Trends
Sci.
2025; 22(9):
10468
Influence of Wet and Dry Sourdough from Pigeon Pea (Cajanus cajan L. Huth) on the Characteristics of Wheat Bread
Rini Yanti, Tyas Utami*, Fiametta Ayu Purwandari,
Dwinindy Aisyah Nur Laili and Nasira Kemhay
Department of Food and Agricultural Product Technology, Gadjah Mada University, Yogyakarta 55281, Indonesia
(*Corresponding author’s e-mail: [email protected])
Received: 25 April 2025, Revised: 16 May 2025, Accepted: 23 May 2025, Published: 10 July 2025
Abstract
This study investigates the potential of pigeon pea as a gluten-free alternative in sourdough production. Sourdough was prepared by mixing ground pigeon pea and water at a 1:1 ratio, followed by daily feeding with a ratio of 1:2:2 (g/g) (water:sourdough:pigeon pea flour) for 10 days and dried at 30 °C for 24 h. Wet sourdough was used to make wheat bread with sourdough:wheat flour ratios of 1:4, 1:6, 1:8, 1:10, and 1:12 (g/g) and proofing temperature variations at room (30 °C) and cool temperature (20 °C). The results showed that the bread with ratio 1:4 using a wet sourdough had a high specific volume with low cell density and texture among all ratios. Thus, a ratio of 1:4 was chosen to produce bread using dry sourdough. Bread made with dry sourdough showed lower specific volume, higher cell density and increased hardness. Furthermore, various unique volatile compound profiles have been developed, with the pigeon-pea-sourdough dough (PS-dough) 1:4 having the highest alcohol, acid, and hydrocarbons; pigeon-pea-sourdough bread (PS-bread) 1:4 having the highest isovaleraldehyde; and fresh pigeon-pea-sourdough (Fresh-PS) having the highest ethyl acetate. These results indicate that wet PS has potential as a functional ingredient in wheat bread production. The study also suggests that pigeon pea could be a promising alternative for gluten-free sourdough production.
Keywords: Drying, Gluten-free, Lactic acid bacteria, Pigeon pea, Sourdough, Wheat bread, Yeast
Introduction
The growing demand for alternative ingredients in bread making has led to an exploration of novel ingredients, including sourdough. Traditionally, sourdough, a natural leavening agent, is made from wheat flour that contains gluten. However, recent studies have highlighted that some populations are intolerant to gluten, leading to inflammation or digestive discomfort, associated with conditions such as celiac disease, non-celiac gluten sensitivity, and wheat allergy [1]. The prevalence of these populations has increased, creating a growing demand for gluten-free alternatives [2]. In response, researchers have explored various gluten-free sourdough formulations using legumes. Eraslan et al. [3] reported that adding sourdough made with the combination of chickpea and carob in wheat bread formulation enhanced bread’s nutritional properties and decreased mold growth, making it a promising ingredient for bread making. Penalver and Nieto [4] reported that sourdough made from quinoa, amaranth, rice, and spirulina showed improvement in antioxidant properties and protein content, with amaranth sourdough having the highest consumer’s preferences.
Pigeon pea (Cajanus cajan L.Huth) offers a promising gluten-free alternative with high nutritional value such as protein, fiber, and essential micronutrients (iron and calcium) [5]. In general, pigeon pea contains 19.2% protein, 57.3% carbohydrates, 1.5% fats, 8.1% fiber, and 3.8% ash [6]. Based on previous study, native and treated pigeon pea flours are acceptable for cookies and enhance its nutritional value [3]. According to Bolaji et al. [7], pigeon peas flour that was incorporated with lafun (fermented cassava flour) to make lafun amala (Nigerian dish) had improved quality parameters (nutritional, functional, and pasting value) and was favorably accepted. These indicate that pigeon peas can potentially to support the development of functional foods. Despite the nutritional and functional properties of pigeon pea, the application of this legume remains largely unexplored.
This study investigated the influence of wet and dry sourdough made from pigeon peas on the characteristics of wheat bread. Incorporation of pigeon peas into the sourdough process might offer a unique combination of sensory and health benefits, making it an interesting innovation in the culinary world.
Materials and methods
Sourdough and bread-making
Pigeon pea (Cajanus cajan L. Huth) was purchased from the local farmer (Wonogiri, Central Java). The ingredients for bread production including wheat flour with protein content of 13% (Bogasari, Surabaya), sugar gulaku (Khalifa inc,Jakarta) salt cap kapal (Susanti Megah, Jakarta), UHT milk (Ultra Milk, Bandung Barat), and margarine (Blue Band, Cikarang) were purchased from a local supermarket (Mirota, Yogyakarta).
In brief, pigeon pea flour was prepared by grinding 500 g of pigeon peas using a grinder (FCT Z500, PT Ramesia Mesin Indonesia, Fomac) at 28000 rpm for 2 min. Then, the flour was sieved to pass a 60-mesh sieve (0.25 mm). Sourdough was prepared with the ratio 1:1 w/w pigeon pea flour and drinking water and incubated at 30 °C for 24 h [8]. The dough was refreshed by the back slopping also known as propagation every 24 h [9]. The propagation is initially done by discarding the sourdough until approximately 25 g of remaining mixture was left in the jar. Fresh pigeon flour (50 g) and water (50 g) were added to the remaining mixture. This method is essential to maintain the microbial activity of the sourdough. The sourdough was fermented for 10 days, as the preliminary trials with 10 days fermentation showed higher bread expansion than 7 days fermentation.
