Start Bootstrap Logo

Trends Sci. 2025; 22(8): 10085


Dendrimers in Medicine: Properties, Drug Encapsulation Mechanisms and Applications


Ehsan Kianfar


Young Researchers and Elite Club, Gachsaran Branch, Islamic Azad University, Gachsaran, Iran


(Corresponding author’s e-mail: [email protected])


Received: 3 March 2025, Revised: 27 April 2025, Accepted: 4 May 2025, Published: 30 June 2025


Abstract

Dendrimers are nano-sized, radially symmetric molecules with well-defined, homogeneous, and monodisperse structure that has a typically symmetric core, an inner shell, and an outer shell. Each group of dendrimers is very similar in terms of size, shape, length of branches, surface functional groups, and surface properties. Dendrimers can trap different molecules among their branches according to their size, surface properties (such as electrical charge), and functional groups, and prevent them from being affected by external factors. They can also release the molecules inside them according to environmental conditions. Dendrimers can be used to transport hydrophobic molecules in a hydrophilic environment and vice versa. These varied characteristics make dendrimers a good choice in the medical field, and this review covers their diverse applications.


Keywords: Polymeric, Drug delivery, Dendrimers, Medical, Pharmaceutical, Physicochemical


Introduction

Dendrimers are mostly symmetrical about their center. Another group of similar chemical compounds that are tree-like also have symmetry about a focal point [1-5]. Dendrimers are 0-dimensional branched molecules in nanoscale that consist of a central core from which many branches branch out step by step and in a repetitive manner similar to the branches of a tree. Each group of dendrimers is very similar in terms of size, shape, length of branches, surface functional groups, and surface properties [6-10]. Dendrimers can trap different molecules among their branches according to their size, surface properties (such as electrical charge), and functional groups, and prevent them from being affected by external factors [11-14]. They can also release the molecules inside them according to environmental conditions. Dendrimers can be used to transport hydrophobic molecules in a hydrophilic environment and vice versa [15-19]. In view of the above, dendrimers play an important role in the targeted transport and delivery of drugs. They can attach, transport and finally release various molecules to their surface due to the numerous functional groups on their


surface, which can also be used to target drug delivery to a specific area of the body [20-25]. Although the origin of dendrimers can be considered linear polymers and then branched polymers, the amazing structural properties of dendrimers and highly branched macromolecules are completely different from those of traditional polymers [26-31]. Despite the use of polymers in drug delivery systems, dendrimers have more advantages compared to them. They have limited dispersion and dimensions in the nanometer range, which makes it easier to pass through biological barriers [32-37]. Dendrimers can encapsulate guest molecules via receptors on their surface or within the cavities between the branches [38-40]. The unique properties of dendrimers, such as controlled size, Mono dispersity, and variable surface groups, make them desirable for biomedical applications [41-45]. The end groups in dendrimers can be functionalized with various therapeutic and imaging agents in a specific and controlled manner, which has the potential for their use in targeted drug delivery [46-50]. In addition, the presence of empty cavities in dendrimers is used to encapsulate hydrophobic drug molecules [51-53]. The presence of tertiary amine groups in Poly amidoamine dendrimers induces acid-base interactions and hydrogen bonds, as well as noncovalent interactions with encapsulated host molecules [54-57]. All these features make dendrimers suitable agents for the solubilization of hydrophobic drugs [58-61]. The emergence of polyethylene glycol-functionalized dendrimers, which are larger dendrimers, increases solubility in water and increases drug loading. Dendrimers are used in various fields: Pharmacology and drug delivery, synthesis of nanoparticles, sensors, gene delivery, blood exchange. With the increasing progress of nano pharmaceuticals, we are witnessing the use of dendrimers as suitable carriers for drugs [62-67]. The tight spherical shape of dendrimers, a class of 3-dimensional, nanoscale polymers, is what distinguishes them in solution (Figure 1). Although dendrimer research started in the 1990s, Tomalia et al. did not find the first family of high-branched polymers until 1931 [1-4]. The term dendrimers, which comes from the Greek word dendron, which means tree, was used to describe these extremely branching molecules [68-72]. Another group discovered these polymers at the same time and named them arborols, which is Latin for tree [73-78,221-224]. The remarkable structural characteristics of dendrimers and high-branched macromolecules differ greatly from those of conventional polymers, despite the fact that dendrimers may be regarded of as linear polymers that eventually became branched polymers [79-82,225-228]. Dendrimers provide greater advantages than polymers, even though they are used in drug delivery systems [83-87,229-231]. Their nanoscale size and modest polydispersity facilitate their passage across biological barriers [88-92,232-235]. Dendrimers have the ability to trap guest molecules in cavities between branches or transport them through receptors on their surface [93-97,236-240]. For biological applications including gene transfer, imaging materials, and the delivery of active medications, the creation of molecular nanostructures with the right particle size and shape has been taken into consideration [98-101,241-243]. The medicine can be delivered via dendrimer carriers via the skin, eyes, mouth, and lungs, among other linkages [102-105,244-245].



Figure 1 Monomeric units are layered one after the other around a central core (G0) in the fundamental structure of a dendrimer. Any monomeric unit can form a dendrimer as long as it has 2 or more functional groups that can be used to create new generations. Circles are used to represent surface functional groupings [252].




He et al. [304] reported a mannose conjugated PAMAM dendrimer for the targeted delivery of liver-x-receptor (LXR) ligands to macrophages as mannose can bind specifically to mannose reporter expressed on macrophage surface.

Pryor et al. [305]. studied the toxicity of PAMAM on embryonic zebrafish models and found that cationic PAMAM generation 6 was statistically more toxic than both neutral PAMAM generation 6 and anionic PAMAM generation 6 at the same concentration.


Method of preparation of dendrimer

Novel dendrimer structures were quickly synthesized using this technique (Click Chemistry). The strategy aims to create environmentally friendly, carbon-rich dendrimers. The most common processes for creating dendrimers are thiol-ene click reaction (TEC), thiol-yne click reaction (TYC), and copper-assisted azide-alkyne cycloaddition (CuAAC) [106-110]. These click reactions attracted a lot of interest because of their quantitative synthesis yields, low reaction conditions, and coupling specificity [111-116]. The branching units are expanded and linked to additional groupings. In order to produce a full dendrimer, developing branches are joined to a core when they reach a certain size (Figure 2) [178]. Compared to divergent synthesis, convergent synthesis has several benefits (a). Because there is less chance of side reactions, it makes it possible to better regulate dendrimer structure by increasing the likelihood of functional groups rising throughout the dendrimer’s structure and forming symmetric, well-defined dendrimers [117-122]. (b). With this approach, less chemicals are used. (c). Because purification is simple following each synthesis step, this approach yields purer compounds [123-126]. Despite the benefits listed, there are a number of issues with this approach; (a) Dendrimer surface functionalization is extremely challenging, and (b) the steric barrier shown in high generation dendrimers may be a challenge in their manufacture [127-132]. Dendrimers are classified according to their interior cavities, terminal functional groups, and form (Table 1).


Figure 2 Synthesis dendrimers by (A) Divergent method, (B) Convergent method [178].


Table 1 Types of dendrimers.

Type of dendrimer

Synthesis

Identification

Polypropylene imine (PPI) dendrimer

Divergent

[185-186]

Polyamidoamine (PAMAM) dendrimer

Divergent

[187-189]

Frechet-type dendrimer

Convergen

[190]

Core-shel tecto dendrimer

Divergent

[191]

Chiral dendrimer

Convergen

[192]

Liquid crystalline dendrimer

Convergen

[193]

Peptide dendrimer

Convergen

[194,195]

Multiple antigen peptide dendrimer

Divergent and convergent

[196]

Glycodendrimer

Divergent and convergent

[197]

Hybrid dendrimer

Divergent

[198]

Polyester dendrimer

Divergent

[199,200]


Features of dendrimers

Dendrimers are either very poorly defined or have a restricted structural variety as compared to other nanoscale synthetic structures (such as carbon nanotubes, buck balls, or conventional polymers) [133-136,246-248]. The characteristics of the surface groups have a significant impact on the solubility of dendrimers [64-66]. For instance, dendrimers become soluble in polar solvents when hydrophilic groups are present, while they become more soluble in non-polar solvents when hydrophobic end groups are present [137-142,249-251]. Although there are many compounds with potent therapeutic qualities, they are not employed for medicinal reasons due to their insoluble nature [143-147]. Water-soluble dendrimers have the ability to attach to hydrophobic compounds that have antibacterial or antifungal qualities [148-151]. These complexes are regarded as drug delivery systems because of the potential for the bound drug to be released upon interaction with the target species [152-157]. Dendrimers are perfect for biological applications because of their special qualities, which include changeable surface groups, monodispersed, and regulated size [158-161]. Targeted delivery may be possible since different therapeutic and imaging agents can functionalize the end groups in dendrimers in a particular and regulated way [162-166]. Hydrophobic medicinal molecules are also encapsulated in dendrimers’ unfilled holes. Because type III amine groups create non-covalent interactions with the enclosed host molecules, they form hydrogen bonding and acid-base interactions in polyamidoamine dendrimers (PAMAM = Polyamidoamine) [167-172]. The advent of bigger dendrimers functionalized with polyethylene glycol (PEG) results in improved drug loading and water solubility [173-176]. Ibuprofen has been encapsulated and their absorption into cells monitored using amine-functionalized “PAMAM” dendrimers of generation G3 and G4 [73-78].


Types of dendrimers

Due to their symmetrical forms, single scattering, and branching structure, several dendrimers with distinct functionalities have been synthesized in recent years for use in laboratory and experimental study. These are a few dendrimers with various characteristics [79,80].


Liquid crystal dendrimers

Mesogenic monomers, or liquid crystals, like mesogenic carboxylane dendrimers, are examples of these dendrimers. Sin Namville groups were used to create the first liquid crystal dendrimer [177-180]. They can deliver targeted medications because of their E-Z isomerization characteristics. Liquid crystal dendrimers [81,82] are seen in Figure 3.


Figure 3 Liquid crystal dendrimers [179].


Tecto-dendrimers

A core dendrimer encircled by surrounding dendrimers makes up tecto-dendrimers. The PAMAM dendrimer’s single-shell core is seen in Figure 4. The Michigan Institute of Nanotechnology has developed tecto-dendrimers for biological and therapeutic applications that may be used for drug administration, disease site diagnostics, patient cell detection, treatment effectiveness, and status reporting [181-185].


Figure 4 Core-shell PAMAM Tecto-dendrimers [180].


Chiral dendrimers

The existence of branches that are architecturally entirely distinct but chemically identical (chiral species) is what causes chirality in dendrimers [186-190]. Chiral dendrimers are also useful for targeted medication release and chiral component detection in the body because of the variations that may be employed despite the presence of chiral compounds in these species. Chiral dendrimers [1-4,28-30] are shown in Figure 5.


Figure 5 Chiral PAMAM dendrimer (1) - (4) series structure [181].

PAMAMOS dendrimers

Poly (amidoamine-organosilicon) dendrimers that are organized radially (PAMAMOS = poly (amidoamine-organosilicon)) form single-molecule micelles with an organosilicon (OS) on the exterior and nucleophilic polyamidoamine (PAMAM) within. A PAMAMOS dendrimer [191-195] is depicted in Figure 6.


Figure 6 (a) PAMAMOS dendrimers [182] and (b) Generalized illustration of the dendrimer structure of PAMAMOS. Blue: External OS branch cells; red: Inside PAMAM branch cells. I stands for the core atom or atomic group; X for inert or reactive end-groups; generations are indicated by the numerals 1, 2, 3, 4, …; PAMAM-PAMAM, PAMAM-OS, and OS-OS chemical bonds are represented by the letters a, b, and c, respectively [184].



Hybrid dendrimers

Dendritic and linear polymers combined in hybrid components or joined copolymer forms are known as hybrid dendrimers [196-200]. Hybrid dendrimers [1-4] are seen in Figure 7.


Figure 7 Hybrid dendrimers [183].



Peptide dendrimers

Peptide dendrimers are those that have peptides on their body surface, as opposed to regular dendrimers and dendrimers that include amino acids. These peptides may be found in nucleus or branching units [201-204]. Peptide dendrimers are essential in several areas, including cancer, antibacterial, antiviral, central nervous system, anesthetic, asthma, allergy, and calcium metabolism, because of their biological and therapeutic qualities [205-210]. Peptides are highly helpful for medication delivery because they are absorbed into the cell [211-214]. Peptide dendrimers are shown in Figure 8.


Figure 8 Peptide dendrimers [1].



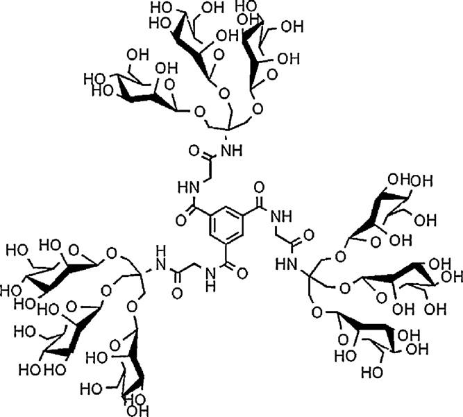
Glycodendrimers

The promise of glycodendrimers as multivalent probes for glycobiology has undoubtedly been the main factor behind the development of techniques for their manufacture and investigation [215-218]. As a result, the majority of scientists working in this sector have looked for biological uses for the amazing compounds they have created. We shouldn’t discount the possibility of glycodendrimers as innovative and useful materials, nevertheless, as the promise of polymers with unique characteristics in the context of a material generally motivated the early development of dendrimers [219-224]. In this context, the authors’ group created unique discotic liquid crystals called glucosyl–TRIS dendrimers based on triphenylene cores (Figure 9). Since both of these molecules are known to produce liquid crystalline columnar mesophases, they may be thought of as a “constitutional marriage” between traditional thermotropic discotic molecules based on n-alkoxytriphenylene derivatives and amphiphiles based on carbohydrates. As a result, 2 first-generation dendrimers were created using a traditional convergent method, each with a different number of methylene units (5 and 10) in the spacers between the dendrons and cores [225-229]. This design can be interpreted as either the addition of a “functional” core, which has the ability to self-assemble into columnar stacks, to a glycodendrimer or as the addition of glycodendron groups to previously identified liquid crystalline materials, which could change the properties of the materials. The characteristics of the 2 dendrimers in Figure 9 are radically different. The compound with a longer 10-carbon linker between the core and glycodendrimer end groups forms hexagonal columnar stacks that give rise to a fluid birefringent texture between 165 and 220 °C, which can be seen by polarizing microscopy [230-235]. In contrast, the compound with only 5 methylene units in the linkers exhibits no mesomorphic behavior under an optical polarizing microscope and an X-ray diffusion pattern consistent with an amorphous solid. The comparatively large glycodendrons in this instance do not interfere with the triphenylene units’ capacity to form columnar stacks, as evidenced by the strong peak in the powder X-ray study that corresponds to a 3.6 Å π-π stacking distance between the triphenylene units [236-243]. A comparison of the 2 dendrimers’ computed radii indicates that the arrangement of the dendrons around the cores, as permitted by their individual hydrocarbon spacers, is what gives them their distinct characteristics. The dendrons in the compound with the shorter spacer provides a steric shield around the core, which stops neighboring molecules from stacking π-π to form columns [244-250]. The bulky end groups can fit in the area surrounding the cores of the bigger molecule because the spacers are looser. As organic templates in biomimetic mineralization processes, chiral amphiphilic liquid crystalline dendrimers like these are expected to find use. The term “glycodendrimer” refers to dendrimers that have carbohydrates in their structure [251-255]. A Glycodendrimers dendrimer is seen in Figure 9.


