Start Bootstrap Logo

Trends Sci. 2025; 22(8): 10135

Chemical Composition Analysis Using HPLC-UV and Inhibitory Activity of Thai Herbal Formulation on Proinflammatory Mediators


Natthakan Chitkrachang1, Intouch Sakpakdeejaroen2,

Duangpacharaphorn Kwanchian2, Tanyada Lertdamrongdej2 and Sumalee Panthong2,*


1Master’s Student in Applied Thai Traditional Medicine, Faculty of Medicine, Thammasat University,

Pathum Thani 12120, Thailand

2Department of Applied Thai Traditional Medicine, Faculty of Medicine, Thammasat University,

Pathum Thani 12120, Thailand


(*Corresponding author’s e-mail: [email protected])


Received: 11 March 2025, Revised: 11 April 2025, Accepted: 18 April 2025, Published: 20 June 2025


Abstract

Herbal medicines are widely used to treat various physical disorders. One such remedy, Tri-Phon-That, is composed of rhizomes of three herbs: Zingiber zerumbet, Zingiber montanum, and Cymbopogon nardus. Traditionally, it is used to alleviate fever, swelling, bruising, and muscle pain-conditions associated with inflammation. This study aimed to evaluate the effects of Tri-Phon-That remedy and its individual ingredients on the production of nitric oxide (NO), interleukin-6(IL-6), and prostaglandin E2 (PGE-2). Additionally, the chemical compositions of the remedy and its plant extracts were analyzed. The results showed that the Tri-Phon-That extract strongly inhibited NO, IL-6, and PGE-2 production, with IC50 values of 5.35 ± 0.77, 7.48 ± 0.26, and 24.75 ± 0.33 μg/mL, respectively. Among the individual ingredients, Z. montanum exhibited the most potent anti-inflammatory activity, followed by Z. zerumbet, which effectively inhibited nitric oxide and IL-6 but had no effect on PGE-2. Chemical analysis using high-performance liquid chromatography revealed that the Tri-Phon-That extract contained zerumbone and compound D or (E)-4-(3’,4’-dimethoxyphenyl) but -3-en-1-ol at concentrations of 13.31 ± 0.87 and 3.16 ± 0.17 % w/w, respectively. These compounds were primarily found in Z. zerumbet and Z. montanum with concentrations of 36.05 ± 1.67 and 6.97 ± 0.28 % w/w, respectively. In contrast, no chemical constituents were found in C. nardus, which correlates with its weaker anti-inflammatory activity. In conclusion, Tri-Phon-That extract strongly inhibits pro-inflammatory cytokines, making it a promising treatment for acute inflammation.


Keywords: Tri-Phon-That, Herb, Complementary medicine, Anti-inflammation, Alternative medicine, Plant extract, Zingiber montanum, Zingiber zerumbet, Cymbopogon nardus


Introduction

Inflammation is the immune system’s response to harmful stimuli, such as bacteria, antigens, or foreign substances. Key cytokines involved in this process include nitric oxide, interleukin -1β(IL-1β), interleukin -6(IL-6), tumor necrosis factor - α (TNF-α), and cyclooxygenase -2(COX-2). These molecules are secreted to promote inflammation but can also cause it to persist [1].

Prolonged inflammation can lead to various diseases, including fever, insulin resistance, cardiovascular disease, pulmonary arterial hypertension, emphysema, Alzheimer’s and Parkinson’s diseases, macular degeneration, osteoarthritis, and cancer [2].

Several studies indicate that phytochemicals, or substances derived from plants, exhibit potent anti -inflammatory effects [3]. Herbal medicines are alternative treatments for many conditions, including diarrhea, skin disorders, inflammation, and infections [4]. In Thai traditional medicine, combinations of herbs are commonly used to treat diseases. The herbal combination, Tri-Phon-That, is traditionally used to treat fever, contusions, swelling, and aches. It consists of the rhizomes of three herbs: Zingiber zerumbet, Zingiber montanum, and Cymbopogon nardus [5].

Numerous studies have reported the anti-inflammatory properties of Tri-Phon-That’s plant ingredients. Z. Zerumbet and Z. montanum have demonstrated potent inhibitory effects against the release of nitric oxide, IL-1β, IL-6, and prostaglandin E-2 (PGE-2) [6-8]. Additionally, these herbs have been shown to reduce edema and swelling in rats [9,10]. The oil extract obtained by frying Z. montanum with coconut oil effectively reduced ear swelling in rats induced with ethyl phenylpropiolate [10]. The essential oil C. nardus exhibited concentration-dependent inhibition of lipoxygenase type I-B and a significant decrease in IL-6 secretion [11,12].

Previous studies also reported that aqueous and ethanolic extracts of Tri-Phon-That exhibit antinociceptive effects in rats, as demonstrated in hot-plate, formalin, and acetic acid-induced writhing tests [13]. While prior research has shown that Tri-Phon-That extract can reduce inflammatory cytokines, no studies have thoroughly examined its effects and chemical composition. Therefore, this study aimed to analyze of Tri-Phon-That extract and evaluate its anti- inflammotory properties.


