Start Bootstrap Logo

Trends Sci. 2025; 22(8): 9423

Quercetin: Synthesis Trends, Chemical Reactions, and Its Role as an Estrogen Receptor Alpha Modulator in Breast Cancer Therapy: A Systematic Literature Review


Muhammad Fauzi1,2, Laela Hayu Nurani1,*, Dwi Utami1 and Lalu Muhammad Irham1


1Faculty of Pharmacy, Universitas Ahmad Dahlan, Yogyakarta 55164, Indonesia

2Faculty of Pharmacy, Universitas Islam Kalimantan Muhammad Arsyad Al Banjari Banjarmasin,

South Kalimantan 70122, Indonesia


(*Corresponding author's e-mail: [email protected])


Received: 30 November 2024, Revised: 2 March 2025, Accepted: 17 March 2025, Published: 20 June 2025

Abstract

Quercetin, a flavonoid abundant in fruits and vegetables, has garnered significant attention for its therapeutic potential in breast cancer treatment. Despite its promising bioactivity, clinical applications of quercetin remain limited due to challenges in synthesis, structural stability, and bioavailability. This systematic review examines recent advancements in quercetin synthesis through diverse chemical reactions aimed at improving efficiency and pharmacological properties. Key strategies such as the Algar-Flynn-Oyamada reaction, regioselective esterification, and glycosylation are discussed alongside structural modifications like methylation and glycosylation to enhance chemical reactivity and bioactivity. The reviewed methods demonstrate notable progress in optimizing quercetin production and stability. Structural modifications have shown significant influence on the therapeutic efficacy of quercetin derivatives. However, challenges such as low yield and complex reaction conditions persist. Emerging approaches, including novel catalytic systems and sustainable synthetic methods, offer promising solutions for large-scale production. While substantial progress has been made in quercetin synthesis, further research is essential to refine existing methods and explore innovative strategies for improving reaction selectivity and scalability. Addressing these gaps will expand the application of quercetin in pharmaceutical and biomedical research, particularly in breast cancer therapy, paving the way for more effective treatments and improved patient outcomes.

Keywords: Quercetin, Quercetin synthesis, Estrogen receptor alpha modulator, Breast cancer


Introduction

Quercetin a flavonoid found in a variety of fruits and vegetables, has shown potential as an anticancer agent, particularly in the treatment of breast cancer. As a modulator of estrogen receptor alpha (ERα), quercetin interacts directly with this receptor, influencing the transcription of genes associated with cancer cell growth [1]. Quercetin has been shown to inhibit breast cancer cell proliferation and increase apoptosis. A study in the journal “Cancer Letters” showed that quercetin reduced the growth of MCF-7 cells by inducing apoptosis through the p53 pathway [2]. Quercetin may help improve the effectiveness of breast cancer therapy by reducing resistance to hormone therapy. Quercetin may also make cancer cells more sensitive to tamoxifen, a drug often used in breast cancer treatment [3]. Quercetin’s potential in breast cancer therapy makes it a promising candidate for the development of new, more effective and safe therapies.

However, challenges in developing quercetin-based therapies include low bioavailability and stability of the compound in the body [4]. Quercetin synthesis has made great progress in recent years. Various chemical methods, such as the Algar-Flynn-Oyamada reaction and regioselective esterification, have been used to produce quercetin derivatives with improved therapeutic properties. These innovations not only improve the bioactivity of quercetin but also pave the

Development of the synthesis of quercetin compounds and its derivatives

Quercetin is a flavonoid known for its biological activities, but its low water solubility presents a major challenge for its therapeutic application [7]. Various synthetic methods have been developed to improve the solubility of quercetin derivatives, driven by growing interest in their therapeutic potential. These trends are evident in diverse reaction schemes. Chemical synthesis offers the advantage of producing quercetin in larger quantities at lower costs while enabling structural modifications to enhance activity and reduce side effects [8]. Over the years, synthetic approaches have evolved, incorporating environmentally friendly technologies to minimize waste and improve process efficiency [9]. Recent advancements, such as enzymatic synthesis and specific catalysts, have facilitated new discoveries in quercetin modification [10]. Studies continue to explore derivatives with targeted chemical substitutions that enhance bioavailability and therapeutic efficacy, reinforcing quercetin’s potential for innovative applications in flavonoid-based drug design [11].

Figure 2 Synthesis of a glycidyl derivate of quercetin [12].


The synthesis, molecular structure, and optical properties of glycidyl derivatives of quercetin are examined in this study, which focuses on the preparation of glycidyl ethers utilizing epichlorohydrin. The reaction process can be seen in Figure 2. The research assesses the quadratic polarizabilities of these derivatives, revealing a notable divergence between experimental and theoretical values; however, a significant correlation is still observed. This relationship facilitates preliminary estimations of the nonlinear optical properties of quercetin derivatives, suggesting potential applications in the development of new polymers. Nonetheless, the study identifies steric hindrances associated with glycidation and varying spectral effects influenced by the positioning of hydroxyl groups as limitations [12].


