exhibits anti-cholesterol properties by lowering harmful lipid levels, inhibiting cholesterol biosynthesis, reducing inflammation, and enhancing antioxidant defenses. Its effects are comparable to pravastatin, suggesting potential as a natural cholesterol-lowering agent and a promising candidate for atherosclerosis and cardiovascular disease prevention [47].


Figure 10 Toxicity prediction of selected bioactive compounds including the toxicity class, predicted LD50, and the probability to induce toxicity in some parameters.

Indole, a versatile alkaloid, exhibits biological activities such as anticonvulsant, anti-inflammatory, antidiabetic, antimicrobial, and anticancer properties. Indole derivatives are frequently incorporated into synthetic drugs for various therapeutic applications, including antidiabetic, anticancer, antiviral, and anti-inflammatory treatments [48]. Umbelliferone, also known as 7-hydroxycoumarin, is a widely distributed plant metabolite found in flowers, fruits, and roots. It exhibits therapeutic potential against diabetes, cardiovascular and neurodegenerative diseases, inflammation, and cancer [49]. Additionally, umbelliferone serves as an effective UV absorber and demonstrates analgesic, antitumor, and immunomodulatory activities [50]. Coumarin, another plant-derived compound, exhibits extensive pharmacological properties, including anticancer, antimicrobial, anticoagulant, and neuroprotective effects [49].


Conclusions

Based on the results of the study, it can be concluded that the n-butanol fraction of Baccaurea racemosa exhibits strong anti-cholesterol activity with an EC50 value of 46.16 mg/L, compared to the ethanol extract, n-hexane fraction, and ethyl acetate fraction, which have EC50 values of 101.65, 55.22, and 52.18 mg/L, respectively. The LC-MS/MS identification of compounds in the n-butanol fraction revealed secondary metabolites, including nicotiflorin, quercitrin, apiin, vitexin, indole, umbelliferone, and coumarin. To address hypercholesterolemia, further research is needed on the isolation and characterization of fractions from Baccaurea racemosa leaves, as well as subsequent in silico, clinical, and in vivo testing to ensure the safety and efficacy of leaves as an alternative herbal cholesterol-lowering remedy.


References

[1] TA Gaziano, A Bitton, S Anand, S Abrahams-Gessel and A Murphy. Growing epidemic of coronary heart disease in low- and middle-income countries. Current Problems in Cardiology 2010; 35(2), 72-115.

[2] I Angeles-Agdeppa, Y Sun and KV Tanda. Dietary pattern and nutrient intakes in association with non-communicable disease risk factors among Filipino adults: A cross-sectional study. Nutrition Journal 2020; 19(1), 79.

[3] A Yudawijaya and FRW Suling. Comparison of hypertension risk factors in hemorric stroke with non-hemorric stroke in UKI General Hospital, East Jakarta. International Journal of Medical and Health Research 2022; 8(3), 40-48.

[4] AODL Lima, VG Ballester, JFS Sánchez, A Matas Hoces, J González-Outón and EJAD Rey. Cost-effectiveness and budget impact of treatment with evolocumab versus statins and ezetimibe for hypercholesterolemia in Spain. Revista Española de Cardiología 2018; 71(12), 1027-1035.

[5] A Hussain, J Kaler, SD Ray and S Ray. The benefits outweigh the risks of treating hypercholesterolemia: The statin dilemma. Cureus 2023; 15(1), e33648.

[6] J Pang, DC Chan and GF Watts. The knowns and unknowns of contemporary statin therapy for familial hypercholesterolemia. Current Atherosclerosis Reports 2020; 22, 64.

[7] T Mayanti, SE Sinaga and U Supratman. Phytochemistry and biological activity of Lansium domesticum Corr. species: A review. Journal of Pharmacy and Pharmacology 2022; 74(11), 1568-1587.

[8] Y Mulyani, SE Sinaga and U Supratman. Phytochemistry and biological activities of endophytic fungi from the Meliaceae family. Molecules 2023; 28(2), 778.