Materials and methods

Plant material

The rhizome of Z. montanum was collected from Chachoengsao province, Thailand. The rhizome of Z. zerumbet was collected from Pathumthani province, Thailand. They were identified and authenticated by the botanist of Sirindhorn Herbarium, Department of Agriculture, Bangkok, Thailand. The specimen reference numbers of Z. montanum and Z. zerumbet are BK No. 085337 and BK No. 085176, respectively. The rhizome of C. nardus was collected from Prachinburi province, Thailand. It was identified and authenticated by the Herbarium of Mahidol University, Sireeruckhachati Nature Learning Park, Nakhon Pathom, Thailand. Its specimen reference number is PBM 006473. The plants were cleaned and dried at 45 °C. Then, they were ground into fine powder for extraction.

Chemicals and reagents

Ethanol, HPLC grade methanol, and dimethylsulfoxide (DMSO) were purchased from RCI LabScan (Bangkok, Thailand). Dulbecco’s Modified Eagle Medium (DMEM), fetal bovine serum (FBS), penicillin/streptomycin, and 0.5 % trypsin-EDTA were purchased from Gibco (New York, USA). Lipopolysaccharide (LPS) from Escherichia coli was purchased from Sigma (Missouri, USA). 3-(4,5-Dimethyl-2-thiazolyl)-2, 5-diphenyl-2H-tetrazolium bromide (MTT) was acquired from TCI (Tokyo, Japan). The IL-6 and TNF-α ELISA kits were obtained from R & D Systems (Minneapolis, USA), while the PGE-2 ELISA kit was purchased from Cayman (Michigan, USA).


Preparation of extracts

Tri-Phon-That consists of the rhizomes of Z. zerumbet, Z. montanum, and C. nardus in the same ratio [5]. The previous study showed that the ethanolic extract of Tri-Phon-That had antinociceptive properties in animal models [13]. Thus, the ethanolic extract of Tri-Phon-That was prepared using a process similar to that of the previous study. Two hundred fifty grams of each Tri-Phon-That plant material was macerated in 95 % ethanol for 72 h, then filtered and evaporated at 45 °C until a constant weight was obtained. This process was repeated twice more with the residue. All extracts were stored at 20 °C until used.


Anti-inflammatory effects

RAW264.7 cells are accepted as good models for macrophages, stimulated by lipopolysaccharide that induces an inflammatory response by the release of several inflammatory mediators. Consequently, RAW264.7 is the main in vitro experimental model for screening anti-inflammatory agents and investigating inflammation [14]. Thus, the murine macrophage cell line RAW264.7 cells were used to investigate the anti-inflammatory activity of Tri-Phon-That and its ingredients extracts.


Cell culture

The murine macrophage cell line RAW264.7 cells (ATCC TIB-71) was cultured in complete DMEM (DMEM supplement with 10 % FBS, 50 µg/mL streptomycin, and 50 IU/mL penicillin) at 37 °C with 5 % CO₂. Cells were subcultured with 0.125 % trypsin for 10 min every 4 days.


Cell viability [15]

The cytotoxicity of the extracts on cells was assessed using the MTT assay [15]. RAW 264.7 cells were cultured in 96 - well plates (1×10⁵ cells/well) for 24 h at 37 °C with 5 % CO₂. The ethanolic extract was dissolved in DMSO to a concentration of 50 mg/mL. After incubation, the medium was replaced with fresh medium (100 µL/well). Then, 100 µL/well of each sample solution, prepared with two-fold dilutions in complete DMEM, was added. Each concentration was tested in quadruplicate (4 wells per plate) and incubated for 24 h. The medium was then removed, and 100 µL/well of MTT solution (0.5 mg/mL) was added. After a 2-hour incubation, the supernatant was discarded and 100 µL/well of DMSO was added to dissolve the formazan crystals. The optical density was measured at 570 nm to determine the cell viability. The survival rate was calculated and compared to the negative control or untreated group that did not receive any experimental treatment. Extract concentrations with a more than 70 % cell survival were considered non- cytotoxic [16] and were used for further testing. The testing of each sample was performed in triplicate.


The inhibitory effect of nitric oxide production [17]

RAW 264.7 cells were seeded into 96 - well plates (1×10⁵ cells/well) and incubated for 24 h at 37 °C with 5 % CO₂. After incubation, the supernatant was removed and replaced with 100 µL/well of LPS (10 ng/mL). Then, the non-cytotoxic sample solutions were added to the wells (100 µL/well) and incubated for an additional 24 h at 37 °C with 5 % CO₂. Each concentration was tested in quadruplicate (4 wells per plate). After incubation, the 100 µL of supernatant from each well was transferred to a new 96-well plate, and nitric oxide production was measured using Griess reagent (100 µL/well). The absorbance at 570 nm was recorded, and the nitric oxide concentration was calculated based on a NaNO2 standard curve. The untreated RAW264.7 cells and LPS-stimulated RAW264.7 cells were used as negative controls to compare the NaNO2 production. Ibuprofen was used as a positive control. The experiment was performed in triplicate.