Figure 3 General methodologies towards modified forms of quercetin [8].


The review on research progress in modifying quercetin for anticancer agents highlights recent advancements in synthesizing quercetin derivatives aimed at anticancer applications. The reaction process can be seen in Figure 3. It emphasizes key synthetic strategies that involve modifications to the phenolic hydroxyl groups and the C-4 carbonyl residue, employing methods such as etherification and esterification. Successful modifications, including double sulfonation and oxovanadium (IV) complexation, are discussed for their role in enhancing anticancer properties; however, the limited number of studies restricts a comprehensive analysis of the structure-activity relationship [8].


Figure 4 Representative scheme for the preparation of quercetin-3-oleate [13].


The synthesis of quercetin-3-oleate is presented through an environmentally friendly method utilizing pancreatic porcine lipase to enhance polyphenol bioavailability. The reaction process can be seen in Figure 4. This synthesis involves the reaction of quercetin with oleic acid in acetone with PPL as a catalyst; however, challenges arise from signals related to the phenolic OH group during analysis. Additionally, other commonly used enzymes, such as Candida antarctica Lipase B®, do not yield quercetin esters, indicating a necessity for alternative synthetic approaches [13].


Figure 5 General Method for the preparation of compound [14].

A pentamethoxy derivative of quercetin, was synthesized to improve its anticancer potential against the MDA-MB231 breast cancer cell line by enhancing stability, solubility, and bioavailability through methylation. The reaction process can be seen in Figure 5. The synthesis involved reacting quercetin with dimethyl sulfate in the presence of anhydrous potassium carbonate under reflux in acetone, followed by recrystallization to obtain a pure product. Spectral analysis confirmed successful methylation, and biological testing revealed significant antiproliferative activity, reducing cell viability by 56.3 % with an IC50 of 2.042 µM in MDA-MB231 breast cancer cell lines. However, the synthesis required precise reaction control to optimize yield, and bulky substituents potentially affected binding efficiency in docking studies, indicating a need for further testing to assess in vivo efficacy and selectivity [14].


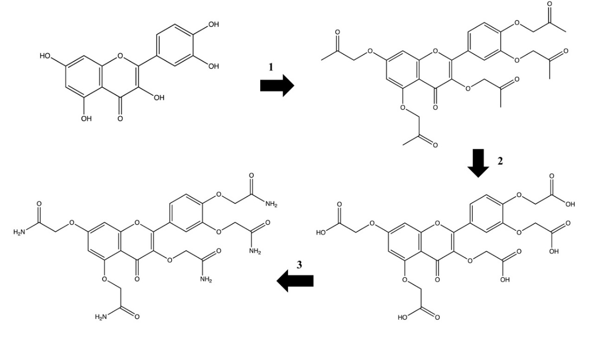
Figure 6 Reagents and reaction conditions: Step 1 ethyl chloroacetate, K2CO3 (excess), DMF, rt. Step 2 LiOH·H2O, THF/H2O, rt. Step 3 SOCl2 (excess), reflux, 75 °C; NH4OH (excess), 0 °C – rt [15].

Utilizing the Williamson ether synthesis, this research creates quercetin-acetamide derivatives by modifying phenol hydroxyl groups. The multistep process, requiring precise control over reaction conditions and chromatographic purification, poses challenges. Nonetheless, the resulting derivatives are evaluated for biological activity, demonstrating notable antiproliferative effects against cancer cell lines, with enhanced cytotoxicity compared to their parent compounds. These findings suggest potential for further development in anticancer therapy [15]. The reaction process can be seen in Figure 6.


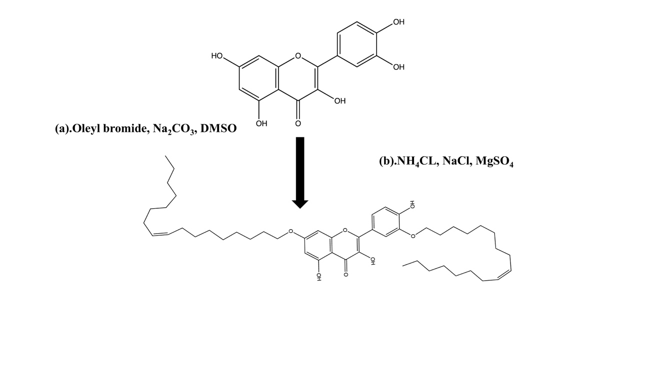
Figure 7 Synthesis of 3,7-dioleylquercetin (OQ). Oleyl bromide, Na2CO3, DMSO, then rt 30 h. Abbreviation: rt, room temperature [16].


The reaction process can be seen in Figure 7. A novel derivative, 3,7-dioleylquercetin, demonstrates reduced toxicity and potent tyrosinase inhibition activity. This selective substitution reaction utilizes oleyl bromide for targeted hydroxyl group substitution but faces challenges related to achieving selectivity during hydroxyl group substitution and synthesizing derivatives efficiently without extensive multi-step protection strategies [16].