[9] D Widiastuti, S Warnasih, AH Mulyati, S Sutanto, T Triastinurmiatiningsih, SE Sinaga, S Salam, D Harneti, R Lesmana, U Supratman, Susianti, D Agustine and R Mulyani. Steroid compounds of Manihot Esculenta Crantz Var. Sao Pedro Petro (Tuber) and their cytotoxic effects on melanoma cancer cells (B16-F10). Trends in Sciences 2024; 21(4), 7591.

[10] SE Sinaga, M Fajar, T Mayanti and U Supratman. Bioactivities screening and elucidation of terpenoid from the stembark extracts of Lansium domesticum Corr. cv. Kokosan (Meliaceae). Sustainability 2023; 15(3), 2140.

[11] HR Putri, A Maddu, S Nurulita, F Kurniawati and TA Damayanti. Green synthesis of Cu2O nanoparticles: Characterization and application to control tobacco mosaic virus infection. Journal of General Plant Pathology 2024; 91(1), 51-61.

[12] S Hidayat, EAM Zuhud, D Widyatmoko, B Bahruni and I Batubara. The commercial potential of forest trees as medicinal and health ingredients. Biodiversitas Journal of Biological Diversity 2021; 22(7), 2795-2804.

[13] J Istiqamah, L Permatasari and NI Hanifa. Antioxidant activity testing of fractions resulting from gravity column chromatography of methanol extract of Kepundung Leaves (Baccaurea racemosa) using the DPPH method. Jurnal Biologi Tropis 2024; 24(4), 1060-1068.

[14] L Permatasari, S Riyanto and A Rohman. The review of Baccaurea racemosa: Neglected plants, but potential to be developed. Atlantis Press, Dordrecht, Netherlands, 2022, p. 383-389.

[15] SI Ahmed, MM El-Sheekh, FMA Akl, MEM Makhlof and SE Abo-Neima. The brown seaweed Sargassum latifolium combined with low-level laser irradiation reduces hypercholesterolemia in rats by alleviating oxidative stress and inflammation. South African Journal of Botany 2024; 172, 686-700.

[16] D Widiastuti, S Salam, D Haneti, R Lesmana, D Haneti, MA Nafiah and U Supratman. Flavonoid from the Sao Pedro Petro of tubers of cassava (Manihot esculenta Crantz). Research Journal of Chemistry and Environment 2019; 23, 111-113.

[17] AH Mulyati, H Alawiyah, MF Marom and S Warnasih. Antioxidant testing and identification of bioactive compounds in ethanol extract of propolis from various locations in Indonesia using LCMS-QTOF. Chimica et Natura Acta 2024; 12, 193-203.

[18] SE Sinaga, T Mayanti, D Harneti, N Nurlelasari, R Maharani, K Farabi, U Supratman, S Fajriah and MN Azmi. Sesquiterpenoids from the stem bark of Lansium domesticum Corr. Cv. Kokossan and their cytotoxic activity against MCF-7 breast cancer cell lines. Indonesian Journal of Chemistry 2022; 22(4), 1035-1042.

[19] MA Mir, K Parihar, U Tabasum and E Kumari. Estimation of alkaloid, saponin and flavonoid, content in various extracts of Crocus sativa. Journal of Medicinal Plants Studies 2016; 4(5), 171-174.

[20] L Maheshwaran, L Nadarajah, SPNN Senadeera, CB Ranaweera, AK Chandana and RN Pathirana. Phytochemical testing methodologies and principles for preliminary screening/ qualitative testing. Asian Plant Research Journal 2024; 12(5), 11-38.

[21] EN Sembiring, B Elya and R Sauriasari. Phytochemical screening, total flavonoid and total phenolic content and antioxidant activity of different parts of Caesalpinia bonduc (L.) Roxb. Pharmacognosy Journal 2018; 10(1), 123-127.