For dry sourdough, 100 g of pigeon pea flour and 100 g of water were added to 50 g of fresh sourdough and incubated at 30 °C for 24 h. The sourdough was dried using a cabinet dryer (FDH-10, Wiratech Inc, Indonesia) at 30 °C for 24 h. The dry sourdough was stored in an airtight capped plastic container at room temperature for further analysis.
Wet and dry sourdough were applied to make wheat bread. Five formulas for sourdough bread were prepared according to the ratio of sourdough-to-flour (1:4, 1:6, 1:8, 1:10, and 1:12 w/w). The main ingredients list of the bread is shown in Table 1.
All of the ingredients were mixed using an electric mixer for 6 min. The dough was laid on the bread pan and fermented at cool temperature 20 °C and room temperature (30 °C) for 12 -18 h. The dough was baked for 45 min at 150 °C.
Table 1 The Ingredients of sourdough bread formulations with varying sourdough-to-flour ratios
Ingredients |
Sourdough: Wheat flour (w/w) |
||||
1:4 |
1:6 |
1:8 |
1:10 |
1:12 |
|
Sourdough (g) |
60 |
60 |
60 |
60 |
60 |
Flour (g) |
240 |
360 |
480 |
600 |
720 |
Sugar (g) |
21.81 |
32.72 |
43.62 |
54.53 |
64.43 |
Milk(g) |
152.71 |
229.067 |
305.42 |
381.78 |
458.13 |
Margarine (g) |
30.86 |
46.29 |
61.72 |
77.15 |
92.6 |
Salt (g) |
3.48 |
5.22 |
6.96 |
8.7 |
10.44 |
Determination of pH and total titratable acidity
pH and total titratable acidity (TTA) were measured on 10 g of sample homogenized with 100 mL of distilled water [10]. TTA was determined by 0.1 mL/L NaOH until it reached pH 8.5 and expressed as the amount of NaOH (mL). The pH was measured by a digital pH meter (Filox, Pavan International, India) [11].
Enumeration of lactic acid bacteria and yeast
Five g of sourdough sample was mixed with 45 mL of a physiological solution. Each sample of the serial dilution was a spread plate. The medium used was peptone dextrose agar for yeast and MRS agar for lactic acid bacteria Ripari et al. [12] The plate of yeast was incubated at 30 °C for 72 h and the plate of lactic acid bacteria was incubated at 27 °C for 72 h [11].
Microstructure analysis of wheat bread
The breas’s microstructure of the bread was determined using ImageJ (version 1.54 g, National Institutes of Health, USA). The microstructure was characterized by assessing the cell density (cells/mm2) and the mean cell area (mm2). Cell density (cells/mm2) was measured by dividing the total number of cells by the mean cell area.
Volume specific analysis of wheat bread
The specific volume of the bread was evaluated 30 min after baking by the rapeseed displacement method AACC 10 - 05.01. Specific volume was measured by dividing the loaf (mL) by the weight of the loaf (g).
Texture analysis of wheat bread
The texture analysis of bread was measured using a Texture Analyzer (TA-XT2i, Ametek, United Kingdom). The bread was compressed to 50% of its initial height with a cross-head speed of 1.5 mm/s. The results were hardness (N), gumminess (N), chewiness (N), springiness, cohesiveness, and resiliency.
Volatile compounds analysis by gas chromatography-mass spectrometry (GC/MS) method
The
volatile compounds were determined in pigeon pea sourdough dough
with a ratio 1:12,
dry pigeon pea sourdough dough with ratio 1:4,
pigeon pea sourdough dough with ratio 1:4,
sourdough bread of pigeon pea with ratios of 1:4
and 1:12,
fresh sourdough and dry sourdough by GC/MS
coupled with solid-phase
micro-extraction
(SPME-GC/MS)
methods.
The
2 g of each sample were transferred and sealed in a 22 mL SPME vial
for 45 min.
Every
extraction was ran at 60
℃ with
SPME fiber DVD/CAR/PDMS
(divinylbenzene/
carboxen/polydimethylsiloxane)
and
transferred into an XL EI/CI
spectrometer.
Separation
chromatography using capillary column DB-Wax
(30m
250
0.25
µm2
).
The
temperature of the oven was initially set 50 °C for 5 min, then
increased to 210 °C
at
5 °C/min
without a holding time (0
min),
followed by a further increase to 240 °C at the rate of 10 °C/min,
and held for 5 min.
Carrier
gas was helium at a rate of 1 mL/min.
The
volatile compounds were identified based on reorientation times and
mass spectrum comparison with the spectra available in the NIST23
library.
Statistical analysis
Statistical analysis was performed using IBM SPSS Statistics version 25.0 (IBM Corp., Armonk, New York). All analyses were conducted in triplicate. Data were analyzed using one-way ANOVA (Analysis of variance) followed by Duncan’s multiple range test to evaluate significant differences, with a significance level set at p ≤ 0.05. Additionally, to evaluate differences in specific volume, microstructure, and bread texture at 30 °C versus 20 °C using an Independent-Samples T Test with 95% a confidence interval.
Results and discussion
pH and total titratable acidity of pigeon pea sourdough
Pigeon pea sourdough was fermented for 10 days until it matured. Half of the matured wet sourdough on day-10 was used to make wheat bread and the remaining was dried. The daily changes in pH and Total Titratable Acidity (TTA) of wet and dry pigeon pea sourdough were systematically analyzed and the corresponding results were shown in Figure 1(A).
Figure 1 (A) The pH (p > 0.05) level and Total Titratable Acidity (TTA) (p < 0.05), (B) The total lactic acid bacteria (LAB) (p < 0.001) and yeast (0.001 < p < 0.01) of pigeon pea sourdough at day 10 before and after the drying process (N=3).