Figure 9 Carbohydrate-coated glycodendrimer [1].


PAMAM Dendrimers

PAMAMs, which are widely used in medication delivery, are one kind of dendrimer. A dendrimer PAMAM with 3 generations [101-103] is shown in Figure 5. Many PAMAM dendrimers with changed levels have changeable end amines that may bind to various guest or target molecules, are water soluble, and do not stimulate the immune system [104-106]. Because of its special structure, which includes triple amine and amide linkages, PAMAM dendrimers’ interior cavity may accommodate metal or guest molecules [256-260]. The PAMAM Dendrimers are shown in Figure 10.



Figure 10 3 Generation (G3) PAMAM Dendrimer [38].




Mechanisms of drug loading in dendrimer carriers

Physical encapsulation of drug molecules

The ability of dendrimers to encapsulate guest molecules in their interior cavities is one of its most significant characteristics. Vogtle et al. nvestigations (Figure 11) [1-4,111-114] showed the first physical encapsulation of low-soluble drug molecules in the empty cavity of dendrimers. The hydrophobic drug attaches to the non-polar nucleus through hydrophobic interactions when the polymer and drug solution are simply combined [42,115-117]. A series of non-covalent interactions, including hydrophobic forces, hydrogen bonds, spatial barriers, and electrostatic interactions, regulate the release of encapsulated molecules in the aqueous medium once physical contact between the host and dendrimeric carrier molecules has been established [43,118-121]. The polymer’s structure, particularly the inner cavity’s characteristics, must be carefully taken into account in order to optimize the loading capacity of medicinal molecules by dendrimers [44,261-264].


Figure 11 Drug compounds that is hydrophobic within holes [43].


Chemical binding of drug molecules

In order to regulate and briefly release bound medications, anticancer drugs chemically connect to dendrimer surface groups [126,127]. Numerous anticancer medications and imaging substances can attach to dendrimers due to their numerous surface groups and adaptable chemical structure [265-270]. However, the dendrimer’s spherical and compact shape is preserved in solution (Figure 12).


Figure 12 Drug molecules on the surface of dendrimers (red) [45].



Direct connection of the drug to the dendrimer

This technique uses receptors on the dendrimer surface to capture drug molecules by a variety of junctions [271-274]. According to experiments, the dendrimer binding process primarily enhances the solubility of the loaded medication in the case of some therapeutic compounds, such as anticancer treatments, but restricts the drug’s release and anticancer efficacy in both clinical and laboratory settings. One essential factor in preventing their start is the presence of an anti-cancer medication on the dendrimer’s surface [48,12-134].


Light sensitive connection

The antennae on dendrimers are made to receive light. Absorption pigments on the outer surface of these dendrimers transport light energy to other pigments in the nucleus [275-279]. The cavity may open or close in response to light from the dendrimer optical receptors, allowing the trapped drug to either be released or absorbed [280-282]. Archut et al. published an example of such optical antennas. Photochemical pore opening occurred in the dendrimer (polypropylene imine with the 32-end group of azobenzene) (Figure 13). This dendrimer’s azobenzene groups can be reversed by optical isomerization. When exposed to 313 nm light, isomer E transforms into Z form; at 254 nm or heat, it reverts to its original isomeroulia, E. These dendrimers can serve as a light-switching host for eosinY, a red crystalline powder with the formula C20H8O5Br4 that is employed in biology to stain cells when combined with sodium or potassium ions. Guest molecules are released as a result of these photochemical alterations on the dendrimers’ surface [283-287].



Figure 13 A sample of azobenzene E, Z isomers and a dendrimer with terminal azobenzene groups [1].


Dendrimer drugs

Dendrimers may readily pass through biological barriers because of their nanoscale size. By bonding, this characteristic enables dendrimers to retain host molecules within or on their surface [54].


Dendrimers in dermal drug delivery

Dendrimers have recently been used in dermal delivery methods. Hydrophobic groups in the structure of bioactive medications typically decrease their water solubility and hinder efficient drug delivery to cells. Conversely, dendrimers, which are extremely biocompatible and water-soluble, might enhance the solubility and efficient delivery of medications [288-292]. Although nonsteroidal anti-inflammatory medicines (NSAIDs) are particularly successful in treating osteoarthritis and both acute and chronic rheumatism, their clinical usage is frequently restricted by intestinal, gastrointestinal, and renal adverse effects when administered orally. These negative effects are avoided by dermal treatment, which also keeps the blood’s healing level stable for a long period. The poor distribution rate caused by skin barriers is one of the drawbacks of dermal delivery. In lab experiments on rat skin that had been injured, ketoprofen attached to PAMAMG5 dendrimers revealed that the secretion of ketoprofen from the ketoprofen-dendrimer complex was 1.5 times more than that of ketoprofen contained in regular saline. Rats were used to test the medications’ analgesic effects. According to the findings, pure ketoprofen lowers pain feelings between 2 and 5 h after dermal administration, but the ketoprofen-dendrimer complex reduces pain within 2 to 3 h [55,56,145-147]. A number of variables, such as generation size, dendrimer concentration, pH, core, and internal branching, influence the solubilization of NSAIDs [87]. A number of NSAIDs have been effectively complexed with or encapsulated into various dendrimers; Table 2 displays the findings of these investigations. Table 3 displays the findings of scientific research on the use of both modified and unmodified dendrimers in the administration of anticancer medications.


Table 2 Dendrimers as carriers of NSAIDs.

Drug

Type of dendrimer

Effects of conjugation

Indometacin

4-Carbomethoxy-pyrrolidone PAMAM

[201,202]

Ibuprofen

Resorcinarene- PAMAM dendrimers

[203]

Ketoprofen

Peptide dendrimers

[204]

Celecoxib (COX-2 inhibitor)

Biotinylated PAMAM G3 dendrimers

[205,206]

Ketoprofen

PAMAM dendrimers

[207]

Diclofenac

Polyamidoamine dendrimer

[208]

Ibuprofen

Cationic carbosilane dendrimers

[209]

Piroxicam

PPI dendrimers

[210]

Ketoprofen

PAMAM dendrimers

[211]

Flurbiprofen

Poly(epsilon-lysine) dendrimers

[212]



Table 3 Dendrimers as carriers of anticancer drugs.

Drug

Type of dendrimer

Effects of conjugation

Docetaxel

Trastuzumab-grafted PAMAM dendrimers

[213]

Docetaxel or Paclitaxel

PAMAM-trastuzumab dendrimers

[214]

Cisplatin

PAMAM dendrimers

[215]

Paclitaxel

PEGylated PAMAM dendrimers

[216]

Paclitaxel

Octa-arginine modifed PAMAM dendrimers

[217]

5-Fluorouracil

PAMAM dendrimers

[218]

Methotrexate

Glycosylated one-step PAMAM dendrimers

[219]

Doxorubicin

β-cyclodextrin-decorated PAMAM dendrimers

[220]



Oral delivery of dendrimers

Due to its significant advantages and positive patient feedback, the oral medication administration system has long been regarded as the most popular approach [148]. However, this system’s shortcomings include limited intestinal barrier penetration and low water solubility [292-296]. It was investigated how well the insoluble medication naproxen penetrated the epithelium [148,149]. The stability of the medication attached to the G0 PAMAM dendrimer was examined in 80 % of human plasma and 50 % of homogenized liver. According to the findings, the inactive medication was held via the lactate ester linkages in the homogenized liver with delayed hydrolysis and great plasma stability [150]. The pair could be eligible for a restricted release. The resultant pair will have great chemical stability if diethylene glycol binders are utilized, but it will release the medication into the liver and homogenized plasma very soon. As a result, these pairings improve oral absorption as nano carriers [1-4,56-58].


Dendrimers in ocular drug delivery

Everyone agrees that intraocular medications have a limited bioavailability. The evacuation of the solution by tears and the drainage of extra fluid via the nasal mucosa are the causes of this problem. Sterile, isotonic, biocompatible, and bioavailable systems are ideal for ocular medication administration and should not be disregarded. Complex issues with medication distribution in the eyes can be effectively resolved by dendrimers. PAMAM dendrimers with carboxyl or hydroxyl surface groups have been used in recent studies to extend the shelf life of pilocarpine in the eye [59,151-153].


Dendrimers in pulmonary drug delivery

Pulmonary medicine has also made use of dendrimers. The effectiveness of PAMAM dendrimers in boosting enoxaparin’s pulmonary absorption was examined in one research. The absorption of enoxaparin is increased by 40 % by positively charged PAMAM dendrimers of generations G2 and G3. This effect is absent in G2.5 PAMAM, a half-generation dendrimer with negatively charged carboxyl groups [59,154-156].


Dendrimers in targeted drug delivery

Due to the non-selective use of extremely powerful medications, general cancer chemotherapy is currently less successful in treating tumors. An alternate method of treating cancer that also increases therapeutic indicators and decreases medication resistance is to target tumor cells with drug delivery devices [59,157-160].

Because of their perfect characteristics, dendrimers can be used in targeted drug delivery systems. Folic acid is among the most potent targeted agents that dendrimers can provide. Many different kinds of cancer cells have membrane folate receptors, which are proteins attached to folate that are widely distributed on their surfaces. PAMAM dendrimers bind to fluorescein isothiocyanate for imaging and folic acid to target tumor cells. The complementary oligonucleotide is then where the 2 molecules bind. Different medications can be coupled with various targeting and imaging agents because to this DNA-dendrimer aggregation. In a different trial, methotrexate was linked to dendrimer-bound folic acid, which was utilized as the targeted agent. The kit was administered and tested on animals with human KB tumors and compromised immune systems. The proportion of administered dosage, particularly in tumor cells, is demonstrated by bio-dispersion tests employing a targeted polymer complex (including folic acid, tetrahydrofolic acid, folic acid-(glutamic acid-13C5), vitamin B12, and biotin). Additionally, on the first day following injection, the dendrimeric complex is quickly and clearly removed through the kidney [59,161-163].


Dendrimers for controlled drug release

Units of polyethylene glycol (PEG) affixed to the dendrimer surface were utilized to enhance the solubility in water. G3 PAMAM dendrimer was attached to PEG. The produced kit contained methotrexate, which was then evaluated for drug release in a dialysis bag [164,165]. In contrast to the unencapsulated medication, the PEG-dendrimer complex conjugates with the encapsulated drug and extends the release of methotrexate. Four G4 (PAMAM) dendrimers with an amino end allow for the controlled release of fluoroprofen [166,167]. The constructed dendrimeric set demonstrates that the drug loaded has a gradual release after a quick initial release [1-4,52-59].


Dendrimers for diagnostic applications

Dendrimers come in more than 50 families, each with special characteristics and a range of applications for their outer, inner, and core surfaces. Diagnostic techniques also make use of dendrimers [168-170]. A novel approach to cardiac testing has been established by Dade International. Using this technique, dendrimers affix the blood sample’s proteins to immunoglobulins that are adhered to glass. The findings will be displayed if the heart muscle is damaged. The wait time for blood test results is greatly shortened to around 2 min using this technology [171-173]. When conducted in a dendrimer-free IgG solution, the same test takes longer than 2 min. Additionally, the test’s sensitivity and accuracy are increased when dendrimers and antibodies are paired. Dendrimers can be utilized as a timed-release device for biologically active substances or as a coating agent to protect or distribute medications to particular parts of the body [174-177].

Although fluorouracil (5FU) is extremely toxic, it has good anticancer efficacy. PAMAM acetylated dendrimers lessen the toxicity of 5FU by slowing its release. Anticancer medications seem to be well transported by these dendrimers. Preclinical research has examined dendrimers as a differentiator for nuclear magnetic resonance imaging (MRI). The method’s sensitivity and specificity are increased by the inclusion of a differentiating agent, such as paramagnetic metal cations [1-4].


Biomedical applications

Cancer therapy

Today, the types of treatments for treating cancer patients have saved many. However, the side effects of treatment are stiff and affect the whole body due to the nonspecificity of the chemotherapeutic agent. Cancer is a very complex biological phenomenon and can be considered a disease of many diseases. One indicator of low-club cells is that they become rapidly and out of control and do not proliferate. Current chemotherapy primarily aims to destroy all cells that are split rapidly. The drawback of this treatment is that other body cells, such as the hair follicles and intestinal epithelium, also grow rapidly. Therefore, patients will be able to deal with life-changing side effects. The development of nanoparticles offered new possibilities for chemotherapy. Intelligently designed nanoparticles target targeted drug collection in tumors or specific groups of cells to avoid toxic effects of other normal tissues and organs. Several systems have been tested to provide this type of treatment [216].

Micelles and liposomes provide another option for the submission of chemotherapeutic agents. Furthermore, micelles are also the best way to dissolve insoluble drug therapy due to their hydrophobic core and hydrophilic shell. As the surface of micelles continues to be pegylated, the Nano craters increase the ability to pass passive transport, resulting in higher drug concentrations of the tumor. From now on, there are several polymers, including anticancer drugs, NK012, NK105, NK911, NC-6004, SP1049C, under clinical research and such systems, under the genexol PM (Paclitaxel) [217].

Dendrimers are highly branched polymers, and their absorption, distribution, metabolism and removal (ADME) with many functional groups available for adhesion of drugs, targeting agents and imaging agents depends on a variety of structural features. It was reported in polyfunctional dendrimer systems for localization (folic acid), imaging (fluorescein), and treatments of anticancer drug methods. Dendrimer-based nanoplatelet therapeutics can use biocompatible components to improve the therapeutic index of cytotoxicity, and improve surface modification using pegylation, acetylation, glycosylation, and various amino acids [218].


Diagnostic testing

The use of nanoparticles for diagnostic purposes is an area that is currently unavailable for clinical applications, but is highly explored in science. Current techniques for diagnostic testing due to insufficient fluorescent markers provide answers for fluorescent nanoparticles to overcome these complaints, including individual use, color adjustment, color adjustment due to bleeding effects, and limited use of dyes [219].

Recently, thermal nanoparticles, nanoparticles, which can be used for treatment and diagnosis, have been paying a lot of attention. This strategy was realized with many classes of nanoparticles, including drug conjugation, dendrimers, tension aggregation (micelles and vesicles), core-shell particles, and carbon nanolars. By suppressing drugs and images with different smart formulations, the pathways and localization of these nanoparticles can be monitored to target and drug reality to assess treatment response [220].


Nutraceutical delivery

Nutraceuticals is a food and is a standardized component with outstanding health benefits. They are usually consumed as supplements to various allopathic treatments, achieving additional health benefits and reducing the risk of several chronic diseases. Like other drugs, the effectiveness of orally consumed nutrients is affected by interactions between food matrix, water solubility, degradation/metabolism, and epithelial permeability. Most nutrient fluids are lipophilic molecules such as fat-soluble vitamins (A, D, E and K), multiple lipids and other phytochemicals. Nanotechnology once again provides extensive support, with most studies aimed at improving the resolution mechanism of nutrients through nanoparticles [221].