The inhibitory effect of PGE-2, and IL-6 [18]

We performed the experiment using a similar procedure to inhibit nitric oxide production. After treatment, the supernatant was collected to measure PGE-2 and IL-6 production using enzyme-linked immunosorbent assay (ELISA). PGE-2 production was assessed using a competitive ELISA kit, following the manufacturer’s protocol (Catalog no. 514010). In each coated well, 50 µL of supernatant and 50 µL of PGE-2 acetylcholine esterase tracer were added. Then, the PGE-2 monoclonal antibody was added and the plate was incubated at 4 C for 18 h. After incubation, the plate was washed five times with wash buffer. Ellman’s reagent (200 µL/well) was added, and the plate was incubated in the dark for 60 - 90 min. The optical density was measured at 412 nm. The untreated RAW264.7 cells and LPS-stimulated RAW264.7 cells were used as negative controls to compare the PGE-2 production. Ibuprofen was used as a positive control. The percentage of inhibition was calculated using the following formula:


% Inhibition = [(ODsample - ODcontrol with LPS)/(ODcontrol without LPS - ODcontrol with LPS)]×100


IL-6 production was quantified using a sandwich ELISA kit, following the manufacturer’s protocol (Catalog no. DY406-05). IL-6 capture antibody was coated onto a 96 - well plate and incubated overnight at room temperature. Then, the plate was washed three times with wash buffer and blocked with 1 % bovine serum albumin in PBS for 1 h at room temperature. The plate was washed again, and the sample was added to each well. After that, the plate was washed three more times. IL-6 detection antibody was added to each well, and the plate was incubated for 2 h. After incubation, the plate was washed, and streptavidin HRP was added and incubated for 20 min. In the final step, the plate was washed, and the TMB substrate was added to each well and incubated for 20 min. The reaction was stopped using 2NH2SO4. The optical density was measured at 450 nm. The IL-6 production was calculated based on a standard curve of IL-6 protein. The untreated RAW264.7 cells and LPS-stimulated RAW264.7 cells were used as negative controls to compare the PGE-2 production. Ibuprofen was used as a positive control.


Chemical analysis using High-Performance Liquid Chromatography (HPLC)

To examine an HPLC chromatogram for active compounds, we must evaluate the sample’s retention times and peak profiles with known standards and reference to previous research, therefore identifying the active compounds based on their characteristic signals [19-21]. Zerumbone and compound D were detected as major components in Tri-Phon-That extract. Validation techniques for HPLC were performed to develop and validate an original analytical method of HPLC for Tri-Phon-That extract.


Sample preparation

The extract was accurately weighed to 10 mg and dissolved in methanol to 5 mg/mL. The sample solution was filtrated through a 0.45 µm nylon syringe filter before being analyzed by HPLC.


HPLC analysis

The samples were injected into a C18 reverse-phase column (Shimadzu 5μ C18(2) 100 °A analytical column, 250×4.60 mm, 5μm) with a volume of 10 µL. The flow rate was set to 1 mL/min, and UV detection was performed at 260 nm. The mobile phase consisted of acetonitrile (A) and 0.1 % phosphoric acid (B), with the following gradient ratio: 10 : 90 (A/B) for 20 min, 50:50 for 20 min, 60 : 40 for 10 min, (A/B), 90 : 10 to 10 : 90 (A/B) over 5 min, hold for 5 min, and then proceeding to the next sample. The total run time for one sample was 60 min. LabSolutions software was used to analyze the area under the curve. Zerumbone and compound D were used as standard compounds.


Validation methods of HPLC [22]

Linearity

The linearity of the analytical procedure, which reflects its ability to produce test results proportional to the analyte concentration in the sample, was evaluated. To assess the method’s linearity, standard methanol solutions of zerumbone and compound D were prepared at concentrations of 12.5 - 800 and 12.5 - 600 μg/mL, respectively. Each concentration was analyzed in triplicate. Calibration curves were constructed by plotting the peak areas against the corresponding standard concentrations. The standards exhibited excellent linearity with R² values exceeding 0.999.

Accuracy

Standard compounds were added to the sample to evaluate the accuracy of the method. Mixtures of zerumbone and compound D at 4 concentrations (50, 100, 200, and 400 μg/mL) were spiked into the Tri-Phon-That extract in triplicate and tested three times. Percent recovery and the relative standard deviation ( % RSD) were calculated based on the actual values. Percent recovery was calculated using the following formula:


Recovery ( % ) = (amount detected / amount spiked) × 100.


Precision

The precision of the test results was evaluated by assessing the relative standard deviation. Standard compounds (zerumbone and compound D) at four concentrations (50, 100, 200, and 400 μg/mL) were analyzed in three replicates, each repeated three times. The results were then compared for consistency both within the same day (intra-day precision) and across different days (inter-day precision).


Limit of detection and limit of quantification

The limit of detection (LOD) represents the minimum detectable amount of analyte in a sample, and the limit of quantification (LOQ) represents the minimum amount of analyte that can be quantified with acceptable precision and accuracy. They are calculated by LOD = 3.3 σ/S and LOQ = 10 σ/S. σ is the standard deviation of the y-intercepts of the regression lines, and S is the slope of the calibration curve.


Statistical analysis

This research used an in vitro experimental design. The data was collected in triplicate, expressed as mean ± SD, and analyzed for distribution. Paired t-tests and ANOVA followed by Dunnett t-test were used to analyze the statistical significance of normally distributed data. The Kruskal-Wallis test was used to analyze the statistical significance of non-normally distributed data. All statistical significance analysis was performed using the SPSS program. The p-value of less than 0.05 was considered statistically significant.