Figure 8 Synthesis of new quercetin hybrids by one-pot reaction of α-amidoalkylation [17].


Research on quercetin hybrids focuses on their synthesis via one-pot amidoalkylation with benzazole derivatives, showcasing promising radical scavenging properties. The reaction process can be seen in Figure 8. The study optimizes conditions to achieve high yields; however, it encounters limitations concerning certain adducts and solvent effectiveness that affect product solubility and yield [17].


Figure 9 Ester modification of flavonoid at the C-3 position [18].


Finally, a regioselective synthesis method for creating esters of quercetin is developed to enhance their potential antiviral and anticancer activities. This method employs esterification and selective hydrolysis at specific positions while requiring meticulous control over temperature and reagents. However, maintaining selectivity during the hydrolysis process remains a significant challenge [18]. The reaction process can be seen in Figure 9.

.


Figure 10 Synthetic route of target compounds [19].


The design and synthesis of quercetin derivatives containing quinoline moieties aim to improve their anticancer properties through modifications to hydroxyl groups using specific reactions such as methyl protection and etherification. The reaction process can be seen in Figure 10. Although this process necessitates controlled reaction conditions and purification steps that may limit scalability, it is crucial for obtaining high-quality derivatives with potential therapeutic applications [19].

Modification of the chemical structure of quercetin has been extensively studied due to its potential applications in the pharmaceutical and nutraceutical fields [20]. Various chemical reactions have been utilised to improve the bioavailability and efficacy of quercetin derivatives. One significant approach is the glycosylation of quercetin to improve its solubility. Studies have reported that the synthesis of quercetin glycosides increases its water solubility and biological activity [21]. In addition, glycosylated derivatives showed enhanced antioxidant properties, indicating a promising avenue to improve quercetin’s functional applications [22].

Acylation reactions have also been explored for quercetin modification. The introduction of various acyl groups to the quercetin backbone has been shown to improve its pharmacokinetic properties. Research shows that acetylation produces quercetin derivatives with enhanced stability and bioactivity, which could be beneficial in developing therapeutic agents [23]. In addition, methylation of quercetin has been documented as a strategy to increase its bioavailability. The methylated form of quercetin exhibits increased absorption in biological systems, leading to enhanced biological effects compared to the parent compound [24]. These modifications have been associated with enhanced anti-inflammatory effects in various cellular models. Furthermore, the synthesis of quercetin metal complexes has emerged as an innovative strategy to enhance its bioactivity [25].

Complexation with transition metals has been shown to significantly enhance the antioxidant activity of quercetin, providing a potential method for developing new functional materials and therapeutic agents [26]. In another study, structural modification of quercetin through the formation of derivatives with different alkyl chains was investigated. The results showed that certain quercetin alkyl derivatives had enhanced anticancer activity, which highlights the importance of alkyl chain length and structure in modulating biological effects [27]. In addition, the introduction of halogen substituents at various positions on the quercetin structure has been reported to affect its biological activity. Halogenated quercetin derivatives showed enhanced cytotoxicity against cancer cell lines, indicating that halogenation is a viable strategy to enhance the therapeutic potential of quercetin [28,29]. Specifically, cytotoxicity was evaluated against 3 human cancer cell lines MGC-803, HCC827, and OVCAR-3-in vitro [28]. Lastly, enzyme-mediated modification has attracted attention due to its mild reaction conditions and regioselectivity. In addition, studies assessing ALR2 inhibition demonstrated that enzymatic modification of quercetin yields derivatives with altered properties, providing a biocatalytic approach for the sustainable synthesis of quercetin derivatives with potential applications in functional foods and pharmaceutical [29,30].


Figure 11 Quercetin target to estrogen receptor signaling [55].


The role of quercetin as a modulator of Estrogen Receptor Alpha (ERα)

Increased apoptosis in mutant cells

Quercetin has been shown to significantly increase apoptosis in cancer cells, including those with genetic mutations. The process of apoptosis, or programmed cell death, is an important mechanism in the control of cell growth and elimination of potentially harmful cells. Research shows that quercetin can trigger the apoptotic pathway through activation of pro-apoptotic proteins such as Bax and suppression of anti-apoptotic proteins such as Bcl-2 [31]. For example, a study by Benziane et al. [32], showed that quercetin can increase Bax expression and decrease Bcl-2 expression in breast cancer cells, leading to increased cell death. In addition, quercetin can also affect the p53 signalling pathway, which plays an important role in the cell’s response to DNA damage. By increasing the activity of p53, quercetin can induce genetically damaged cells to enter the apoptotic pathway, thereby reducing cancer cell proliferation [32].