Anti-inflammatory, antioxidant, anti-apoptotic, and anti-angiogenic, among which the best known and examined nutrients, anti-apoptotic and numerous nutritional supplements for testing are curcumin (daibirroylmethane). Because it is essentially water-insoluble and has very poor bioavailability, various methods have been implemented to tackle this problem, such as liposomes, phospholipid vesicles, and polymer-based Nano oxidation. 9 times oral bioavailability of curcumin was observed compared to curcumin played with pipeline (absorption amplifier). Another study of colloidal nanoparticles from curcumin synchronized relative to curcumin powder showed a 40-fold higher region under the curve (AUC), indicating healthy, healthy human and inhibitory effects on alcoholism [222].


Photodynamic therapy

Photodynamic therapy (PDT) is based on the activation of photo scleritis with visible or near-infrared (NIR) light. During the proposal, a very energetic state is formed. This provides highly reactive singer saliva that can induce necrosis and apoptosis of tumor cells after reaction with oxygen. Dendritic delivery of PDT active ingredients has been investigated in recent years to improve tumor selectivity, retention and pharmacokinetics [72-75].


Dendrimers used for enhancing solubility

PAMAM Dendrimer is expected to have potential uses to improve the solubility of pharmaceutical delivery systems. Dendriere has hydrophilic exteriors and interiors that cause the properties of its monomolecular micelles. The dendrimer-based airline offers opportunities to improve oral bioavailability of problematic drugs. Thus, Dendrimer-Nano supports the potential to improve the solubility of efflux transporters and/or bioavailability of medicinal products that are substrates [70,71].

Surface stealth modification during body circulation: Charge-reversal dendrimers

Another idea is to deactivate the cationic surface charges of dendrimers during blood circulation to minimize the nonspecific cellular uptake and adsorption and then reactivate the positive surface charges once inside the target tissues or cells. This is the basis for making charge-reversal or charge-switchable dendrimers. Cues including temperature, pH, osmotic pressure, and biological signals may be utilized to reverse charges on the dendrimer surface [85-91]. We summarize the recently reported charge-reversal chemistries in Table 4. In general, the transformation from negative charge to positive charge is conducive to the stability of the materials in the blood circulation and their endocytosis, while the transformation from positive charge to negative/neutral charge is helpful to improve the release of nucleic acids.


Table 4 Surface charge-reversal chemistries.

Charge reversal

Chemistry

Stimuli

Ref

Negtive


Shape1


Positive

pH

[297]

Negtive

Shape2



Positive

pH

[297]

Negtive


Shape3


Positive

pH

[297]

Negtive


Shape4


Positive

Enzyme: γ-glutamyl transpeptidase (GGT)


[298-300]

Positive


Shape5


Negtive

ROS


[301]

Positive


Shape6


Negtive

ROS


[302]

Positive


Shape7


Neutral

pH


[303]


Applications in different routes of drug administration

Now, dendrimer‐drug complexes or conjugates have already been evaluated in different routes of drug administration systems, such as intravenous/intraperitoneal/intratumorally, oral, transdermal, and ocular drug delivery systems (Tables 5 and 6). Before conducting applications of dendrimers in clinical or preclinical trails, we should consider “Which is the most suitable administration route for the prepared dendrimer‐drug formulation ?” and discuss the safety or benefits of administration of the formulations in these routes. Biodistribution and pharmacokinetics are key factors in clinical trials of these applications. In this issue, these problems will be well expatiated by detailed applications.


Table 5 Proposed applications of dendrimers in intravenous/intraperitoneal/intratumoral drug delivery routes

Guest molecules

Dendrimers

Interaction pattern

Goal

Administration route

Ref

Cisplatin

G3.5 PAMAM

Conjugation

Cancer chemotherapy

Intravenous

[56]

5‐Fluorouracil

PEG modified G4 PAMAM

Simple encapsulation

Pharmacokinetic studies

//

[80]

Indomethacin

G4 PAMAM

Electrostatic interaction

Anti‐inflammatory

//

[81]

Flurbiprofen

G4 PAMAM

//

Anti‐inflammatory

//

[82]

Primaquine phosphate

Galactose coated PPI

Simple encapsulation

Liver targeting

//

[83]

Methotrexate

Folic acid coated PAMAM

Conjugation

Cancer chemotherapy

//

[76]

Boron

EGF conjugated PAMAM

//

Boron neutron capture therapy (BNCT)

//

[89]

//

//

//

BNCT

Intravenous and intratumoral

[88]

//

//

//

BNCT

Intratumoral and convection enhanced delivery

[70]

//

Antibody conjugated PAMAM

//

BNCT

Intraperitoneal

[86]

//

Antibody conjugated PAMAM

//

BNCT

Intratumoral

[68,69]

Glucosamine

G1 PAMAM

//

Biological modulators

Intraperitoneal

[66]

Porphyrin

5‐Aminolaevulinic acid

//

Photodynamic therapy

Intraperitoneal

[64]

DNA

G9 PAMAM

Electrostatic interaction

Lung gene transfection

Intravenous

[90,91]

//

PAMAM‐cyclodex‐trin conjugate

//

Spleen gene transfection

//

[90]

//

Mannose‐PAMAM‐cyclodextrin conjugate

//

Kidney gene transfection

//

[92]

111In‐labeled oligo‐DNA

G4 PAMAM and G4‐biotin conjugate

//

Kidney and lung gene transfection

//

[93]

DNA

PAMAM dendrimers and avidin

//

Tumor targeting

Intraperitoneal

[67,71]

DNA

PPI

//

Liver gene transfection

Intravenous

[94]

DNA

PPI with methyl quaternary ammonium

//

Liver gene transfection

//

[95]

Gene medicine

G3 PPI

//

Intratumoral gene transfection

//

[94]

DNA

PEG modified PPI

//

Transfection agents for DNA enzymes

//

[96]

DNA

PAMAM

//

Inhibition of tumor growth and angiogenesis

Intratumoral

[95]





Table 6 Proposed applications of dendrimers in oral/transdermal/ocular drug delivery routes.


Guest molecules

Dendrimers

Interaction pattern

Goal

Administration route

Ref

Lipidic dendrimer

Absorption ability by different tissues

Oral

[100]

Various PAMAM dendrimers

Intestine uptake of PAMAM dendrimers

Oral

[101]

Polylysine dendrimer

Oral uptake and translocation

Oral

[102]

Propranolol

G3 PAMAM

Conjugation

Improve oral bioavailability

Oral

[104]

5‐Fluorouracil

Fatty acid and phospholipid coated PAMAM

Simple encapsulation

Improve oral bioavailability

Oral

[105]

Ketoprofen

G5 PAMAM

Electrostatic interaction

Anti‐inflammatory and improve oral bioavailability

Oral

[106]

Tamsulosin hydrochloride

G3 PAMAM

Simple encapsulation

Enhance transdermal delivery efficacy

Transdermal

[110]

Tamsulosin hydrochloride

G2.5 and G3 PAMAM

Simple encapsulation

Transdermal mechanism

Transdermal

[111]

Indonmethacin

G4 and G4.5 PAMAM

Electrostatic interaction

Anti‐inflammatory

Transdermal

[52]

Ketoprofen and diflunisal

G5 PAMAM

Electrostatic interaction

Anti‐inflammatory

Transdermal

[112]

CAT reporter transgene

PAMAM

Electrostatic interaction

Skin gene transfection

Transdermal

[113]

Pilocarpine nitrate and tropicamide

PAMAM dendrimers

Simple encapsulation

Miotic activity and mydriatic activity

Ocular

[115]

Glucosamine and glucosamine 6‐sulfate

G3.5 PAMAM

Conjugation

Prevent scar tissue formation

Ocular

[122]

Collagen

G2 PPI

Conjugation

Corneal tissue‐engineering scaffold

Ocular

[123]

Collagen

Cell adhesion peptide modified PPI

Conjugation

Corneal tissue‐engineering scaffold

Ocular

[124]

ODN‐1

Lipid–lysine dendrimers

Electrostatic interaction

Prevent ocular neovascularisation.

Ocular

[126]









Conclusions and future research

A high degree of branching, a well-defined molecular weight, a globular shape, and nanoscale size are some of the characteristics that identify dendrimers. Based on their structural characteristics, dendrimers may be classified into distinct categories that offer innovative delivery systems for a range of medicinal substances. Dendrimers are an excellent choice for nanomedicine, especially drug delivery, due to their appealing qualities, which include strong control over branching length, size, and form as well as tremendous design flexibility. Drugs can be successfully integrated into dendrimers’ structure through a variety of interactions due to the promising structure of dendrimers. Dendrimers can be used to increase a drug’s permeability, toxicity, solubility, bioavailability, and biocompatibility. Researchers have focused a lot of emphasis on the benefits that dendrimer nanostructures offer, not only in drug delivery but also in illness detection and treatment. Dendrimer-based nanomedicines have seen a significant increase in patents and scholarly publications recently. Many of these nanomedicines are either in clinical studies or have been marketed. Certain items are anticipated to go through clinical trials in the future due to the quick advancements in dendrimer-based nanomedicines. The analytical characterization and scale-up creation of dendrimers and their products are 2 difficulties that arise in the use of dendrimer-based nanomedicines. Advanced analytical techniques may be required to fully define the produced product due to the complicated structure of dendrimers and their complexes or conjugates with ligands or medicines. Furthermore, because dendrimer synthesis often requires many procedures, the scale-up generating process presents another significant barrier in the development of dendrimer-based nanomedicines. For manufacturing to scale up, dendrimer production must be highly stable and reproducible. Hopefully, this overview of dendrimer uses in nanomedicine clarifies the potential of dendrimers and confirms a higher degree of hope for their future use in drug delivery, diagnostics, and treatment.

Interest in dendrimer chemistry has grown ever since the first dendrimer was created. The creation of well-controlled dendrimer structures with a large number of surface groups is the result of advancements in synthetic and controlled polymerization processes. This article discusses dendrimers in a very specific manner and outlines 2 methods for preparing them: Divergent and convergent. We shall familiarize ourselves with the characteristics and varieties of dendrimers in this text.

Generally speaking, dendrimers can contain biomolecules or medications within their cavities or on their surface. One of dendrimers’ properties is the regulated release of their host molecules into the target tissue, which can help reduce medication consumption and some of its negative consequences. They do, but they also possess qualities that make them highly appealing. Dendrimers are perfect carriers for various applications because of their controllable characteristics, which include size, shape, branch length, and surface qualities. Depending on the kind of medicine, drug delivery may occur through the skin, mouth, eyes, or lungs. The dendrimer can also be helpful in the diagnostic process and can contain imaging agents and anticancer medications. The processes of drug loading in dendrimer carriers vary.

Nanomedicine is currently one of the most exciting areas of research. Using a variety of nanoparticles to deliver precise amounts of drugs to damaged cells, such as cancer cells, without disrupting the physiology of normal cells, the use of nanomedicine and nanodrug delivery systems is certainly a growing trend. The examples of nanoparticles shown in these communications are not uniform in size, some of which are truly measured in nanometers while others are measured in the sub-micrometer range (greater than 100 nanometers). The use of metallic nanoparticles, including gold and silver, in both diagnostics and therapy is an area of research that could potentially lead to a wider application of nanomedicines in the future. One of the main interests in this direction involves gold nanoparticles, which appear to be well absorbed into soft tumor tissues and render the tumor susceptible to radiation (e.g., in the near infrared region). Despite the widespread understanding of the future prospects of nanomedicine and nanodrug delivery systems, their actual impact in the healthcare system, even in cancer treatment/diagnosis, remains very limited. This is because this field is a new field of science with only 2 decades of real research on the subject and many key fundamental properties are still unknown. Basic markers of diseased tissues, including key biomarkers that allow absolute targeting without altering the natural cellular process, are a major area of future research. Ultimately, the application of nanomedicine will advance with our increasing knowledge of diseases at the molecular level or the identification of markers comparable to the size of subcellular nanomaterials to open avenues for new diagnostics/therapy. Hence, understanding the molecular signatures of disease will lead to future advances in nanomedicine applications. The concept of controlled release of specific drugs at confined sites, the technology to assess these events, the effect of the drug at the tissue/cellular level, as well as the mathematical theoretical models of prediction are still to be perfected. Several studies in the field of nanomedicine have focused on biomaterials and formulation studies, which appear to be the early stages of biomedical applications. Valuable data in potential applications as therapeutic and diagnostic drug studies are obtained from animal studies and multidisciplinary research, which requires significant research time and resources. With the growing global trend towards more precise drug discovery and diagnosis, the future looks bright for a smarter and more multidisciplinary approach to nanomedicine and nanodrug delivery. There is great enthusiasm with the view of simplifying the development of nanorobots (and nanodevices) that function in tissue recognition and repair mechanisms with complete external control mechanisms. However, like their benefits, the potential risk of nanomedicines to both humans and the environment in general requires long-term study. Hence, appropriate impact analysis of the possible acute or chronic toxic effects of new nanomaterials on humans and the environment should be analyzed. As nanomedicines gain popularity, their cost-effectiveness is another area of investigation that requires further research input. Initially, the use of nanotechnology was mainly based on increasing the solubility, absorption, bioavailability and controlled release of drugs. Good examples of therapeutic application of nanotechnology are berberine, curcumin, ellagic acid, resveratrol, curcumin and quercetin. The efficacy of these natural products has been greatly improved through the use of nanocarriers formulated with polymeric nanoparticles of gold, silver, cadmium sulfide and titanium dioxide along with solid lipid nanoparticles, crystal nanoparticles, liposomes, micelles, superparamagnetic iron oxides and iron nanoparticles. There has been a continuous demand for new natural biomaterials due to their biodegradable, biocompatible, readily available, renewable and low toxicity qualities. One of the great interests in the development of nanomedicine in recent years is related to the integration of therapy and diagnostics (theragnostic), an example of which is cancer as a disease model. Good examples include iron oxide nanoparticles encapsulated with oleic acid for near-infrared diagnostic applications. Since the 1990s, the list of nanotechnology-based products and FDA-approved clinical trials has grown exponentially, including synthetic polymeric particles. Liposome formulations; micellar nanoparticles; protein nanoparticles; nanocrystals, and many others are often combined with drugs or biologics. Although regulatory mechanisms for nanodrugs, along with safety/toxicity assessment, will be the subject of further development in the future, nanomedicine is already revolutionizing the way drugs are discovered and administered in biological systems.

Dendrimer-based drug delivery systems are poised for significant advancements, particularly in the context of emerging therapeutic modalities such as biologics and RNA-based therapies. The unique structural properties of dendrimers allow for precise drug targeting and controlled release, making them suitable carriers for a variety of therapeutic agents. Dendrimers can be tailored for specific drug delivery needs through surface modifications, enhancing biocompatibility and targeting capabilities. Recent studies have demonstrated their effectiveness in delivering small molecules, peptides, proteins, and genetic materials, particularly in overcoming barriers like the blood-brain barrier. Dendrimers are increasingly utilized in cancer therapy, serving as carriers for chemotherapeutics, siRNAs, and nanoparticles, with modifications that improve targeting and reduce side effects. Their versatility allows for combination therapies, integrating multiple treatment modalities such as chemotherapy and gene therapy. The potential of dendrimers in delivering biologics and RNA-based therapies is significant, as they can encapsulate and protect these sensitive molecules, enhancing their stability and bioavailability. Innovations in dendrimer formulations are expected to facilitate the development of novel therapeutic strategies, particularly in personalized medicine. While dendrimers show promise in enhancing drug delivery, challenges remain in scalability and regulatory approval, which may hinder their widespread application in clinical settings. Continued research is essential to address these barriers and fully realize the potential of dendrimer-based systems in modern therapeutics.