Results and discussion

Effect of Tri-Phon-That and plant ingredients extracts on the viability of RAW264.7 cells

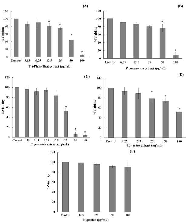
RAW264.7 cells were treated with various concentrations of Tri-Phon-That and plant ingredient extracts to determine the non-cytotoxic doses. The percentage of cell viability for each sample is shown in Figure 1. The ethanolic extracts affected the cell viability in a dose-dependent manner. The highest non-cytotoxic doses for the Tri-Phon-That, Z. montanum, Z. zerumbet, and C. nardus ethanolic extracts were 25, 50, 12.5, and 50 µg/mL, respectively. The positive control, ibuprofen, showed no adverse effects on cell viability at any of the tested concentrations.


Figure 1 Effect of (A) Tri-Phon-That, (B) Z. montanum, (C) Z. zerumbet, (D) C. nardus extracts, and (E) ibuprofen on cell viability. Error bars represent mean ± SD from three experiments. Group comparisons were performed using the Kruskal-Walli’s test for statistical analysis, with significance thresholds set at (*) p < 0.05 compared with the control or untreated group.


Tri-Phon-That and its plant ingredients extracts inhibited nitric oxide production and inflammatory cytokines

The Tri-Phon-That and its ingredient extracts were tested for inhibitory activity against LPS-induced nitric oxide production in (RAW 264.7) macrophage cell lines. The safe dose, determined by the MTT assay, was used to assess nitric oxide inhibitory activity. All extracts inhibited nitric oxide production in a dose-dependent, as shown in Figure 2. Among the tested extracts, Z. zerumbet extract showed the highest activity, with almost 100 % inhibition at 12.5 µg/mL. However, Tri-Phon-That extract also showed a high inhibitory effect against nitric oxide production. Tri-Phon-That extract inhibited nitric oxide production more than Z. montanum and C. nardus extracts at the same tested concentration.

.

Figure 2 Effect of (A, B) Tri-Phon-That, (C, D) Z. montanum, (E, F) Z. zerumbet, (G, H) C. nardus extracts, and (I, J) ibuprofen on nitric oxide production. Error bars represent mean ± SD from three experiments. Group comparisons were performed using the Kruskal-Walli’s test for statistical analysis, with significance thresholds set at (*) p < 0.05 compared to the control or untreated group and (#) p < 0.05 compared to the LPS-treated group .

Figure 3 Effect of (A, B) Tri-Phon-That, (C, D) Z. montanum, (E, F) Z. zerumbet, (G, H) C. nardus extracts, and (I, J) ibuprofen on IL-6 production. Error bars represent mean ± SD from three experiments. Group comparisons were performed using the ANOVA followed by Dunnett t-test for statistical analysis, with significance thresholds set at (*) p < 0.05 compared to the control or untreated group and (#) p < 0.05 compared to the LPS-treated group .

Figure 4 Effect of (A, B) Tri-Phon-That, (C, D) Z. montanum, (E, F) Z. zerumbet, (G, H) C. nardus extracts, and (I, J) ibuprofen on PGE-2 production. Error bars represent mean ± SD from three experiments. Group comparisons were performed using the ANOVA followed by Dunnett t-test for statistical analysis, with significance thresholds set at (*) p < 0.05 compared to the control or untreated group and (#) p < 0.05 compared to the LPS-treated group.


To study the anti-inflammatory effects of Tri-Phon-That extract, we further exposed RAW264.7 cells to various concentrations of Tri-Phon-That and plant ingredient extracts. Our results showed that Tri-Phon-That extract inhibited IL - 6 and PGE - 2 production in a dose-dependent manner. Among the plant ingredient extracts, Z. montanum extract also decreased IL - 6 and PGE - 2 levels, while Z. zerumbet and C. nardus could inhibit only IL - 6 production, as shown in Figures 3 and 4. Notably, Tri-Phon-That extract was more potent in inhibiting nitric oxide and IL-6 production than ibuprofen. However, ibuprofen exhibited the highest inhibition of PGE - 2, as shown in Figure 4.

The half-maximal inhibitory concentration (IC50) for each investigation was calculated and is presented in Table 1. Tri-Phon-That extract significantly suppressed nitric oxide, IL-6, and PGE-2 production when compared to ibuprofen, with IC50 of 5.35 ± 0.77, 7.48 ± 0.26, and 24.75 ± 0.33 g/mL, respectively. Z. montanum extract was the only active ingredient in Tri-Phon-That that suppressed all three inflammatory mediators, including nitric oxide, IL-6, and PGE-2. Z. zerumbet extract showed the highest inhibition effect on nitric oxide and IL-6, while C. nardus showed the lowest suppression of these inflammatory mediators. Interestingly, Z. zerumbet and C. nardus had no inhibitory effect on PGE-2 release, as shown in Table 1.


Table 1 The half-maximal inhibitory concentration (IC50) of Tri-Phon-That and its ingredients extracts against nitric oxide and inflammatory cytokines production.