[22] WJA Musa, B Situmeang and J Sianturi. Anti-cholesterol triterpenoid acids from Saurauia vulcani Korth. (Actinidiaceae). International Journal of Food Properties 2019; 22(1), 1439-1444.

[23] D Widiastuti, SE Sinaga, S Warnasih, E Pujiyawati, S Salam and WE Putra. Identification of active compounds from Averrhoa bilimbi L. (Belimbing Wuluh) flower using LC-MS and antidiabetic activity test using in vitro and in silico approaches. Trends in Sciences 2023; 20(8), 6761.

[24] A Hidayatullah, WE Putra, S Sustiprijatno, D Widiastuti, WO Salma and MF Heikal. Molecular docking and molecular dynamics simulation-based identification of natural inhibitors against druggable human Papilloma virus type 16 target. Trends in Sciences 2023; 20(4), 4891.

[25] SC Bondy and SX Guo. Lead potentiates iron-induced formation of reactive oxygen species. Toxicology Letters 1996; 87(2-3), 109-112.

[26] T Chen, T Wu, Y Hu, Z Zhu, J Wu, D Lin, X Sun, Z Wu and YP Li. Evaluation of enrichment approaches for the study of the viromes in Mollusk species. Food and Environmental Virology 2025; 17(1), 18.

[27] N Ponroy, A Taveira, NJ Mueller and AL Millard. Statins demonstrate a broad anti‐cytomegalovirus activity in vitro in ganciclovir‐susceptible and resistant strains. Journal of Medical Virology 2015; 87(1), 141-153.

[28] H Deng and Y Xiong. Effect of pravastatin on impaired endothelium-dependent relaxation induced by lysophosphatidylcholine in rat aorta. Acta Pharmacologica Sinica 2005; 26(1), 92-98.

[29] K Bjune, PS Halvorsen, H Wangensteen, TP Leren, MP Bogsrud and TB Strøm. Flavonoids regulate LDLR through different mechanisms tied to their specific structures. Journal of Lipid Research 2024; 65(5), 100539.

[30] L Toma, GM Sanda, LS Niculescu, M Deleanu, AV Sima and CS Stancu. Phenolic compounds exerting lipid-regulatory, anti-inflammatory and epigenetic effects as complementary treatments in cardiovascular diseases. Biomolecules 2020; 10(4), 641.

[31] MT Reetz and G König. n-butanol: An ecologically and economically viable extraction solvent for isolating polar products from aqueous solutions. European Journal of Organic Chemistry 2021; 2021(46), 6224-6228.

[32] B Gunasekaran and M Shukor. HMG - CoA reductase as target for drug development. In: N Labrou (Ed.). Targeting enzymes for pharmaceutical development. Humana, New York, 2019, p. 245-250.

[33] SY Jiang, H Li, JJ Tang, J Wang, J Luo, B Liu, JK Wang, XJ Shi, HW Cui, J Tang, F Yang, W Qi, WW Qiu and BL Song. Discovery of a potent HMG-CoA reductase degrader that eliminates statin-induced reductase accumulation and lowers cholesterol. Nature Communications 2018; 9, 5138.

[34] YV Il’Ichev, JL Perry, F Rüker, M Dockal and JD Simon. Interaction of ochratoxin A with human serum albumin. Binding sites localized by competitive interactions with the native protein and its recombinant fragments. Chemico-Biological Interactions 2002; 141(3), 275-293.

[35] RE Hubbard and MK Haider. Hydrogen bonds in proteins: Role and strength. John Wiley & Sons, Chichester, England, 2010.

[36] DK Patel. Medicinal importance, pharmacological activities and analytical aspects of a flavonoid glycoside ‘Nicotiflorin’ in medicine. Drug Metabolism and Bioanalysis Letters Formerly: Drug Metabolism Letters 2022; 15(1), 2-11.