Acknowledgments

Thanks to guidance and advice from “Young Researchers and Elite Club, Gachsaran Branch, Islamic Azad University, Gachsaran, Iran”.


Declaration of Generative AI in Scientific Writing

We wish to confirm that there are no known conflicts of interest associated with this publication and there has been no significant financial support for this work that could have influenced its outcome.


CRediT author statement

We know of no conflict of interest associated with this publication, and there has been no financial support for this work that could have influenced its outcome as corresponding author, I confirm that the manuscript has been read and approved for submission by all the named authors.


References

  1. AK Mandal. Hydroxyapatite nanoparticles as delivery system in combating various diseases. International Journal of Current Advanced Research 2018; 7(10), 15869-15877.

  2. M Kalomiraki, K Thermos and NA Chaniotakis. Dendrimers as tunable vectors of drug delivery systems and biomedical and ocular applications. International Journal of Nanomedicine 2016; 11, 1-12.

  3. A Morikawa. Comparison of properties among dendritic and hyperbranched poly (ether ether ketone)s and linear poly (ether ketone)s. Molecules 2016; 21(2), 219.

  4. J Singh, K Jain, NK Mehra and NK Jain. Dendrimers in anticancer drug delivery: Mechanism of interaction of drug and dendrimers. Artificial Cells, Nanomedicine, and Biotechnology 2016; 44(7), 1626-1634.

  5. D Lombardo. Modeling dendrimers charge interaction in solution: Relevance in biosystems. Biochemistry Research International 2014; 2014(1), 837651.

  6. RM Kannan, E Nance, S Kannan and DA Tomalia. Emerging concepts in dendrimer-based nanomedicine: From design principles to clinical applications. Journal of Internal Medicine 2014; 276(6), 579-617.

  7. S Tripathy and MK Das. Dendrimers and their applications as novel drug delivery carriers. Journal of Applied Pharmaceutical Science 2013; 3(9), 142-149.

  8. E Abbasi, SF Aval, A Akbarzadeh, M Milani, HT Nasrabadi, S Joo, Y Hanifehpour, K Nejati-Koshki and R Pashaei-Asl. Dendrimers: Synthesis, applications, and properties.  Nanoscale Research Letters 2014; 9, 247.

  9. S Thatikonda, SK Yellanki, S Caran, D Arjun and A Balaji. Dendrimers-a new class of polymers. International Journal of Pharmaceutical Sciences and Research 2013; 4(6), 2174-2183.

  10. A Satsangi, SS Roy, RK Satsangi, AW Tolcher, RK Vadlamudi, B Goins and JL Ong. Synthesis of a novel, sequentially active-targeted drug delivery nanoplatform for breast cancer therapy. Biomaterials 2015; 59, 88-101.

  11. S Thakur, P Kesharwani, RK Tekade and NK Jain. Impact of PEGylation on biopharmaceutical properties of dendrimers. Polymer 2015; 59, 67-92.

  12. HS Chaudhari, RR Popat, VS Adhao and VN Shrikhande. Dendrimers: Novel carriers for drug delivery. Journal of Applied Pharmaceutical Research 2016; 4(1), 1-19.

  13. S Somani, DR Blatchford, O Millington, ML Stevenson and C Dufes. Transferrin-bearing polypropylenimine dendrimer for targeted gene delivery to the brain. Journal of Controlled Release 2014; 188, 78-86.

  14. S Somani, G Robb, BS Pickard and C Dufes. Enhanced gene expression in the brain following intravenous administration of lactoferrin-bearing poly propylenimine dendriplex. Journal of Controlled Release 2015; 217, 235-242.

  15. LP Mendes, J Pan and VP Torchilin. Dendrimers as nanocarriers for nucleic acid and drug delivery in cancer therapy. Molecules 2017; 22(9), 1401.

  16. J Yang, Q Zhang, H Chang and Y Cheng. Surface-engineered dendrimers in gene delivery. Chemical Reviews 2015; 115(11), 5274-5300.

  17. M AlRobaian, KY Chiam, DR Blatchford and C Dufes. Therapeutic efficacy of intravenously administered transferring-conjugated dendriplexes on prostate carcinomas. Nanomedicine 2014; 9(4), 421-434.

  18. LY Lim, PY Koh, S Somani, MA Robaian, R Karim, YL Yean, J Mitchell, RJ Tate, R Edrada-Ebel, DR Blatchford, M Mullin and C Dufes. Tumor regression following intravenous administration of lactoferrin- and lactoferricin-bearing dendriplexes. Nanomedicine 2015; 11(6), 1445-1454.

  19. N Altwaijry, S Somani, JA Parkinson, RJ Tate, P Keating, M Warzecha, GR Mackenzie, HY Leung and C Dufes. Regression of prostate tumors after intravenous administration of lactoferrin-bearing polypropylenimine dendriplexes encoding TNF-α, TRAIL and interleukin-12. Drug Delivery 2018; 25(1), 679-689.

  20. S Somani, P Laskar, N Altwaijry, P Kewcharoenvong, C Irving, G Robb, BS Pickard and C Dufes. PEGylation of polypropylenimine dendrimers: Effects on cytotoxicity, DNA condensation, gene delivery and expression in cancer cells. Scientific Reports 2018; 8(1), 9410.

  21. L Xu, H Zhang and Wu. Dendrimer advances for the central nervous system delivery of therapeutics. ACS Chemical Neuroscience 2014; 5(1), 2-13.

  22. M Zhang, J Zhu, Y Zheng, R Guo, S Wang, S Mignani, AM Caminade, JP Majoral and X Shi. Doxorubicin-conjugated PAMAM dendrimers for pH-responsive drug release and folic acid-targeted cancer therapy. Pharmaceutics 2018; 10(3), 162.

  23. H Koo, MS Huh, IC Sun, SH Yuk, K Choi, K Kim and IC Kwon. In vivo targeted delivery of nanoparticles for theranosis. Accounts of Chemical Research 2011; 44(10), 1018-1028.

  24. K Madaan, S Kumar, N Poonia, V Lather and D Pandita. Dendrimers in drug delivery and targeting: Drug-dendrimer interactions and toxicity issues. Journal of Pharmacy and Bioallied Sciences 2014; 6(3), 139-150.

  25. S Choudhary, L Gupta, S Rani, KK Dave and U Gupta. Impact of dendrimers on solubility of hydrophobic drug molecules. Frontiers in Pharmacology 2017; 8, 261.

  26. JK Twibanire and TB Grindley. Polyester dendrimers: Smart carriers for drug delivery. Polymers 2014; 6(1), 179-213.

  27. JK Twibanire and TB Grindley. Efficient and controllably selective preparation of esters using uranium-based coupling agents. Organic Letters 2011; 13(12), 2988-2991.

  28. MR Mohammadi, A Nojoomi, M Mozafari, A Dubnika, M Inayathullah and J Rajadas. Nanomaterials Engineering for drug delivery: A hybridization approach. Journal of Materials Chemistry B 2017; 5(22), 3995-4018.

  29. SK Parajapati, SD Maurya, MK Das, VK Tilak, KK Verma and RC Dhakar. Dendrimers in drug delivery, diagnosis and therapy: Basics and potential applications. Journal of Drug Delivery and Therapeutics 2016; 6(1), 67-92.

  30. H Yang and ST Lopina. Extended release of a novel antidepressant, venlafaxine, based on anionic polyamidoamine dendrimers and poly (ethylene glycol)-containing semi-interpenetrating networks. Journal of Biomedical Materials Research Part A 2005; 72(1), 107-114.

  31. M Najlah, S Freeman, D Attwood and A D’Emanuele. In vitro evaluation of dendrimer prodrugs for oral drug delivery. International Journal of Pharmaceutics 2007; 336(1), 183-190.

  32. A D’Emanuele, R Jevprasesphant, J Penny and D Attwood. The use of a dendrimer-propranolol prodrug to bypass efflux transporters and enhance oral bioavailability. Journal of Controlled Release 2004; 95(3), 447-453.

  33. SK Parajapati, SD Maurya, MK Das, VK Tilak, KK Verma and RC Dhakar. Potential application of dendrimers in drug delivery: A concise review and update. Journal of Drug Delivery and Therapeutics 2016; 6(2), 71-88.

  34. LM Kaminskas, VM McLeod, BD Kelly, G Sberna, BJ Boyd, M Williamson, DJ Owen and CJH Porter. A comparison of changes to doxorubicin pharmacokinetics, antitumor activity, and toxicity mediated by PEGylated dendrimer and PEGylated liposome drug delivery systems. Nanomedicine: Nanotechnology, Biology and Medicine 2012; 8(1), 103-111.

  35. G Pasut, S Scaramuzza, O Schiavon, R Mendichi and FM Veronese. PEG-epirubicin conjugates with high drug loading. Journal of Bioactive and Compatible Polymers 2005; 20(3), 213-230.

  36. D Soto-Castro, JA Cruz-Morales, ATR Apan and P Guadarrama. Solubilization and anticancer-activity enhancement of methotrexate by novel dendrimeric nanomedicines synthesized in one-step reaction. Bioorganic Chemistry 2012; 41-42, 13-21.

  37. Z Zhou, A D’Emanuele and D Attwood. Solubility enhancement of paclitaxel using a linear dendritic block copolymer. International Journal of Pharmaceutics 2013; 452(1-2), 173-179.

  38. U Karel, H Katerina, S Vladimir, B Aristides, T Jiri and Z Radek. Targeted drug delivery with polymers and magnetic nanoparticles: Covalent and noncovalent approaches, release control and clinical studies. Chemical Reviews 2016; 116(9), 5338-5431.

  39. S Garcia-Gallego, G Franci, A Folanga, R Gomez, V Folliero, S Galdiero, FJDI Mata and M Galdiero. Function oriented molecular design: Dendrimers as novel antimicrobials. Molecules 2017; 22(10), 1581.

  40. SP Gautam, AK Gupta, A Sharma and TM Gautam. Synthesis and analytical characterization of ester and amine terminated PAMAM dendrimers. Global Journal of Medical research Pharma, Drug Discovery, Toxicology and Medicine 2013; 13(B3), 7-15.

  41. W Hu, L Cheng, L Cheng, M Zheng, Q Lei, Z Hu, M Xu, L Qiu and D Chen. Redox and pH-responsive poly (amidoamine) dendrimer-poly (ethylene glycol) conjugates with disulfide linkages for efficient intracellular drug release. Colloids and Surfaces B: Biointerfaces 2014; 123, 254-263.

  42. A Agrawal and S Kulkarni. Dendrimers: A new generation carrier. International Journal of Research and Development in Pharmacy and Life Sciences 2015; 4(5), 1700-1712.

  43. SL Mekuria, TA Debele and HC Tsai. PAMAM dendrimer based targeted nanocarrier for bioimaging and therapeutic agents. RSC Advances 2016; 6(68), 63761-63772.

  44. B Das and S Patra. Antimicrobials: Meeting the challenges of antibiotic resistance through nanotechnology. In: A Ficai and AM Grumezescu (Eds.). Nanostructures for Antimicrobial Therapy. Elsevier Science, Amsterdam, Netherlands, 2017.

  45. M Goudarzi and M Navidinia. Overview perspective of bacterial strategies of resistance to biocides and antibiotics. Archives of Clinical Infectious Diseases 2019; 14(2), e65744.

  46. M Gumustus, CT Sengel-Turk, A Gumustas, SA Ozkan and B Uslu. Effecr of polymer-based nanoparticles on the assay of antimicrobial drug delivery systems. In: AM Grumezescu (Ed.). Multifunctional Systems for Combined Delivery, Biosensing and Diagnostics. Elsevier Science, Amsterdam, Netherlands, 2017.

  47. LJ Fox, RM Richardson and WH Briscoe. PAMAM dendrimer-cell membrane interactions. Advances in Colloid and Interface Science 2018; 257, 1-18.

  48. S Svenson and DA Tomalia. Dendrimers in biomedical applications-reflections on the field. Advanced Drug Delivery Reviews 2012; 64, 102-115.

  49. D Kaur, K Jain, NK Mehra, P Kesharwani and NK Jain. A review on comparative study of PPI and PAMAM dendrimers. Journal of Nanoparticle Research 2016; 18, 146.

  50. LIF Moura, A Malfanti, C Peres, AI Matos, E Guegain, V Sainz, M Zloh, MJ Vicent and HF Florindo. Functionalized branched polymers: Promising immunomodulatory tools for the treatment of cancer and immune disorders. Materials Horizons 2019; 6(10), 1956-1973.

  51. SK Shukla, PP Govender and A Tiwari. Polymeric micellar structures for biosensor technology. Advances in Biomembranes and Lipid Self-Assembly 2016; 24, 143-161.

  52. V Dzmitruk, E Apartsin, A Ihnatsyeu-Kachan, V Abashkin, D Shcharbin and M Bryszewska. Dendrimers show promise for siRNA and microRNA therapeutics. Pharmaceutics 2018; 10(3), 126.

  53. L Wu, M Ficker, JB Christensen, PN Trohopoulos and SM Moghimi. Dendrimers in medicine: Therapeutic concepts and pharmaceutical challenges. Bioconjugate Chemistry 2015; 26(7), 1198-1211.

  54. Z Mhleoatika and BA Aderibigbe. Application of dendrimers for the treatment of infectious diseases. Molecules 2018; 23(9), 2205.

  55. JPBD Menezes, CES Guedes, ALDOA Petersen, DBM Fraga and PST Veras. Advances in development of new treatment for leishmaniasis. BioMed Research International 2015; 2015(1), 815023.

  56. SL Croft and P Olliaro. Leishmaniasis chemotherapy-challenges and opportunities. Clinical Microbiology and Infection 2011; 17(10), 1478-1483.

  57. K Jain, AK Verma, PR Mishra and NK Jain. Characterization and evaluation of amphotericin b loaded conjugated poly (propylene imine) dendrimers. Nanomedicine: Nanotechnology, Biology and Medicine 2015; 11(3), 705-713.

  58. PM Daftarian, GW Stone, L Kovalski, M Kumar, A Vosoughi, M Urbieta, P Blackwelder, E Dikici, P Serafini, S Duffort, R Boodoo, A Rodriguez-Cortes, V Lemmon, S Deo, J Alberola, VL Perez, S Daunert and AL Ager. A targeted and adjuvanted nanocarrier lowers the effective dose of liposomal amphotericin b and enhances adaptive immunity in murine cutaneous leishmaniasis. International Journal of Infectious Diseases 2013; 208(11), 1914-1922.

  59. K Jain, AK Verma, PR Mishra and NK Jain. Surface-engineered dendrimeric nanoconjugates for macrophage targeted delivery of amphotericin B: Formulation development and in vitro and in vivo evaluation. Antimicrobial Agents and Chemotherapy 2015, 59(5), 2479-2487.