Sample

IC50 (g/mL)

Nitric oxide production

IL-6 production

PGE-2 production

Tri-Phon-That extract

5.35 ± 0.77*

7.48 ± 0.26*

24.75 ± 0.33*

Z. montanum extract

18.66 ± 2.08*

22.71 ± 3.76

20.51 ± 0.05*

Z. zerumbet extract

1.79 ± 0.21*

3.32 ± 0.10*

> 12.5

C. nardus extract

33.73 ± 4.41*

37.11 ± 16.13

> 50

Ibuprofen

89.63 ± 7.21

16.63 ± 0.48

6.81 ± 0.09

*p-value < 0.05. Group comparisons were performed using the paired t-test for statistical analysis, with significance thresholds set at p < 0.05 compared to the positive control or ibuprofen group


Development and validation of HPLC method for chemical analysis of Tri-Phon-That extract

We developed the HPLC method to analyze the chemical compounds in Tri-Phon-That extract. Two major chemical compounds were identified in the HPLC chromatogram of Tri-Phon-That extract. These major compounds were also found in Z. montanum and Z. zerumbet extracts. For higher sensitivity, The detection method for the C. nardus HPLC chromatogram was selected at 215 nm to enhance sensitivity due to the significant absorption of active chemicals, such as geraniol, citronellal, β-citronellal, and β-eudesmol, previously reported at a similar wavelength [23]. However, the HPLC chromatogram of C. nardus extract did not resemble that of the Tri-Phon-That extract, as shown in Figure 5. The first major compound is compound D, and the second major compound is zerumbone.

To confirm that the major compounds are the expected ones, Tri-Phon-That extract was spiked with compound D and zerumbone. After spiking, we observed that the two major peaks were higher when compared to the HPLC chromatogram of Tri-Phon-That extract, compound D, and zerumbone, as shown in Figure 6. The retention times were as follows: for compound D at 15.37 min, and zerumbone at 38.11 min. Geraniol, -citronellal, -eudesmol, and citronellal that have been reported to be found in C. nardus were injected to compare to the peaks in Tri-Phon-That extract. However, Tri-Phon-That extract was not found to have a similar peak to these standards, as shown in Figures 6B and 6D.

Additionally, the spectra of the expected peaks in the Tri-Phon-That extract were compared to the spectra of the standard compounds, compound D and zerumbone. We found that the spectra of the expected peaks were similar to those of the standards, as demonstrated in Figure 7. Therefore, the major peaks were identified as compound D and zerumbone.



Figure 5 HPLC chromatograms with detection at 260 nm of (A) 5 mg/mL of Tri-Phon-That extract , (B) 5 mg/mL of Z. montanum extract, (C) 5 mg/mL of Z. zerumbet, (D) 5 mg/mL of C. nardus and detection wavelength at 215 nm of (E) 5 mg/mL of Tri-Phon-That extract, and (F) 5 mg/mL of C. nardus.


Figure 6 HPLC chromatograms with detection at 260 nm of (A) standard compound D, and zerumbone at 100 μg/mL, and detection wavelength at 215 nm of (B) standard geraniol, -citronellal, -eudesmol, and citronellal at 100 μg/mL. HPLC chromatograms with detection at (C) 260 nm and (D) 215 nm of Tri-Phon-That extract 2 mg/mL, and (E) spike Tri-Phon-That extract 2 mg/mL with compound D and zerumbone 100 μg/mL with detection at 260 nm.


Figure 7 Spectra and chemical structure of (A) compound D and (B) zerumbone peaks recorded from the standard and Tri-Phon-That extract.


The chemical composition of the Tri-Phon-That extract was analyzed using a validated HPLC method following ICH guidelines [22]. Method validation ensures the validity of the analytical results. Compound D and zerumbone were used as the standard reference compounds. The correlation coefficients (R² > 0.999) indicated a strong linear relationship for both standards. The limits of detection (LOD) and quantification (LOQ) for zerumbone and compound D are presented in Table 2.

Precision was assessed through intra-day and inter-day evaluations, with % RSD values remaining within the acceptable range (below 2 %), as shown in Table 3. Accuracy was determined based on % recovery, detailed in Table 4. The validation results confirmed that the HPLC method is both precise and accurate for analyzing the chemical content of the Tri-Phon-That extract.

Following method validation, these conditions were used to quantify compound D and zerumbone in the Tri-Phon-That extract, as shown in Table 5. Based on the standard curve, compound D and zerumbone were identified as major constituents, with concentrations of 3.16 ± 0.17 and 13.31 ± 0.87 % w/w, respectively.

The results further revealed that zerumbone is a predominant component in Z. zerumbet extract, with a concentration of 36.05 ± 1.67 % w/w. Similarly, compound D was found in significant amounts in Z. montanum extract, with a concentration of 6.97 ± 0.28 % w/w. However, no detectable chemical components were identified in C. nardus extract using this HPLC method.

The Tri-Phon-That remedy is composed of rhizomes of Z. montanum, Z. zerumbet, and C. nardus. It is prepared by boiling these herbs in equal proportions and used as an internal medicine for fever reduction, anti-inflammatory effects, and relief from swelling, bruising, and pain [5].

This study shows that Tri-Phon-That extract effectively inhibits inflammatory cytokines, including nitric oxide, IL-6, and PGE-2. These inflammatory mediators are pronociceptive signaling molecules that promote inflammation and pain [24]. By reducing these inflammatory molecules, the Tri-Phon-That extract can contribute to pain relief, aligning with previous reports of its antinociceptive effects in rats [13].