Inhibition of DNA synthesis

In addition to promoting apoptosis, quercetin also plays a role in inhibiting DNA synthesis. This mechanism is particularly important in the context of cancer, where uncontrolled DNA synthesis can lead to cancer cell proliferation [33]. Quercetin can disrupt the cell cycle by inhibiting enzymes involved in DNA replication, such as DNA polymerase. A study by Srivastava et al. [34], showed that quercetin can reduce DNA polymerase activity in cancer cells, leading to a decrease in DNA synthesis and, in turn, inhibiting cancer cell growth. In addition, quercetin can also affect signalling pathways involved in cell cycle regulation, such as the MAPK and PI3K/Akt pathways, which contribute to the inhibition of cancer cell proliferation [34]. Furthermore, quercetin has been reported to downregulate PCNA (Proliferating Cell Nuclear Antigen) and TOP2A (Topoisomerase II Alpha), both of which are crucial for DNA replication, leading to impaired DNA synthesis. Additionally, quercetin reduces the expression of RRM2 (Ribonucleotide Reductase M2 Subunit) and the MCM2-7 complex, which play essential roles in DNA replication initiation and nucleotide synthesis. Through these mechanisms, quercetin induces G1-phase arrest by suppressing CDK2 and Cyclin A/E, while simultaneously upregulating p21 and p27, 2 key inhibitors of cyclin-dependent kinases. Moreover, quercetin also interferes with the JAK/STAT3 signaling pathway, which is involved in cell proliferation, further reinforcing its role in inhibiting cancer cell growth [52].

Anti-carcinogenic effects

Quercetin has various anti-carcinogenic effects that have been researched in depth. In addition to promoting apoptosis and inhibiting DNA synthesis, quercetin also shows the ability to reduce inflammation, which is an important risk factor in cancer development [35]. Quercetin can lower levels of pro-inflammatory cytokines such as TNF-α and IL-6, which contributes to a healthier tumour microenvironment [36]. A study by Ren et al. [37] found that quercetin can reduce inflammation and promote apoptosis in prostate cancer cells, suggesting the potential of this compound in cancer therapy. Moreover, beyond its known effects, recent insights suggest that quercetin’s modulation of the tumour microenvironment extends beyond cytokine reduction, potentially influencing immune cell infiltration and suppressing cancer-associated fibroblasts, which are critical in sustaining tumour progression.

In addition, quercetin may also function as a chemopreventive agent by inhibiting the formation of carcinogenic compounds and repairing DNA damage caused by carcinogenic substances. Research by Bhatiya et al. [38] showed that quercetin can reduce the formation of carcinogenic adducts in cancer cells, indicating the potential of this compound in cancer prevention. Furthermore, emerging evidence highlights quercetin’s role in stabilizing DNA repair mechanisms by modulating key genes involved in oxidative stress response, such as Nrf2 and PARP1, which enhances its ability to prevent mutagenesis and malignant transformation.


Interaction with ERα

Quercetin plays a crucial role in modulating estrogen receptor alpha (ERα), which is significant in breast cancer progression [39]. By interacting with ERα, quercetin influences cell proliferation pathways, potentially through allosteric modulation at alternative binding sites, as suggested by Seo et al. [40]. It also disrupts ERα-mediated signaling by inhibiting MAPK and PI3K/Akt pathways, reducing phosphorylation of downstream effectors, and suppressing oncogenic gene expression such as CCND1, MYC, and BCL2 [41]. Research by Ziang et al. [42] confirms that quercetin decreases PI3K/Akt activity, inhibiting breast cancer cell growth. Additionally, quercetin impacts cell cycle progression by reducing the number of cells in the S and G2/M phases, as shown by Barra et al. [43]. Its anti-estrogenic effects further inhibit ERα activation and estrogen-driven proliferation, with Wang et al. [44] demonstrating reduced estrogen receptor expression and cancer cell growth. Quercetin may also enhance hormonal therapy effectiveness; Wang et al. [3] reported increased breast cancer cell death when combined with tamoxifen. Studies using MCF-7 and T47D (ER-positive) cells confirm quercetin’s ability to enhance hormonal therapy sensitivity, while MDA-MB-231 cells highlight its impact on hormone-independent breast cancer [45-47]. These findings underscore quercetin’s therapeutic potential as an ERα modulator in breast cancer treatment. Estrogen receptor alpha (ERα) modulators have been extensively studied in various breast cancer cell types, particularly focusing on ER-positive cells in Table 2.


Table 2 Estrogen receptor alpha (ERα) modulators have been extensively studied in various breast cancer cell types, particularly focusing on ER-positive cells.

Types of breast cancer cells studied

ERα modulators

Mechanism of action

Therapeutic effects

Gene regulation

References

MCF-7 Cells


Tamoxifen

Tamoxifen functions as an ERα antagonist, inhibiting cancer cell growth by binding to ERα and preventing activation of estrogen target genes.

Reduced MCF-7 cell proliferation and increased apoptosis in breast cancer cells.