  60. B Noriega-Luna, LA Godinez, FJ Rodriguez, RA Rodriguez, GZD Larrea, CF Sosa-Ferreyra, RF Mercado-Curiel, J Manriquez and E Bustos. Applications of dendrimers in drug delivery agents, diagnosis, therapy, and detection. Journal of Nanomaterials. 2014; 2014(1), 507273.

  61. RVD Araujo, SDS Santos, EI Ferreira and J Giarolla. New advances in general biomedical applications of PAMAM dendrimers. Molecules 2018; 23(11), 2849.

  62. K Jain, U Gupta and NK Jain. Dendronized nanoconjugates of lysine and folate for treatment of cancer. European Journal of Pharmaceutics and Biopharmaceutics 2014; 87(3), 500-509.

  63. A Kaur, K Jain, NK Mehra and N Jain. Development and characterization of surface engineered PPI dendrimers for targeted drug delivery. Artificial Cells, Nanomedicine, and Biotechnology 2017; 45(3), 414-425.

  64. IJ Majoros, CR Williams, A Becker and JR Baker. Methotrexate delivery via folate targeted dendrimer-based nanotherapeutic platform. WIREs Nanomedicine and Nanobiotechnology 2009; 1(5), 502-510.

  65. P Sing, U Gupta, A Asthana and NK Jain. Folate and folate-PEG-PAMAM Dendrimers: Synthesis, characterization, and targeted anticancer drug delivery potential in tumor bearing mice. Bioconjugate Chemistry 2008; 19(11), 2239-2252.

  66. RI Castro, O Forero-Doria and L Guzman. Perspectives of dendrimer-based nanoparticles in cancer therapy. Anais da Academia Brasileira de Ciencias 2018; 90(2 Suppl 1), 2331-2346.

  67. S Senapati, AK Mahanta, S Kumar and P Maiti. Controlled drug delivery vehicles for cancer treatment and their performance. Signal Transduction and Targeted Therapy 2018; 3, 7.

  68. N Malik, R Wiwattanapatapee, R Klopsch, K Lorenz, H Frey, JW Weener, EW Meijer, W Paulus and R Duncan. Dendrimers: Relationship between structure and biocompatibility in vitro, and preliminary studies on the biodistribution of 125I-labelled polyamidoamine dendrimers in vivo.  Journal of Controlled Release 2000; 68(2), 299-302.

  69. DS Wilbur, PM Pathare, DK Hamlin, KR Buhler and RL Vessella. Biotin reagents for antibody pretargeting: Synthesis, radioiodination, and evaluation of biotinylated starburst dendrimers. Bioconjugate Chemistry 1998; 9(6), 813-825.

  70. H Yang, JJ Morris and ST Lopina. Polyethylene glycol-polyamidoamine dendritic micelle as solubility enhancer and the effect of the length of polyethylene glycol arms on the solubility of pyrene in water. Journal of Colloid and Interface Science 2004; 273(1), 148-154.

  71. C Kojima, K Kono, K Maruyama and T Takagishi. Synthesis of polyamidoamine dendrimers having poly (ethylene glycol) grafts and their ability to encapsulate anticancer drugs. Bioconjugate Chemistry 2000; 11(6), 910-917.

  72. OLPD Jesus, HR Ihre, L Gagne, JMJ Frechet and FC Szoka. Polyester dendritic systems for drug delivery applications, in vitro and in vivo evaluation. Bioconjugate Chemistry 2002; 13(3), 453-461.

  73. DQ McNerny, PR Leroueil and JR Baker. Understanding specific and nonspecific toxicities: A requirement for the development of dendrimer-based pharmaceuticals. WIREs Nanomedicine and Nanobiotechnology 2010; 2(3), 249-259.

  74. AS Chauhan, NK Jain, PV Diwan and AJ Khopade. Solubility enhancement of indomethacin with poly (amidoamine) dendrimers and targeting to inflammatory regions of arthritic rats. Journal of Drug Targeting 2004; 12(9-10), 575-583.

  75. A Asthana, AS Chauhan, PV Diwan and NK Jain. Poly (amidoamine) (pamam) dendritic nanostructures for controlled site-specific delivery of acidic anti-inflammatory active ingredient. AAPS PharmSciTech 2005; 6(3), E536-E542.

  76. D Bhadra, AK Yadav, S Bhadra and NK Jain. Glycodendrimeric nanoparticulate carriers of primaquine phosphate for liver targeting. International Journal of Pharmaceutics 2005; 295(1-2), 221-233.

  77. R Shukla, TP Thomas, J Peters, A Kotlyar, A Myc and JR Baker. Tumor angiogenic vasculature targeting with PAMAM dendrimer-RGD conjugates. Chemical Communication 2005; 46(46), 5739-5741.

  78. IJ Majoros, A Myc, T Thomas, CB Mehta and JR Baker. PAMAM dendrimer-based multifunctional conjugate for cancer therapy: Synthesis, characterization, and functionality. Biomacromolecules 2006; 7(2), 572-579.

  79. TP Thomas, IJ Majoros, A Kotlyar, JF Kukowska-Latallo, A Bielinska, A Myc and JR Baker. Targeting and inhibition of cell growth by an engineered dendritic nanodevice. Journal of Medicinal Chemistry 2005; 48(11), 3729-3735.

  80. IJ Majoros, TP Thomas, CB Mehta and JR Baker. Poly (amidoamine) dendrimer-based multi-functional engineered nanomedicine for cancer therapy. Journal of Medicinal Chemistry 2005; 48(19), 5892-5899.

  81. RF Barth, G Wu, W Yang, PJ Binns, KJ Riley, H Patel, JA Coderre, W Tjarks, AK Bandyopadhyaya, BTS Thirumamagal, MJ Ciesielski and RA Fenstermaker. Neutron capture therapy of epidermal growth factor (plus) gliomas using boronated cetuximab (IMC-C225) as a delivery agent. Applied Radiation and Isotopes 2004; 61(5), 899-903.

  82. RF Barth, DM Adams, AH Soloway, F Alam and MV Darby. Boronated starburst dendrimer monoclonal-antibody immunoconjugates – evaluation as a potential delivery system for neutron-capture therapy. Bioconjugate Chemistry 1994; 5(1), 58-66.

  83. W Yang, RF Barth, DM Adams, MJ Ciesielski, RA Fenstermaker, S Shukla, W Tjarks and MA Caligiuri. Convection-enhanced delivery of boronated epidermal growth factor for molecular targeting of EGF receptor-positive gliomas. Cancer Research 2002; 62(22), 6552-6558.

  84. W Yang, PF Barth, DM Adams and AH Soloway. Intratumoral delivery of boronated epidermal growth factor for neutron capture therapy of brain tumors. Cancer Research 1997; 57(19), 4333-4339.

  85. W Yang, RF Barth, G Wu, AK Bandyopadhyaya, BTS Thirumamagal, W Tjarks, PJ Binns, K Riley, H Patel, JA Coderre, MJ Ciesielski and RA Fenstermaker. Boronated epidermal growth factor as a delivery agent for neutron capture therapy of EGF receptor positive gliomas. Applied Radiation and Isotopes 2004; 61(5), 981-985.

  86. R Duncan and L Izzo. Dendrimer biocompatibility and toxicity. Advanced Drug Delivery Reviews 2005; 57(15), 2215-2237.

  87. JF Kukowska-Latallo, E Raczka, A Quintana, C Chen, M Rymaszewski and JR Baker. intravascular and endobronchial DNA delivery to murine lung tissue using a novel, nonviral vector. Human Gene Therapy 2000; 11(10), 1385-1395.

  88. F Kihara, H Arima, T Tsutsumi, F Hirayama and K Uekama. In vitro and in vivo gene transfer by an optimized alpha-cyclodextrin conjugate with polyamidoamine dendrimer. Bioconjugate Chemistry 2003; 14(2), 342-350.

  89. K Wada, H Arima, T Tsutsumi, Y Chihara, K Hattori, F Hirayama and K Uekama. Improvement of gene delivery mediated by mannosylated dendrimer/[alpha] – cyclodextrin conjugates. Journal of Controlled Release 2005; 104(2), 397-413.

  90. M Mamede, T Saga, T Ishimori, T Higashi, N Sato, H Kobayashi, MW Brechbiel and J Konishi. Hepatocyte targeting of 111In-Labeled oligo-DNA with avidin or avidin-dendrimer complex. Journal of Controlled Release 2004; 95(1), 133-141.

  91. C Dufes, WN Keith, A Bilsland, I Proutski, IF Uchegbu and AG Schatzlein. Synthetic anticancer gene medicine exploits intrinsic antitumor activity of cationic vector to cure established tumors. Cancer Research 2005; 65(18), 8079-8084.

  92. AG Schatzlein, BH Zinselmeyer, A Elouzi, C Dufes, YTA Chim, CJ Roberts, MC Davies, A Munro, AI Gray and IF Uchegbu. Preferential liver gene expression with polypropylenimine dendrimers. Journal of Controlled Release 2005; 101(1-3), 247-258.

  93. F Tack, A Bakker, S Maes, N Dekeyser, M Bruining, C Elissen-Roman, M Janicot, M Brewster, HM Janssen, BFMD Waal, PM Fransen, X Lou and EW Meijer. Modified poly (propylene imine) dendrimers as effective transfection agents for catalytic DNA enzymes (DNAzymes). Journal of Drug Targeting 2006; 14(2), 69-86.

  94. LS Nair and CT Laurencin. Biodegradable polymers as biomaterials. Progress in Polymer Science 2007; 32(8-9), 762-798.

  95. R Mehvar. Dextrans for targeted and sustained delivery of therapeutic and imaging agents. Journal of Controlled Release 2000; 69(1), 1-25.

  96. V Knorr, M Ogris and E Wagner. An acid sensitive ketal-based polyethylene glycol-oligoethylenimine copolymer mediates improved transfection efficiency at reduced toxicity. Pharmaceutical Research 2008; 25, 2937-2945.

  97. K Luo, J Yang, P KopecKova and J Kopecek. Biodegradable multiblock poly [N-(2-Hydroxypropyl) methacrylamide] via reversible addition-fragmentation chain transfer polymerization and click chemistry. Macromolecules 2011; 44(8), 2481-2488.

  98. H Pan, J Yang, P KopecKova and J Kopecek. Backbone degradable multiblock N-(2-Hydroxypropyl) methacrylamide copolymer conjugates via reversible addition-fragmentation chain transfer polymerization and thiol-ene coupling reaction. Biomacromolecules 2011; 12(1), 247-252.

  99. J Yang, K Luo, H Pan, P Kopeckova and J Kopecek. Synthesis of biodegradable multi-block copolymers by click coupling of RAFT-generated heterotelechelic poly HPMA conjugates. Reactive and Functional Polymers 2011; 71(3), 294-302.

  100. M Barz, FK Wolf, F Canal, K Koynov, MJ Vicent, H Frey and R Zentel. Synthesis, characterization and preliminary biological evaluation of P(HPMA)-b-P(LLA) copolymers: A new type of functional biocompatible block copolymer. Macromolecular Rapid Communications 2010; 31(17), 1492-1500.

  101. Y Matsumura and H Maeda. A new concept for macromolecular therapeutics in cancer chemotherapy: Mechanism of tumoritropic accumulation of proteins and the antitumor agent smancs. Cancer Research 1986; 46(12), 6387-6392.

  102. LW Seymour, R Duncan, J Strohalm and J Kopecek. Effect of molecular weight (MW) of N-(2-Hydroxypropyl) methacrylamide copolymers on body distribution and rate of excretion after subcutaneous, intraperitoneal, and intravenous administration to rats. Journal of Biomedical Materials Research 1987; 21(11), 1341-1358.

  103. AS Chauhan, PV Diwan, NK Jain and DA Tomalia. Unexpected in vivo anti-inflammatory activity observed for simple, surface functionalized poly (amidoamine) dendrimers. Biomacromolecules 2009; 10(5), 1195-1202.

  104. L Martinet, CS Fleury, M Gadelorge, G Dietrich, P Bourin, JJ Fournie and A Poupot. A Regulatory cross-talk between Vγ9Vδ2 T lymphocytes and mesenchymal stem cells. European Journal of Immunology 2009; 39(3), 752-762.

  105. L Martinet, C Jean, G Dietrich, JJ Fournie and R Poupot. PGE2 inhibits natural killer and γδ T cell cytotoxicity triggered NKR and TCR through a cAMP-mediated PKA type i-dependent signaling. Biochemical Pharmacology 2010; 80(6), 838-845.

  106. L Vannucci, A Fiserova, K Sadalapure, T Lindhorst, M Kuldova, P Rossmann, O Horvath, V Kren, P Krist, K Bezouska, M Luptovcova, F Mosca and M Pospisill. Effects of n-acetyl-glucosamine-coated glycodendrimers as biological modulators in the b16f10 melanoma model in vivo. International Journal of Oncology 2003; 23(2), 285-296.

  107. S Shaunak, S Thomas, E Gianasi, A Godwin, E Jones, I Teo, K Mireskandari, P Luthert, R Duncan, S Patterson, P Khaw and S Brocchni. Polyvalent dendrimer glucosamine conjugates prevent scar tissue formation. Nature Biotechnology 2004; 22(8), 977-984.

  108. M Poupot, L Griffe, P Marchand, A Maraval, O Rolland, L Martinet, F L’Faqihi-Olive, C Turrin, A Caminade, J Fournie, J Majoral and R Poupot. Design of phosphorylated dendritic architectures to promote human monocyte activation. The FASEB Journal 2006; 20(13), 2339-2351.

  109. E Espinosa, C Belmant, H Sicard, R Poupot, M Bonneville and J Fournie. Y2k + 1 state-of-the-art on non-peptide phosphoantigens, a novel category of immunostimulatory molecules. Microbes and Infection 2001; 3(8), 645-654.

  110. L Martinet, R Poupot and JJ Fournie. Pitfalls on the roadmap to γδ T cell-based cancer immunotherapies. Immunology Letters 2009; 124(1), 1-8.

  111. L Griffe, M Poupot, P Marchand, A Maraval, C Turrin, O Rolland, P Metivier, G Bacquet, J Fournie, A Caminade, A Caminade, R Poupot and J Majoral. Multiplication of human natural killer cells by nanosized phosphate-capped dendrimers. Angewandte Chemie International Edition 2007; 46(14), 2523-2526.

  112. D Portevin, M Poupot, O Rolland, CO Turrin, JJ Fournie, JP Majoral, AM Caminade and R Poupot. Regulatory activity of azabisphosphonate-capped dendrimers on human CD+ T cell proliferation enhances ex-vivo expansion of NK cells from PBMCs for immunotherapy. Journal of Translational Medicine 2009; 7, 82.

  113. S Fruchon, M Poupot, L Martinet, CO Turrin, JP Majoral, JJ Fournie, AM Caminade and R Poupot. Anti-inflammatory and immunosuppressive activation of human monocytes by a bio-active dendrimer. Journal of Leukocyte Biology 2009; 85(3), 553-562.

  114. SM Rele, W Cui, L Wang, S Hou, G Barr-Zarse, D Tatton, Y Gnanou, JD Esko and EL Chaikof. Dendrimer-like PEO glycopolymers exhibit anti-inflammatory properties. Journal of the American Chemical 2005; 127(29), 10132-10133.