The anti-inflammatory efficacy of Tri-Phon-That appears to surpass that of its individual plant components. While the extract inhibited all examined inflammatory mediators, only one plant ingredient showed comparable effects, though at a lower potency. Numerous studies suggest that herbal combinations can exhibit greater biological activity than their individual constituents [25,26], likely due to synergistic interactions among plant-derived compounds that enhance anti-inflammatory effects [27].

Tri-Phon-That extract contained compound D and zerumbone. Previous studies have identified zerumbone as the main compound in Z. zerumbet, which inhibited inducible nitric oxide and PGE-2 production in LPS-induced RAW 264.7 cells [28-30]. This inhibition is mediated by suppressing the phosphorylation of IKKα/β and NF-κB (p65) [6]. Similarly, compound D, found in Z. montanum, has been reported to inhibit nitric oxide production [31-33]. However, these results contrast with a previous study, which found that compound D did not affect COX-2 activity related to PGE-2 production. Instead, the compound (E)-1-(3’,4’-dimethoxyphenyl) buta-1, 3-diene (DMPBD), which was not investigated in this study, exhibited strong COX-2 inhibition [34].

Regarding C. nardus, previous studies have identified citronellal, geraniol, citral, nerol, and elemol as its major chemical constituents [35,36]. Citronellal, in particular, can reduce the IL-6, TNF-α, and COX-2 levels at a dosage of 50mg/kg in animals by reducing the inflammatory process and the level of transcription factor NF-κB [37]. However, our study did not find any chemical constituents in C. nardus.



Table 2 Linear ranges, regression equation, coefficient of determination (R2), LOD, and LOQ of calibration curves of standard compound D and zerumbone.

Parameters/

Compounds

Linear range

(g/mL)

Regression

equation

Coefficient of

determination (R2)

LOD (g/ml)

LOQ (g/mL)

Compound D

12.5 - 600

y = 45.889x + 34.442

0.9995

1.58

4.80

Zerumbone

12.5 - 800

y = 19.221x + 7.982

0.9996

4.04

12.24



Table 3 Intra-day and inter-day precision of compound D and zerumbone.

Compound

Concentration (μg/mL)

Inter-day

(n = 9)

%RSD

Intra-day

(n = 3)

%RSD

Compound D

400

388.17 ± 6.07

1.41

384.62 ± 5.41

1.41

200

201.51 ± 2.91

1.61

200.00 ± 3.21

1.61

100

101.26 ± 1.92

1.08

102.09 ± 1.10

1.08

50

51.42 ± 0.92

1.37

50.79 ± 0.70

1.37

Zerumbone

400

405.69 ± 5.48

1.35

411.70 ± 2.48

0.60

200

203.42 ± 2.18

1.07

201.94 ± 2.35

1.16

100

102.23 ± 1.42

1.39

102.27 ± 1.08

1.05

50

50.34 ± 0.68

1.36

49.75 ± 0.90

1.81



Table 4 Accuracy validation of the analytical method for compound D and zerumbone.

Compound

Spike volume

(μg/mL)

%Recovery

Mean ± %RSD

N1

N2

N3

Compound D

400

96.16

96.74

98.24

97.04 ± 1.11

200

100.00

100.43

101.83

100.76 ± 0.95

100

102.09

99.25

102.45

101.26 ± 1.73

50

101.59

102.72

104.18

102.83 ± 1.26

Zerumbone

400

102.93

100.44

100.90

101.42 ± 1.30

200

100.97

102.64

101.53

101.71 ± 0.83

100

102.27

103.22

101.20

102.22 ± 0.99

50

99.51

101.33

101.20

100.68 ± 1.01


Table 5 Amount of compound D and zerumbone in Tri-Phon-That and its ingredients extracts.

Sample

Concentration (%w/w of extract)

Compound D

Zerumbone

Tri-Phon-That extract

3.16 ± 0.17

13.31 ± 0.87

Z. montanum extract

6.97 ± 0.28

Not detecable

Z. zerumbet extract

Not detecable

36.05 ± 1.67

C. nardus extract

Not detecable

Not detecable



Conclusions

From this study, it can be concluded that the Tri-Phon-That remedy exhibits anti-inflammatory properties by reducing nitric oxide, PGE-2 , and IL-6 levels. The major chemical compounds in Tri-Phon-That are compound D and zerumbone. Further investigation into the quantities of the compounds present in its three herbal ingredients is recommended to better understand the active anti-inflammatory substances in this remedy. Additionally, a large scale of sample size, other mechanisms for anti-chronic inflammation and studies on animal models should be performed in further study.


Acknowledgments

This study was supported by Thammasat University Research Fund, Thailand, Contract No TUFT 118/2567. The authors would like to acknowledge Michael Jan Everts, from the Clinical Research Center, Faculty of Medicine, Thammasat University, for English editorial assistance.


Declaration of Generative AI in Scientific Writing

The authors declare that no Generative AI tools have been used in the publication of this article.


CRediT author statement

Natthakan Chitkrachang: Investigation; Writing - Original Draft; Visualization. Intouch Sakpakdeejaroen: Validation. Duangpacharaphorn Kwanchian: Investigation. Tanyada Lertdamrongdej: Investigation. Sumalee Panthong: Conceptualization; Methodology; Formal analysis; Writing - Review & Editing; Supervision; Funding acquisition.