Modification of gene expression related to cell growth and differentiation, including Cyclin D1 and p21.


[48]

T47D Cells


Exogenous estrogens (e.g. estradiol) and anti-estrogens (e.g. tamoxifen, raloxifene)

Estrogen binds to ERα, triggering transcription of genes that favour cell proliferation. Anti-estrogens may inhibit this effect.


Estradiol increases T47D cell proliferation, while tamoxifen can reduce tumour growth by modulating ERα activity.

Expression of genes such as STAT5A was only seen after treatment with progression in T47D cells. This suggests that ERα modulation may also affect complex intracellular signalling pathways.

[49]

MDA-MB-231 Cells


Tamoxifen: Ineffective

Raloxifene: Some studies show potential as an estrogen modulator in triple negative cells, but data is still limited

SERMs (Selective Estrogen Receptor Modulators): Potential as a therapeutic option, but effectiveness has not been fully verified in triple negative cells.

MDA-MB-231 has active signalling pathways, including activation of Rac3 which is involved in the organisation of the actin citoskeleton and cell migration. Rac3 activation triggers signalling pathways that promote invasion and metastasis through secretion of inflammatory factors such as IL-6, IL-8, and GRO.

Depleting Rac3 can reduce the invasive and metastatic activity of MDA-MB-231 cells through decreasing the production of MMP-9 and other inflammatory factors.


Genes such as MMP-9 (matrix metalloproteinase 9) are involved in invasion and metastasis, as well as other EMT-related genes.


[50]

Mutant ERα Variants

(Y537S, Y537N, Y537C, and others)


Studies have highlighted the importance of mutant ERα variants in understanding resistance mechanisms, as they exhibit altered responses to modulator.

Mutant variants such as Y537S exhibit ligand-independent constitutive activity, causing activation of growth signalling pathways even in the absence of estrogen.

This variant contributes to resistance to hormonal therapy, so new therapies are needed to treat breast cancers containing this mutation.

IRS1, MMP-9, and other genes involved in invasion and metastasis.


[51]



Challenges and opportunities for future research

Although preliminary results are promising, there are significant challenges that need to be addressed in the development of quercetin as a therapeutic agent. One of the primary obstacles is quercetin’s low bioavailability, which may limit its effectiveness in cancer treatment. To overcome this, further research is essential to explore other chemical reactions and develop formulations that can enhance the absorption of quercetin in the body. Additionally, larger clinical studies are required to evaluate the effectiveness of quercetin specifically in the treatment of breast cancer, as well as to determine the optimal dosage and potential interactions with other cancer therapies. Furthermore, the importance of further exploration in optimizing quercetin’s structure to enhance its biological activity must be emphasized, as structural modifications may lead to improved therapeutic properties and broader clinical applications.

Future studies may focus on high-throughput screening of quercetin derivatives to refine structure-activity relationships, facilitating targeted modifications that enhance anticancer efficacy. The development of new synthetic methods, such as selective hydroxyl group protection, could allow for precise modifications, leading to more potent anticancer agents [8]. Additionally, exploring enzymatic synthesis and alternative biocatalysts may improve the efficiency of esterification while ensuring sustainability.

Given quercetin’s interaction with estrogen receptor alpha (ERα), further research should investigate how specific structural modifications influence ERα binding affinity and downstream signaling pathways. This could help develop quercetin derivatives with enhanced selectivity for estrogen-dependent breast cancer treatment. Advanced analytical techniques should also be utilized to validate these structural modifications and their biological effects. By expanding green synthesis approaches, researchers may achieve more sustainable production of quercetin esters with improved bioavailability and therapeutic potential for pharmaceutical and nutraceutical applications [13].


Conclusions

Overall, quercetin demonstrates significant potential as an anticancer agent, particularly in breast cancer therapy, through its ability to modulate ERα activity, induce apoptosis, and regulate the cell cycle. Advances in quercetin synthesis, including various chemical modifications, have contributed to improving its pharmacological properties and enhancing its bioactivity. Existing studies highlight the importance of optimizing synthetic strategies to increase yield, stability, and biological effectiveness. Additionally, diverse synthesis methods—such as enzymatic modification, halogenation, and glycosylation—have been explored to enhance solubility, bioavailability, and therapeutic efficacy. However, despite promising findings, challenges remain in refining efficient and scalable synthesis methods while maintaining biological activity. Future research should focus on developing innovative synthetic approaches, improving reaction selectivity, and exploring novel catalytic systems to enhance quercetin production. Furthermore, more in-depth studies are needed to evaluate the clinical relevance of different quercetin derivatives and their potential applications in breast cancer treatment.


Acknowledgements

I would like to express my deepest gratitude to the Faculty of Pharmacy, Universitas Ahmad Dahlan and the Faculty of Pharmacy, Universitas Islam Kalimantan MAB Banjarmasin for their full support in supporting my doctoral education process and research. The moral support, resources, and professional guidance provided greatly support the progress of this research.