  115. H Ulbrich, E Eriksson and L Lindbom. Leukocyte and endothelial cell adhesion molecules as targets for therapeutic interventions in inflammatory disease. Trends in Pharmacological Sciences 2003; 24(12), 640-647.

  116. H Khalid, S Mukherjee, L O’Neill and H Byrne. Structural dependence of in vitro cytotoxicity, oxidative stress and uptake mechanisms of poly (propylene imine) dendritic nanoparticles. Journal of Applied Toxicology 2016; 36(3), 464-473.

  117. D Jiang, FX Chen, H Zhou, YY Lu, H Tan, SJ Yu, J Yuan, H Liu, E Meng and Z Jin. Bioenergetic crosstalk between mesenchymal stem cells and various ocular cells through the intercellular trafficking of mitochondria. Theranostics 2020; 10(16), 7260-7272.

  118. D Pan, X Xia, H Zhou, S Jin, Y Lu, H Liu, M Gao and Z Jin. COCO enhances the efficiency of photoreceptor precursor differentiation in early human embryonic stem cell-derived retinal organoids. Stem Cell Research & Therapy 2020; 11(1), 366.

  119. Q Kaiyang, L Wei and Q Zou. A review of DNA-binding proteins prediction methods. Current Bioinformatics 2019; 14(3), 246-254.

  120. Q Zou, P Xing, L Wei and B Liu. Gene2vec: Gene subsequence embedding for prediction of mammalian N6-methyladenosine sites from mRNA. RNA 2019; 25(2), 205-218.

  121. Q Jiang, G Wang, S Jin, Y Li and Y Wang. Predicting human microRNA-disease associations based on support vector machine. International Journal of Data Mining and Bioinformatics 2013; 8(3), 282-293.

  122. S Yang, T Gao, J Wang, B Deng, B Lansdell and B Linares-Barranco. Efficient spike-driven learning with dendritic event-based processing. Frontiers in Neuroscience 2021; 15, 601109.

  123. X Pang, K Gong, X Zhang, S Wu, Y Cui and BZ Qian. Osteopontin as a multifaceted driver of bone metastasis and drug resistance. Pharmacological Research 2019; 144, 235-244.

  124. P Wu, W Gao, M Su, EC Nice, W Zhang, J Lin and N Xie. Adaptive mechanisms of tumor therapy resistance driven by tumor microenvironment. Frontiers in Cell and Developmental Biology 2021; 9, 641469.

  125. J Xu, L Ji, Y Ruan, Z Wan, Z Lin, S Xia, L Tao, J Zheng, L Cai, Y Wang, X Ling and X Cai. UBQLN1 mediates sorafenib resistance through regulating mitochondrial biogenesis and ROS homeostasis by targeting PGC1β in hepatocellular carcinoma. Signal Transduction and Targeted Therapy 2021; 6, 190.

  126. M Salimi, V Pirouzfar and E Kianfar. Enhanced gas transport properties in silica nanoparticle filler-polystyrene nanocomposite membranes. Colloid and Polymer Science 2017; 295, 215-226.

  127. E Kianfar. Synthesis and characterization of AlPO4/ZSM-5 catalyst for methanol conversion to dimethyl ether. Russian Journal of Applied Chemistry 2018; 91, 1711-1720.

  128. E Kianfar. Ethylene to propylene conversion over Ni-W/ZSM-5 catalyst. Russian Journal of Applied Chemistry 2019; 92, 1094-1101.

  129. E Kianfar, M Salimi, F Kianfar, M Kianfar and SAH Razavikia. CO2/N2 separation using polyvinyl chloride iso-phthalic acid/aluminium nitrate nanocomposite membrane. Macromolecular Research 2019; 27, 83-89.

  130. E Kianfar. Ethylene to propylene over zeolite ZSM-5: Improved catalyst performance by treatment with CuO. Russian Journal of Applied Chemistry 2019; 92, 933-939.

  131. E Kianfar, M Shirshahi, F Kianfar and F Kianfar. Simultaneous prediction of the density, viscosity and electrical conductivity of pyridinium-based hydrophobic ionic liquids using artificial neural network. Silicon 2018; 10, 2617-2625.

  132. M Salimi, V Pirouzfar and E Kianfar. Novel nanocomposite membranes prepared with PVC/ABS and silica nanoparticles for C2H6/CH4 separation. Polymer Science, Series A 2017; 59, 566-574.

  133. F Kianfar and E Kianfar. Synthesis of isophthalic acid/aluminum nitrate thin film nanocomposite membrane for hard water softening. Journal of Inorganic and Organometallic Polymers and Materials 2019; 29, 2176-2185.

  134. E Kianfar, R Azimikia and SM Faghih. Simple and strong dative attachment of α-diimine nickel (II) catalysts on supports for ethylene polymerization with controlled morphology. Catalysis Letters 2020; 150, 2322-2330.

  135. E Kianfar. Nanozeolites: Synthesized, properties, applications. Journal of Sol-Gel Science and Technology 2019; 91, 415-429.

  136. H Liu and E Kianfar. Investigation the Synthesis of Nano-SAPO-34 catalyst prepared by different templates for MTO process. Catalysis Letters 2020; 151, 787-802.

  137. E Kianfar, M Salimi, S Hajimirzaee and B Koohestani. Methanol to gasoline conversion over CuO/ZSM-5 catalyst synthesized using sonochemistry method. International Journal of Chemical Reactor Engineering 2018; 17(2), 1-10.

  138. E Kianfar, M Salimi, V Pirouzfar and B Koohestani. Synthesis of modified catalyst and stabilization of CuO/NH4-ZSM-5 for conversion of methanol to gasoline. International Journal of Applied Ceramic Technology 2017; 15(3), 734-741.

  139. E Kianfar, M Salimi, V Pirouzfar and B Koohestani. Synthesis and modification of zeolite ZSM-5 catalyst with solutions of calcium carbonate (CaCO3) and sodium carbonate (Na2CO3) for methanol to gasoline conversion. International Journal of Chemical Reactor Engineering 2018; 16(7), 1-7.

  140. E Kianfar. Comparison and assessment of zeolite catalysts performance dimethyl ether and light olefins production through methanol: A review. Reviews in Inorganic Chemistry 2019; 39(3), 157-177.

  141. E Kianfar and M Salimi. A Review on the production of light olefins from hydrocarbons cracking and methanol conversion. Nova Science Publishers, New York, 2020.

  142. E Kianfar and A Razavi. Zeolite catalyst based selective for the process MTG: A review. Nova Science Publishers, New York, 2020.

  143. E Kianfar. Zeolites: Properties, applications, modification and selectivity. Nova Science Publishers, New York, 2020.

  144. E Kianfar, S Hajimirzaee, SS Musavian and AS Mehr. Zeolite-based catalysts for methanol to gasoline process: A review. Microchemical Journal 2020; 156, 104822.

  145. E Kianfar, M Baghernejad and Y Rahimdashti. Study synthesis of vanadium oxide nanotubes with two template hexadecylamin and hexylamine. Biological Forum-An International Journal 2015; 7(1), 1671-1685.

  146. E Kianfar. Synthesizing of vanadium oxide nanotubes using hydrothermal and ultrasonic method. Lambert Academic Publishing, London, 2020.

  147. E Kianfar, V Pirouzfar and H Sakhaeinia. An experimental study on absorption/stripping CO2 using Mono-ethanol amine hollow fiber membrane contactor. Journal of the Taiwan Institute of Chemical Engineers 2017; 80, 954-962.

  148. E Kianfar and C Viet. Polymeric membranes on base of PolyMethyl methacrylate for air separation: A review. Journal of Materials Research and Technology 2021; 10, 1437-1461.

  149. S Mousavian, P Faravar, Z Zarei, R Azimikia, MG Monjezi and E Kianfar. Modeling and simulation absorption of CO2 using hollow fiber membranes (HFM) with mono-ethanol amine with computational fluid dynamics. Journal of Environmental Chemical Engineering 2020; 8(4), 103946.

  150. Z Yang, L Zhang, Y Zhou, H Wang, L Wen and E Kianfar. Investigation of effective parameters on SAPO-34 Nano catalyst the methanol-to-olefin conversion process: A review. Reviews in Inorganic Chemistry 2020; 40(3), 91-105.

  151. C Gao, J Liao, J Lu, J Ma and E Kianfar. The effect of nanoparticles on gas permeability with polyimide membranes and network hybrid membranes: A review. Reviews in Inorganic Chemistry 2020; 41(1), 1-20.

  152. E Kianfar, M Salimi and B Koohestani. Zeolite CATALYST: A review on the production of light olefins. Lambert Academic Publishing, London, 2020.

  153. E Kianfar. Investigation on catalysts of “Methanol to light Olefins”. Lambert Academic Publishing, London, 2020.

  154. E Kianfar, AH Joshaghani and S Razavika. Application of nanotechnology in enhanced recovery oil and gas. MedDocs Publishers, Nevada, 2020.

  155. E Kianfar. Catalytic properties of nanomaterials and factors affecting it. MedDocs Publishers, Nevada, 2020.

  156. E Kianfar. Introducing the application of nanotechnology in lithium-ion. MedDocs Publishers, Nevada, 2020.

  157. E Kianfar and H Mazaheri. Synthesis of nanocomposite (CAU-10-H) thin-film nanocomposite (TFN) membrane for removal of color from the water. Fine Chemical Engineering 2020; 1, 83-91.

  158. E Kianfar. Simultaneous prediction of the density and viscosity of the ternary system water-ethanol-ethylene glycol using support vector machine. Fine Chemical Engineering 2020; 1(2), 69-74.

  159. E Kianfar, M Salimi and B Koohestani. Methanol to gasoline conversion over CuO / ZSM-5 catalyst synthesized and influence of water on conversion. Fine Chemical Engineering 2020; 1(2), 75-82.

  160. E Kianfar. An experimental study PVDF and PSF hollow fiber membranes for chemical absorption carbon dioxide. Fine Chemical Engineering 2020; 1(2), 92-103.

  161. E Kianfar and S Mafi. Ionic liquids: Properties, application, and synthesis. Fine Chemical Engineering 2020; 2(1), 22-31.

  162. SM Faghih and E Kianfar. Modeling of fluid bed reactor of ethylene dichloride production in Abadan Petrochemical based on three-phase hydrodynamic model. International Journal of Chemical Reactor Engineering 2018; 16(9), 1-14.

  163. E Kianfar and H Mazaheri. Methanol to gasoline: A sustainable transport fuel. Nova Science Publishers, New York, 2020.

  164. E Kianfar. A comparison and assessment on performance of zeolite catalyst based selective for theprocess methanol to gasoline: A review. Nova Science Publishers, New York, 2020.

  165. E Kianfar, S Hajimirzaee, SM Faghih and S Akhgar. Polyvinyl chloride + nanoparticles titanium oxide Membrane for Separation of O2 / N2. Nova Science Publishers, New York, 2020.

  166. E Kianfar. Synthesis of characterization Nanoparticles isophthalic acid / aluminum nitrate (CAU-10-H) using method hydrothermal. Nova Science Publishers, New York, 2020.

  167. E Kianfar. CO2 capture with ionic liquids: A review. Nova Science Publishers, New York, 2020.

  168. E Kianfar. Enhanced light olefins production via methanol dehydration over promoted SAPO-34. Nova Science Publishers, New York, 2020.

  169. E Kianfar. Gas hydrate: Applications, structure, formation, separation processes, thermodynamics. Nova Science Publishers, New York, 2020.

  170. M Kianfar, F Kianfar and E Kianfar. The effect of nano-composites on the mechanic and morphological characteristics of NBR/PA6 blends. American Journal of Oil and Chemical Technologies 2016; 4(1), 29-44.

  171. F Kianfar, SRM Moghadam and E Kianfar. Energy optimization of ilam gas refinery unit 100 by using HYSYS refinery software. Indian Journal of Science and Technology 2015; 8(S9), 431-436.

  172. E Kianfar. Production and identification of vanadium oxide nanotubes. Indian Journal of Science and Technology 2015; 8(S9), 455-464.

  173. F Kianfar, SRM Moghadam and E Kianfar. Synthesis of spiro pyran by using silica-bonded N-propyldiethylenetriamine as recyclable basic catalyst. Indian Journal of Science and Technology 2015; 8(11), 68669.

  174. E Kianfar. Recent advances in synthesis, properties, and applications of vanadium oxide nanotube. Microchemical Journal 2019; 145, 966-978.

  175. S Hajimirzaee, AS Mehr and E Kianfar. modified ZSM-5 Zeolite for conversion of LPG to aromatics. Polycyclic Aromatic Compounds 2020; 42(5), 2334-2347.

  176. E Kianfar. Investigation of the effect of crystallization temperature and time in synthesis of SAPO-34 catalyst for the production of light olefins. Petroleum Chemistry 2021; 61, 527-537.

  177. X Huang, Y Zhu and E Kianfar. Nano biosensors: Properties, applications and electrochemical techniques. Journal of Materials Research and Technology 2021; 12; 1649-1672.

  178. E Kianfar. Protein nanoparticles in drug delivery: Animal protein, plant proteins and protein cages, albumin nanoparticles. Journal of Nanobiotechnology 2021; 19, 159.

  179. M Nikzamir, Y Hanifehpour, A Akbarzadeh and Y Panahi. Applications of dendrimers in nanomedicine and drug delivery: A review. Journal of Inorganic and Organometallic Polymers and Materials 2021; 31, 2246-2261.

  180. D Guillon and R Deschenaux. Liquid-crystalline dendrimers. Current Opinion in Solid State and Materials Science 2002; 6(6), 515-525.

  181. NK Verma, G Alam, DK Vishwakarma, JN Mishra, WU Khan, AP Singh and A Roshan. Recent advances in microspheres technology for drug delivery. International Journal of Pharmaceutical Sciences and Nanotechnology 2015; 8(2), 2799-2813.

  182. M Pittelkow, T Brock-Nannestad, K Moth-Poulsen and JB Christensen. Chiral dendrimer encapsulated Pd and Rh nanoparticles. Chemical Communications 2008; 2008(20), 2358.

  183. U Gupta and O Perumal. Chapter 15 - Dendrimers and its biomedical applications. Natural and Synthetic Biomedical Polymers 2014. https://doi.org/10.1016/B978-0-12-396983-5.00016-8

  184. ES Serkova, IY Krasnova, SA Milenin, EV Selezneva, EA Tatarinova, KL Boldyrev, AA Korlyukov, YV Zubavichus, MI Buzin, OA Serenko, ZB Shifrina and AM Muzafarov. Core/shell hybrid dendrimers: Controllable rigidity determines molecular behaviour. Polymer 2018; 138, 83-91.

  185. PR Dvornic. PAMAMOS: The first commercial silicon-containing dendrimers and their applications. Journal of Polymer Science Part A: Polymer Chemistry 2006; 44(9), 2755-2773. 

  186. V Mishra, N Yadav, GK Saraogi, MM Tambuwala and N Giri. Dendrimer based nanoarchitectures in diabetes management: An overview. Current Pharmaceutical Design 2019; 25(23), 2569-2583.

  187. L Salvi, I Salvi, M Meghahi, CK Dubey, JC Nagar and K Sharma. A synthesis, properties and application as a possible drug delivery systems dendrimers - a review. Asian Journal of Pharmaceutical Research and Development 2020; 8(2), 107-113.