The pH of both wet and dry sourdough, as indicated in Figure 1(A). The black bars represent pH values, while the gray line corresponds to TTA, expressed as the volume of NaOH (mL) used in the titration. The pH of both wet and dry sourdough, as indicated in Figure 1(A), is not significantly different. A low pH value shows an acidic environment, which is a crucial characteristic of sourdough that contributes to the flavor and texture of bread. In this study, both wet and dry sourdough exhibited a pH of 4.5, which is close to the study by Verni et al. [13] who reported a pH of 4.3 in sorghum sourdough and Danila et al. [8] who reported a pH of 4.91 for sourdough using pineapple starter. However, the pH value of sourdough in this study is aligned with the pH value of matured sourdough which is 3.5 - 4.3 Aplevicz et al. [14]. pH value is closely related to the titratable acidity (TTA) of the sourdough. Typically, a low pH value corresponds to high TTA. TTA value shows the degree of acid production due to fermentative microorganisms, primarily lactic acid bacteria (LAB) and yeast, which metabolize available sugar in pigeon peas. In this study the acidity value of wet sourdough is lower than that of the previous study by Verni et al. [13] who reported an acidity value of 11.2 mL NaOH for sorghum sourdough after 10 days of fermentation. The various acidity values depend on the type of raw material used, the specific microbial community involved, and variations in fermentation conditions. Meanwhile, the TTA value of dry sourdough is higher than the wet sourdough. It might be attributed to the concentration effect that occurs during the drying process. As moisture content decreases, the acids become more concentrated, effectively increasing the TTA value in dry sourdough. This result is consistent with a previous study by Raaf et al. [15] who reported higher acidity in dry Amla fruit compared to Amla juice.
Lactic acid bacteria and yeast count
The total lactic acid bacteria (LAB) and yeast of wet and dry pigeon pea sourdough was shown in Figure1(B). The comparison between matured wet and dry sourdough reveals a significant decline in LAB and yeast counts in dry sourdough (Figure 1(B)). LAB and yeast count in wet sourdough were notably higher, while the drying process reduced these microbial counts by approximately 5.57 and 6.21 log cycles, respectively. This reduction occurred because lactic acid bacteria and yeast are heat-sensitive. The drying process, which involved high temperatures, caused thermal stress, protein denaturation, and reduced microbial activity, leading to a decrease in microbial count [16]. The results are align with a previous study by Dandadzi et al. [17] who reported that sun drying (25 - 30 °C) reduced LAB and yeast count in edible stink bug; and Ng’ang’a et al. [18] who reported that drying using the toasting method completely eliminated the LAB count.
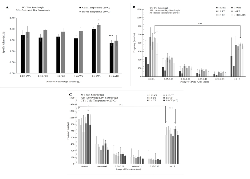
Specific volume of wheat bread
The specific volume of bread with varying ratios of pigeon pea sourdough-to-wheat flour is shown at Figure 2(A). Wet sourdough was used in different ratios of 1:4, 1:6, 1:8, 1:10, and 1:12 with flour to assess the optimal bread expansion level. Therefore, dry sourdough was only applied at a ratio that produced the highest specific volume. In addition, all ratios were tested at 2 types of temperature, room temperature (30 °C) and cool temperature (20 °C). This study reveals that proofing temperatures do not differ significantly at the ratios 1:6, 1:8, 1:10, 1:12 made from wet sourdough and 1:4 made from dry sourdough. However, the proofing temperature affects 1:4 ratio made from wet sourdough. The discrepancy may be attributed to several factors beyond temperature alone. The bread quality including specific volume parameters is affected by many factors such as temperature, time, addition of fibers Elawad et al. [19], dough handling, starch gelatinization, hydration, and others [20]. Further research is needed to explore the factors in greater detail to fully understand their impacts on dough characteristics.
Figure 2 (A) The specific volume of bread with varying ratios of pigeon pea sourdough-to-wheat flour, (B) The frequency of bread’s pores with varying ratios of pigeon pea sourdough-to-wheat flour fermented at room temperature (30 ℃), (C) The frequency of bread’s pores with varying ratios of pigeon pea sourdough-to-wheat flour fermented at cool temperature (20 ℃) using W (Wet pigeon pea sourdough) and AD (Activated dry pigeon pea sourdough) (N=3) (p < 0.001).
Among all ratios at room and cool temperatures, bread at 1:4 ratio made from wet sourdough showed the highest specific volume which might be due to the optimal balance of microbial activity and substrate availability (flour), thus LAB and yeast have sufficient substrate to ferment and produce a significant amount of carbon dioxide. Therefore, dry sourdough was applied to make bread at a 1:4 ratio, resulting in lower specific volume than dry sourdough. This can be attributed to the higher LAB and yeast counts present in wet sourdough compared to dry versions, which facilitate greater gas production and enhance dough expansion. Previous study by Gobbetti et al. [21] reported that high microbial activity directly correlates with improved gas retention in sourdough-based dough, contributing to the specific volume and texture of the bread. The reduced microbial populations in dry sourdough may limit gas-production activity, thus leading to denser crumb structure with low specific volume. This finding is similar to a previous study by Arslan-Tontul et al. [22] who reported that liquid or wet sourdough exhibit higher specific volume. However, results in this study are lower than those in the literature, which might be due to different sourdough preparation. In literature, the sourdough was inoculated with starter resulting in higher LAB counts. Meanwhile lower ratios of sourdough to flour, such as 1:6, 1:8, 1:10, or 1:12 showed reduced specific volume but did not differ significantly from each other, which might be due to an imbalance in the proportion of substrate availability and microbial concentration, causing a reduction of gas production and resulting in lower specific volume [23].