References

[1] H Li, L Tan, JW Zhang, H Chen, B Liang, T Qiu, QS Li, M Cai and QH Zhang. Quercetin is the active component of Yang-Yin-Qing-Fei-Tang to induce apoptosis in non-small cell lung cancer. The American Journal of Chinese Medicine 2019; 47(4), 879-893.

[2] Y Kong, L Zhang, Y Huang, T He, L Zhang, X Zhao, X Zhou, D Zhou, Y Yan, J Zhou, H Xie, L Zhou, S Zheng and W Wang. Corrigendum to “Pseudogene PDIA3P1 promotes cell proliferation, migration and invasion, and suppresses apoptosis in hepatocellular carcinoma by regulating the p53 pathway” [Cancer Lett. 407C (2017) 76-83]. Cancer Letters 2018; 414, 311.

[3] H Wang, L Tao, K Qi, H Zhang, D Feng, W Wei, H Kong, T Chen and Q Lin. Quercetin reverses tamoxifen resistance in breast cancer cells. Journal of BUON 2015; 20(3), 707-713.

[4] HG Ulusoy and N Sanlier. A minireview of quercetin: From its metabolism to possible mechanisms of its biological activities. Critical Reviews in Food Science and Nutrition 2020; 60(19), 3290-3303.

[5] K Imai, I Nakanishi, K Ohkubo, Y Ohba, T Arai, M Mizuno, S Fukuzumi, KI Matsumoto and K Fukuhara. Synthesis of methylated quercetin analogues for enhancement of radical-scavenging activity. RSC Advances 2017; 7(29), 17968-17979.

[6] S Ariraman, A Seetharaman, KV Babunagappan and S Sudhakar. Quercetin-loaded nanoarchaeosomes for breast cancer therapy: A ROS mediated cell death mechanism. Materials Advances 2024; 5(17), 6944-6956.

[7] GES Batiha, AM Beshbishy, M Ikram, ZS Mulla, MEA El-Hack, AE Taha, AM Algammal and YHA Elewa. The pharmacological activity, biochemical properties, and pharmacokinetics of the major natural polyphenolic flavonoid: Quercetin. Foods 2020; 9(3), 374.

[8] A Massi, O Bortolini, D Ragno, T Bernardi, G Sacchetti, M Tacchini and CD Risi. Research progress in the modification of quercetin leading to anticancer agents. Molecules 2017; 22(8), 1270.

[9] Y Duan, N Sun, M Xue, X Wang and H Yang. Synthesis of regioselectively acylated quercetin analogues with improved antiplatelet activity. Molecular Medicine Reports 2017; 16(6), 9735-9740.

[10] AYH Saik, YY Lim, J Stanslas and WS Choo. Enzymatic synthesis of quercetin oleate esters using Candida antarctica lipase B. Biotechnology Letters 2017; 39(2), 297-304.

[11] MA Mirza, S Mahmood, AR Hilles, A Ali, MZ Khan, SAA Zaidi, Z Iqbal and Y Ge. Quercetin as a therapeutic product: Evaluation of its pharmacological action and clinical applications—a review. Pharmaceuticals 2023; 16(11), 1631.

[12] DA Mishurov, AA Voronkin and AD Roshal. Synthesis, molecular structure and optical properties of glycidyl derivatives of quercetin. Structural Chemistry 2016; 27, 285-294.

[13] G Carullo and F Aiello. Quercetin-3-oleate. Molbank 2018; 2018(3), M1006.

[14] RA Al-Anssari, RS Elias and SAN Aljadaan. Synthesis, ant proliferative activity and docking study of new quercetin derivatives against MDA-MB231 breast cancer cell lines. American Journal of Applied Sciences 2019; 16(5), 143-161.

[15] D Isika, M Çeşme, FJ Osonga and OA Sadik. Novel quercetin and apigenin-acetamide derivatives: Design, synthesis, characterization, biological evaluation and molecular docking studies. RSC Advances 2020; 10(42), 25046-25058.

[16] MH Choi, SH Yang, DS Kim, ND Kim, HJ Shin and K Liu. Novel quercetin derivative of 3,7-dioleylquercetin shows less toxicity and highly potent tyrosinase inhibition activity. Interational Journal of Molecular Sciences 2021; 22(8), 4264.

[17] D Kirkova, Y Stremski, S Statkova-Abeghe and M Docheva. Quercetin hybrids - synthesis, spectral characterization and radical scavenging potential. Molbank 2022; 2022(1), M1329.

[18] SV Pechinskii, AG Kuregyan and ET Oganesyan. Regioselective synthesis of quercetin and myricetin derivatives. Russian Journal of General Chemistry 2023; 93(2), 245-252.

[19] W Zhang, J Sun, P Zhang, R Yue, Y Zhang, F Niu, H Zhu, C Ma and S Deng. Design, synthesis and antitumor activity of quercetin derivatives containing a quinoline moiety. Molecules 2024; 29(1), 240.