References

[1] L Chen, H Deng, H Cui, J Fang, Z Zuo, J Deng, Y Li, X Wang and L Zhao. Inflammatory responses and inflammation-associated diseases in organs. Oncotarget 2018; 9(6), 7204.

[2] D Furman, J Campisi, E Verdin, P Carrera-Bastos, S Targ, C Franceschi, L Ferrucci, DW Gilroy, A Fasano, GW Miller, AH Miller, A Mantovani, CM Weyand, N Barzilai, JJ Goronzy, TA Rando, RB Effros, A Lucia, N Kleinstreuer and GM Slavich. Chronic inflammation in the etiology of disease across the life span. Nature Medicine 2019; 25(12), 1822-1832.

[3] MI Yatoo, A Gopalakrishnan, A Saxena, OR Parray, NA Tufani, S Chakraborty, R Tiwari, K Dhama and HMN Iqbal. Anti-inflammatory drugs and herbs with special emphasis on herbal medicines for countering inflammatory diseases and disorders: A review. Recent Patents on Inflammation & Allergy Drug Discovery 2018; 12(1), 39-58.

[4] E Prempeh, L Akwetey, S Ankamah, N Amofah-Serwaa and E Kisseih. A systematic review of the efficacy of herbal medicines in the treatment of acute diarrhea. Advances in Traditional Medicine 2024. https://doi.org/10.1007/s13596-024-00766-x

[5] Foundation for the promotion Thai traditional medicine of Ayurved Schools (Chiwokkomaraphat). Tamra Phesatchakamthai (in Thailand). Vol 1. Pickanes Printing Centre, Bangkok, 2005, p. 108.

[6] MA Haque, I Jantan, H Harikrishnan and S Ghazalee. Standardized extract of Zingiber zerumbet suppresses LPS-induced proinflammatory responses through NF-κB, MAPK and PI3K-Akt signaling pathways in U937 macrophages. Phytomedicine 2019; 54, 195-205.

[7] N Jaiaree, A Itharat and S Ruangnoo. Cytotoxic and anti-inflammatory activities of medicinal plants and women’s health remedy found in “Mahachotarat Scripture” of Thai traditional medicine. Journal of the Medical Association of Thailand 2016; 99, S211-S221.

[8] VL Truong, B Manochai, TT Pham and WS Jeong. Antioxidant and anti-inflammatory activities of Zingiber montanum Oil in HepG2 cells and lipopolysaccharide-stimulated raw 264.7 macrophages. Journal of Medicinal Food 2021; 24(6), 595-605.

[9] ZA Zakaria, AS Mohamad, CT Chear, YY Wong, DA Israf and MR Sulaiman. Anti-inflammatory and antinociceptive activities of Zingiber zerumbet methanol extract in experimental model systems. Medical Principles and Practice 2010; 19(4), 287-294.

[10] A Singharach, S Thongpraditchote, N Anantachoke and R Temsiririrkkul. Anti-inflammatory activity of Zingiber montanum (J. König) Link ex Dietr. extracts prepared by deep frying in coconut oil. Pharmaceutical Sciences Asia 2020; 47, 51-57.

[11] B Bayala, AY Coulibaly, FW Djigma, BM Nagalo, S Baron, G Figueredo, JA Lobaccaro and J Simpore. Chemical composition, antioxidant, anti-inflammatory and antiproliferative activities of the essential oil of Cymbopogon nardus, a plant used in traditional medicine. Biomolecular Concepts 2020; 11(1), 86-96.

[12] F Ocheng, F Bwanga, E Almer Boström, M Joloba, AK Borg-Karlson, T Yucel-Lindberg, C Obua and A Gustafsson. Essential oils from Ugandan medicinal plants: In vitro cytotoxicity and effects on IL‐1β‐induced proinflammatory mediators by human gingival fibroblasts. Evidence-Based Complementary and Alternative Medicine 2016; 2016, 357689.

[13] S Deeoun, P Phuneerub, C Palanuvej, N Ruangrungsi and P Towiwat. Antinociceptive and anti-inflammatory activities of Tree-Phon-Thad remedy. The Thai Journal of Pharmaceutical Sciences 2014; 38(4), 188-194.

[14] X Wu. Guidelines for anti-inflammatory assays in RAW264.7 cells. Food Safety and Health 2025; 3, 128-136.

[15] P Kumar, A Nagarajan and PD Uchil. Analysis of Cell viability by the MTT assay. Cold Spring Harbor Protocols 2018. https://doi.org/10.1101/pdb.prot095505

[16] International Organization for Standardization. Biological evaluation of medical devices - Part 5: Tests for in vitro cytotoxicity. 3rd eds. International Organization for Standardization, Geneva, Switzerland, 2009.

[17] S Makchuchit, R Rattarom and A Itharat. The anti-allergic and anti-inflammatory effects of Benjakul extract (a Thai traditional medicine), its constituent plants and its some pure constituents using in vitro experiments. Biomedicine & Pharmacotherapy 2017; 89, 1018-1026.

[18] S Panthong, A Itharat, S Naknarin, P Kuropakornpong, B Ooraikul and I Sakpakdeejaroen. Bactericidal effect and anti-inflammatory activity of Cassia garettiana heartwood extract. The Scientific World Journal 2020. https://doi.org/10.1155/2020/1653180

[19] HP Devkota, KR Paudel, MM Hassan, AI Dirar, N Das, A Adhikari-Devkota, J Echeverría, R Logesh, NK Jha and SK Singh, PM Hansbro, Y Chan, DK Chellappan and K Dua. Bioactive compounds from Zingiber montanum and their pharmacological activities with focus on zerumbone. Applied Sciences 2021; 11(21), 10205.