Microstructure of wheat bread
Figures 2(B) and 2(C) shows the distribution of the pore area of pigeon pea sourdough bread, fermentation at room temperature (30 ℃) and cool temperature (20 ℃) with ratios of 1:12, 1:0, 1:8, 1:6, 1:4 and 1:4 activated dry pigeon pea sourdough. Previous study reported that the addition of germinated bean flour at 15 % at room temperature enhanced the porosity and cell structure of the dough [24]. At cold temperature (20 ℃) the ratio 1:4 and 1:4 Activated dry pigeon pea sourdough (AD) of sourdough bread has the highest frequency of 0 - 0.03 mm. It shows that the distribution pore at cold temperature was higher than at room temperature (30 ℃). The optimal distribution of pores, with many small pores, is essential for achieving significant bread volume. Small pores effectively retain gas during the fermentation process, thereby enhancing the bread's volume. Elevated temperatures (30 °C) expedite fermentation, yet maintaining a well-distributed pore structure remains critical for achieving substantial bread volume. At ratios 1:12 and 1:10 the pores tend to be smaller and uniform than others at range, especially at colder temperatures, resulting in the bread having denser crumb structure and lower volume. These findings are supported by studies, such as Gao et al. [25], which discusses how temperature-dependent gas cell expansion affects the final crumb structure.
Texture analysis of wheat bread
Tables 2 and 3 gives the results of texture analysis for bread using varying ratios of pigeon pea sourdough-to-wheat flour.
Table 2 The mean values and standard deviations of texture analysis of Hardness (N), Gumminess (N), and Chewiness (N) of bread with variations of pigeon pea sourdough-to-wheat flour ratio and different proofing temperatures (20 and 30 ℃). In addition, 2 types of sourdough used were W (Wet pigeon pea sourdough) and DA (Activated dry pigeon pea sourdough). The DA was only applied in 1:4 ratio, as this formulation showed the highest specific volume.
Ratio |
Hardness (N) |
Gumminess (N) |
Chewinness (N) |
|||
20 °C |
30 ℃ |
20 ℃ |
30 ℃ |
20 ℃ |
30 ℃ |
|
1:12 (W) |
58.4 ± 4.4b |
51.0 ± 0.1ab |
30.4 ± 1.7bcd |
26.4 ± 0.1abc |
26.6 ± 1.6abc |
23.3 ± 0.2ab |
1:10 (W) |
48.6 ± 14.3ab |
54.5 ± 0.04ab |
24.7 ±7.3ab |
24.2 ± 0.0ab |
21.6 ± 6.5ab |
20.8 ± 0.4ab |
1:8 (W) |
50.3 ± 7.7ab |
47.5 ± 3.6ab |
26.9 ± 4.5abc |
23.1 ± 1.4ab |
24.2 ± 4.1ab |
20.7 ± 1.2ab |
1:6 (W) |
48.5 ± 8.0ab |
53.5 ± 7.9ab |
25.4 ± 3.8abc |
26.3 ± 1.4abc |
22.5 ± 3.6ab |
22.8 ± 3.5ab |
1:4 (W) |
39.1 ± 0.4a |
42.9 ± 2.4ab |
20.9 ± 0.3a |
20.9 ± 2.8a |
19.1 ± 0.2a |
18.9 ± 2.5a |
1:4 (DA) |
79.5 ± 6.3c |
82.7 ± 18.7c |
38.0 ± 1.7d |
33.6 ± 11.70cd |
32.9 ± 3.1c |
28.3 ± 11.0bc |
Mean ± SD with different superscripts in a row differ significantly (p ≤ 0.05).
Table 3 The mean values and standard deviations of texture analysis of Cohesiveness (N), Springiness Index (N), and Resilience (N) of bread with variations of pigeon pea sourdough-to-wheat flour ratio and different proofing temperature (20 and 30 ℃). In addition, 2 types of sourdough used were W (Wet pigeon pea sourdough) and DA (Activated dry pigeon pea sourdough). The DA was only applied in 1:4 ratio, as this formulation showed the highest specific volume.
Ratio |
Cohesiveness |
Springiness Index |
Resilience |
|||
20 ℃ |
30 ℃ |
20 ℃ |
30 ℃ |
20 ℃ |
30 ℃ |
|
1:12 (W) |
0.52 ± 0.02c |
0.53 ± 0.01c |
0.87 ± 0.02bc |
0.88 ± 0.01bc |
0.46 ± 0.03cd |
0.46 ± 0.01cd |
1:10 (W) |
0.50 ± 0.00c |
0.44 ± 0.01ab |
0.87 ± 0.00abc |
0.86 ± 0.02ab |
0.44 ± 0.00cd |
0.39 ± 0.01ab |
1:8 (W) |
0.53 ± 0.01c |
0.49 ± 0.01bc |
0.9 ± 0.01bc |
0.89 ± 0.01bc |
0.45 ± 0.02cd |
0.43 ± 0.01bcd |
1:6 (W) |
0.52 ± 0.02c |
0.49 ± 0.01c |
0.86 ± 0.04bc |
0.86 ± 0.04ab |
0.45 ± 0.02cd |
0.43 ± 0.00bcd |
1:4 (W) |
0.53 ± 0.00c |
0.48 ± 0.04bc |
0.88 ± 0.01c |
0.90 ± 0.01bc |
0.47 ± 0.00d |
0.43 ± 0.03bcd |
1:4 (DA) |
0.48 ± 0.05bc |
0.39 ± 0.05a |
0.86 ± 0.02ab |
0.86 ± 0.02ab |
0.41 ± 0.05bc |
0.34 ± 0.04a |
Mean ± SD with different superscripts in a row differ significantly (p ≤ 0.05).