[37] W Li, Z Deng, S Xiao, Q Du, M Zhang, H Song, C Zhao and L Zheng. Protective effect of vitexin against high fat-induced vascular endothelial inflammation through inhibiting trimethylamine N-oxide-mediated RNA m6A modification. Food & Function 2024; 15(13), 6988-7002.

[38] N Liang, YM Li, Z He, W Hao, Y Zhao, J Liu, H Zhu, E Kwek, KY Ma, WS He and ZY Chen. Rutin and quercetin decrease cholesterol in HepG2 cells but not plasma cholesterol in hamsters by oral administration. Molecules 2021; 26(12), 3766.

[39] AMB Amorim, LF Piochi, AT Gaspar, AJ Preto, N Rosário-Ferreira and IS Moreira. Advancing drug safety in drug development: Bridging computational predictions for enhanced toxicity prediction. Chemical Research in Toxicology 2024; 37(6), 827-849.

[40] M Igel, T Sudhop and K VonBergmann. Metabolism and drug interactions of 3-hydroxy-3-methylglutaryl coenzyme A-reductase inhibitors (statins). European Journal of Clinical Pharmacology 2001; 57, 357-364.

[41] DS Lin and WE Connor. The long-term effects of dietary cholesterol upon the plasma lipids, lipoproteins, cholesterol absorption, and the sterol balance in man: The demonstration of feedback inhibition of cholesterol biosynthesis and increased bile acid excretion. Journal of Lipid Research 1980; 21(8), 1042-1052.

[42] Y Wang and JA Zidichouski. Update on the benefits and mechanisms of action of the bioactive vegetal alkaloid berberine on lipid metabolism and homeostasis. Cholesterol 2018; 2018(1), 7173920.

[43] N Anwar, NZ Ahmed, AP Ansari and AF Fathima. Role of Delphinium denudatum (Jadwar) and Carthamus tinctorius (Qurtum/Safflower), their traditional knowledge, chemical derivatives, and potential benefits in the management of neurodegenerative diseases in the elderly. CRC Press, Boca Raton, 2024.

[44] A Irfan, M Imran, M Khalid, MS Ullah, N Khalid, MA Assiri, R Thomas, S Muthu, MAR Basra, M Hussein, AG Al-Sehemi and M Shahzad. Phenolic and flavonoid contents in Malva sylvestris and exploration of active drugs as antioxidant and anti-COVID-19 by quantum chemical and molecular docking studies. Journal of Saudi Chemical Society 2021; 25(8), 101277.

[45] RI Adeoye, EB Joel, A Igunnu, RO Arise and SO Malomo. A review of some common African spices with antihypertensive potential. Journal of Food Biochemistry 2022; 46(1), e14003.

[46] F Babaei, A Moafizad, Z Darvishvand, M Mirzababaei, H Hosseinzadeh and M Nassiri-Asl. Review of the effects of vitexin in oxidative stress-related diseases. Food Science & Nutrition 2020; 8(6), 2569-2580.

[47] X Lei and Y Yang. Vitexin and an HMG-CoA reductase inhibitor prevent the risks of atherosclerosis in high-fat atherogenic diet-fed rats. Journal of King Saud University-Science 2020; 32, 2088-2095.

[48] Y Zhu, J Zhao, L Luo, Y Gao, H Bao, P Li and H Zhang. Research progress of indole compounds with potential antidiabetic activity. European Journal of Medicinal Chemistry 2021; 223, 113665.

[49] A Kornicka, Ł Balewski, M Lahutta and J Kokoszka. Umbelliferone and its synthetic derivatives as suitable molecules for the development of agents with biological activities: A review of their pharmacological and therapeutic potential. Pharmaceuticals 2023; 16(12), 1732.

[50] SM Yu, DH Hu and JJ Zhang. Umbelliferone exhibits anticancer activity via the induction of apoptosis and cell cycle arrest in HepG2 hepatocellular carcinoma cells. Molecular Medicine Reports 2015; 12(3), 3869-3873.