[20] S Nathiya, M Durga and T Devasena. Quercetin, encapsulated quercetin and its application - A review. International Journal of Pharmacy and Pharmaceutical Science 2014; 6(10), 20-26.

[21] TTH Nguyen, SH Yu, J Kim, E An, K Hwang, JS Park and D Kim. Enhancement of quercetin water solubility with steviol glucosides and the studies of biological properties. Functional Foods in Health and Disease 2015; 5(12), 437-449.

[22] P Strugała, T Tronina, E Huszcza and J Gabrielska. Bioactivity in vitro of quercetin glycoside obtained in Beauveria bassiana culture and its interaction with liposome membranes. Molecules 2017; 22(9), 1520.

[23] SR Alizadeh and MA Ebrahimzadeh. O-substituted quercetin derivatives: Structural classification, drug design, development, and biological activities, a review. Journal of Molecular Structure 2022; 1254, 132392.

[24] J Yuan, ILK Wong, T Jiang, SW Wang, T Liu, BJ Wen, LMC Chow and BW Sheng. Synthesis of methylated quercetin derivatives and their reversal activities on P-gp-and BCRP-mediated multidrug resistance tumour cells. European Journal of Medicinal Chemistry 2012; 54, 413-422.

[25] E Rodríguez-Arce and M Saldías. Antioxidant properties of flavonoid metal complexes and their potential inclusion in the development of novel strategies for the treatment against neurodegenerative diseases. Biomedicine and Pharmacotherapy 2021; 143, 112236.

[26] J Zhou, L Wang, J Wang and N Tang. Antioxidative and anti-tumour activities of solid quercetin metal (II) complexes. Transition Metal Chemistry 2001; 26, 57-63.

[27] XR Bao, H Liao, J Qu, Y Sun, X Guo, EX Wang and YH Zhen. Synthesis, characterization and cytotoxicity of alkylated quercetin derivatives. Iranian Journal of Pharmaceutical Research 2016; 15(3), 329-335.

[28] YJ Shi, JW Gao and CF Liu. Facile synthesis of 8-arylated quercetin derivatives and biological activity evaluation. Journal of Molecular Structure 2022; 1268, 133674.

[29] M Veverka, J Gallovič, E Švajdlenka, E Veverková, N Prónayová, I Miláčková and M Štefek. Novel quercetin derivatives: Synthesis and screening for anti-oxidant activity and aldose reductase inhibition. Chemical Papers 2013; 67, 76-83.

[30] RT Magar and JK Sohng. A review on structure, modifications and structure-activity relation of quercetin and its derivatives. Journal of Microbiology and Biotechnology 2020; 30(1), 11-20.

[31] S Warnasih, AH Mulyati, D Widiastuti, AC Zahra, P Sugita, L Ambarsari, H Dianhar and DUC Rahayu. Anticancer potency of methanol extract from terminalia catappa leaves using in vitro and in silico methods. Trends in Sciences 2024; 21(9), 8057.

[32] R Benziane and B Ibrahim. Anti-cancer activity of quercetin via apoptosis induction pathways in human breast cancer cell lines-a systematic review and meta-analysis. Journal of Pharmaceutical Research and Reviews 2022; 6, 23.

[33] M Yoshida, T Sakai, N Hosokawa, N Marui, K Matsumoto, A Fujioka, H Nishino and A Aoike. The effect of quercetin on cell cycle progression and growth of human gastric cancer cells. FEBS Letters 1990; 260(1), 10-13.

[34] S Srivastava, RR Somasagara, M Hegde, M Nishana, SK Tadi, M Srivastava, B Choudhary and SC Raghavan. Quercetin, a natural flavonoid interacts with DNA, arrests cell cycle and causes tumor regression by activating mitochondrial pathway of apoptosis. Scientific Reports 2016; 6, 24049.

[35] F Sheikhnia, A Fazilat, V Rashidi, B Azizzadeh, M Mohammadi, H Maghsoudi and M Majidinia. Exploring the therapeutic potential of quercetin in cancer treatment: Targeting long non-coding RNAs. Pathology, Research and Practice 2024; 260, 155374.

[36] T Xia, J Li, X Ren, C Liu and C Sun. Research progress of phenolic compounds regulating IL‐6 to exert antitumor effects. Phytotherapy Research 2021; 35(12), 6720-6734.

[37] KW Ren, YH Li, G Wu, JZ Ren, HB Lu, ZM Li and XW Han. Quercetin nanoparticles display antitumor activity via proliferation inhibition and apoptosis induction in liver cancer cells. International Journal of Oncology 2017; 50(4), 1299-1311.

[38] M Bhatiya, S Pathak, G Jothimani, AK Duttaroy and A Banerjee. A comprehensive study on the anti-cancer effects of quercetin and its epigenetic modifications in arresting progression of colon cancer cell proliferation. Archivum Immunologiae et Therapiae Experimentalis 2023; 71(1), 6.