The texture of bread, particularly hardness, is a crucial quality attribute influenced by processing conditions and sourdough concentration. In this study, all ratios made from wet sourdough, at both room and cool temperatures, do not differ significantly. Dough samples with sourdough ratios of 1:6, 1:8, 1:10, and 1:12 at room temperature exhibited slightly higher hardness values compared to the 1:4 ratio. Furthermore, the 1:12 ratio at cool temperature also showed greater hardness than the 1:4 sample. These findings suggest that lower sourdough concentrations may negatively influence gluten development and overall dough structure. This aligns with findings by Di et al. [26] who reported that the higher addition of sourdough decreased the hardness of steamed bread.
Adding 20 – 30 % of sourdough to bread formulation significantly decreased the hardness of bread [3]. However, the 1:4 ratio made from dry sourdough showed the highest hardness (Table 2). It can be attributed to low microbial populations in dry sourdough (as shown in Figure 1(B)), which limits gas production resulting in denser and firmer texture. LAB produced metabolites such as organic acid, exopolysaccharides, and enzymes, which have a positive effect on the texture of bread, including increasing the degree of softening which is attributed to the proteolysis of gluten proteins [27].
It can be seen that the proofing temperature also affects bread texture (Tables 2 and 3). The optimum temperature of most laboratory and industrial yeasts is around 20 – 30 ℃ [28]. The results in the present study showed that different proofing temperatures resulted in similar bread hardness. This indicates that both temperatures allow sufficient yeast activity for gas production and dough expansion without substantial variation in texture. This can be further explored in future studies to investigate the effect of different proofing temperatures on yeast activity, including gas production rates and metabolic products.
Volatile compounds of sourdough
Table 4 presents the main volatile compounds identified in pigeon pea sourdough dough with ratios is (1:4 &1:12), dry pigeon pea sourdough ratio 1:4, pigeon pea sourdough bread ratios (1:4 & 1:12), fresh pigeon pea sourdough and dry pigeon pea sourdough with their respective odor. The volatile compound profiles of the pigeon-pea sourdough doughs (with 1:4 and 1:12 ratios), both wet and dry, as well as the pigeon-pea sourdough bread (with 1:4 and 1:12 ratios), were comparable. This also applies to both fresh and dry pigeon-pea sourdough. Nevertheless, a slight discrepancy was observed in the % area. PS-dough 1:4 has the highest alcohol, acid, and hydrocarbons compared to others which have a honey, spice, rose, cheese, sweet, plastic odor, and lilac aroma, which is very dominant and floral on the dough. Among the aldehydes, the PS-bread with a 1:4 ratio contains the highest amount of isovaleraldehyde at 4.02 %, which is higher than the levels found in the other samples. This aldehyde has a refreshing fruity scent, which likely comes from the fermentation process. The Fresh-PS has the highest esters 5.41 % of ethyl acetate compared to the others. This ester has a fresh and sweet pineapple aroma, which makes the fresh-PS has a fresher aroma than others. The high percentages of dominant components play a significant role in providing dominant aroma in the product. The results indicate that LAB and yeast contributed to the flavors of pigeon pea sourdough during fermentation, with ratios of 1:4 & 1:12, dry pigeon pea sourdough ratio of 1:4, pigeon pea sourdough bread ratio of 1:4 & 1:12, fresh pigeon pea sourdough, and dry pigeon pea sourdough with their respective odor.
Table 4 Volatile Compound of pigeon pea sourdough dough with ratio (1:4 &1:12), dry pigeon pea sourdough ratio 1:4, pigeon pea sourdough bread ratio (1:4 & 1:12), fresh pigeon pea sourdough and dry pigeon pea sourdough with their respective odor.
No |
Volatile Compound |
Area (%) |
Odor Descritiona,b,c |
||||||
PS- dough 1:12 |
PS- dough 1:4 |
Dry PS- dough 1:4 |
PS-bread 1:4 |
PS-bread 1:12 |
Fresh-PS |
Dry-PS |
|||
Alcohols |
|||||||||
1 |
Ethanol |
- |
- |
- |
5 |
6.2 |
- |
4.77 |
Alcoholic, sweet |
2 |
Phenylethyl alcohol |
3.01 |
5.49 |
3.49 |
4.01 |
2.17 |
3.59 |