[20] S Kongkiatpaiboon, C Saereewat, N Tayana, N Duangdee and W Inthakusol. Isolation and ultra-high performance liquid chromatography analysis of zerumbone and zerumbone epoxide in Zingiber zerumbet rhizomes. Agriculture and Natural Resources 2023; 57(1), 99-106.

[21] NA Saputra, HS Wibisono, S Darmawan, and G Pari. Chemical composition of Cymbopogon nardus essential oil and its broad spectrum benefit. IOP Conference Series: Earth and Environmental Science 2020; 415, 012017.

[22] The International Council for Harmonisation. Validation of analytical procedures: Text and methodology. Q2(R1). The International Council for Harmonisation, Geneva, Switzerland, 2005.

[23] CT Higuchi, CC Sales, N Andreo-Filho, TS Martins, HO Ferraz, YR Santos, PS Lopes, JE Grice, HAE Benson and VR Leite-Silva. Development of a nanotechnology matrix-based citronella oil insect repellent to obtain a prolonged effect and evaluation of the safety and efficacy. Life 2023; 13(1), 141.

[24] R Chen, OJM Coppes and RD Urman. Receptor and molecular targets for the development of novel opioid and non-opioid analgesic therapies. Pain Physician 2021; 24(2), 153-163.

[25] A Parveen, S Zahiruddin, N Agarwal, M Akhtar Siddiqui, S Husain Ansari and S Ahmad. Modulating effects of the synergistic combination of extracts of herbal drugs on cyclophosphamide-induced immunosuppressed mice. Saudi Journal of Biological Sciences 2021; 28(11), 6178-6190.

[26] Q Zhao, X Luan, M Zheng, XH Tian, J Zhao, WD Zhang and BL Ma. Synergistic mechanisms of constituents in herbal extracts during intestinal absorption: Focus on natural occurring nanoparticles. Pharmaceutics 2020; 12(2), 128.

[27] L Zhang, X Fang, J Sun, E Su, F Cao and L Zhao. Study on synergistic anti-inflammatory effect of typical functional components of extracts of Ginkgo Biloba leaves. Molecules 2023; 28(3), 1377.

[28] TY Chien, SK Huang, CJ Lee, PW Tsai and CC Wang. Antinociceptive and anti-inflammatory effects of zerumbone against mono-iodoacetate-induced arthritis. International Journal of Molecular Sciences 2016; 17(2), 249.

[29] A Rawat, S Kholiya, A Chauhan, D Kumar, KT Venkatesha, RK Upadhyay and RC Padalia. Chemical composition of the essential oil from different plant parts of Zingiber zerumbet Sm. grown in the foothills of Uttarakhand. Biochemical Systematics and Ecology 2023; 108, 104627.

[30] AR Han, MS Kim, YH Jeong, SK Lee and EK Seo. Cyclooxygenase-2 inhibitory phenylbutenoids from the rhizomes of Zingiber cassumunar. Chemical and Pharmaceutical Bulletin 2005; 53(11), 1466-1468.

[31] TY Chien, SK Huang, CJ Lee, PW Tsai and CC Wang. Anti-inflammatory constituents of Zingiber zerumbet. Food Chemistry 2008; 110(3), 584-589.

[32] P Khemawoot, N Hunsakunachai, T Anukunwithaya, K Bangphumi, B Ongpipattanakul, Jiratchariyakul, R Soawakontha, T Inthachart, T Dechatiwongse Na Ayudhya, S Koontongkaew and O Poachanukoon. Pharmacokinetics of compound D, the major bioactive component of Zingiber cassumunar in Rats. Planta Medica 2016; 82(13), 1186-1191.

[33] J Park, H Chung, SH Bang, AR Han, EK Seo, SE Chang, DH Kang and ES Oh. (E)-4-(3, 4-Dimethoxyphenyl) but-3-en-1-ol enhances melanogenesis through increasing upstream stimulating factor-1-mediated tyrosinase expression. PLoS ONE 2015; 10(11), e0141988.

[34] A Kaewchoothong, S Tewtrakul and P Panichayupakaranant. Inhibitory effect of phenylbutanoid-rich Zingiber cassumunar extracts on nitric oxide production by murine macrophage-like RAW264.7 cells. Phytotherapy Research 2012; 26(12), 1789-1792.

[35] H Kaur, U Bhardwaj and R Kaur. Cymbopogon nardus essential oil: A comprehensive review on its chemistry and bioactivity. Journal of Essential Oil Research 2021; 33(3), 205-220.

[36] P Phuneerub. 2014, Quality safety and efficacy evaluation of Cha Tu Ka La Thad and Tree Phon Thad remedies. Ph. D. Dissertation. Chulalongkorn University, Bangkok, Thailand.

[37] R Jayaganesh, P Pugalendhi and R Murali. Effect of citronellol on NF‐kB inflammatory signaling molecules in chemical carcinogen‐induced mammary cancer in the rat model. Journal of Biochemical and Molecular Toxicology 2020; 34(3), e22441.