[39] S Maenpuen, N Ekaratcharoenchai, R Mongkolrob, T Nualsanit, S Kietinun and A Krajarng. The estrogenic effect of Lysiphyllum strychnifolium (Craib) A. Schmitz water extracts in MCF-7 cells. 2022; 21(6), 2024.

[40] HS Seo, DG DeNardo, Y Jacquot, I Laïos, DS Vidal, CR Zambrana, G Leclercq and PH Brown. Stimulatory effect of genistein and apigenin on the growth of breast cancer cells correlates with their ability to activate ER alpha. Breast Cancer Research and Treatment 2006; 99(2), 121-134.

[41] Y Xu, P Huangyang, Y Wang, L Xue, E Devericks, HG Nguyen, X Yu, JA Oses-Prieto, AL Burlingame, S Miglani, H Goodarzi and D Ruggero. ERα is an RNA-binding protein sustaining tumor cell survival and drug resistance. Cell 2021; 184(20), 5215-5229.e17.

[42] J Jiang, Y Yang, F Wang, W Mao, Z Wang and Z Liu. Quercetin inhibits breast cancer cell proliferation and survival by targeting Akt/mTOR/PTEN signaling pathway. Chemical Biology and Drug Design 2024; 103(6), e14557.

[43] V Barra, RF Chiavetta, S Titoli, IM Provenzano, PS Carollo and AD Leonardo. Specific irreversible cell-cycle arrest and depletion of cancer cells obtained by combining curcumin and the flavonoids quercetin and fisetin. Genes 2022; 13(7), 1125.

[44] S Wang, Y Chen, C Xia, C Yang, J Chen, L Hai, Y Wu and Z Yang. Synthesis and evaluation of glycosylated quercetin to enhance neuroprotective effects on cerebral ischemia-reperfusion. Bioorganic and Medicinal Chemistry 2022; 73, 117008.

[45] A Benchamana, R Tohkayomatee, S Soodvilai and N Chabang. Pinostrobin exerts inhibitory effects on adipogenesis and adipocyte-induced MCF-7 breast cancer cell proliferation and migration. Trends in Sciences 2024; 21(9), 8125.

[46] C Williams, K Edvardsson, SA Lewandowski, A Ström and JÅ Gustafsson. A genome-wide study of the repressive effects of estrogen receptor beta on estrogen receptor alpha signaling in breast cancer cells. Oncogene 2008; 27(7), 1019-1032.

[47] NHM Rosli, CK Meng, FJ Nordin, LL Mun, NSA Aziz and NF Rajab. Assessment of cytotoxicity potency of paclitaxel in combination with Clinacanthus nutans extracts on human MDA-MB-231 breast cancer cells. Jurnal Sains Kesihatan Malaysia 2018; 16(2), 95-103.

[48] M Szmyd, A Zanib, V Behlow, E Hallman, S Pfiffner, R Yaldo, N Prudhomme, K Farrar and S Dinda. Modulation of Estrogen Receptor Alpha (ERα) and tumor suppressor gene BRCA1 in Breast Cancer Cells by Bazedoxifene Acetate (BZA). Cancers 2024; 16(4), 699.

[49] S Yu, T Kim, KH Yoo and K Kang. The T47D cell line is an ideal experimental model to elucidate the progesterone-specific effects of a luminal A subtype of breast cancer. Biochemical and Biophysical Research Communications 2017; 486(3), 752-758.

[50] C Gest, U Joimel, L Huang, LL Pritchard, A Petit, C Dulong, C Buquet, CQ Hu, P Mirshahi, M Laurent, F Fauvel-Lafève, L Cazin, JP Vannier, H Lu, J Soria, H Li, R Varin and C Soria. Rac3 induces a molecular pathway triggering breast cancer cell aggressiveness: Differences in MDA-MB-231 and MCF-7 breast cancer cell lines. BMC Cancer 2013; 13, 63.

[51] RJ Huggins and GL Greene. ERα/PR crosstalk is altered in the context of the ERα Y537S mutation and contributes to endocrine therapy-resistant tumor proliferation. NPJ Breast Cancer 2023; 9(1), 96.

[52] F Yang, L Song, H Wang, J Wang, Z Xu and N Xing. Quercetin in prostate cancer: Chemotherapeutic and chemopreventive effects, mechanisms and clinical application potential. Oncology Reports 2015; 33(6), 2659-2668.

[53] H Arksey and L O'malley. Scoping studies: Towards a methodological framework. International Journal of Social Research Methodology 2005; 8(1), 19-32.

[54] D Levac, H Colquhoun and KK O'brien. Scoping studies: Advancing the methodology. Implementation Science 2010; 5, 69.

[55] L Clusan, F Ferrière, G Flouriot and F Pakdel. A basic review on estrogen receptor signaling pathways in breast cancer. International Journal of Molecular Sciences 2023; 24(7), 6834.