1.11 |
Honey, spice, rose, lilac |
3 |
Benzyl alcohol |
3.06 |
0.81 |
0.43 |
3.04 |
1.53 |
1.88 |
0.96 |
Sweet, flower |
4 |
1-Octen-3-ol |
0.69 |
0.54 |
0.45 |
2.64 |
0.27 |
0.98 |
1.61 |
Mushroom, fishy, grassy |
5 |
Cyclobutanol |
2.13 |
1.42 |
0.98 |
2.71 |
1.5 |
0.75 |
0.97 |
Alcohol |
6 |
1-Hexanol |
6.55 |
3.09 |
1.13 |
1.89 |
5.35 |
0.77 |
0.97 |
Resin, flower, green |
7 |
2-Octanol, (S) |
0.02 |
0.09 |
0.05 |
0.5 |
0.5 |
0.19 |
0.16 |
Mushroom, fat |
8 |
Isopropyl alcohol |
0.2 |
0.22 |
0.14 |
0.44 |
0.18 |
0.48 |
0.26 |
Slightly bitter |
9 |
1-Octanol |
1.12 |
0.33 |
0.1 |
0.43 |
0.32 |
0.31 |
0.34 |
Waxy, Green, Orange, Aldehydic, Rose, Mushroom, Citrus |
10 |
1-Tetradecanol |
- |
- |
- |
0.43 |
0.15 |
- |
- |
Coconut |
11 |
5-Nonanol |
0.27 |
0.25 |
0.18 |
0.28 |
0.1 |
0.35 |
0.46 |
Alcoholic |
12 |
2-Nonanol |
0.08 |
0.21 |
0.2 |
0.26 |
0.26 |
0.35 |
0.18 |
Cucumber |
13 |
Isoamyl alcohol |
3.75 |
0.34 |
0.33 |
0.26 |
0.76 |
0.37 |
1.05 |
alcohol |
14 |
3,3-Dimethylbutane-2-ol |
1.1 |
0.08 |
0.07 |
0.25 |
0.41 |
0.12 |
0.33 |
sweet, slightly floral, and waxy |
15 |
2-Hexanol, 3-methyl- |
0.21 |
0.04 |
0.02 |
0.15 |
0.11 |
0.12 |
0.26 |
slightly sweet, and herba |
16 |
3-Hexen-1-ol |
0.34 |
0.3 |
0.73 |
0.15 |
0.87 |
0.33 |
0.09 |
Moss, fresh |
17 |
2-Heptanol |
0.06 |
0.11 |
0.05 |
0.13 |
0.04 |
0.2 |
0.25 |
lemon grass, herbal, sweet, floral, and green |
18 |
2-Dodecanol |
0.1 |
0.05 |
0.03 |
0.11 |
0.02 |
0.02 |
0.09 |
slightly sweet, fatty, waxy |
Aldehydes |
|||||||||
19 |
Isovaleraldehyde |
1.42 |
0.5 |
1.27 |
4.02 |
3.18 |
1.2 |
0.51 |
Fruity |
20 |
Benzaldehyde |
0.72 |
1.23 |
1 |
3.62 |
2.57 |
3.68 |
1.04 |
Almond, strong, sharp, sweet, cherry, bitter and fruity |
21 |
Furfural |
0.12 |
0.47 |
0.24 |
3.4 |
1.34 |
0.23 |
0.57 |
Bread, almond, sweet |
22 |
Acetaldehyde |
1.11 |
2.84 |
3.43 |
1.59 |
2.02 |
1.67 |
1.26 |
Pungent, Ethereal, Aldehydic, Fruity |
23 |
Benzeneacetaldehyde |
0.37 |
0.21 |
0.21 |
0.36 |
0.17 |
0.36 |
0.23 |
Green |
24 |
2-Decenal, (Z) |
0.5 |
0.44 |
0.28 |
0.35 |
0.5 |
0.29 |
0.32 |
Tallow, orange |
Acids |
|
|
|
|
|
|
|
|
|
25 |
Caproic acid |
0.96 |
4.74 |
1.76 |
0.58 |
0.15 |
2.3 |
0.68 |
Pungent |
26 |
cis-Geraniol |
0.06 |
0.05 |
0.05 |
0.56 |
0.56 |
0.14 |
0.1 |
Sweet |
27 |
Isobutyric acid |
0.05 |
0.22 |
0.1 |
0.38 |
0.38 |
0.19 |
0.3 |
Rancid, butter, cheese |
28 |
Butyric acid |
0.36 |
5.05 |
1.84 |
0.26 |
0.71 |
3.23 |
0.23 |
Rancid, cheese, sweat |
Esters |
|||||||||
29 |
Ethyl phenylacetate |
0.57 |
0.44 |
0.9 |
4.26 |
0.17 |
0.43 |
0.07 |
Honey |
30 |
Ethyl acetate |
5.18 |
4.1 |
3.64 |
1.43 |
1.74 |
5.41 |
0.62 |
Pineapple |
31 |
Prehnitol |
0.07 |
0.09 |
0.07 |
1.39 |
0.51 |
0.05 |
0.09 |
|
32 |
Benzyl acetate |
0.17 |
0.09 |
0.02 |
0.95 |
0.95 |
0.42 |
0.18 |
Fresh, boiled vegetable |
33 |
2-Acetoxytridecane |
0.08 |
0.06 |
0.11 |
0.83 |
0.83 |
0.03 |
0.05 |
Mild, fatty, and waxy |
34 |
4-Ethylbenzoic acid, heptyl ester |
0.06 |
0.08 |
0.14 |
0.67 |
0.67 |
0.12 |
0.03 |
Sweet and fruity |
35 |
n-Butyl butyrate |
0.68 |
0.11 |
0.42 |
0.14 |
0.4 |
0.09 |
0.34 |
Fruity |
Furans |
|||||||||
36 |
2-Furanmethanol |
1.55 |
0.43 |
1.54 |
1.48 |
0,54 |
0.9 |
0.19 |
Burnt sugar |
37 |
Furan, 2-butyl |
0.3 |
0.11 |
0.24 |
1.16 |
1.64 |
0.15 |
0.19 |
Sweet, Wine, Fruity, Spicy |
38 |
Furan, 2-pentyl |
0.35 |
0.27 |
0.31 |
0.8 |
1.2 |
|
0.25 |
Fruity, green, earthy, beany, vegetable, metallic |
39 |
2-Acetylpyrrole |
0.01 |
0.05 |
0.01 |
0.19 |
0.19 |
0.05 |
0.02 |
Walnut, baked bread |
Lactones |
|||||||||
40 |
γ-Caprolactone |
0.09 |
0.15 |
0.12 |
0.17 |
0.17 |
0.14 |
0.12 |
Sweet |
41 |
γ-Octalactone |
0.07 |
0.16 |
0.17 |
0.12 |
0.12 |
0.46 |
0.18 |
Coconut |
Hydrocarbons |
|||||||||
42 |
Decane, 4-ethyl |
0.99 |
0.12 |
0.2 |
6.94 |
3.46 |
0.04 |
0.16 |
Alkane |
43 |
Decane, 3,6-dimethyl |
0.19 |
0.09 |
0.42 |
5.41 |
2.41 |
0.06 |
6.56 |
Alkane |
44 |
γ-Elemene |
0.21 |
0.41 |
1.04 |
3.84 |
1.11 |
3.67 |
1.68 |
Green, woody |
45 |
Decane, 3,7-dimethyl |
- |
- |
- |
3.09 |
5.25 |
- |
7.95 |
Alkane |
46 |
Undecane, 4-methyl |
0.26 |
0.32 |
0.37 |
2.57 |
3.46 |
|
3.53 |
Alkane |
47 |
Undecane, 5-methyl |
0.11 |
0.19 |
0.42 |
2.5 |
1.52 |
0.04 |
0.59 |
Alkane |
48 |
Ethylbenzene |
0.27 |
0.51 |
0.58 |
1.74 |
4.8 |
0.42 |
2.78 |
Sweet |
49 |
Undecane, 2-methyl |
0.22 |