  188. VP Chavda. Nanobased nano drug delivery: A comprehensive review. Elsevier Science, Amsterdam, Netherlands, 2019.

  189. T Baig, J Nayak, V Dwivedi, A Singh, A Srivastava and PK Tripathi. A review about dendrimers: Synthesis, types, characterization and applications. International Journal of Advances in Pharmacy, Biology and Chemistry 2015; 4(1), 44-59.

  190. AS Erturk and G Elmaci. PAMAM dendrimer functionalized manganese ferrite magnetic nanoparticles: Microwave-assisted synthesis and characterization. Journal of Inorganic and Organometallic Polymers and Materials 2018; 28(5), 2100-2107.

  191. E Abbasi, SF Aval, A Akbarzadeh, M Milani, HT Nasrabadi, SW Joo, Y Hanifehpour, K Nejati-Koshki and R Pashaei-Asl. Dendrimers: Synthesis, applications, and properties. Nanoscale Research Letters 2014; 9(1), 247.

  192. CJ Hawker, KL Wooley and JM Frechet. Unimolecular micelles and globular amphiphiles: Dendritic macromolecules as novel recyclable solubilization agents. Journal of the Chemical Society, Perkin Transactions 1 1993; 1993(12), 1287-1297.

  193. E Kianfar and TM Joseph. Nanostructures for Virus Detection and Tracking: An Overview. Trends in Sciences 2025; 22(6), 9452.

  194. X Xu, H Yuan, J Chang, B He and Z Gu. Cooperative hierarchical self-assembly of peptide dendrimers and linear polypeptides into nanoarchitectures mimicking viral capsids. Angewandte Chemie International Edition 2012; 124(13), 3184-3187.

  195. KSadler and JP Tam. Peptide dendrimers: Applications and synthesis. Reviews in Molecular Biotechnology 2002; 90(3-4), 195-229.

  196. P Niederhafner, J Sebestik and J Jezek. Peptide dendrimers. Journal of Peptide Science 2005; 11(12), 757-788.

  197. P Kesharwani, MCIM Amin, N Giri, A Jain and V Gajbhiye. Dendrimers in targeting and delivery of drugs. Elsevier Science, Amsterdam, Netherlands, 2017.

  198. A Pushechnikov, SS Jalisatgi and MF Hawthorne. Dendritic closomers: Novel spherical hybrid dendrimers. Chemical Communications 2013; 49(34), 3579-3581.

  199. K Jain, P Kesharwani, U Gupta and NK Jain. Dendrimer toxicity: Let’s meet the challenge. International Journal of Pharmaceutics 2010; 394(1-2), 122-142.

  200. P Antoni, Y Hed, A Nordberg, D Nystrom, HV Holst, A Hult and M Malkoch. Bifunctional dendrimers: From robust synthesis and accelerated one-pot postfunctionalization strategy to potential applications. Angewandte Chemie International Edition 2009; 121(12), 2160-2164.

  201. SM Grayson and JM Frechet. Convergent dendrons and dendrimers: From synthesis to applications. Chemical Reviews 2001; 101(12), 3819-3868.

  202. M Ficker, MJM Theeuwen, A Janaszewska, M Gorzkiewicz, SW Svenningsen, B Klajnert-Maculewicz and JB Christensen. Complexes of indomethacin with 4-carbomethoxy-pyrrolidone PAMAM dendrimers show improved anti-inflammatory properties and temperature-dependent binding and release profile. Molecular Pharmaceutics 2018; 15(8), 3573-3582.

  203. M Gorzkiewicz, A Janaszewska, M Ficker, SW Svenningsen, JB Christensen and B Klajnert-Maculewicz. Pyrrolidone-modified PAMAM dendrimers enhance anti-inflammatory potential of indomethacin in vitro. Colloids and Surfaces B: Biointerfaces 2019; 181, 959-962.

  204. LD Pedro-Hernandez, E Martinez-Klimova, S Cortez-Maya, S Mendoza-Cardozo, T Ramirez-Apan and M Martinez-Garcia. Synthesis, characterization, and nanomedical applications of conjugates between resorcinarene-dendrimers and ibuprofen. Nanomaterials 2017; 7(7), 163.

  205. J Manikkath, AR Hegde, G Kalthur, HS Parekh and S Mutalik. Influence of peptide dendrimers and sonophoresis on the transdermal delivery of ketoprofen. International Journal of Pharmaceutics 2017; 521(1-2), 110-119.

  206. L Uram, M Misiorek, M Pichla, A Filipowicz-Rachwal, J Markowicz, S Wolowiec, E Walajtys-Rode. The effect of biotinylated PAMAM G3 dendrimers conjugated with COX-2 inhibitor (celecoxib) and PPARγ agonist (Fmoc-L-Leucine) on human normal fibroblasts, immortalized keratinocytes and glioma cells in vitro. Molecules 2019; 24(20), 3801.

  207. L Uram, A Filipowicz, M Misiorek, N Pienkowska, J Markowicz, E Walajtys-Rode and S Wolowiec. Biotinylated PAMAM G3 dendrimer conjugated with celecoxib and/or Fmoc-l-Leucine and its cytotoxicity for normal and cancer human cell lines. European Journal of Pharmaceutical Sciences 2018; 124, 1-9.

  208. J. Manikkath, A Manikkath, GV Shavi, K Bhat and S Mutalik. Low frequency ultrasound and PAMAM dendrimer facilitated transdermal delivery of ketoprofen. Journal of Drug Delivery Science and Technology 2019; 41, 334-343.

  209. B Huang, W Dong, G Yang, W Wang, C Ji and F Zhou. Dendrimer-coupled sonophoresis-mediated transdermal drug-delivery system for diclofenac. Drug Design, Development and Therapy 2015; 2015(9), 3867.

  210. AJ Perise-Barrios, E Fuentes-Paniagua, J Sanchez-Nieves, MJ Serramia, E Alonso, RM Reguera, R Gomez, FJDL Mata and MA Munoz-Fernandez. Improved efficiency of ibuprofen by cationic carbosilane dendritic conjugates. Molecular Pharmaceutics 2016; 13(10), 3427-3438.

  211. E Murugan, V Yogaraj, DPG Rania and AK Sinhab. Evaluation of surface acetylated and internally quaternized poly (propylene imine) dendrimer as a biocompatible drug carrier for piroxicam as a model drug. RSC Advances 2015; 5(129), 106461-106475.

  212. AS Erturk and MU Gurbuz. EDA çekirdekli amin, tris ve karboksil sonlu PAMAM dendrimerleri kullanarak ketoprofenin cozunurlugunu geliştirme. Suleyman Demirel Universitesi Fen Bilimleri Enstitusu Dergisi 2018; 22(2), 768-773.

  213. S Al-Azzawi, D Masheta, AL Guildford, G Phillips and M Santin. Dendrimeric poly (epsilon-lysine) delivery systems for the enhanced permeability of flurbiprofen across the blood-brain barrier in Alzheimer’s disease. International Journal of Molecular Sciences 2018; 19(10), 3224.

  214. H Kulhari, D Pooja, S Shrivastava, M Kuncha, VGM Naidu, V Bansal, R Sistla and DJ Adams. Trastuzumab-grafted PAMAM dendrimers for the selective delivery of anticancer drugs to HER2-positive breast cancer. Scientific Reports 2016; 6(1), 23179.

  215. M Marcinkowska, M Stanczyk, A Janaszewska, E Sobierajska, A Chworos and B Klajnert-Maculewicz. Multicomponent conjugates of anticancer drugs and monoclonal antibody with PAMAM dendrimers to increase efficacy of HER-2 positive breast cancer therapy. Pharmaceutical Research 2019; 36(11), 154.

  216. H Kulhari, D Pooja, MK Singh and AS Chauhan. Optimization of carboxylate-terminated poly (amidoamine) dendrimer-mediated cisplatin formulation. Drug Development and Industrial Pharmacy 2015; 41(2), 232-238.

  217. H Bhatt, B Ghosh and S Biswas. Cell-penetrating peptide and α-tocopherol-conjugated poly (amidoamine) dendrimers for improved delivery and anticancer activity of loaded paclitaxel. ACS Applied Bio Materials 2020; 3(5), 3157-3169.

  218. SVK Rompicharla, P Kumari, B Ghosh and S Biswas. Octa-arginine modified poly (amidoamine) dendrimers for improved delivery and cytotoxic effect of paclitaxel in cancer. Artificial Cells, Nanomedicine, and Biotechnology 2018; 46(S2), 847-859.

  219. K Tokarczyk and B Jachimska. Characterization of G4 PAMAM dendrimer complexes with 5-fluorouracil and their interactions with bovine serum albumin. Colloids and Surfaces A: Physicochemical and Engineering Aspects 2019; 561, 357-363.

  220. SA Torres-Perez, MDP Ramos-Godinez and E Ramon-Gallegos. Glycosylated one-step PAMAM dendrimers loaded with methotrexate for target therapy in breast cancer cells MDA-MB-231. Journal of Drug Delivery Science and Technology 2020; 58, 101769.

  221. C Song, Y Xiao, Z Ouyang, M Shen and X Shi. Efficient co-delivery of microRNA 21 inhibitor and doxorubicin to cancer cells using core–shell tecto dendrimers formed via supramolecular host–guest assembly. Journal of Materials Chemistry B 2020; 8(14), 2768-2774.

  222. E kianfar. Magnetic nanoparticles in targeted drug delivery: A review. Journal of Superconductivity and Novel Magnetism 2021; 34, 1709-1735.

  223. LA Isola, T Chen, M Elveny, A Marischa, AF Ayad, L Thangavelu and E Kianfar. Application of micro and porous materials as nano-reactors. Reviews in Inorganic Chemistry 2021; 42(2), 1-16. 

  224. I Raya, HH Kzar, ZH Mahmoud, AAA Ahmed, AZ Ilatova and E Kianfar. A review of gas sensors based on carbon nanomaterial. Carbon Letters 2021; 32, 339-364.

  225. R Syah, M Zahar and E Kianfar. Nanoreactors: Properties, applications and characterization. International Journal of Chemical Reactor Engineering 2021; 19(10), 981-1007. 

  226. HS Majdi, ZA Latipov, V Borisov, V Borisov, NO Yuryevna, MM Kadhim, W Suksatan, IH Khlewee and E Kianfar. Nano and battery anode: A review. Nanoscale Research Letters 2021; 16, 177.

  227. D Bokov, AT Jalil, S Chupradit, W Suksatan, MJ Ansari, IH Shewael, GH Valiev and E Kianfar. Nanomaterial by sol-gel method: Synthesis and application.  Advances in Materials Science and Engineering 2021; 2021(1), 5102014. 

  228. MJ Ansari, MM Kadhim, BA Hussein, HA Lafta and E Kianfar. Synthesis and stability of magnetic nanoparticles. BioNanoScience 2022; 12, 627-638.

  229. SA Jasim, MM Kadhim, V KN, I Raya, SJ Shoja, W Suksatan, MH Ali and E Kianfar. Molecular junctions: Introduction and physical foundations, nanoelectrical conductivity and electronic structure and charge transfer in organic molecular junctions. Brazilian Journal of Physics 2022; 52, 31.

  230. YP Thoppalada and V Pujar. Green synthesis of bioactive molecules: A review. International Journal of Pharmacy Research & Technology 2022; 12(1), 1-11.

  231. L Tedesco, F Rossi, C Ruocco, M Ragni, MO Carruba, A Valerio and E Nisoli. Experimental evidence on the efficacy of two new metabolic modulators on mitochondrial biogenesis and function in mouse cardiomyocytes. Journal of Population Therapeutics and Clinical Pharmacology 2020; 27(S2), e12-e21.

  232. GSN Keerthi, R Velmurugan and SK Sukumaran. Influence of polylactic acid and polycaprolactone on dissolution characteristics of ansamycin-loaded polymeric nanoparticles: An unsatisfied attempt for drug release profile. Journal of Pharmaceutical Negative Results 2020; 11(1), 23-29.

  233. J Khan, S Norfarhani, RK Sahu, S Ruhi, M Kaleemullah, S Al-Dhalli and E Yusuf. Development and evaluation of topical emulgel of aspirin using different polymeric bases. Research Journal of Pharmacy and Technology 2020; 13(12), 6300-6304.

  234. R Masoumzadeh. Polyethyleneimine-based materials for gene therapy, bioimaging and drug delivery systems applications. Advances in Applied NanoBio-Technologies 2021; 2(1), 13-16.

  235. N Javanmardi, Z Javidi, S Mazraedoost, Y Omidi, AH Hosseini and M Mokhberi. The Advances in nanostructures vaccine, new approaches to improve for anticancer and immune system efficiency. Advances in Applied NanoBio-Technologies 2021; 2(1), 102-111.

  236. S Alwan, M Al-Saeed and H Abid. Safety assessment and biochemical evaluation of biogenic silver nanoparticles (using bark extract of C. zeylanicum) in Rattus norvegicus rats: safety of biofabricated AgNPs (using Cinnamomum zeylanicum extract). Baghdad Journal of Biochemistry and Applied Biological Sciences 2021; 2(3), 138-150.

  237. MJ Ansari and SM Alshahrani. Nano-encapsulation and characterization of baricitinib using poly-lactic-glycolic acid co-polymer. Saudi Pharmaceutical Journal 2019; 27(4), 491-501.

  238. AS Alshetaili, MK Anwer, SM Alshahrani, A Alalaiwe, BB Alsulays, MJ Ansari, F Imam and S Alshehri. Characteristics and anticancer properties of Sunitinib malate-loaded poly-lactic-co-glycolic acid nanoparticles against human colon cancer HT-29 cells lines. Tropical Journal of Pharmaceutical Research 2018; 17(7), 1263-1269.

  239. MN Shalaby, MMA Sakoury, S Hussien and MF Abdelghani. Studying the optimal time for meals to circadian rhythms and body health (application to hospitality establishments). Open Access Macedonian Journal of Medical Sciences 2022; 10, 108-116.

  240. ZH Mahmoud, UAR Hussein, AM Dhiaa, AF Al-Hussainy, N Aljbory, MH Shuhata, MJ Alnajar, ASOK Aljaberi, DK Mahapatra, E Kianfar, TM Joseph and S Thomas. Nano-Based Drug Delivery in Cancer: Tumor Tissue Characteristics and Targeting. Trends in Sciences 2024; 22(2), 9078.

  241. MN Shalaby, MMA Sakoury, SS Al-jameel and A Alghamdi. The effect of diving for different years on CD34+ stem cells and some physiological variables for commercial divers. International Journal of Human Movement and Sports Sciences 2021; 9(6), 1146 - 1156.

  242. MN Shalaby, MMA Sakoury, E Abdi, S Elgamal, S Elrkbwey, W Ramadan and R Taiar. The impact of resistance training on gene expression of IGF1 and athletes’ physiological parameters. Open Access Macedonian Journal of Medical Sciences 2021; 9, 934-940.

  243. MN Shalaby, MM Sakoury, MA Kholif and NIA Albadaly. The role of amino acids in improving immunity and growth factors of volleyball players. Journal of Advanced Pharmacy Education and Research 2012; 10(4), 140-144.