0.27 |
0.48 |
1.16 |
1.41 |
0.15 |
0.75 |
Alkane |
50 |
Dodecane, 4-methyl |
- |
- |
- |
0.92 |
0.41 |
- |
1.79 |
Alkane |
51 |
Dodecane, 4,6-dimethyl |
0.19 |
0.4 |
0.14 |
0.83 |
0.43 |
0.02 |
1.54 |
Alkane |
52 |
m-Xylene |
1.12 |
16.61 |
2.88 |
0.42 |
14.86 |
9.41 |
0.52 |
Plastic |
53 |
o-Xylene |
0.26 |
0.2 |
0.19 |
0.41 |
0.66 |
0.07 |
0.88 |
Geranium |
54 |
D-Limonene |
0.2 |
0.27 |
0.21 |
0.41 |
0.25 |
0.24 |
0.63 |
Lemon, orange |
55 |
Styrene |
0.08 |
1.02 |
0.04 |
0.32 |
0.22 |
0.68 |
1.6 |
Balsamic, gasoline |
PS: Pigeon pea Sourdough, a: Flavornet [29], b: Petel et al. [30] , c:
Conclusions
This study evaluated the influence of wet and dry sourdough made from pigeon peas on the characteristics of wheat bread. Wet sourdough showed higher total count of LAB and yeast but lower TTA value compared to the dry version. Both wet and dry pigeon pea sourdough were used to make wheat bread. The specific bread volume was highest for the 1:4 ratio made from wet sourdough. Conversely, the 1:4 ratio from dry sourdough exhibited the lowest specific volume, likely due to the lack of microbial activity. The hardness results showed that the 1:4 ratio made from dry sourdough showed the highest hardness, while there was no significant difference among ratios made from wet sourdough. Furthermore, the unique response was observed at the 1:4 ratio made from wet sourdough to proofing temperature, where significant effects were observed. Meanwhile, proofing at room and cool temperatures does not affect significantly affect on the remaining ratios. The fermentation process has developed various unique volatile compounds across all samples, with the PS-dough 1:4 ratio exhibiting dominant floral and sweet aromas, PS-bread 1:4 ratio providing a refreshing fruity aroma, and fresh-PS providing a fresh and sweet pineapple-like aroma. These findings underscore the potential of wet pigeon pea sourdough to improve bread volume, texture, and flavors, particularly under specific hydration and proofing conditions, making it a promising alternative for gluten-free sourdough production.
Acknowledgements
The authors thank to Program Peningkatan Akademik Excellent from Universitas Gadjah Mada for providing financial assistance with the grant number 431/UN1.P1/KPT/HUKOR/2024, which supported this research.
Declaration of Generative AI in Scientific Writing
The authors acknowledge the use of the generative AI tool ChatGPT in the preparation of this manuscript, specifically for language editing and grammar correction. No content generation or data interpretation was performed by AI. The authors take full responsibility for the content and conclusions of this work.
CRediT Author Statement
Rini Yanti: Conceptualization, Writing – Original Draft, Funding Acquisition.
Tyas Utami: Supervision, Writing – Review & Editing.
Fiametta Nur Purwandary: Supervision, Writing – Review & Editing.
Dwinindy Aisyah Nur Laili: Investigation, Formal Analysis.
Nasira Kemhay: Investigation, Formal Analysis.
References
[1] MA Halim, SA Alharbi, AA Alarfaj, MI Almansour, MJ Ansari, MJ Nessa, FNA Kabir and AA Khatun. Improvement and quality evaluation of gluten-free cake supplemented with sweet potato flour and carrot powder. Applied Food Research 2024; 4(2), 100543.
[2] B Lebwohl, PDS Sanders and PHR Green. Coeliac disease. The Lancet 2018; 391(10115), 70-81.
[3] H Eraslan, J Wehbeh and E Ermis. Effect of sourdough prepared with the combination of chickpea and carob on bread properties. International Journal of Gastronomy and Food Science 2023; 32, 100753.
[4] R Penalver and G Nieto. Developing a functional gluten-free sourdough bread by incorporating quinoa, amaranth, rice and spirulina. 2024; 201, 116162.
[5] C Huang, B Zhang, J Huang, Y Liu, C Chen, JO Omedi, L Liang, Z Zhou, W Huang and N Li. The effects of single- or mixed-strain fermentation of red bean sourdough, with or without wheat bran, on bread making performance and its potential health benefits in mice model. Foods 2024; 13(17), 2856.
[6] SS Sobowale, DT Otolowo, OT Kayode and JI Agbawodike. Effect of germination and solid-state fermentation on the chemical, functional and nutritional composition of pigeon pea flour and the sensory properties of the resultant cookies. Food Chemistry Advances 2024; 5, 100837.
[7] OT Bolaji, MA Kamoru and SAO Adeyeye. Quality evaluation and physico-chemical properties of blends of fermented cassava flour (lafun) and pigeon pea flour. Scientific African 2021; 12, e00833.
[8] IR Danila, R Yanti and DA Suroto. Microbiota properties and texture of rice flour bread with pineapple starter. Journal of Applied Agricultural Science and Technology 2023; 7(3), 225-235.
[9] MD Calvert, AA Madden, LM Nichols, NM Haddad, J Lahne, RR Dunn and EA McKenney. A review of sourdough starters: Ecology, practices, and sensory quality with applications for baking and recommendations for future research. PeerJ 2021; 9, e11389.
[10] Y Yu, L Wang, H Qian, H Zhang and X Qi. Contribution of spontaneously-fermented sourdoughs with pear and navel orange for the bread-making. Food Science and Technology 2018; 89, 336-343.
[11] H Zhou, Y Jin, T Hong, N Yang, B Cui, X Xu and Z Jin. Effect of static magnetic field on the quality of frozen bread dough. LWT 2022; 154, 112670.
[12] V Ripari, T Cecchi and E Berardi. Microbiological characterisation and volatiles profile of model, ex-novo, and traditional Italian white wheat sourdoughs. Food Chemistry 2016; 205, 297-307.
[13] M Verni, A Torreggiani, A Patriarca, E Brasili, F Sciubba and CG Rizzello. Sourdough fermentation for the valorization of sorghum flour: Microbiota characterization and metabolome profiling. International Journal of Food Microbiology 2024; 421, 110805.
[14] KS Aplevicz, JZ Mazo, NKDS Neto, FS Nalevaiko and ESS Anna. Evaluation of sourdoughs for the production of bread using spontaneous fermentation technique. Acta Scientiarum Technology 2014; 36(4), 713-719.
[15] A Raaf, N Suriaini, F Djafar, Y Syamsuddin and M Supardan. Effect of drying temperature on the moisture loss, acidity and characteristics of Amla fruit. IOP Conference Series: Earth and Environmental Science 2021; 667(1), 012047.
[16] JP Tamang, K Watanabe and WH Holzapfel. Review: Diversity of microorganisms in global fermented foods and beverages. Frontiers in Microbiology 2016; 7, 377.
[17] M Dandadzi, R Musundire, A Muriithi and RT Ngadze. Effects of drying on the nutritional, sensory and microbiological quality of edible stinkbug (Encosternum delgorguei). Heliyon 2023; 9(8), e18642.
[18] J Ng’ang’a, S Imathiu, F Fombong, M Ayieko, JV Broeck and J Kinyuru. Microbial quality of edible grasshoppers Ruspolia differens (Orthoptera: Tettigoniidae): From wild harvesting to fork in the Kagera Region, Tanzania. Journal of Food Safety 2019; 39(1), e12549.
[19] RMO Elawad, TA Yang and AM Easa. Chemical composition, volume and specific volume of superheated steam and conventional oven baked bread. International Journal of Food Science and Nutrition 2017; 2(6), 91-94.
[20] FG Santos, C Fratelli, DG Muniz and VD Capriles. The impact of dough hydration level on gluten-free bread quality: A case study with chickpea flour. International Journal of Gastronomy and Food Science 2021; 26, 100434.
[21] M Gobbetti, MD Angelis, RD Cagno, M Calasso, G Archetti and CG Rizzello. Novel insights on the functional/nutritional features of the sourdough fermentation. International Journal of Food Microbiology 2019; 302, 103-113.
[22] S Arslan-Tontul, H Cetin-Babaoglu, M Aslan and I Tontul. Evaluation of refractance window-dried type 3 sourdough as an alternative to liquid sourdough in bread production. Journal of Cereal Science 2024; 116, 103882.
[23] MG Ganzle. Enzymatic and bacterial conversions during sourdough fermentation. Food Microbiology 2014; 37, 2-10.
[24] D Atudorei, O Atudorei and GG Codina. Dough rheological properties, microstructure and bread quality of wheat-germinated bean composite flour. Foods 2021; 10(7), 1542.
[25] J Gao, Y Wang, Z Dong and W Zhou. Structural and mechanical characteristics of bread and their impact on oral processing: A review. International Journal of Food Science & Technology 2018; 53(4), 858-872.
[26] C Di, W Jinshui, J Feng and Z Changfu. Effects of sourdough addition on the quality and shelf life of chinese steamed bread. Grain & Oil Science and Technology 2018; 1(2), 85-90.
[27] RH Hernandez-Figueroa, E Mani-Lopez, E Palou and A Lopez-Malo. Sourdoughs as natural enhancers of bread quality and shelf life: A review. 2024; 10(1), 7.
[28] GM Walker. Yeast physiology and biotechnology. John Wiley & Sons, New Jersey, 1998.
[29] Flavornet, Available at: https://www.flavornet.org/flavornet.html, accessed january 2024.
[30] C Petel, B Onno and C Prost. Sourdough volatile compounds and their contribution to bread: A review. Trends in Food Science & Technology 2017; 59, 105-123.
[31] H Gao, M Liu, L Zheng, T Zhang, X Chang, H Liu, S Zhou, Z Zhang, S Li and J Sun. Comparative analysis of key odorants and aroma characteristics in hot-pressed yellow horn (xanthoceras sorbifolia bunge) seed oil via gas chromatography–ion mobility spectrometry and gas chromatography–olfactory-mass spectrometry. Foods 2023; 12(17), 3174.