  244. MN Shalaby, M Saad, S Akar, MAA Reda and A Shalgham. The role of aerobic and anaerobic training programs on CD34+ stem cells and chosen physiological variables. Journal of Human Kinetics 2012; 35, 69-79.

  245. M Shalaby, MMA Sakoury, SM Harthi, FM Alshalawi, MM Alhajji, ZH Alshaikh and AH Aljaber. Vitamin D3 for health and muscle functions of athletes. Systematic Reviews in Pharmacy 2020; 11(9), 851-854.

  246. J Khan, SH Kusmahani, S Ruhi, S Al-Dhalli, M Kaleemullah, R Saad, F Asmani and E Yusuf. Design and evaluation of sustained release matrix tablet of flurbiprofen by using hydrophilic polymer and natural gum. International Journal of Medical Toxicology & Legal Medicine 2020; 23(1 - 2), 149-159.

  247. TH Mousa, ZMJ Al-obaidi and SL Alkhafaji. Molecular docking studies and evaluation of the anti-inflammatory activity of ibuprofen-tranexamic acid codrug. Latin American Journal of Pharmacy 2021; 40, 128-134.

  248. Z Zhang, F Cui, C Cao, Q Wang and Q Zou. Single-cell RNA analysis reveals the potential risk of organ-specific cell types vulnerable to SARS-CoV-2 infections. Computers in Biology and Medicine 2022; 140, 105092.

  249. P Xu, J Cao, C Yin, L Wang and L Wu. Quantum chemical study on the adsorption of megazol drug on the pristine BC3 nanosheet. Supramolecular Chemistry 2021; 33(3), 63-69.

  250. X Zong, X Xiao, B Shen, Q Jiang, H Wang, Z Lu, F Wang, M Jin, J Min, F Wang and Y Wang. The N6-methyladenosine RNA-binding protein YTHDF1 modulates the translation of TRAF6 to mediate the intestinal immune response. Nucleic Acids Research 2021; 49(10), 5537-5552.

  251. X Li, Z Dong, P Yu, L Wang, X Niu, H Yamaguchi, X Niu and D Li. Effect of self-assembly on fluorescence in magnetic multiphase flows and its application on the novel detection for COVID-19. Physics of Fluids 2021; 33(4), 042004.

  252. EA Temidayo, ON Chidinma and AO Adeniyi. Resistance development in multi-drug resistant bacteria to antimicrobials from methanolic extract of the stem bark of artocarpus altilis. The International Journal of Biotechnology 2021; 10(1), 31-38.

  253. LM Kaminskas, DEV Pires and DB Ascher. DendPoint: A web resource for dendrimer pharmacokinetics investigation and prediction. Scientific Report 2019; 9, 15465.

  254. EF Abdullah, AM Almousawy, FM Abbas, TA Aliwi and NAM Hassan. Medical datasets training and enhancing disease prediction. Wasit Journal for Pure Science 2024; 3(3), 84-100.

  255. EAAT Al-Bayati and MM Zeidan. Study the role of inhibin b, TPO antibody, and thyroid hormones in patients with hyper and hypothyroidisim. Wasit Journal for Pure Science 2021; 4(1), 143-155.

  256. SM Abdullah and NAJ Al-Zubaidy. Effect of application of humic acid and zinc at different concentrations and their interaction on some vegetative growth characteristics of chilli pepper Capsicium annuum L. Wasit Journal for Pure Science 2025; 4(1), 222-229.

  257. NA Hanoush and AE Dhamad. A successful approach to extracted human mtDNA and amplify some genes from FFPE samples. Wasit Journal for Pure Science 2024; 3(4), 186-191.

  258. G Naji, N Fareed and W Al-Zheery. Dendrimer as a recent drug delivery system: An overview. Journal of Biomedicine and Biochemistry 2022; 1(3), 57-69.

  259. AMIA Sayeh and M Rawashdeh. Immunopathology of autoimmune hemolytic anemia: A systematic review of molecular mechanisms and emerging therapeutic strategies. Journal of Biomedicine and Biochemistry 2025; 4(1), 40-51.

  260. MM Youssef, AM Helal and YI Khedr. Endocrine disrupting chemicals and human health: A review of toxicological mechanisms and regulatory challenges. Journal of Biomedicine and Biochemistry 2025; 4(1), 14-26.

  261. A Al-hassan and Z Rezvani. miRNAs: Potential as biomarkers and therapeutic targets for cancer. Journal of Biomedicine and Biochemistry 2024; 3(3), 1-8.

  262. SQ Al-Hamadiny, RI Salman and AM Al-Rawe. Nanocarriers and Beyond: Innovations in overcoming barriers for effective CNS drug delivery. Trends in Pharmaceutical Biotechnology 2023; 1(1), 34-47.

  263. SE Udeabor. Monoclonal antibodies in modern medicine: Their therapeutic potential and future directions. Trends in Pharmaceutical Biotechnology 2024; 2(2), 12-20.

  264. UVNV Arjun, N Vidiyala, P Sunkishala, P Vidiyala, KTK Reddy, S Elumalai, S Bhutia and SH Syed. Bio-inspired green synthesis of nanoparticles for psoriasis treatment: A Review of current status and future directions. Asian Journal of Green Chemistry 2025; 9(4), 373-403.

  265. WKH Al-Behadili, YM Jawad and HJ Hasan. Study the effect of PH on absorption and fluorescence spectra of eosin y dye in ethanol. Asian Journal of Green Chemistry 2023; 7(3), 163-174.

  266. R Darwin, R Valmon, S Chithanna, SH Galla, SH Syed, AAM Billah, KTK Reddy and UVNV Arjun. Sustainable extraction and purification of phytochemicals: A review of green solvents and techniques. Chemical Methodologies 2025; 9(5), 356-385.

  267. PM Jahani, R Zaimbashi, H Beitollahi and S Tajik. An electrochemical sensor based on SnSe nanosheets and ionic liquids for the selective detection of N-acetylcysteine. Chemical Methodologies 2025; 9(3), 158-171.

  268. AA Saadi, H Alinezhad, M Tajbakhsh and MN Al-Baiati. Phthalate-functionalized hyperbranched glycerol polyester nanocopolymer: Synthesis, characterization, and malachite green dye adsorption efficiency. Chemical Methodologies 2025; 9(3), 208-232.

  269. N Tadayon and A Ramazani. Molecular docking and dynamics analysis of COVID-19 main protease interactions with alkaloids from hyoscyamus niger and datura stramonium. Chemical Methodologies 2023; 7(11), 883-903.

  270. N Tadayon and A Ramazani. In silico analysis of Sars-CoV-2 main protease interactions with selected hyoscyamus niger and datura stramonium compounds for finding new antiviral agents. Chemical Methodologies 2023; 7(8), 613-636.

  271. M Hasani and M Ghods. M-Polynomials and topological indices of porphyrin-cored dendrimers. Chemical Methodologies 2023; 7(4), 288-306.

  272. MAJ Turki, SH Awad and SK Ibrahim. Synthesis and characterization of new demulsifier from natural polymer. Chemical Methodologies 2022; 6(9), 649-660.

  273. SMH Hosseini, MR Naimi-Jamal and M Hassani. Preparation and characterization of mebeverine hydrochloride niosomes as controlled release drug delivery system. Chemical Methodologies 2022; 6(8), 591-603.

  274. S Sajjadifar, F Abakhsh and Z Arzehgar. Design and characterization of Fe₃O₄@n-pr-NH₂@Zn₃(BTC)₂ magnetic MOF: A catalyst for dihydropyrimidine and 2-Amino-4𝐻-Chromene synthesis. Chemical Methodologies 2024; 8(8), 550-568.

  275. SN Alnajjar and NJM Radhi. Comparative efficacy of two biomimetic materials in re-hardening artificially demineralized enamel tooth surface. Journal of Medicinal and Pharmaceutical Chemistry Research 2025; 7(6), 1130-1143.

  276. KR Surana, SG Jadhav, RK Khiarnar, DI Wagh, SK Mahajan and DD Sonawane. A recent concept of importance: Click chemistry. Progress in Chemical and Biochemical Research 2024; 7(4), 394-411.

  277. E Kianfar. Gold Nanoparticles in Photothermal Cancer Therapy: Current Trends and Outlook. Trends in Sciences 2025; 22(5), 9433.

  278. K Rapolu and S Muvvala. Optimization and characterization of brinzolamide loaded biodegradable, amphiphilic poly-caprolactone-polyethylene glycol-poly-caprolactone (5000-1000-5000) tri-block co-polymeric carriers as long-acting intravitreal drug delivery vehicle for glaucoma therapy. Advanced Journal of Chemistry, Section A 2025; 8(3), 639-666.

  279. FH Saboor and A Ataei. Decoration of metal nanoparticles and metal oxide nanoparticles on carbon nanotubes. Advanced Journal of Chemistry, Section A 2024; 7(2), 122-145.

  280. E Kianfar. Advances in Nanoelectronics: Carbon Nanotubes, Graphene, and Smart Polymers: A review. Trends in Sciences 2025; 22(7), 9843.

  281. KTK Reddy, G Dharmamoorthy, DV Devi, N Vidiyala, OM Bagade, S Elumalai, VLS Dantinapalli and S Kasimedu. Phytoconstituent-Based green synthesis of nanoparticles: Sources and biomedical applications in cancer therapy. Asian Journal of Green Chemistry 2025; 9(3), 329-354.

  282. H Hassani, S Heidary and SH Banitaba. Application of basic magnetic phase transfer nanocatalysts in the one-pot and multicomponent synthesis of poly-substituted aniline. Chemical Methodologies 2025; 9(6), 403-416.

  283. R Taghavi and S Rostamnia. Four-component synthesis of polyhydroquinolines via unsymmetrical hantzsch reaction employing Cu-IRMOF-3 as a robust heterogeneous catalyst. Chemical Methodologies 2022; 6(9), 639-648.

  284. JC Thennakoon. Unveiling the impact of illicit drug addiction on immune suppression: A narrative review. Eurasian Journal of Science and Technology 2025; 5(1), 27-33.

  285. R Yousefi and S Mokaramian. The antibacterial potential of dillapional and scopoletin extracted from foeniculum vulgare. Eurasian Journal of Science and Technology 2025; 5(1), 34-42.

  286. BS Shotorbani and L Mahboobi. Efficacy of tofacitinib in juvenile idiopathic arthritis: A systematic review. Eurasian Journal of Science and Technology 2025; 5(1), 70-80.

  287. HS Samuel and FM Ekpan. The use of scanning electron microscopy SEM for medical application: A mini review. Eurasian Journal of Science and Technology 2024; 4(4), 289-294.

  288. OP Egwuatu, M Ori, H Oluchi, HS Samuel and FM Ekpan. AI-enabled diagnostics and monitoring in nanomedicine. Eurasian Journal of Science and Technology 2024; 4(3), 208-229.

  289. MO Ori, FM Ekpan, HS Samuel and OP Egwuatu. Integration of artificial intelligence in nanomedicine. Eurasian Journal of Science and Technology 2024; 4(2), 88-104.

  290. JB Puri, AM Shaikh and UP Dhuldhaj. Phytochemical and biochemical analysis of ajwain seed’s content. Eurasian Journal of Science and Technology 2023; 4(1), 31-34.

  291. IM Ibrahim, N Yakubu, S Abubakar and OM Nkemakonam. Preparation and evaluation of chitosan-alginate microparticles for luteolin entrapment. International Journal of Advanced Biological and Biomedical Research 2025; 13(1), 1-13.

  292. HS Samuel, U Nweke-Maraizu and EE Etim. Supercritical fluids: Properties, formation and applications. Journal of Engineering in Industrial Research 2023; 4(3), 176-188.

  293. S Sajjadifar, A Zarrouk, Z Arzehgar, H Hamidi, PHT Amiri, A Rahimi, MM Heydari, SL Khan, U Rilwan, RK Jamal and M Abubaker. A recent advancement on the applications of modified electrochemical sensors in determination of morphine-a review. Journal of Environmental and Bioanalytical Electrochemistry 2025; 1(1), 53-73.

  294. H Vardhan, A Jain and AK Singhai. Potential of dendrimers in drug delivery: An updated review. Asian Journal of Pharmaceutical Research 2024; 14(3), 242-254.

  295. Z Xiong, M Shen and X Shi. Dendrimer-based strategies for cancer therapy: Recent advances and future perspectives. Science China Materials 2018; 61(11), 1387-1403.

  296. M Chirag, DV Gowda, S Babu and NKF Roohi. A comprehensive review on dendrimers in current advanced drug delivery. International Journal of Research in Pharmaceutical Sciences 2020; 11(1), 1055-1066.

  297. AS Abd-El-Aziz and C Agatemor. Emerging opportunities in the biomedical applications of dendrimers. Journal of Inorganic and Organometallic Polymers and Materials 2018; 28, 369-382.

  298. Y Shen, Z Zhou, M Sui, J Tang, P Xu, EAV Kirk, MJ Murdoch, M Fan and M Radosz. Charge-reversal polyamidoamine dendrimer for cascade nuclear drug delivery. Nanomedicine 2010; 5(8), 1205-1217.

  299. W Jiang, X Luo, L Wei, S Yuan, J Cai, X Jiang and Y Hu. The sustainability of energy conversion inhibition for tumor ferroptosis therapy and chemotherapy. Small 2021; 17, 2102695.

  300. G Wang, B Wu, Q Li, S Chen, X Jin, Y Liu, Z Zhuo, Y Shen and P Huang. Active transportation of liposome enhances tumor accumulation, penetration, and therapeutic efficacy. Small 2020; 16(44), e2004172.

  301. Q Zhou, S Shao, J Wang, C Xu, J Xiang, Y Piao, Z Zhou, Q Yu, J Tang, X Liu, Z Gan, R Mo and Z Gu. Enzyme-activatable polymer-drug conjugate augments tumour penetration and treatment efficacy. Nature Nanotechnology 2019; 14, 799-809.

  302. G Wang, D Zhu, Z Zhou, Y Piao, J Tang and Y Shen. A glutathione-specific and intracellularly labile polymeric nanocarrier for efficient and safe cancer gene delivery. ACS Applied Materials & Interfaces 2020; 12(13), 14825-14838.

  303. X Liu, J Xiang, D Zhu, L Jiang, Z Zhou, J Tang, X Liu, Y Huang and Y Shen. Fusogenic reactive oxygen species triggered charge-reversal vector for effective gene delivery. Advanced Materials 2016; 28(9), 1743-1752.

  304. J Wang, RC Cooper and H Yang. Polyamidoamine dendrimer grafted with an acid-responsive charge-reversal layer for improved gene delivery. Biomacromolecules 2020; 21(10), 4008-4016.

  305. H He, Q Yuan, J Bie, RL Wallace, PJ Yannie, J Wang, MG Lancina, OY Zolotarskaya, W Korzun, H Yang and S Ghosh. Development of mannose functionalized dendrimeric nanoparticles for targeted delivery to macrophages: Use of this platform to modulate atherosclerosis. Translational Research 2018; 193, 13-30.

  306. JB Pryor, BJ Harper and SL Harper. Comparative toxicological assessment of PAMAM and thiophosphoryl dendrimers using embryonic zebrafish. International Journal of Nanomedicine 2014; 9(1), 1947-1956.